The Association of Metformin, Other Antidiabetic Medications and Statins on the Prognosis of Rectal Cancer in Patients with Type 2 Diabetes: A Retrospective Cohort Study
Abstract
:1. Introduction
2. Materials and Methods
3. Statistical Methods
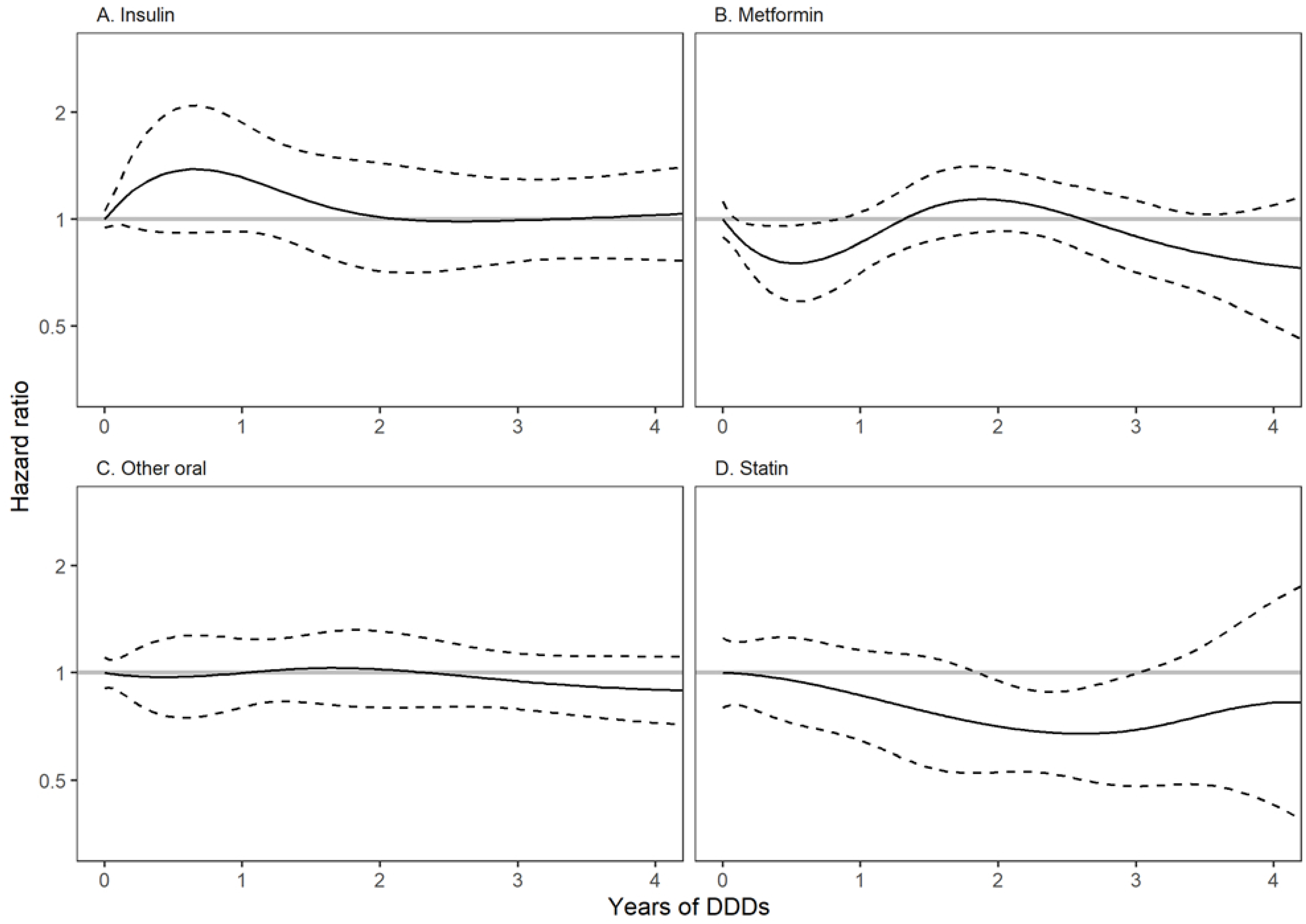
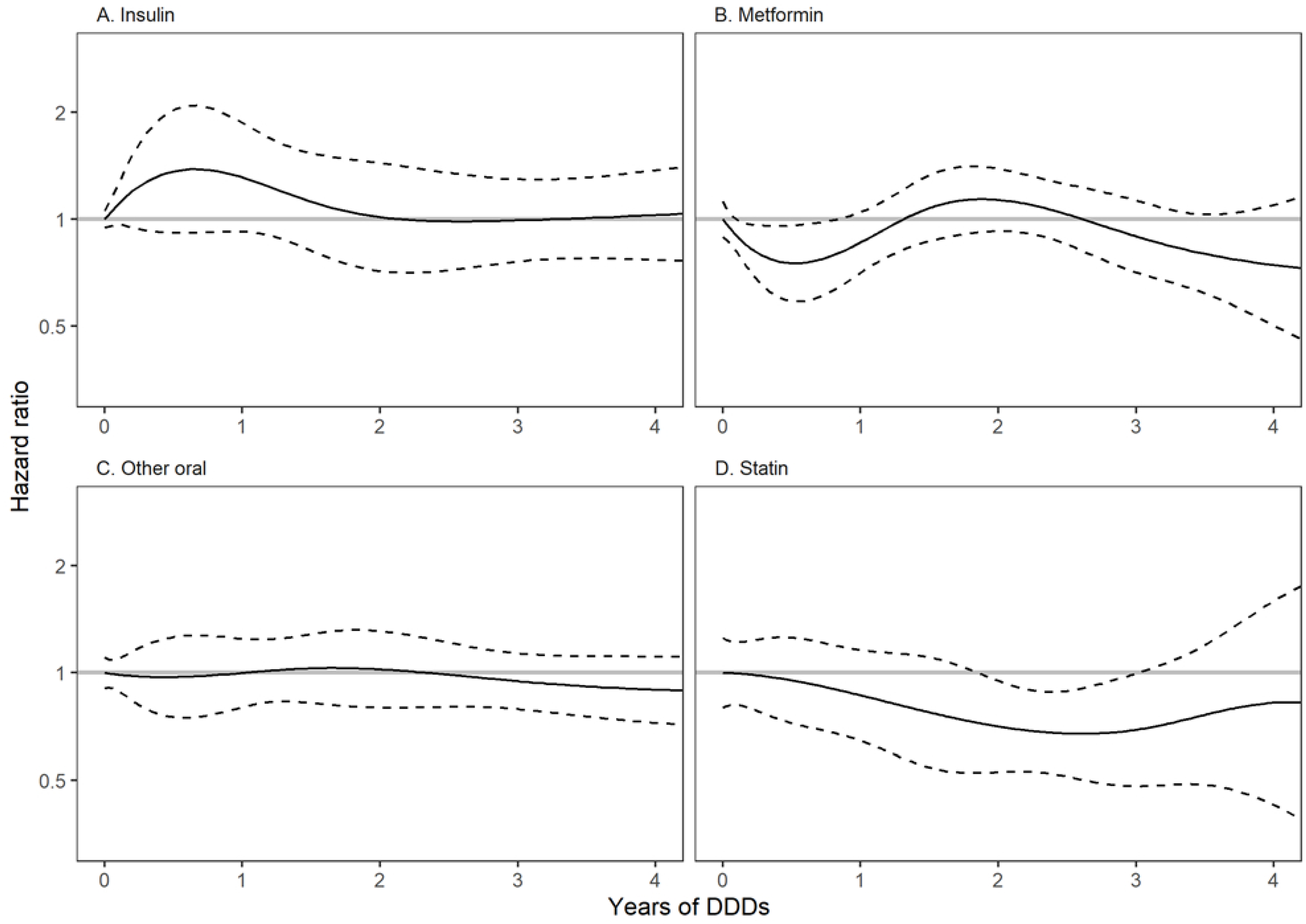
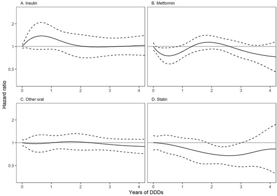
4. Results
5. Discussion
6. Conclusions
Supplementary Materials
Author Contributions
Funding
Institutional Review Board Statement
Informed Consent Statement
Data Availability Statement
Conflicts of Interest
References
- Sung, H.; Ferlay, J.; Siegel, R.L.; Laversanne, M.; Soerjomataram, I.; Jemal, A.; Bray, F. Global Cancer Statistics 2020: GLOBOCAN Estimates of Incidence and Mortality Worldwide for 36 Cancers in 185 Countries. CA A Cancer J. Clin. 2021, 71, 209–249. [Google Scholar] [CrossRef] [PubMed]
- James, S.L.; Abate, D.; Abate, K.H.; Abay, S.M.; Abbafati, C.; Abbasi, N.; Abbastabar, H.; Abd-Allah, F.; Abdela, J.; Abdelalim, A. Global, Regional, and National Incidence, Prevalence, and Years Lived with Disability for 354 Diseases and Injuries for 195 Countries and Territories, 1990–2017: A Systematic Analysis for the Global Burden of Disease Study 2017. Lancet 2018, 392, 1789–1858. [Google Scholar] [CrossRef]
- Deng, L.; Gui, Z.; Zhao, L.; Wang, J.; Shen, L. Diabetes Mellitus and the Incidence of Colorectal Cancer: An Updated Systematic Review and Meta-Analysis. Dig. Dis. Sci. 2012, 57, 1576–1585. [Google Scholar] [CrossRef] [PubMed]
- Mills, K.; Bellows, C.; Hoffman, A.; Kelly, T.; Gagliardi, G. Diabetes Mellitus and Colorectal Cancer Prognosis: A Meta-Analysis. Dis. Colon Rectum 2013, 56, 1304–1319. [Google Scholar] [CrossRef] [PubMed]
- Schulten, H. Pleiotropic Effects of Metformin on Cancer. Int. J. Mol. Sci. 2018, 19, 2850. [Google Scholar] [CrossRef] [PubMed]
- He, X.; Su, T.; Si, J.; Sun, L. Metformin Is Associated with Slightly Reduced Risk of Colorectal Cancer and Moderate Survival Benefits in Diabetes Mellitus: A Meta-Analysis. Medicine 2016, 95, e2749. [Google Scholar] [CrossRef]
- Tian, S.; Lei, H.; Liu, Y.; Chen, Y.; Dong, W. The Association between Metformin Use and Colorectal Cancer Survival among Patients with Diabetes Mellitus: An Updated Meta-Analysis. Chronic Dis. Transl. Med. 2017, 3, 169–175. [Google Scholar] [CrossRef]
- Meng., F.; Song, L.; Wang, W. Metformin Improves Overall Survival of Colorectal Cancer Patients with Diabetes: A Meta-Analysis. J. Diabetes Res. 2017, 5063239. [Google Scholar] [CrossRef]
- Gandini, S.; Puntoni, M.; Heckman-Stoddard, B.M.; Dunn, B.K.; Ford, L.; De Censi, A.; Szabo, E. Metformin and Cancer Risk and Mortality: A Systematic Review and Meta-Analysis Taking into Account Biases and Confounders. Cancer Prev. Res. 2014, 7, 867–885. [Google Scholar] [CrossRef]
- Vehko, T.; Sund, R.; Arffman, M.; Manderbacka, K.; Ilanne-Parikka, P.; Keskimäki, I. Monitoring the Use of Lipid-Lowering Medication Among Persons with Newly Diagnosed Diabetes: A Nationwide Register-Based Study. BMJ Open 2013, 3, e003414. [Google Scholar] [CrossRef] [Green Version]
- Zanders, M.M.J.; van Herk-Sukel, M.P.P.; Vissers, P.A.J.; Herings, R.M.C.; Haak, H.R.; van de Poll-Franse, L.V. Are Metformin, Statin and Aspirin Use Still Associated with Overall Mortality Among Colorectal Cancer Patients with Diabetes If Adjusted for One Another? Br. J. Cancer 2015, 113, 403–410. [Google Scholar] [CrossRef] [PubMed]
- Matusewicz, L.; Meissner, J.; Toporkiewicz, M.; Sikorski, A. The Effect of Statins on Cancer Cells—Review. Tumor Biol. 2015, 36, 4889–4904. [Google Scholar] [CrossRef] [PubMed]
- Sopková, J.; Vidomanová, E.; Strnádel, J.; Škovierová, H.; Halašová, E. The Role of Statins as Therapeutic Agents in Cancer. Gen. Physiol. Biophys. 2017, 36, 501–511. [Google Scholar] [CrossRef] [PubMed]
- Tamas, K.; Walenkamp, A.M.E.; de Vries, E.G.E.; van Vugt, M.A.T.M.; Beets-Tan, R.G.; van Etten, B.; de Groot, D.J.A.; Hospers, G.A.P. Rectal and Colon Cancer: Not Just a Different Anatomic Site. Cancer Treat. Rev 2015, 41, 671–679. [Google Scholar] [CrossRef]
- Van der Sijp, M.; Bastiaannet, E.; Mesker, W.; van der Geest, L.G.M.; Breugom, A.J.; Steup, W.H.; Marinelli, A.W.K.S.; Tseng, L.N.L.; Tollenaar, R.A.E.M.; van de Velde, C.J.H.; et al. Differences Between Colon and Rectal Cancer in Complications, Short-Term Survival and Recurrences. Int. J. Colorectal Dis. 2016, 31, 1683–1691. [Google Scholar] [CrossRef]
- Paschke, S.; Jafarov, S.; Staib, L.; Kreuser, E.-D.; Maulbecker-Armstrong, C.; Roitman, M.; Holm, T.; Harris, C.C.; Link, K.-H.; Kornmann, M. Are Colon and Rectal Cancer Two Different Tumor Entities? A Proposal to Abandon the Term Colorectal Cancer. Int. J. Mol. Sci. 2018, 19, 2577. [Google Scholar] [CrossRef]
- Vandenbroucke, J.P.; von Elm, E.; Altman, D.G.; Gøtzsche, P.C.; Mulrow, C.D.; Pocock, S.J.; Poole, C.; Schlesselman, J.J.; Egger, M. Strengthening the Reporting of Observational Studies in Epidemiology (STROBE): Explanation and Elaboration. Int. J. Surg. 2014, 12, 1500–1524. [Google Scholar] [CrossRef]
- Sund, R.; Koski, S. FinDM II: On the Register-Based Measurement of the Prevalence and Incidence of Diabetes and Its Long-Term Complications: A Technical Report; Finnish Diabetes Association: Helsinki, Finland, 2009. [Google Scholar]
- Sund, R.; Harno, K.; Ranta, S.; Tolppanen, E. Evaluation of Case Inclusion in Two Population-Based Diabetes Registers. Finn. J. eHealth eWelfare 2010, 2, 136–146. [Google Scholar]
- Pukkala, E.; Engholm, G.; Schmidt, L.; Storm, H.; Khan, S.; Lambe, M.; Pettersson, D.; Ólafsdóttir, E.; Tryggvadóttir, L.; Hakanen, T.; et al. Nordic Cancer Registries–An overview of their procedures and data comparability. Acta Oncol. 2018, 57, 440–455. [Google Scholar] [CrossRef]
- Bray, F.; Ferlay, J.; Soerjomataram, I.; Siegel, R.L.; Torre, L.A.; Jemal, A. Global Cancer Statistics 2018: GLOBOCAN Estimates of Incidence and Mortality Worldwide for 36 Cancers in 185 Countries. CA A Cancer J. Clin. 2018, 68, 394–424. [Google Scholar] [CrossRef]
- Brierley, J.; Gospodarowicz, M.; Wittekind, C. TNM Classification of Malignant Tumours, 8th ed.; Wiley-Blackwell: Hoboken, NJ, USA, 2016; pp. 73–77. [Google Scholar]
- R Core Team. R: A Language and Environment for Statistical Computing; R Foundation for Statistical Computing: Vienna, Austria, 2020; Available online: https://www.R-project.org/ (accessed on 20 September 2020).
- Therneau, T. A Package for Survival Analysis in S, version 2.38; Mayo Foundation: Rochester, MN, USA, 2015. [Google Scholar]
- Cheng, Y.; Chen, Y.; Zhou, C.; Shen, L.; Tu, F.; Xu, J.; Liu, C. For Colorectal Cancer Patients with Type II Diabetes, Could Metformin Improve the Survival Rate? A Meta-Analysis. Clin. Res. Hepatol. Gastroenterol. 2020, 44, 73–81. [Google Scholar] [CrossRef] [PubMed]
- Ng, C.A.W.; Jiang, A.A.; Toh, E.M.S.; Ng, C.H.; Ong, Z.H.; Peng, S.; Tham, H.Y.; Sundar, R.; Chong, C.S.; Khoo, C.M. Metformin and colorectal cancer: A systematic review, meta-analysis and meta-regression. Int. J. Colorectal Dis. 2020, 35, 1501–1512. [Google Scholar] [CrossRef] [PubMed]
- Haukka, J.; Niskanen, L.; Auvinen, A. Risk of Cause-Specific Death in Individuals with Cancer—Modifying Role Diabetes, Statins and Metformin. Int. J. Cancer 2017, 141, 2437–2449. [Google Scholar] [CrossRef] [PubMed]
- Skinner, H.D.; Crane, C.H.; Garrett, C.R.; Eng, C.; Chang, G.J.; Skibber, J.M.; Rodriguez-Bigas, M.A.; Kelly, P.; Sandulache, V.C.; Delclos, M.E.; et al. Metformin Use and Improved Response to Therapy in Rectal Cancer. Cancer Med. 2013, 2, 99–107. [Google Scholar] [CrossRef]
- Kim, J.M.; Park, J.W.; Lee, J.H.; Park, Y.H.; Park, S.J.; Cheon, J.H.; Kim, W.H.; Kim, T.I. Survival Benefit for Metformin Through Better Tumor Response by Neoadjuvant Concurrent Chemoradiotherapy in Rectal Cancer. Dis. Colon Rectum 2020, 63, 758–768. [Google Scholar] [CrossRef]
- Fransgaard, T.; Hallas, J.; Thygesen, L.C.; Gögenur, I. Association between Diabetes and Oncological Outcomes in Patients Undergoing Neoadjuvant Chemo-Radiotherapy for Rectal Cancer. Surg. Oncol. 2019, 28, 62–66. [Google Scholar] [CrossRef]
- Oh, B.Y.; Park, Y.A.; Huh, J.W.; Cho, Y.B.; Yun, S.H.; Lee, W.Y.; Park, H.C.; Choi, D.H.; Park, Y.S.; Kim, H.C. Metformin Enhances the Response to Radiotherapy in Diabetic Patients with Rectal Cancer. J. Cancer Res. Clin. Oncol. 2016, 142, 1377–1385. [Google Scholar] [CrossRef]
- Huang, W.K.; Chang, S.H.; Hsu, H.C.; Chou, W.C.; Yang, T.S.; Chen, J.S.; Chang, J.W.C.; Lin, Y.C.; Kuo, C.F.; See, L.C. Postdiagnostic metformin use and survival of patients with colorectal cancer: A Nationwide cohort study. Int. J. Cancer 2020, 147, 1904–1916. [Google Scholar] [CrossRef]
- Feng, J.L.; Qin, X. Metformin and cancer-specific survival among breast, colorectal, or endometrial cancer patients: A nationwide data linkage study. Diabetes Res. Clin. Pract. 2021, 175, 108755. [Google Scholar] [CrossRef]
- Choe, S.; Lee, J.; Park, J.W.; Jeong, S.Y.; Cho, Y.M.; Park, B.J.; Shin, A. Prognosis of Patients with Colorectal Cancer with Diabetes According to Medication Adherence: A Population-Based Cohort Study. Cancer Epidemiol. Biomark. Prev. 2020, 29, 1120–1127. [Google Scholar] [CrossRef]
- Mc Menamin, Ú.C.; Murray, L.J.; Hughes, C.M.; Cardwell, C.R. Metformin Use and Survival after Colorectal Cancer: A Population–Based Cohort Study. Int. J. Cancer 2016, 138, 369–379. [Google Scholar] [CrossRef] [PubMed] [Green Version]
- Rena, G.; Hardie, D.G.; Pearson, E.R. The mechanisms of Action of Metformin. Diabetologia 2017, 60, 1577–1585. [Google Scholar] [CrossRef] [PubMed]
- He, L.; Wondisford, F. Metformin Action: Concentrations matter. Cell Metab. 2015, 21, 159–162. [Google Scholar] [CrossRef]
- Kajbaf, F.; De Broe, M.; Lalau, J. Therapeutic Concentrations of Metformin: A Systematic Review. Clin. Pharmacokinet. 2016, 55, 439–459. [Google Scholar] [CrossRef]
- Li, M.; Li, X.; Zhang, H.; Lu, Y. Molecular Mechanisms of Metformin for Diabetes and Cancer Treatment. Front. Physiol. 2018, 9, 9. [Google Scholar] [CrossRef]
- Vigneri, R.; Sciacca, L.; Vigneri, P. Rethinking the Relationship between Insulin and Cancer. Trends Endocrinol. Metab. 2020, 31, 551–560. [Google Scholar] [CrossRef] [PubMed]
- Chiefari, E.; Mirabelli, M.; la Vignera, S.; Tanyolaç, S.; Foti, D.P.; Aversa, A.; Brunetti, A. Insulin Resistance and Cancer: In Search for a Causal Link. Int. J. Mol. Sci. 2021, 22, 11137. [Google Scholar] [CrossRef]
- Baglia, M.L.; Cui, Y.; Zheng, T.; Yang, G.; Li, H.; You, M.; Xu, L.; Murff, H.; Gao, Y.T.; Zheng, W.; et al. Diabetes Medication Use in Association with Survival Among Patients of Breast, Colorectal, Lung, or Gastric Cancer. Cancer Res. Treat. 2019, 51, 538–546. [Google Scholar] [CrossRef]
- Ioacara, S.; Guja, C.; Ionescu-Tirgoviste, C.; Fica, S.; Roden, M. Cancer Specific Mortality in Insulin-Treated Type 2 Diabetes Patients. PLoS ONE 2014, 9, e93132. [Google Scholar] [CrossRef]
- Lutz, S.Z.; Staiger, H.; Fritsche, A.; Häring, H. Antihyperglycaemic Therapies and Cancer Risk. Diabetes Vasc. Dis. Res. 2014, 11, 371–389. [Google Scholar] [CrossRef]
- Shao, Y.Y.; Hsu, C.H.; Yeh, K.H.; Chen, H.M.; Yeh, Y.C.; Lai, C.L.; Lin, Z.Z.; Cheng, A.L.; Lai, M.S. Statin Use Is Associated with Improved Prognosis of Colorectal Cancer in Taiwan. Clin. Colorectal Cancer. 2015, 14, 177–184. [Google Scholar] [CrossRef] [PubMed]
- Pourlotfi, A.; Bass, G.A.; Ahl Hulme, R.; Forssten, M.P.; Sjolin, G.; Cao, Y.; Matthiessen, P.; Mohseni, S. Statin Use and Long-Term Mortality after Rectal Cancer Surgery. Cancers 2021, 13, 4288. [Google Scholar] [CrossRef] [PubMed]
- Armstrong, D.; Raissouni, S.; Price Hiller, J.; Mercer, J.; Powell, E.; MacLean, A.; Jiang, M.; Doll, C.; Goodwin, R.; Batuyong, E.; et al. Predictors of Pathologic Complete Response After Neoadjuvant Treatment for Rectal Cancer: A Multicenter Study. Clin. Colorectal Cancer 2015, 14, 291–295. [Google Scholar] [CrossRef]
- Gash, K.J.; Chambers, A.C.; Cotton, D.E.; Williams, A.C.; Thomas, M.G. Potentiating the Effects of Radiotherapy in Rectal Cancer: The Role of Aspirin, Statins and Metformin as Adjuncts to Therapy. Br. J. Cancer 2017, 117, 210–219. [Google Scholar] [CrossRef] [PubMed]
- Kotti, A.; Holmqvist, A.; Albertsson, M.; Sun, X. Survival Benefit of Statins in Older Patients with Rectal Cancer: A Swedish Population-Based Cohort Study. J. Geriatr. Oncol. 2019, 10, 690–697. [Google Scholar] [CrossRef]
- Yang, J.; Li, C.; Shen, Y.; Zhou, H.; Shao, Y.; Zhu, W.; Chen, Y. Impact of statin use on cancer-specific mortality and recurrence: A meta-analysis of 60 observational studies. Medicine 2020, 99, e19596. [Google Scholar] [CrossRef]
- Jameson, M.B.; Gormly, K.; Espinoza, D.; Hague, W.; Asghari, G.; Jeffery, G.M.; Price, T.J.; Karapetis, C.S.; Arendse, M.; Armstrong, J.; et al. sPAR—A Randomised, Placebo-Controlled Phase II Trial of Simvastatin in Addition to Standard Chemotherapy and Radiation in Preoperative Treatment for Rectal Cancer: An AGITG Clinical Trial. BMC Cancer 2019, 19, 1229. [Google Scholar] [CrossRef]
- U.S. National Library of Medicine. Statins and Rectal Cancer. Available online: https://clinicaltrials.gov/ct2/results?cond=Rectal+Cancer&term=statins&cntry=&state=&city=&dist=&Search=Search (accessed on 24 March 2021).
- Sund, R. Quality of the Finnish Hospital Discharge Register: A Systematic Review. Scand. J. Public Health 2012, 40, 505–515. [Google Scholar] [CrossRef]
- Mikkelsen, L.; Phillips, D.E.; AbouZahr, C.; Setel, P.W.; De Savigny, D.; Lozano, R.; Lopez, A.D. A Global Assessment of Civil Registration and Vital Statistics Systems: Monitoring Data Quality and Progress. Lancet 2015, 386, 1395–1406. [Google Scholar] [CrossRef]



| Antidiabetic Medication (ADM) | Statins | |||||||
|---|---|---|---|---|---|---|---|---|
| Metformin (%) | Other Oral ADM (%) | Metformin and Other oral ADM (%) | Insulin (%) | No History of Regular ADM Use (%) | Yes (%) | No (%) | Total (%) | |
| Number of patients | 203 (100) | 174 (100) | 326 (100) | 296 (100) | 272 (100) | 541 (100) | 730 (100) | 1271 (100) |
| Sex | ||||||||
| Male (%) | 127 (63) | 96 (55) | 186 (57) | 187 (63) | 166 (61) | 342 (63) | 420 (58) | 762 (60) |
| Female (%) | 76 (37) | 78 (45) | 140 (43) | 109 (37) | 106 (39) | 199 (37) | 310 (42) | 509 (40) |
| Age groups (years) | ||||||||
| 41–59 | 18 (9) | 8 (5) | 24 (7) | 29 (10) | 22 (8) | 41 (8) | 60 (8) | 101 (8) |
| 60–64 | 23 (11) | 8 (5) | 50 (15) | 30 (10) | 28 (10) | 68 (13) | 71 (10) | 139 (11) |
| 65–69 | 36 (18) | 23 (13) | 44 (13) | 53 (18) | 63 (23) | 106 (20) | 113 (15) | 219 (17) |
| 70–74 | 47 (23) | 34 (20) | 65 (20) | 60 (20) | 60 (22) | 130 (24) | 136 (19) | 266 (21) |
| 75–79 | 35 (17) | 35 (20) | 81 (25) | 66 (22) | 39 (14) | 108 (20) | 148 (20) | 256 (20) |
| 80–84 | 28 (14) | 30 (17) | 39 (12) | 39 (13) | 32 (12) | 56 (10) | 112 (15) | 168 (13) |
| 85–96 | 16 (8) | 36 (21) | 23 (7) | 19 (6) | 28 (10) | 32 (6) | 90 (12) | 122 (10) |
| Median age at RC diagnosis | 73 | 77 | 74 | 73 | 72 | 72 | 74 | 74 |
| Interquartile range | 66–79 | 71–83 | 66–79 | 67–79 | 67–79 | 66–78 | 68–81 | 67–79 |
| Duration of diabetes (years) | ||||||||
| 0.50–<3 | 86 (42) | 46 (26) | 22 (7) | 8 (3) | 99 (36) | 99 (18) | 162 (22) | 261 (21) |
| 3–<6 | 66 (33) | 64 (37) | 74 (23) | 21 (7) | 45 (17) | 110 (20) | 160 (22) | 270 (21) |
| 6–<12 | 39 (19) | 50 (29) | 157 (48) | 113 (38) | 69 (25) | 183 (34) | 245 (34) | 428 (34) |
| ≥12 | 12 (6) | 14 (8) | 73 (22) | 154 (52) | 59 (22) | 149 (28) | 163 (22) | 312 (25) |
| Median | 3.4 | 4.7 | 8.0 | 12.2 | 5.4 | 7.7 | 7.0 | 7.3 |
| Interquartile range | 2.1–6.0 | 2.8–7.5 | 5.5–11.3 | 8.8–16.1 | 1.4–11.1 | 3.9–12.4 | 3.3–11.2 | 3.6–11.9 |
| Cancer stage | ||||||||
| Non-metastasized | 68 (33) | 64 (37) | 114 (35) | 99 (33) | 96 (35) | 187 (35) | 254 (35) | 441 (35) |
| Metastasized | 100 (49) | 69 (40) | 158 (48) | 152 (51) | 124 (46) | 281 (52) | 322 (44) | 603 (47) |
| Unknown | 35 (17) | 41 (24) | 54 (17) | 45 (15) | 52 (19) | 73 (13) | 154 (21) | 227 (18) |
| Outcome at the end of the follow-up | ||||||||
| RC death | 65 (32) | 75 (43) | 125 (38) | 117 (40) | 110 (40) | 181 (33) | 311 (43) | 492 (39) |
| Death from other causes | 25 (12) | 62 (36) | 86 (26) | 84 (28) | 58 (21) | 94 (17) | 221 (30) | 315 (25) |
| Alive | 113 (56) | 37 (21) | 115 (35) | 95 (32) | 104 (38) | 266 (49) | 198 (27) | 464 (37) |
| Death from Rectal Cancer | Death from Other Causes | |||||
|---|---|---|---|---|---|---|
| n | Hazard Ratio c | 95% Confidence Interval | n | Hazard Ratio c | 95% Confidence Interval | |
| Sex | ||||||
| Male | 290 | 1.07 | (0.88–1.29) | 186 | 1.76 | (1.38–2.25) |
| Female | 202 | 1.00 | Reference | 129 | 1.00 | Reference |
| Year of diagnosis | ||||||
| 1998–2002 | 165 | 1.00 | Reference | 135 | 1.00 | Reference |
| 2003–2007 | 180 | 0.86 | (0.69–1.07) | 128 | 1.25 | (0.96–1.63) |
| 2008–2011 | 147 | 0.68 | (0.52–0.87) | 52 | 0.85 | (0.58–1.25) |
| Age group (years) | ||||||
| 41–59 | 33 | 0.73 | (0.49–1.09) | 8 | 0.21 | (0.10–0.45) |
| 60–64 | 47 | 0.67 | (0.48–0.95) | 15 | 0.33 | (0.19–0.58) |
| 65–69 | 74 | 0.89 | (0.66–1.21) | 51 | 0.89 | (0.61–1.30) |
| 70–74 | 104 | 1.00 | Reference | 60 | 1.00 | Reference |
| 75–79 | 102 | 1.19 | (0.90–1.56) | 73 | 1.71 | (1.21–2.42) |
| 80–84 | 71 | 1.51 | (1.11–2.05) | 63 | 2.86 | (1.98–4.12) |
| 85–97 | 61 | 2.15 | (1.55–2.99) | 45 | 4.37 | (2.87–6.65) |
| Duration of diabetes (years) | ||||||
| 0.5–<3 | 103 | 1.00 | Reference | 55 | 1.00 | Reference |
| 3–<6 | 102 | 1.00 | (0.75–1.33) | 58 | 0.97 | (0.66–1.43) |
| 6–<12 | 161 | 0.99 | (0.75–1.29) | 119 | 1.40 | (0.98–1.98) |
| ≥12 | 126 | 0.94 | (0.70–1.26) | 83 | 1.16 | (0.78–1.73) |
| Cancer stage | ||||||
| Non-metastasized | 70 | 1.00 | Reference | 153 | 1.00 | Reference |
| Metastasized | 330 | 5.57 | (4.28–7.25) | 87 | 0.86 | (0.66–1.14) |
| Unknown | 92 | 3.01 | (2.20–4.12) | 75 | 1.22 | (0.92–1.61) |
| ADM a | ||||||
| Other oral ADM | 75 | 1.00 | Reference | 62 | 1.00 | Reference |
| Metformin | 65 | 0.96 | (0.67–1.38) | 25 | 0.66 | (0.40–1.09) |
| Metformin and other oral ADM | 125 | 1.03 | (0.76–1.40) | 86 | 1.01 | (0.71–1.44) |
| Insulin | 117 | 1.15 | (0.83–1.58) | 84 | 1.53 | (1.04–2.25) |
| No regular history of ADMuse b | 110 | 1.05 | (0.77–1.43) | 58 | 0.75 | (0.52–1.09) |
| Statin use a | ||||||
| No | 311 | 1.00 | Reference | 221 | 1.00 | Reference |
| Yes | 181 | 0.77 | (0.63–0.94) | 94 | 0.68 | (0.53–0.88) |
| Death from RC | Death from Other Cause | |||
|---|---|---|---|---|
| n * HR | 95% CI | n * HR | 95% CI | |
| Metformin | 67 0.56 | (0.42–0.76) | 66 0.67 | (0.49–0.92) |
| Other oral ADM | 75 0.80 | (0.60–1.07) | 71 0.76 | (0.56–1.03) |
| Insulin | 64 0.82 | (0.60–1.13) | 79 1.59 | (1.17–2.16) |
| Statin | 65 0.57 | (0.42–0.78) | 67 0.52 | (0.38–0.71) |
Publisher’s Note: MDPI stays neutral with regard to jurisdictional claims in published maps and institutional affiliations. |
© 2022 by the authors. Licensee MDPI, Basel, Switzerland. This article is an open access article distributed under the terms and conditions of the Creative Commons Attribution (CC BY) license (https://creativecommons.org/licenses/by/4.0/).
Share and Cite
Erkinantti, S.; Hautakoski, A.; Sund, R.; Arffman, M.; Urpilainen, E.; Puistola, U.; Läärä, E.; Jukkola, A.; Karihtala, P. The Association of Metformin, Other Antidiabetic Medications and Statins on the Prognosis of Rectal Cancer in Patients with Type 2 Diabetes: A Retrospective Cohort Study. Biomolecules 2022, 12, 1301. https://doi.org/10.3390/biom12091301
Erkinantti S, Hautakoski A, Sund R, Arffman M, Urpilainen E, Puistola U, Läärä E, Jukkola A, Karihtala P. The Association of Metformin, Other Antidiabetic Medications and Statins on the Prognosis of Rectal Cancer in Patients with Type 2 Diabetes: A Retrospective Cohort Study. Biomolecules. 2022; 12(9):1301. https://doi.org/10.3390/biom12091301
Chicago/Turabian StyleErkinantti, Sami, Ari Hautakoski, Reijo Sund, Martti Arffman, Elina Urpilainen, Ulla Puistola, Esa Läärä, Arja Jukkola, and Peeter Karihtala. 2022. "The Association of Metformin, Other Antidiabetic Medications and Statins on the Prognosis of Rectal Cancer in Patients with Type 2 Diabetes: A Retrospective Cohort Study" Biomolecules 12, no. 9: 1301. https://doi.org/10.3390/biom12091301
APA StyleErkinantti, S., Hautakoski, A., Sund, R., Arffman, M., Urpilainen, E., Puistola, U., Läärä, E., Jukkola, A., & Karihtala, P. (2022). The Association of Metformin, Other Antidiabetic Medications and Statins on the Prognosis of Rectal Cancer in Patients with Type 2 Diabetes: A Retrospective Cohort Study. Biomolecules, 12(9), 1301. https://doi.org/10.3390/biom12091301

