Abstract
The usefulness of serum angiotensin-converting enzyme (sACE) for diagnosing sarcoidosis and determining the active status of sarcoidosis has been reported with varying outcomes. On the basis of the majority of published data, we conducted a meta-analysis to calculate the overall predictive accuracy of sACE in sarcoidosis disease and the active status of sarcoidosis. The inclusion of related research listed in Web of Science, PubMed, Scopus, and other literature databases was assessed. SROC curves were generated to characterize the overall test results after data on sensitivity, specificity, positive likelihood ratio (PLR), negative likelihood ratio (NLR), and diagnostic odds ratio (DOR) were combined. Publication bias was identified using Deeks’ funnel plot. Thirty-five publications with 8645 subjects met the inclusion criteria. The following are summary estimates of sACE diagnostic performance for sarcoidosis: sensitivity, 60% (95% confidence interval (CI), 52–68%); specificity, 93% (95% CI, 88–96%); PLR, 8.4 (95% CI, 5.3–13.3); NLR, 0.43 (95% CI, 0.36–0.52); and DOR, 19 (95% CI, 12–31). The area under the SROC curve (AUC) was 0.84 (95% CI, 0.80–0.87). Summary estimates for predicting the active status of sarcoidosis were as follows: sensitivity, 0.76 (95% CI, 0.61–0.87); specificity, 0.80 (95% CI, 0.64–0.90); PLR, 3.9 (95% CI, 2.1–7.3); NLR, 0.29 (95% CI, 0.17–0.49); and DOR, 13 (95% CI, 6–31). The AUC was 0.85 (95% CI, 0.82–0.88). There was no evidence of publication bias. Our meta-analysis suggests that measuring the sACE may assist in the diagnosis of sarcoidosis and predicting the active status of sarcoidosis, but the interpretation of the sACE results should be with caution. Future studies should validate our results.
1. Introduction
Sarcoidosis is a multisystemic disease that primarily affects the lungs (90% of the time) but can affect any organ in the body. Sarcoidosis is distinguished by the development of non-caseating epithelioid cell granulomas [1]. Sarcoidosis patients have a lower survival rate than the general population [2]. About 12% of all stage IV patients require ongoing oxygen therapy, and many experience numerous complications that ultimately result in irreversible lesions such as pulmonary fibrosis, cirrhosis, fatal arrhythmia, blindness, and other conditions that have a significant impact on these patients’ quality of life and lifespan [3]. It is difficult to make an accurate diagnosis of sarcoidosis due to the variety and non-specificity of its clinical characteristics and the diverse radiological presentation of its patients [4,5]. Sarcoidosis is currently diagnosed using a mix of clinical, radiological, and histological characteristics. To correctly diagnose sarcoidosis, additional etiologies in the differential diagnosis must also be eliminated [6]. One issue with identifying sarcoidosis is that biopsy is typically advised unless a patient has thoracic stage I (bilateral hilar lymphadenopathy unrelated to neoplastic or infectious disorders) or exhibits characteristic symptoms of Lofgren’s and Heerfordt’s syndromes [7,8,9]. Even before any treatment is started, the inflammatory activity of sarcoidosis should be assessed so that the response to treatment can be evaluated [9]. As a result, there is a need to search for reliable, less invasive approaches to diagnose sarcoidosis and assess the activity of the disease at same time.
Numerous serum indicators in sarcoidosis patients have been studied. Many of these biomarkers are assumed to play an important role in the development, resolution, or potentiation of the sarcoid granuloma or to be linked to the development of fibrosis and other disease sequelae or to provide protection against their occurrence [10]. Angiotensin-converting enzyme (ACE) is the most well-known serum biomarker in sarcoidosis; it has also been shown to be expressed as a membrane-bound protein in several human tissues, including the lungs, intestine, heart, and kidneys [11], and it has a crucial impact in the pathogenesis of severe acute respiratory syndrome coronavirus 2 infection [12]. Serum ACE (sACE) is an acid glycoprotein generated mostly by activated alveolar macrophages that convert angiotensin I to angiotensin II [13]. The level of sACE is commonly frequently used for laboratory test in patients with sarcoidosis and may correlate with disease activity, and it also reflects the total sarcoidosis granuloma burden [14,15,16]. However, whether sACE level can reliably be used to diagnose sarcoidosis and predict the active status of the disease remains controversial, as the results of existing research show high variability [17,18,19]. The predictive value of sACE still needs to be further verified by the methods of systematic review and meta-analysis, which is essential to prove the generalization of predictive performance. This research aimed to summarize the usefulness of sACE for diagnosing sarcoidosis and determining the active status of sarcoidosis.
2. Materials and Methods
The Cochrane Diagnostic Test Accuracy Working Group’s suggested procedures and the Preferred Reporting Items for Meta-analysis statement’s guidelines were followed in the conduct of this study [20]. This retrospective meta-analysis did not require approval from the institutional review board.
2.1. Search Strategy
The diagnostic performance of sACE for sarcoidosis or active sarcoidosis was assessed in original articles published up to August 2022. To find these articles, Web of Science, PubMed, OVID, and Scopus were searched. “sarcoidosis OR active sarcoidosis” AND “angiotensin-converting enzyme OR ACE” AND “sensitivity” OR “specificity” OR “accuracy” made up the search term. Only human and clinical studies were included in the search results that qualified. Using PubMed’s “related articles” feature, other papers were also discovered. We manually searched recognized article references to locate other publications.
2.2. Selection of Publications
The full-text versions of any research that could not be quickly ruled out were retrieved after we had examined the titles and abstracts of the identified publications. Finally, publications that met the following requirements were included in current meta-analysis: (1) sACE was used to diagnose sarcoidosis or determine the active status of sarcoidosis; (2) sufficient data were included to calculate the true positive (TP), false positive (FP), false negative (FN), and true negative (TN) values of sACE; and (3) studies contained original research published in English. Studies with less than 20 subjects were disregarded to prevent selection bias. Reviews, editorials, case reports, and conference abstracts were removed.
2.3. Data Extraction and Quality Assessment
Two authors (X.H. and L.Z.) evaluated each publication’s eligibility independently and took the following data from each one: the names of first author, the year of publication, the country, the number of cases and controls, the diagnostic standard, diseased region, the method, the study design, the cutoff, TP, FP, FN, TN, and values. Data extraction disagreements were settled by consensus. When information was not reported in the article, an effort was made to get in touch with the writers. Only the data linked to the highest diagnostic accuracy were included in current meta-analysis for studies that examined a variety of cutoff values.
To evaluate the methodological quality of each study, the Quality Assessment of Diagnostic Accuracy Studies (QUADAS)-2 tool was used. The risk of bias was analyzed across all four categories, comprising the four domains of patient selection, index test, reference standard, and flow and timing with the first three focusing on applicability [21].
2.4. Statistical Analysis
The meta-analysis was performed using the suggested standard methodologies for diagnostic precision [22]. We determined the sensitivity, specificity, positive likelihood ratio (PLR), negative likelihood ratio (NLR), and diagnostic odds ratio (DOR), along with the accompanying 95% confidence intervals (CIs) for each research in order to examine the test accuracy. Additionally calculated were the summary receiver operating characteristic (SROC) curves and area under the SROC curve (AUC) [23].
Heterogeneity among studies was calculated using the chi-squared test and Fisher’s exact test [24]. If significant heterogeneity existed among studies, subgroup and meta-regression analyses were conducted using covariates reported in most included studies, as follows: cutoff values, study design (prospective vs. retrospective or not reported), sample size (<100 subjects vs. ≥100 subjects), sampling method (consecutive vs. random or not reported), measurement method (spectrophotometric vs. other), diseased region (ocular sarcoidosis vs. other), and ethnicity (Caucasian vs. Asian). Publication bias was identified using Deeks’ funnel plot [25]. Fagan nomograms were used to compute the posttest probability (PTP) using an overall prevalence of 20%. In this meta-analysis, STATA 15.0 (Stata Corp., College Station, TX, USA) and RevMan 5.2 statistical tools were used (Cochrane Collaboration, Oxford, UK). The threshold for statistical significance was set at p 0.05 for all two-sided statistical tests.
3. Results
3.1. Study Selection
We located 995 records during the literature search. Of these, we identified 64 relevant studies and retrieved their full-text versions. We also retrieved the full texts of six articles obtained during a manual bibliography search. Then, during the second screening stage, we selected 35 studies [15,17,19,26,27,28,29,30,31,32,33,34,35,36,37,38,39,40,41,42,43,44,45,46,47,48,49,50,51,52,53,54,55,56,57] satisfying the eligibility criteria with participants and analyzed their data for our review (Figure S1).
3.2. Clinical Characteristics of the Included Studies
In total, we assessed data from 8645 patients for the utility of sACE in diagnosing sarcoidosis or predicting the active status of the disease. The sample size of included studies varied from 23 to 1541 participants. Among the 35 included studies, 31 [17,26,27,28,29,30,31,32,33,35,36,37,38,39,40,41,42,43,44,45,46,47,48,49,50,51,52,53,54,55,56] with 7571 subjects used sACE to diagnose sarcoidosis, while 9 studies [15,19,26,29,32,34,35,45,57] with 1074 subjects evaluated the predictive accuracy of the active status of sarcoidosis. The clinical summaries of included studies are listed in Table 1 and Table 2.
Table 1.
The clinical summary of included studies for sarcoidosis.
Table 2.
The clinical summary of included studies for active status of sarcoidosis.
3.3. Risk of Bias Assessment
Figure 1 shows the risk of bias across various domains as per the results of applying the QUADAS-2 tool. In this meta-analysis, only 1 out of the 35 studies had a high risk of patient selection bias [26], and two studies had high risks of bias in patient flow and timing [26,41].
Figure 1.
Quality assessment of studies included in the meta-analysis.
3.4. Diagnosis Utility of sACE for Sarcoidosis
Thirty-one studies reported the utility of sACE for diagnosing sarcoidosis (Table 1). The pooled sensitivity and specificity of sACE for patients with sarcoidosis were 60% (95% CI, 52–68%) and 93% (95% CI, 88–96%), respectively (Figure 2). Additionally, the DOR was 19 (95% CI, 12–31), the PLR was 8.4 (95% CI, 5.3–13.3), the NLR was 0.43 (95% CI, 0.36–0.52), and the AUC was 0.84 (95% CI, 0.80–0.87) (Figure 3). Fagan’s nomogram (Figure S2) showed a moderate clinical utility of sACE for diagnosis (positive, 68%; negative, 10%), which was significantly different from the pretest probability 20%.
Figure 2.
Forest plots of sensitivity and specificity of the sACE for diagnosing sarcoidosis. Left: sensitivity; Right: specificity.
Figure 3.
Summary receiver operating characteristic curve.
We found significant between-study variability (heterogeneity) with a chi-squared p value <0.001 and I2 values of 89.33% and 95.60%. In additional, we conducted a meta-regression and subgroup analysis on the basis of cutoff values, study design (prospective vs. retrospective or not reported), sample size (<100 subjects vs. ≥100 subjects), sampling method (consecutive vs. random or not reported), measurement method (spectrophotometric vs. other), diseased region (ocular sarcoidosis vs. other), and ethnicity (Caucasian vs. Asian). The outcome showed that sampling method had an influence on the results of sensitivity and specificity, and the measurement method affected the specificity of sACE (Figure S3). The publication bias in the final set of studies was evaluated using Deeks’ funnel plot asymmetry test. The slope coefficient had a value of 0.44, indicating the absence of publication bias (Figure S4).
Among the included studies, there were eight on the diagnosis of ocular sarcoidosis (Table S1). In this subgroup, the results of interest were as follows: sensitivity, 0.48% (95% CI, 35–61%), and specificity, 96% (95% CI, 89–99%) (Figure S5). Additionally, the AUC was 0.77 (95% CI, 0.73–0.80) (Figure S6). Deeks’ funnel plot asymmetry test showed p = 0.99, suggesting that there was no obvious asymmetry. All of the results are summarized in Table 3. Regarding subgroup analysis by ethnicity, summary estimates for predicting the diagnosis performance of sarcoidosis in Caucasians and Asians are shown in Table S2.
Table 3.
The diagnosis performance of sACE by status of sarcoidosis.
3.5. Predictive Accuracy of sACE for the Active Status of Sarcoidosis
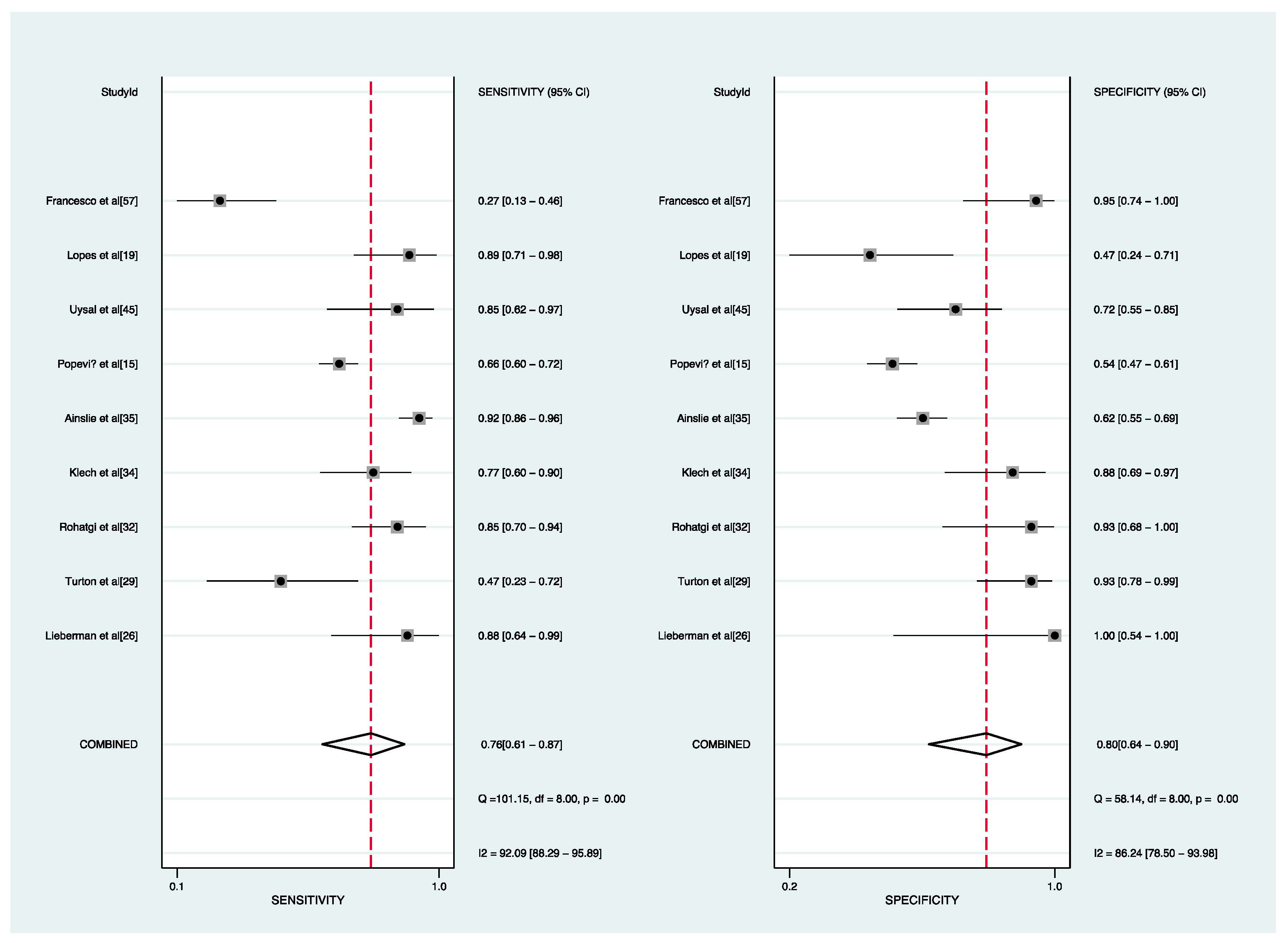
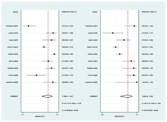
Nine studies were related to the activity of sarcoidosis in this meta-analysis (Table 2). For heterogeneity examination, the I2 values of sensitivity and specificity were 92.09% (95% CI, 88.29–95.89%) and 86.24% (95% CI, 78.50–93.98%), respectively, and a random-effects approach was used to pool the data. The sACE had medium predictive performance based on the pooled sensitivity of 0.76 (95% CI, 0.61–0.87), specificity of 0.80 (95% CI, 0.64–0.90) (Figure 4), PLR of 3.9 (95% CI, 2.1–7.3), NLR of 0.29 (95% CI, 0.17–0.49), and DOR of 13 (95% CI, 6–31). The AUC was 0.85 (95% CI, 0.82–0.88) (Figure 5). The slope coefficients for the ACE were associated with a p-value of 0.1, suggesting a low likelihood of such bias. Because of the limited number of studies that were reviewed for this analysis, we did not carry out a meta-regression to determine the potential source of heterogeneity.
Figure 4.
Forest plots of sensitivity and specificity of the sACE for diagnosing active sarcoidosis Left: sensitivity; right: specificity.
Figure 5.
Receiver operating characteristic curves showing the performance of the sACE for diagnosing active sarcoidosis.
4. Discussion
Sarcoidosis is a systemic granulomatous disease of unknown origin featured by a wide variety of clinical presentations [58]. The disease occurs in adults aged < 40 years, peaking in 20–29-year-olds, with a second peak occurring in patients > 50 years of age, especially in women [59]. Sarcoidosis is an exclusionary diagnosis without objective diagnostic criteria. Confirming the diagnosis of sarcoidosis is a major clinical problem in daily practice. Identification of a validated biological marker would be helpful for diagnosing sarcoidosis. In 1975, Lieberman et al. [26] discovered that sACE activity was increased in the blood of patients with sarcoidosis. Growing studies show that sACE may have potential role both in the diagnosis of sarcoidosis and in predicting the active status of patients with sarcoidosis, but results vary between different studies. Thus, we carried out a meta-analysis to summarize the performance of sACE in diagnosing sarcoidosis and predicting the active status of sarcoidosis.
The meta-analysis of sACE diagnostic performance revealed pooled values for sensitivity (0.60) and specificity (0.93). The AUC of 0.84 was obtained using the SROC curve, which provides a global summary of test results and displays the tradeoff between sensitivity and specificity, suggesting a good overall accuracy. The DOR value combines sensitivity and specificity data into a single number ranging from 0 to infinity, indicating greater discriminatory test performance. In this meta-analysis, the mean DOR was 19, showing that sACE appeared to be effective in identifying sarcoidosis. Both PLR and NLR were classical diagnostic accuracy indicators, and likelihood ratios greater than 10 and less than 0.1 were regarded as strong markers for ruling in or ruling out a diagnosis, respectively [60]. The obtained PLR value of 8.4 suggests that a patient has about a nine-fold higher chance of being diagnosed with sarcoidosis compared to the control, but this value was not high enough for clinical utility. In addition, the NLR was 0.43, which suggests that if the result of sACE is negative, the probability that the patient has sarcoidosis is 43%, and it is not low enough to rule out a diagnosis of sarcoidosis. Sarcoidosis also creates a sight-threatening intraocular inflammatory syndrome that is regarded as a prominent clinical entity of uveitis around the world [61]. Because of the possibility for visual impairment, intraocular tissue biopsies are rarely conducted. The subgroup analysis indicates a sensitivity of 35–61% and a specificity of 89–99% for sACE level in the diagnosis of ocular sarcoidosis. These findings are similar to previous reports (sensitivity, 22–73%; specificity, 70–99.5%) [17,44,53,62,63]. In comparison to sACE, most studies indicated that serum-soluble interleukin-2 receptor is more helpful in the diagnosis of ocular sarcoidosis, as it demonstrates high sensitivity and specificity [17,50,53,54]. According to the results, the clinical meaning of sACE assay is that for patients who have the most common clinical features and imaging changes with the suspicious of sarcoidosis, elevated levels of sACE can be used as a supplementary diagnostic test for sarcoidosis and instruct whether to perform more invasive operations in clinical practice.
On the basis of this meta-analysis, sACE was found to not be sufficiently sensitive and specific enough to diagnose sarcoidosis alone. One study used serum chitotriosidase and sACE values with the multiplication of these values by each other to further improve the diagnostic accuracy. The combination had 90.5% sensitivity, 79.3% specificity, and 90.5% positive and 79.3% negative predictive values, respectively [51]. Ma et al. [64] found that a random forest model had adequate performance for distinguishing between sarcoidosis and tuberculosis by incorporating statistically significant diagnostic factors. In their study, the AUC of the random forest prediction model was 0.915. Different combination models of biomarkers and a new diagnosis model need to be verified further in the future to improve the diagnostic accuracy of sACE.
Rational analysis of the ACE results is necessary. Firstly, the reason why is that the levels of ACE in plasma are stable in a given individual but vary greatly between subjects [65]. A normal range of ACE levels is one that varies three-fold in the tested population from the mean value, even up to 5.7 times among subjects [65,66]. The sACE levels that are within the normal range may actually be high in some people, which is related to the various polymorphisms of the ACE gene. Homozygous carriers of D (DD) or I (II) express the highest and lowest ACE levels, respectively, with intermediate ACE levels for heterozygous ID individuals [67,68]. ACE levels are 30% and 60% greater in individuals with one or two D alleles than in individuals with the II genotype, respectively [68]. Secondly, it has been reported that the ACE I/D polymorphism is associated with susceptibility to sarcoidosis in European and East Asian populations [69]. The mean sACE activity in Asian and Caucasian individuals is significantly higher in those with the DD genotype than in those with the II genotype, with the ID genotype resulting in intermediate values [70]. The I-allele is more common in Asian populations than in Caucasian populations [13]. Recently, use of new genotype-specific reference values for sACE levels has been reported [71,72]. When sACE values calculated diagnostically were compared to the appropriate genotype-specific reference range, the sensitivity and specificity for diagnosing sarcoidosis were 65–70% and 58%, respectively, compared to 47–57% and 77% when utilizing a reference range unsegregated by genotype [72]. The new method improved the sensitivity of tests for sACE during disease follow-up but decreased the specificity of sACE in sarcoidosis. In clinical practice, a Z-score has been developed that corrects the ACE activity for the I/D polymorphism [19,20]. Using the correction for this I/D polymorphism results in a different interpretation in 8.5% of measurements [73]. The fact is that only 20% of the entire variance in tissue and serum ACE is accounted for by this specific ACE I/D polymorphism [68,74]. Thirdly, sACE levels increase in only 60% of sarcoidosis patients [74,75,76], and a large percentage of people with granulomas in the lung will not have high sACE activity. Moreover, sACE levels have been found to be increased in several other inflammatory diseases such as tuberculosis, berylliosis, histoplasmosis, and Gaucher’s disease [28,77,78,79]. Thus, if an individual is below average in sACE level, even though sarcoidosis increases a person’s blood ACE level, it may not be diagnosed with the disease on the basis of blood ACE activity.
There are other factors influencing sACE activity that have been reported, such as age, gender, cigarette smoking, and ACE inhibitor (ACEI) [80]. Lieberman et al. [26] found that enzyme activity was greater in children than in adults. Recently, a new analysis considering age distribution in 1269 patients with sarcoidosis reported a significant decrease in sACE level among patients ≥ 60 years of age [81]. The difference in the results may be affected by the varying age composition of the population between studies. Moreover, Lieberman et al. [26] showed that enzyme activity was greater in male control subjects than in female control subjects of comparable age. However, most studies showed that sACE level did not differ according to sex during a subgroup analysis of sarcoidosis patients [81,82,83]. Cigarette smoking alters the quantity, type, and functional activity of lung immune and inflammatory cells and is a major contributor to the development of sarcoidosis [84]. Cigarette smoking is not only associated with an increase in sACE activity in sarcoidosis patients, but it also increases the concentration of ACE in alveolar fluid with tobacco use [85,86]. The data show alveolar macrophages in smokers exhibit more ACE activity than those in non-smokers, and the activity is even more elevated in sarcoidosis patients [87]. Compared to alveolar macrophages from non-smokers, the ACE activities in those from smokers and patients with sarcoidosis are, respectively, three and five times greater (p < 0.01) [88]. Thus, the interpretation of sACE results should be combined with history taking about cigarette smoking. In addition, ACEI have an effect on the level of sACE; if patients with sarcoidosis use ACEI, sACE levels cannot be used in diagnosis or disease monitoring, and should be interpreted carefully [89].
Importantly, determining whether a patient has active disease or is in remission is a significant difficulty in the management of sarcoidosis patients [19]. The data show the pooled sensitivity and specificity values were 0.76 and 0.80 for sACE to predict sarcoidosis activity, respectively, and the AUC was 0.85. The overall results suggested that the overall predictive ability of sACE for active sarcoidosis exists in the middle of the spectrum. The results show that sACE is helpful in determining the active status of sarcoidosis, and detection of the decrease in elevated blood ACE is a good marker for efficiency of therapy.
The level of sACE was correlated with the granuloma burden in sarcoidosis, which may be a useful adjunctive measure to assess the clinical course of the disease [90]. However, the greater overlapping of sACE activity between sarcoidosis patients and healthy subjects may limit the value of this parameter with regard to monitoring disease activity, especially in patients with chronic disease [91]. Although the data were not that sound, we believe the examination of sACE is helpful for clinicians to make a treatment plan for such patients to some extent.
Corticosteroids are the preferred medication for the treatment of sarcoidosis that work by inhibiting pro-inflammatory cytokines and chemokines implicated in cell-mediated immune responses and granuloma formation [92,93]. Corticosteroid treatment reflects the sACE level in patients with sarcoidosis [19]. It has been reported that resolution of the sarcoidosis disease state or therapeutic control with adequate doses of corticosteroids brought elevated sACE levels down into the normal range [26,94]. When corticosteroid medication is tapered, the enzyme level may re-elevate to basal levels even if there is no disease relapse if the raised enzyme level is much lower than the pretreatment level [95]. Thus, a history of corticosteroids use should be taken into consideration if sACE was used to evaluate the activity of disease.
The limitations of this meta-analysis should be pointed out in order to properly evaluate its results. Although our stringent inclusion and exclusion criteria may have reduced selection bias, they also resulted in a limited final collection of trials, for which the statistical power may not be sufficient to draw firm conclusions about the diagnostic and evaluative capabilities of sACE. Significant heterogeneity among the included studies was identified, and sampling and measuring techniques all affected the outcomes of sensitivity or specificity. Future studies should aim for greater rigor to decrease the risk of bias. Last but not least, we only used papers from a restricted number of literature databases that were published in English. The deletion of unpublished studies, studies published in other languages, and research published in journals not indexed in the databases we examined may have influenced our findings.
5. Conclusions
Taken together, this meta-analysis suggests that assaying sACE of the interpretation should be with cautious. sACE may be useful as an effective index to assess the active status of the disease and to guide the comprehensive management of patients with sarcoidosis.
Supplementary Materials
The following supporting information can be downloaded at https://www.mdpi.com/article/10.3390/biom12101400/s1, Figure S1: Preferred Reporting Items for Meta-Analyses flow diagram of the article selection processes. Figure S2: Fagan nomogram evaluating the overall value of the sACE as a predictor of diagnosing sarcoidosis. Figure S3: Subgroup analysis of potential heterogeneity within the included studies. Meta-regression analysis was performed using the following variables: cut-off values, sample size (<100 subjects vs. ≥100 subjects), study design (prospective vs. retrospective or not reported), sampling method (consecutive vs. random or not reported), measurement method (spectrophotometric vs. other), diseased region (ocular sarcoidosis vs. other), and ethnicity (Caucasian vs. Asian). Figure S4: Deek’s funnel plot to assess risk of publication bias. Figure S5: Forest plots of sensitivity and specificity of the sACE for diagnosing ocular sarcoidosis. Left: sensitivity; right: specificity. Figure S6. Receiver operating characteristic curves showing the performance of the sACE for diagnosing ocular sarcoidosis. Table S1: The clinical summary of included studies for ocular sarcoidosis. Table S2: The diagnosis performance of sACE by ethnicity in sarcoidosis patient.
Author Contributions
X.H. and L.Z. had equal contribution and are coauthors as the first author; X.H. and L.Z. conducted the literature search, extracted the results, and drafted the manuscript; S.W., T.Z. and P.L. conducted data analysis and visualization; L.C. and Y.S. engaged in supervision and writing—review and editing. All authors have read and agreed to the published version of the manuscript.
Funding
This study was supported by the grants from the National Natural Science Foundation of China (31871157, 81830001, 82170046) and the 1•3•5 Project for Disciplines of Excellence at West China Hospital of Sichuan University (2019HXFH042).
Institutional Review Board Statement
Not applicable.
Informed Consent Statement
Not applicable.
Data Availability Statement
Not applicable.
Conflicts of Interest
All authors have read the journal’s policy on disclosure of potential conflict of interest and have none to declare.
References
- Llanos, O.; Hamzeh, N. Sarcoidosis. Med. Clin. N. Am. 2019, 103, 527–534. [Google Scholar] [CrossRef] [PubMed]
- Nardi, A.; Brillet, P.-Y.; Letoumelin, P.; Girard, F.; Brauner, M.; Uzunhan, Y.; Naccache, J.-M.; Valeyre, D.; Nunes, H. Stage IV sarcoidosis: Comparison of survival with the general population and causes of death. Eur. Respir. J. 2011, 38, 1368–1373. [Google Scholar] [CrossRef] [PubMed]
- Valeyre, D.; Prasse, A.; Nunes, H.; Uzunhan, Y.; Brillet, P.-Y.; Müller-Quernheim, J. Sarcoidosis. Lancet 2014, 383, 1155–1167. [Google Scholar] [CrossRef]
- Costabel, U.; Ohshimo, S.; Guzman, J. Diagnosis of sarcoidosis. Curr. Opin. Pulm. Med. 2008, 14, 455–461. [Google Scholar] [CrossRef]
- Crouser, E.D.; Maier, L.A.; Wilson, K.C.; Bonham, C.A.; Morgenthau, A.S.; Patterson, K.C.; Abston, E.; Bernstein, R.C.; Blankstein, R.; Chen, E.S.; et al. Diagnosis and Detection of Sarcoidosis. An Official American Thoracic Society Clinical Practice Guideline. Am. J. Respir. Crit. Care Med. 2020, 201, e26–e51. [Google Scholar] [CrossRef]
- Heinle, R.; Chang, C. Diagnostic criteria for sarcoidosis. Autoimmun. Rev. 2014, 13, 383–387. [Google Scholar] [CrossRef]
- Millward, K.; Fiddler, C.A.; Thillai, M. Update on sarcoidosis guidelines. Curr. Opin. Pulm. Med. 2021, 27, 484–489. [Google Scholar] [CrossRef]
- American Thoracic Society. Statement on Sarcoidosis. Joint Statement of the American Thoracic Society (ATS), the European Respiratory Society (ERS) and the World Association of Sarcoidosis and Other Granulomatous Disorders (WASOG) adopted by the ATS Board of Direc-tors and by the ERS Executive Committee, February 1999. Am. J. Respir. Crit. Care Med. 1999, 160, 736–755. [Google Scholar] [CrossRef]
- Soto-Gomez, N.; Peters, J.I.; Nambiar, A. Diagnosis and Management of Sarcoidosis. Am. Fam. Physician 2016, 93, 840–848. [Google Scholar]
- Chopra, A.; Kalkanis, A.; Judson, M.A. Biomarkers in sarcoidosis. Expert Rev. Clin. Immunol. 2016, 12, 1191–1208. [Google Scholar] [CrossRef]
- Ghafouri-Fard, S.; Noroozi, R.; Omrani, M.D.; Branicki, W.; Pośpiech, E.; Sayad, A.; Pyrc, K.; Łabaj, P.; Vafaee, R.; Taheri, M.; et al. Angiotensin converting enzyme: A review on expression profile and its association with human disorders with special focus on SARS-CoV-2 infection. Vasc. Pharmacol. 2020, 130, 106680. [Google Scholar] [CrossRef] [PubMed]
- Liu, M.; Wang, T.; Zhou, Y.; Zhao, Y.; Zhang, Y.; Li, J. Potential role of ACE2 in coronavirus disease 2019 (COVID-19) prevention and management. J. Transl. Intern. Med. 2020, 8, 9–19. [Google Scholar] [CrossRef] [PubMed]
- Yang, H.; Mo, T.; Nie, W.; Li, B. Angiotensin converting enzyme I/D polymorphism and sarcoidosis risk. Sarcoidosis Vasc. Diffus. lung Dis. Off. J. WASOG 2016, 32, 284–288. [Google Scholar]
- Rosen, Y. Pathology of Sarcoidosis. Semin. Respir. Crit. Care Med. 2007, 28, 036–052. [Google Scholar] [CrossRef] [PubMed]
- Popević, S.; Šumarac, Z.; Jovanović, D.; Babić, D.; Stjepanović, M.; Jovičić, S.; Šobić-Šaranović, D.; Filipović, S.; Gvozdenović, B.; Omčikus, M.; et al. Verifying Sarcoidosis Activity: Chitotriosidase Versus ACE in Sarcoidosis—A Case-Control Study. J. Med. Biochem. 2016, 35, 390–400. [Google Scholar] [CrossRef] [PubMed]
- Duan, J.; Xu, Y.; Zhu, H.; Zhang, H.; Sun, S.; Sun, H.; Wang, W.; Xie, S. Relationship between CT activity score with lung function and the serum angiotensin converting enzyme in pulmonary sarcoidosis on chest HRCT. Medicine 2018, 97, e12205. [Google Scholar] [CrossRef]
- Gundlach, E.; Hoffmann, M.M.; Prasse, A.; Heinzelmann, S.; Ness, T. Interleukin-2 Receptor and Angiotensin-Converting Enzyme as Markers for Ocular Sarcoidosis. PLoS ONE 2016, 11, e0147258. [Google Scholar] [CrossRef]
- Romer, F.K. Angiotensin-converting enzyme activity in sarcoidosis and other disorders. Sarcoidosis 1985, 2, 25–34. [Google Scholar]
- Lopes, M.C.; Amadeu, T.P.; Ribeiro-Alves, M.; da Costa, C.H.; Rodrigues, L.S.; Bessa, E.J.C.; Bruno, L.P.; Lopes, A.J.; Rufino, R. Identification of Active Sarcoidosis Using Chitotriosidase and Angiotensin-Converting Enzyme. Lung 2019, 197, 295–302. [Google Scholar] [CrossRef]
- Leeflang, M. Systematic reviews and meta-analyses of diagnostic test accuracy. Clin. Microbiol. Infect. 2014, 20, 105–113. [Google Scholar] [CrossRef]
- Whiting, P.F.; Rutjes, A.W.S.; Westwood, M.E.; Mallett, S.; Deeks, J.J.; Reitsma, J.B.; Leeflang, M.M.G.; Sterne, J.A.C.; Bossuyt, P.M.M.; QUADAS-2 Group. QUADAS-2: A Revised Tool for the Quality Assessment of Diagnostic Accuracy Studies. Ann. Intern. Med. 2011, 155, 529–536. [Google Scholar] [CrossRef] [PubMed]
- Devillé, W.L.; Buntinx, F.; Bouter, L.M.; Montori, V.M.; de Vet, H.C.W.; van der Windt, D.A.W.M.; Bezemer, P.D. Conducting systematic reviews of diagnostic studies: Didactic guidelines. BMC Med. Res. Methodol. 2002, 2, 9. [Google Scholar] [CrossRef] [PubMed]
- Moses, L.E.; Shapiro, D.; Littenberg, B. Combining independent studies of a diagnostic test into a summary roc curve: Data-analytic approaches and some additional considerations. Stat. Med. 1993, 12, 1293–1316. [Google Scholar] [CrossRef] [PubMed]
- Spineli, L.M.; Pandis, N. Exploring heterogeneity in meta-analysis: Subgroup analysis. Part 1. Am. J. Orthod. Dentofac. Orthop. 2020, 158, 302–304. [Google Scholar] [CrossRef] [PubMed]
- Deeks, J.J.; Macaskill, P.; Irwig, L. The performance of tests of publication bias and other sample size effects in systematic reviews of diagnostic test accuracy was assessed. J. Clin. Epidemiology 2005, 58, 882–893. [Google Scholar] [CrossRef] [PubMed]
- Lieberman, J. Elevation of serum angiotension-converting-enzyme (ACE) level in sarcoidosis. Am. J. Med. 1975, 59, 365–372. [Google Scholar] [CrossRef]
- Silverstein, E.; Friedland, J.; Lyons, H.A.; Gourin, A. Elevation of angiotensin-converting enzyme in granulomatous lymph nodes and serum in sarcoidosis: Clinical and possible pathogenic significance. Ann. N. Y. Acad. Sci. 1976, 278, 498–513. [Google Scholar] [CrossRef]
- Studdy, P.; Bird, R.; James, D.G.; Sherlock, S. Serum angiotensin-converting enzyme (SACE) in sarcoidosis and other granulomatous disorders. Lancet 1978, 312, 1331–1334. [Google Scholar] [CrossRef]
- Turton, C.W.; Grundy, E.; Firth, G.; Mitchell, D.; Rigden, B.G.; Turner-Warwick, M. Value of measuring serum angiotensin I converting enzyme and serum lysozyme in the management of sarcoidosis. Thorax 1979, 34, 57–62. [Google Scholar] [CrossRef]
- Lieberman, J.; Nosal, A.; Schlessner, A.; Sastre-Foken, A. Serum angiotensin-converting enzyme for diagnosis and therapeutic evaluation of sarcoidosis. Am. Rev. Respir. Dis. 1979, 120, 329–335. [Google Scholar] [CrossRef]
- Rohrbach, M.S.; DeRemee, R.A. Serum angiotensin converting enzyme activity in sarcoidosis as measured by a simple radiochemical assay. Am. Rev. Respir. Dis. 1979, 119, 761–767. [Google Scholar] [CrossRef] [PubMed]
- Rohatgi, P.K.; Ryan, J.W. Simple Radioassay for Measuring Serum Activity of Angiotensin-Converting Enzyme in Sarcoidosis. Chest 1980, 78, 69–76. [Google Scholar] [CrossRef] [PubMed]
- Ryder, K.W.; Jay, S.J.; Jackson, S.A.; Hoke, S.R. Characterization of a spectrophotometric assay for angiotensin converting enzyme. Clin. Chem. 1981, 27, 530–534. [Google Scholar] [CrossRef] [PubMed]
- Klech, H.; Kohn, H.; Kummer, F.; Mostbeck, A. Assessment of Activity in Sarcoidosis: Sensitivity and Specificity of 67gallium Scintigraphy, Serum Ace Levels, Chest Roentgenography, and Blood Lymphocyte Subpopulations. Chest 1982, 82, 732–738. [Google Scholar] [CrossRef] [PubMed]
- Ainslie, G.M.; Benatar, S.R. Serum Angiotensin Converting Enzyme in Sarcoidosis: Sensitivity and Specificity in Diagnosis: Correlations with Disease Activity, Duration, Extra-thoracic Involvement, Radiographic Type and Therapy. QJM Int. J. Med. 1985, 55, 253–270. [Google Scholar] [CrossRef]
- Baarsma, G.; La Hey, E.; Glasius, E.; de Vries, J.; Kijlstra, A. The Predictive Value of Serum Angiotensin Converting Enzyme and Lysozyme Levels in the Diagnosis of Ocular Sarcoidosis. Am. J. Ophthalmol. 1987, 104, 211–217. [Google Scholar] [CrossRef]
- Bunting, P.S.; Szalai, J.P.; Katic, M. Diagnostic aspects of angiotensin converting enzyme in pulmonary sarcoidosis. Clin. Biochem. 1987, 20, 213–219. [Google Scholar] [CrossRef]
- Power, W.J.; Neves, R.A.; Rodriguez, A.; Pedroza-Seres, M.; Foster, C.S. The Value of Combined Serum Angiotensin-converting Enzyme and Gallium Scan in Diagnosing Ocular Sarcoidosis. Ophthalmology 1995, 102, 2007–2011. [Google Scholar] [CrossRef]
- Khan, A.H.; Ghani, F.; Khan, M.A.; Khurshid, M. Role of serum angiotensin converting enzyme in sarcoidosis. J. Pak. Med. Assoc. 1998, 48, 131. [Google Scholar]
- Kawaguchi, T.; Hanada, A.; Horie, S.; Sugamoto, Y.; Sugita, S.; Mochizuki, M. Evaluation of Characteristic Ocular Signs and Systemic Investigations in Ocular Sarcoidosis Patients. Jpn. J. Ophthalmol. 2007, 51, 121–126. [Google Scholar] [CrossRef]
- Bons, J.A.; Drent, M.; Bouwman, F.G.; Mariman, E.C.; van Dieijen-Visser, M.P.; Wodzig, W.K. Potential biomarkers for diagnosis of sarcoidosis using proteomics in serum. Respir. Med. 2007, 101, 1687–1695. [Google Scholar] [CrossRef] [PubMed]
- De Smet, D.; Martens, G.A.; Berghe, B.V.; Meysman, M.; Heylen, O.; Gorus, F.K.; De Waele, M. Use of Likelihood Ratios Improves Interpretation of Laboratory Testing for Pulmonary Sarcoidosis. Am. J. Clin. Pathol. 2010, 134, 939–947. [Google Scholar] [CrossRef] [PubMed]
- Gungor, S.; Ozseker, F.; Yalcinsoy, M.; Akkaya, E.; Can, G.; Eroglu, H.; Genc, N.S. Conventional markers in determination of activity of sarcoidosis. Int. Immunopharmacol. 2015, 25, 174–179. [Google Scholar] [CrossRef] [PubMed]
- Groen-Hakan, F.; Eurelings, L.; Berge, J.C.T.; Van Laar, J.; Ramakers, C.R.B.; Dik, W.A.; Rothova, A. Diagnostic Value of Serum-Soluble Interleukin 2 Receptor Levels vs Angiotensin-Converting Enzyme in Patients with Sarcoidosis-Associated Uveitis. JAMA Ophthalmol. 2017, 135, 1352–1358. [Google Scholar] [CrossRef] [PubMed]
- Uysal, P.; Durmus, S.; Sozer, V.; Gelisgen, R.; Seyhan, E.C.; Erdenen, F.; Simsek, G.; Uzun, H. YKL-40, Soluble IL-2 Receptor, Angiotensin Converting Enzyme and C-Reactive Protein: Comparison of Markers of Sarcoidosis Activity. Biomolecules 2018, 8, 84. [Google Scholar] [CrossRef] [PubMed]
- Niederer, R.; Al-Janabi, A.; Lightman, S.L.; Tomkins-Netzer, O. Serum Angiotensin-Converting Enzyme Has a High Negative Predictive Value in the Investigation for Systemic Sarcoidosis. Am. J. Ophthalmol. 2018, 194, 82–87. [Google Scholar] [CrossRef] [PubMed]
- Csongrádi, A.; Enyedi, A.; Takács, I.; Végh, T.; Mányiné, I.S.; Pólik, Z.; Altorjay, I.T.; Balla, J.; Balla, G.; Édes, I.; et al. Optimized angiotensin-converting enzyme activity assay for the accurate diagnosis of sarcoidosis. Clin. Chem. Lab. Med. (CCLM) 2018, 56, 1117–1125. [Google Scholar] [CrossRef]
- Eurelings, L.E.M.; Miedema, J.R.; Dalm, V.A.S.H.; Van Daele, P.L.A.; Van Hagen, P.M.; Van Laar, J.A.M.; Dik, W.A. Sensitivity and specificity of serum soluble interleukin-2 receptor for diagnosing sarcoidosis in a population of patients suspected of sarcoidosis. PLoS ONE 2019, 14, e0223897. [Google Scholar] [CrossRef]
- Baba, Y.; Kubo, T.; Yamanaka, S.; Ochi, Y.; Hirota, T.; Yamasaki, N.; Ohnishi, H.; Kubota, T.; Yokoyama, A.; Kitaoka, H. Reconsideration of the cut-off value of angiotensin-converting enzyme for screening of sarcoidosis in Japanese patients. J. Cardiol. 2019, 74, 507–511. [Google Scholar] [CrossRef]
- Ishihara, M.; Meguro, A.; Ishido, M.; Takeuchi, M.; Shibuya, E.; Mizuki, N. Usefulness of Combined Measurement of Serum Soluble IL-2R and Angiotensin-Converting Enzyme in the Detection of Uveitis Associated with Japanese Sarcoidosis. Clin. Ophthalmol. 2020, 14, 2311–2317. [Google Scholar] [CrossRef]
- Enyedi, A.; Csongrádi, A.; Altorjay, I.T.; Beke, G.L.; Váradi, C.; Enyedi, E.E.; Kiss, D.R.; Bányai, E.; Kalina, E.; Kappelmayer, J.; et al. Combined application of angiotensin converting enzyme and chitotriosidase analysis improves the laboratory diagnosis of sarcoidosis. Clin. Chim. Acta 2019, 500, 155–162. [Google Scholar] [CrossRef] [PubMed]
- Komoriyama, H.; Omote, K.; Nagai, T.; Kato, Y.; Nagano, N.; Koyanagawa, K.; Kamiya, K.; Konishi, T.; Sato, T.; Kobayashi, Y.; et al. Lower left ventricular ejection fraction and higher serum angiotensin-converting enzyme activity are associated with histopathological diagnosis by endomyocardial biopsy in patients with cardiac sarcoidosis. Int. J. Cardiol. 2020, 321, 113–117. [Google Scholar] [CrossRef] [PubMed]
- Suzuki, K.; Namba, K.; Mizuuchi, K.; Iwata, D.; Ito, T.; Hase, K.; Kitaichi, N.; Ishida, S. Validation of systemic parameters for the diagnosis of ocular sarcoidosis. Jpn. J. Ophthalmol. 2021, 65, 191–198. [Google Scholar] [CrossRef] [PubMed]
- Papasavvas, I.; Gehrig, B.; Herbort, C.P., Jr. The Comparative Value of Serum Angiotensin Converting Enzyme (ACE) and Lysozyme and the Use of Polyclonal Antibody Activation in the Work-up of Ocular Sarcoidosis. Diagnostics 2021, 11, 608. [Google Scholar] [CrossRef] [PubMed]
- Sunaga, N.; Koga, Y.; Hachisu, Y.; Yamaguchi, K.; Aikawa, M.; Kasahara, N.; Miura, Y.; Tsurumaki, H.; Yatomi, M.; Sakurai, R.; et al. Role of Neuron-Specific Enolase in the Diagnosis and Disease Monitoring of Sarcoidosis. Can. Respir. J. 2022, 2022, 3726395. [Google Scholar] [CrossRef]
- Wang, W.; Ma, Y.; Zhang, Y.; Lin, J.; He, J.; Nong, Y.; Zhang, X.; Jia, Y. Diagnostic and Staging Value of Serum Angiotensin-Converting Enzyme in Sarcoidosis. Comput. Math. Methods Med. 2022, 2022, 4657502. [Google Scholar] [CrossRef]
- Di Francesco, A.M.; Verrecchia, E.; Sicignano, L.L.; Massaro, M.G.; Antuzzi, D.; Covino, M.; Pasciuto, G.; Richeldi, L.; Manna, R. The Use of Chitotriosidase as a Marker of Active Sarcoidosis and in the Diagnosis of Fever of Unknown Origin (FUO). J. Clin. Med. 2021, 10, 5283. [Google Scholar] [CrossRef]
- El Jammal, T.; Jamilloux, Y.; Gerfaud-Valentin, M.; Richard-Colmant, G.; Weber, E.; Bert, A.; Androdias, G.; Sève, P. Challenging Mimickers in the Diagnosis of Sarcoidosis: A Case Study. Diagnostics 2021, 11, 1240. [Google Scholar] [CrossRef]
- Baughman, R.P.; Teirstein, A.S.; Judson, M.A.; Rossman, M.D.; Yeager, H., Jr.; Bresnitz, E.A.; DePalo, L.; Hunninghake, G.; Iannuzzi, M.C.; Johns, C.J.; et al. Clinical Characteristics of Patients in a Case Control Study of Sarcoidosis. Am. J. Respir. Crit. Care Med. 2001, 164, 1885–1889. [Google Scholar] [CrossRef]
- Deeks, J.J.; Altman, D.G. Diagnostic tests 4: Likelihood ratios. BMJ 2004, 329, 168–169. [Google Scholar] [CrossRef]
- Springer-Wanner, C.; Brauns, T. Okuläre Sarkoidose. Zeitschrift Für Rheumatol. 2017, 76, 391–397. [Google Scholar] [CrossRef] [PubMed]
- Febvay, C.; Kodjikian, L.; Maucort-Boulch, D.; Perard, L.; Iwaz, J.; Jamilloux, Y.; Broussolle, C.; Burillon, C.; Seve, P. Clinical features and diagnostic evaluation of 83 biopsy-proven sarcoid uveitis cases. Br. J. Ophthalmol. 2015, 99, 1372–1376. [Google Scholar] [CrossRef] [PubMed]
- Studdy, P.R.; Bird, R. Serum Angiotensin Converting Enzyme in Sarcoidosis—Its Value in Present Clinical Practice. Ann. Clin. Biochem. Int. J. Lab. Med. 1989, 26, 13–18. [Google Scholar] [CrossRef] [PubMed]
- Ma, J.; Yin, H.; Hao, X.; Sha, W.; Cui, H. Development of a random forest model to classify sarcoidosis and tuberculosis. Am. J. Transl. Res. 2021, 13, 6166–6174. [Google Scholar]
- Alhenc-Gelas, F.; Richard, J.; Courbon, D.; Warnet, J.M.; Corvol, P. Distribution of plasma angiotensin I-converting enzyme levels in healthy men: Relationship to environmental and hormonal parameters. J. Lab. Clin. Med. 1991, 117, 33–39. [Google Scholar]
- Samokhodskaya, L.M.; Jain, M.S.; Kurilova, O.V.; Bobkov, A.P.; Kamalov, A.A.; Dudek, S.M.; Danilov, S.M. Phenotyping Angiotensin-Converting Enzyme in Blood: A Necessary Approach for Precision Medicine. J. Appl. Lab. Med. 2021, 6, 1179–1191. [Google Scholar] [CrossRef]
- Rigat, B.; Hubert, C.; Alhenc-Gelas, F.; Cambien, F.; Corvol, P.; Soubrier, F. An insertion/deletion polymorphism in the angiotensin I-converting enzyme gene accounting for half the variance of serum enzyme levels. J. Clin. Investig. 1990, 86, 1343–1346. [Google Scholar] [CrossRef]
- Danser, A.J.; Batenburg, W.W.; Meiracker, A.H.V.D.; Danilov, S.M. ACE phenotyping as a first step toward personalized medicine for ACE inhibitors. Why does ACE genotyping not predict the therapeutic efficacy of ACE inhibition? Pharmacol. Ther. 2007, 113, 607–618. [Google Scholar] [CrossRef]
- Song, G.G.; Kim, J.-H.; Lee, Y.H. Associations between the angiotensin-converting enzyme insertion/deletion polymorphism and susceptibility to sarcoidosis: A meta-analysis. J. Renin-Angiotensin-Aldosterone Syst. 2013, 16, 219–226. [Google Scholar] [CrossRef]
- Fløe, A.; Hoffmann, H.J.; Nissen, P.H.; Møller, H.J.; Hilberg, O. Genotyping increases the yield of angiotensin-converting enzyme in sarcoidosis—A systematic review. Dan. Med, J. 2014, 61, A4815. [Google Scholar]
- Biller, H.; Zissel, G.; Ruprecht, B.; Nauck, M.; Grawitz, A.B.; Muller-Quernheim, J. Genotype-corrected reference values for serum angiotensin-converting enzyme. Eur. Respir. J. 2006, 28, 1085–1091. [Google Scholar] [CrossRef] [PubMed]
- Stokes, G.S.; Monaghan, J.C.; Schrader, A.P.; Glenn, C.L.; Ryan, M.; Morris, B.J. Influence of angiotensin converting enzyme (ACE) genotype on interpretation of diagnostic tests for serum ACE activity. Aust. N. Z. J. Med. 1999, 29, 315–318. [Google Scholar] [CrossRef] [PubMed]
- Kruit, A.; Grutters, J.C.; Gerritsen, W.B.; Kos, S.; Wodzig, W.K.; Bosch, J.M.V.D.; Ruven, H.J. ACE I/D-corrected Z-scores to identify normal and elevated ACE activity in sarcoidosis. Respir. Med. 2007, 101, 510–515. [Google Scholar] [CrossRef] [PubMed]
- Danilov, S.M.; Kurilova, O.V.; Sinitsyn, V.E.; Kamalov, A.A.; Garcia, J.G.N.; Dudek, S.M. Predictive potential of ACE phenotyping in extrapulmonary sarcoidosis. Respir. Res. 2022, 23, 211. [Google Scholar] [CrossRef]
- Alia, P.; Mañá, J.; Capdevila, O.; Alvarez, A.; Navarro, M.A. Association between ACE gene I/D polymorphism and clinical presentation and prognosis of sarcoidosis. Scand. J. Clin. Lab. Investig. 2005, 65, 691–698. [Google Scholar] [CrossRef]
- Rømer, F.K. Clinical and biochemical aspects of sarcoidosis. With special reference to angiotensin-converting enzyme (ACE). Acta Med. Scand. Suppl. 1984, 690, 3–96. [Google Scholar]
- Brice, E.A.; Friedlander, W.; Bateman, E.D.; Kirsch, B.E. Serum Angiotensin-Converting Enzyme Activity, Concentration, and Specific Activity in Granulomatous Interstitial Lung Disease, Tuberculosis, and COPD. Chest 1995, 107, 706–710. [Google Scholar] [CrossRef]
- Maier, L.A.; Raynolds, M.V.; Young, D.A.; Barker, E.A.; Newman, L.S. Angiotensin-1 Converting Enzyme Polymorphisms in Chronic Beryllium Disease. Am. J. Respir. Crit. Care Med. 1999, 159, 1342–1350. [Google Scholar] [CrossRef]
- Ryder, K.W.; Jay, S.J.; Kiblawi, S.O.; Hull, M.T. Serum angiotensin converting enzyme activity in patients with histoplasmosis. JAMA 1983, 249, 1888–1889. [Google Scholar] [CrossRef]
- Khurana, V.; Goswami, B. Angiotensin converting enzyme (ACE). Clin. Chim. Acta 2021, 524, 113–122. [Google Scholar] [CrossRef]
- Kocak, N.D.; Gungor, S.; Akturk, U.A.; Yalcinsoy, M.; Kavas, M.; Oztas, S.; Akkaya, M.E.; Aksoy, E.; Agca, M.C.; Duman, D.; et al. Analysis of Age Distribution and Disease Presentation of 1269 Patients with Sarcoidosis. Eurasian J. Med. 2017, 49, 161–166. [Google Scholar] [CrossRef] [PubMed]
- Birnbaum, A.D.; Rifkin, L.M. Sarcoidosis: Sex-Dependent Variations in Presentation and Management. J. Ophthalmol. 2014, 2014, 236905. [Google Scholar] [CrossRef] [PubMed]
- Khoury, F.; Teasdale, P.R.; Smith, L.; Jones, O.G.; Carter, J.R. Angiotensin-converting enzyme in sarcoidosis: A British study. Br. J. Dis. Chest 1979, 73, 382–388. [Google Scholar] [CrossRef]
- Yeager, H.; Williams, M.C.; Beekman, J.F.; Bayly, T.C.; Beaman, B.L. Sarcoidosis: Analysis of cells obtained by bronchial lavage. Am. Rev. Respir. Dis. 1977, 116, 951–955. [Google Scholar] [CrossRef]
- Valeyre, D.; Soler, P.; Clerici, C.; Pre, J.; Battesti, J.P.; Georges, R.; Hance, A.J. Smoking and pulmonary sarcoidosis: Effect of cigarette smoking on prevalence, clinical manifestations, alveolitis, and evolution of the disease. Thorax 1988, 43, 516–524. [Google Scholar] [CrossRef]
- Mordelet-Dambrine, M.S.; Stanislas-Leguern, G.M.; Huchon, G.J.; Baumann, F.C.; Marsac, J.H.; Chrétien, J. Elevation of the bronchoalveolar concentration of angiotensin I converting enzyme in sarcoidosis. Am. Rev. Respir. Dis. 1982, 126, 472–475. [Google Scholar] [CrossRef]
- Sugiyama, Y.; Yotsumoto, H.; Okabe, T.; Takaku, F. Measurement of Angiotensin-Converting Enzyme Activity in Intact Human Alveolar Macrophages and Effect of Smoking. Respiration 1988, 53, 153–157. [Google Scholar] [CrossRef]
- Hinman, L.M.; Stevens, C.; Matthay, R.A.; Gee, J.B.L. Angiotensin Convertase Activities in Human Alveolar Macrophages: Effects of Cigarette Smoking and Sarcoidosis. Science 1979, 205, 202–203. [Google Scholar] [CrossRef]
- Krasowski, M.D.; Savage, J.; Ehlers, A.; Maakestad, J.; Schmidt, G.A.; La’Ulu, S.L.; Rasmussen, N.N.; Strathmann, F.G.; Genzen, J.R. Ordering of the Serum Angiotensin-Converting Enzyme Test in Patients Receiving Angiotensin-Converting Enzyme Inhibitor Therapy: An Avoidable but Common Error. Chest 2015, 148, 1447–1453. [Google Scholar] [CrossRef]
- Selroos, O.B. Value of biochemical markers in serum for determination of disease activity in sarcoidosis. Sarcoidosis 1984, 1, 45–49. [Google Scholar]
- Grosso, S.; Margollicci, M.A.; Bargagli, E.; Buccoliero, Q.R.; Perrone, A.; Galimberti, D.; Morgese, G.; Balestri, P.; Rottoli, P. Serum levels of chitotriosidase as a marker of disease activity and clinical stage in sarcoidosis. Scand. J. Clin. Lab. Investig. 2004, 64, 57–62. [Google Scholar] [CrossRef] [PubMed]
- Judson, M.A. Corticosteroids in Sarcoidosis. Rheum. Dis. Clin. North Am. 2016, 42, 119–135. [Google Scholar] [CrossRef] [PubMed]
- Grutters, J.C.; Bosch, J.M.M.V.D. Corticosteroid treatment in sarcoidosis. Eur. Respir. J. 2006, 28, 627–636. [Google Scholar] [CrossRef] [PubMed]
- Lieberman, J. The specificity and nature of serum-angiotensin-converting enzyme (serum ACE) elevations in sarcoidosis. Ann. N. Y. Acad. Sci. 1976, 278, 488–497. [Google Scholar] [CrossRef] [PubMed]
- Yotsumoto, H. Longitudinal Observations of Serum Angiotensin-converting Enzyme Activity in Sarcoidosis with and Without Treatment. Chest 1982, 82, 556–559. [Google Scholar] [CrossRef] [PubMed]
Publisher’s Note: MDPI stays neutral with regard to jurisdictional claims in published maps and institutional affiliations. |
© 2022 by the authors. Licensee MDPI, Basel, Switzerland. This article is an open access article distributed under the terms and conditions of the Creative Commons Attribution (CC BY) license (https://creativecommons.org/licenses/by/4.0/).




