Predicting Protein–Protein Interactions via Gated Graph Attention Signed Network
Abstract
1. Introduction
- PPIs are transformed into a signed network with rich semantic information, and the proposed SN-GGAT method is applied to the network, thus enabling the accurate prediction of unknown sign information (i.e., interactions) between proteins.
- We propose the application of GAT to signed networks while retaining the original advantage of GAT and expressing the polarity of the edge more accurately.
- We define a gating mechanism to determine high-order neighbors that affect a node and innovatively define an attention mechanism to demonstrate that the low-order neighbors of a node have a relatively greater influence on a node. In comparison, high-order neighbors have less influence.
- To obtain a good interpretative network embedding, we strengthen the constraint of the balance theory on the sign propagation process.
2. Materials and Methods
2.1. Materials
2.1.1. Saccharomyces cerevisiae Core Dataset
2.1.2. Human Dataset
2.2. Related Definition
2.2.1. PPI Signed Network
2.2.2. Balance Theory
2.2.3. PPI Signed Accessibility Matrix
2.2.4. Node Update Rules for PPI Signed Network
2.3. Proposed SN-GGAT Method
2.3.1. Model Framework
2.3.2. Model Interpretation
2.3.3. Gating Mechanism
2.3.4. Attention Mechanism
- (1)
- The first-order neighbor of node i is the node directly associated with node i; therefore, first-order neighbor nodes have the greatest influence on node i.
- (2)
- With increasing order, the influence of high-order neighbors of node i on node i decreases gradually.
- (3)
- The positive and negative links of node i have the opposite influence on node i.
- (4)
- The above influences specifically refer to attention and are well implemented in the attention accessibility matrix output by the gating mechanism.
2.3.5. Algorithm
| Algorithm 1 Gated Graph Attention for Signed Network (SN-GGAT) |
| Input: |
| PPIs adjacency matrix A; |
| The number of nodes n; |
| The order of accessibility matrix m; |
| Epochs E. |
| Output: |
| Node feature matrix Z; |
| Reconstructed adjacency matrix . |
| 1: ←A |
| 2: if m! = 1 then |
| 3: for do |
| 4: |
| 5: |
| 6: |
| 7: end for |
| 8: end if |
| 9: for epoch ∈ {1, …, E} do |
| 10: for i ∈ {0, …, n − 1} do |
| 11: coef |
| 12: |
| 13: |
| 14: end for |
| 15: |
| 16: |
| 17: Update parameters with |
| 18: end for |
3. Results and Discussion
3.1. Link Sign Prediction of the Saccharomyces Cerevisiae PPI Signed Network
3.1.1. Computation Settings
3.1.2. Evaluation Criteria
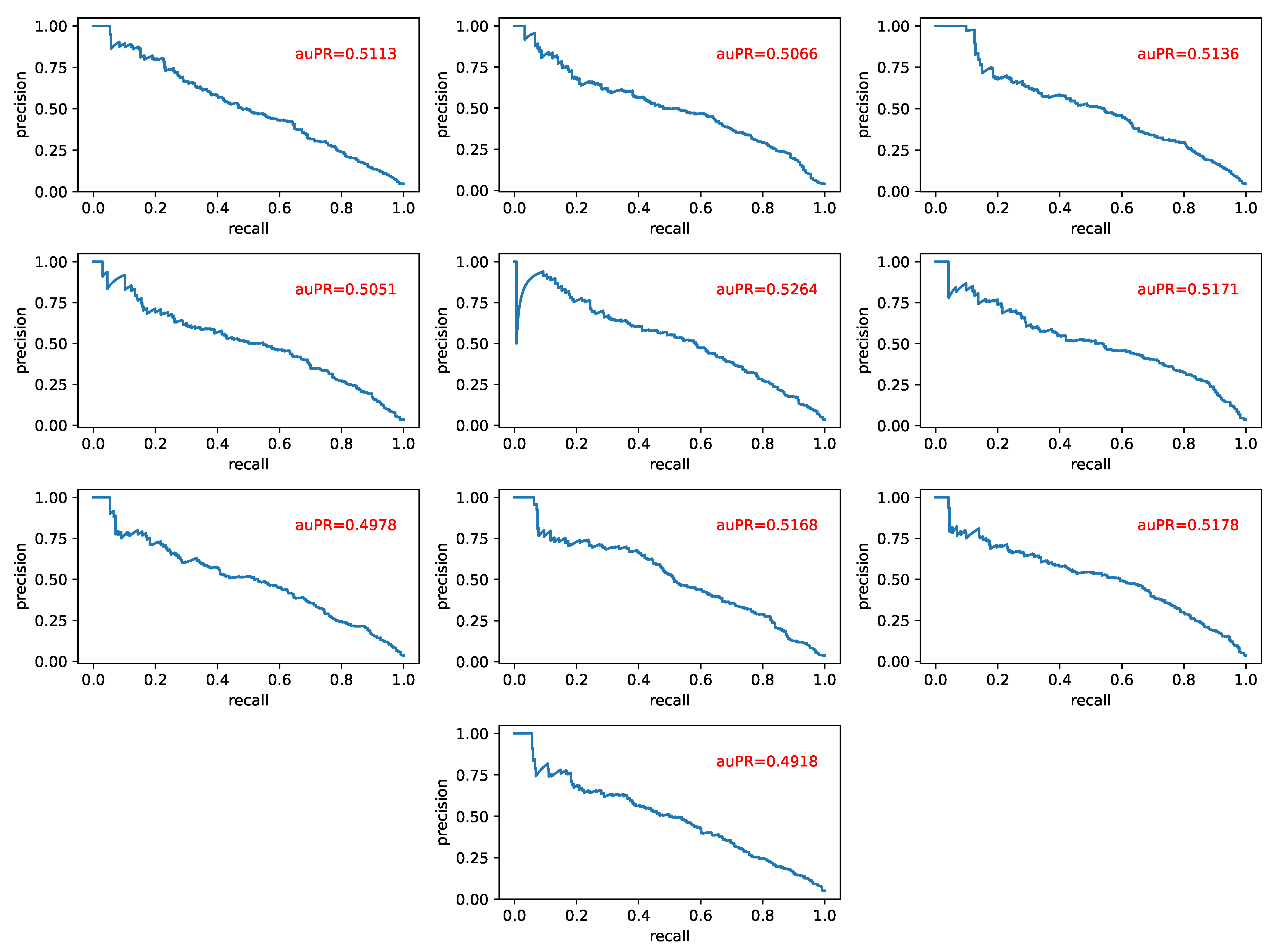
3.1.3. Test Results
- Wong’s method: this method is a combination of the Rotating Forest (RF) model and a new feature representation for PPIs detection. In this method, the response matrix (PR) method is used to transform the amino acid sequence into a matrix, and then the texture descriptor based on local phase quantization (LPQ) is used to extract the local phrase information in the matrix.
- Du’s method: This method uses a deep neural network to learn protein representation from common protein descriptors effectively, and extracts useful features of protein pairs by a layer-wise abstraction.
- DEEPFE-PPIs: This method employs a new residue representation called Res2vec, which provides effective input for the downstream deep learning model. PPIs can be accurately inferred when protein structure knowledge is completely unknown.
- Song’s method: In this method, a random projection ensemble classifier (RPEC) is used to identify new PPIs based on the evolutionary information contained in protein amino acid sequences.
3.1.4. Parameter Discussion
- The first-order neighbors of a node have the highest influence on the node; therefore, the result obtained using were second only to the result obtained using .
- As only considers first-order neighbor nodes as neighbors and does not consider second-order neighbor nodes, will consider high-order information more comprehensively. The gating mechanism reasonably allocates the attention weight for the first- and second-order nodes, thus improving the test results when .
- When , the model’s result was very poor. There may be two reasons for this. First, according to the principle of the defined gating mechanism, the higher the accessibility matrix’s order, the higher the number of high-order nodes that are assigned attention. When the attention weight is calculated using Equation (15), under the influence of high-order neighbors, the proportion of the influence of first-order neighbors on nodes decreases, thereby worsening the model’s final effect. Second, we explain this phenomenon through an intuitive example: my friend (first-order neighbor) has a great influence on me, and my friend’s friend (second-order neighbor) also has a certain influence on me; however, a friend of my friend’s friend (third-order neighbors) may have a minimal influence on me, and I may not even meet them (third-order neighbors) in real life. Therefore, the test results obtained with are not ideal.
3.2. Link Sign Prediction of the Human PPI Signed Network
3.2.1. Test Results
3.2.2. Discussion in Biological Meanings
4. Conclusions
Author Contributions
Funding
Institutional Review Board Statement
Informed Consent Statement
Data Availability Statement
Acknowledgments
Conflicts of Interest
Abbreviations
| PPIs | Protein–protein interactions |
| SN-GGAT | Gated Graph Attention for Signed Networks |
| GAT | Graph Attention Network |
| GNNs | Graph Neural Networks |
| GCN | Graph Convolution Network |
References
- Bauer, A.; Kuster, B. Affinity purification-mass spectrometry: Powerful tools for the characterization of protein complexes. Eur. J. Biochem. 2003, 270, 570–578. [Google Scholar] [CrossRef]
- Fields, S.; Song, O.K. A novel genetic system to detect protein–protein interactions. Nature 1989, 340, 245–246. [Google Scholar] [CrossRef]
- Ong, S.E.; Blagoev, B.; Kratchmarova, I.; Kristensen, D.B.; Steen, H.; Pandey, A.; Mann, M. Stable isotope labeling by amino acids in cell culture, SILAC, as a simple and accurate approach to expression proteomics. Mol. Cell. Proteom. 2002, 1, 376–386. [Google Scholar] [CrossRef]
- Lin, J.S.; Lai, E.M. Protein–protein interactions: Co-immunoprecipitation. In Bacterial Protein Secretion Systems; Springer: Berlin, Germany, 2017; pp. 211–219. [Google Scholar] [CrossRef]
- Ledsgaard, L.; Kilstrup, M.; Karatt-Vellatt, A.; McCafferty, J.; Laustsen, A.H. Basics of antibody phage display technology. Toxins 2018, 10, 236. [Google Scholar] [CrossRef]
- Syahir, A.; Usui, K.; Tomizaki, K.Y.; Kajikawa, K.; Mihara, H. Label and label-free detection techniques for protein microarrays. Microarrays 2015, 4, 228–244. [Google Scholar] [CrossRef] [PubMed]
- Nguyen, H.H.; Park, J.; Kang, S.; Kim, M. Surface plasmon resonance: A versatile technique for biosensor applications. Sensors 2015, 15, 10481–10510. [Google Scholar] [CrossRef] [PubMed]
- Pazos, F.; Valencia, A. Similarity of phylogenetic trees as indicator of protein–protein interaction. Protein Eng. 2001, 14, 609–614. [Google Scholar] [CrossRef]
- Hsin Liu, C.; Li, K.C.; Yuan, S. Human protein–protein interaction prediction by a novel sequence-based co-evolution method: Co-evolutionary divergence. Bioinformatics 2013, 29, 92–98. [Google Scholar] [CrossRef] [PubMed]
- Guo, Y.; Yu, L.; Wen, Z.; Li, M. Using support vector machine combined with auto covariance to predict protein–protein interactions from protein sequences. Nucleic Acids Res. 2008, 36, 3025–3030. [Google Scholar] [CrossRef]
- Zaki, N.; Lazarova-Molnar, S.; El-Hajj, W.; Campbell, P. Protein-protein interaction based on pairwise similarity. BMC Bioinform. 2009, 10, 1–12. [Google Scholar] [CrossRef] [PubMed]
- Roy, S.; Martinez, D.; Platero, H.; Lane, T.; Werner-Washburne, M. Exploiting amino acid composition for predicting protein-protein interactions. PLoS ONE 2009, 4, e7813. [Google Scholar] [CrossRef]
- Valente, G.T.; Acencio, M.L.; Martins, C.; Lemke, N. The development of a universal in silico predictor of protein-protein interactions. PLoS ONE 2013, 8, e65587. [Google Scholar] [CrossRef]
- Kern, C.; González, A.J.; Liao, L.; Vijay-Shanker, K. Predicting interacting residues using long-distance information and novel decoding in hidden markov models. IEEE Trans. Nanobiosci. 2013, 12, 158–164. [Google Scholar] [CrossRef]
- Zhang, J.; Liu, X.; Ren, F.; Sun, X.; Yu, Q. The effects of group diversity and organizational support on group creativity. Acta Psychol. Sin. 2016, 48, 1551–1560. [Google Scholar] [CrossRef]
- Kunegis, J.; Preusse, J.; Schwagereit, F. What is the added value of negative links in online social networks? In Proceedings of the 22nd International Conference on World Wide Web, Rio de Janeiro, Brazil, 13–17 May 2013; pp. 727–736. [Google Scholar] [CrossRef]
- Wang, D.; Cui, P.; Zhu, W. Structural deep network embedding. In Proceedings of the 22nd ACM SIGKDD International Conference on Knowledge Discovery and Data Mining, San Francisco, CA, USA, 13–17 August 2016; pp. 1225–1234. [Google Scholar] [CrossRef]
- Grover, A.; Leskovec, J. node2vec: Scalable feature learning for networks. In Proceedings of the 22nd ACM SIGKDD International Conference on Knowledge Discovery and Data Mining, San Francisco, CA, USA, 13–17 August 2016; pp. 855–864. [Google Scholar] [CrossRef]
- Kipf, T.N.; Welling, M. Semi-supervised classification with graph convolutional networks. arXiv 2016, arXiv:1609.02907. [Google Scholar]
- Veličković, P.; Cucurull, G.; Casanova, A.; Romero, A.; Lio, P.; Bengio, Y. Graph attention networks. arXiv 2017, arXiv:1710.10903. [Google Scholar]
- Xenarios, I.; Salwinski, L.; Duan, X.J.; Higney, P.; Kim, S.M.; Eisenberg, D. DIP, the Database of Interacting Proteins: A research tool for studying cellular networks of protein interactions. Nucleic Acids Res. 2002, 30, 303–305. [Google Scholar] [CrossRef]
- You, Z.H.; Zhu, L.; Zheng, C.H.; Yu, H.J.; Deng, S.P.; Ji, Z. Prediction of protein-protein interactions from amino acid sequences using a novel multi-scale continuous and discontinuous feature set. In BMC Bioinformatics; Springer: Berlin, Germany, 2014; Volume 15, pp. 1–9. [Google Scholar] [CrossRef]
- Yao, Y.; Du, X.; Diao, Y.; Zhu, H. An integration of deep learning with feature embedding for protein–protein interaction prediction. PeerJ 2019, 7, e7126. [Google Scholar] [CrossRef]
- Consortium, U. Update on activities at the Universal Protein Resource (UniProt) in 2013. Nucleic Acids Res. 2012, 41, D43–D47. [Google Scholar] [CrossRef]
- Schaefer, M.H.; Fontaine, J.F.; Vinayagam, A.; Porras, P.; Wanker, E.E.; Andrade-Navarro, M.A. HIPPIE: Integrating protein interaction networks with experiment based quality scores. PLoS ONE 2012, 7, e31826. [Google Scholar] [CrossRef]
- Hamp, T.; Rost, B. Evolutionary profiles improve protein–protein interaction prediction from sequence. Bioinformatics 2015, 31, 1945–1950. [Google Scholar] [CrossRef]
- Liu, L.; Zhu, X.; Ma, Y.; Piao, H.; Yang, Y.; Hao, X.; Fu, Y.; Wang, L.; Peng, J. Combining sequence and network information to enhance protein–protein interaction prediction. BMC Bioinform. 2020, 21, 1–13. [Google Scholar] [CrossRef]
- Hashemifar, S.; Neyshabur, B.; Khan, A.A.; Xu, J. Predicting protein–protein interactions through sequence-based deep learning. Bioinformatics 2018, 34, i802–i810. [Google Scholar] [CrossRef]
- Vinayagam, A.; Zirin, J.; Roesel, C.; Hu, Y.; Yilmazel, B.; Samsonova, A.A.; Neumüller, R.A.; Mohr, S.E.; Perrimon, N. Integrating protein-protein interaction networks with phenotypes reveals signs of interactions. Nat. Methods 2014, 11, 94–99. [Google Scholar] [CrossRef] [PubMed]
- Derr, T.; Ma, Y.; Tang, J. Signed graph convolutional networks. In Proceedings of the 2018 IEEE International Conference on Data Mining (ICDM), Singapore, 17–20 November 2018; pp. 929–934. [Google Scholar] [CrossRef]
- Gers, F. Long Short-Term Memory in Recurrent Neural Networks. Ph.D. Thesis, Lausanne, Switzerland, 2001. [Google Scholar] [CrossRef]
- Cho, K.; Van Merriënboer, B.; Gulcehre, C.; Bahdanau, D.; Bougares, F.; Schwenk, H.; Bengio, Y. Learning phrase representations using RNN encoder-decoder for statistical machine translation. arXiv 2014, arXiv:1406.1078. [Google Scholar] [CrossRef]
- Cui, J.; Zhuang, H.; Liu, T.; Wang, H. Semi-Supervised Gated Spectral Convolution on a Directed Signed Network. IEEE Access 2020, 8, 49705–49716. [Google Scholar] [CrossRef]
- Wong, L.; You, Z.H.; Li, S.; Huang, Y.A.; Liu, G. Detection of protein-protein interactions from amino acid sequences using a rotation forest model with a novel PR-LPQ descriptor. In Proceedings of the International Conference on Intelligent Computing; Springer: Berlin, Germany, 2015; pp. 713–720. [Google Scholar] [CrossRef]
- Du, X.; Sun, S.; Hu, C.; Yao, Y.; Yan, Y.; Zhang, Y. DeepPPI: Boosting prediction of protein–protein interactions with deep neural networks. J. Chem. Inf. Model. 2017, 57, 1499–1510. [Google Scholar] [CrossRef]
- Song, X.Y.; Chen, Z.H.; Sun, X.Y.; You, Z.H.; Li, L.P.; Yang, Z. An Ensemble Classifier with Random Projection for Predicting Protein–Protein Interactions Using Sequence and Evolutionary Information. Appl. Sci. 2018, 8, 89. [Google Scholar] [CrossRef]
- Van Driessche, B.; Coddens, S.; Van Mullem, V.; Vandenhaute, J. Glucose deprivation mediates interaction between CTDK-I and Snf1 in Saccharomyces cerevisiae. FEBS Lett. 2005, 579, 5318–5324. [Google Scholar] [CrossRef]
- Zhao, B.; Wang, J.; Wu, F.X. Computational methods to predict protein functions from protein-protein interaction networks. Curr. Protein Pept. Sci. 2017, 18, 1120–1131. [Google Scholar] [CrossRef]
- Prasad, A.; Saha, S.; Chatterjee, P.; Basu, S.; Nasipuri, M. Protein function prediction from protein interaction network using bottom-up L2L apriori algorithm. In Proceedings of the International Conference on Computational Intelligence, Communications, and Business Analytics; Springer: Berlin, Germany, 2017; pp. 3–16. [Google Scholar] [CrossRef]
- Saha, S.; Prasad, A.; Chatterjee, P.; Basu, S.; Nasipuri, M. Protein function prediction from protein–protein interaction network using gene ontology based neighborhood analysis and physico-chemical features. J. Bioinform. Comput. Biol. 2018, 16, 1850025. [Google Scholar] [CrossRef]











| Method | Test Set | Accuracy (%) | Precision (%) | Recall (%) |
|---|---|---|---|---|
| SN-GGAT | 1 | 96.43 | 98.01 | 94.96 |
| 2 | 97.04 | 98.40 | 95.78 | |
| 3 | 96.25 | 97.82 | 94.78 | |
| 4 | 96.34 | 98.28 | 94.50 | |
| 5 | 96.81 | 98.57 | 95.14 | |
| Average | 96.57 ± 0.34 | 98.22 ± 0.30 | 95.03 ± 0.48 | |
| SN-GAT | 1 | 95.72 | 97.61 | 93.95 |
| 2 | 96.03 | 97.99 | 94.14 | |
| 3 | 95.19 | 96.69 | 93.85 | |
| 4 | 95.54 | 97.79 | 93.40 | |
| 5 | 95.91 | 98.26 | 93.67 | |
| Average | 95.68 ± 0.33 | 97.67 ± 0.60 | 93.80 ± 0.28 | |
| Song’s method | Average | 95.64 ± 0.52 | 96.75 ± 0.45 | 94.47 ± 0.47 |
| DeepFE-PPIs | Average | 94.78 ± 0.61 | 96.45 ± 0.87 | 92.99 ± 0.66 |
| Du’s method | Average | 94.43 ± 0.30 | 96.65 ± 0.59 | 92.06 ± 0.36 |
| Wong’s method | Average | 93.92 ± 0.36 | 96.45 ± 0.45 | 91.10 ± 0.31 |
Publisher’s Note: MDPI stays neutral with regard to jurisdictional claims in published maps and institutional affiliations. |
© 2021 by the authors. Licensee MDPI, Basel, Switzerland. This article is an open access article distributed under the terms and conditions of the Creative Commons Attribution (CC BY) license (https://creativecommons.org/licenses/by/4.0/).
Share and Cite
Xiang, Z.; Gong, W.; Li, Z.; Yang, X.; Wang, J.; Wang, H. Predicting Protein–Protein Interactions via Gated Graph Attention Signed Network. Biomolecules 2021, 11, 799. https://doi.org/10.3390/biom11060799
Xiang Z, Gong W, Li Z, Yang X, Wang J, Wang H. Predicting Protein–Protein Interactions via Gated Graph Attention Signed Network. Biomolecules. 2021; 11(6):799. https://doi.org/10.3390/biom11060799
Chicago/Turabian StyleXiang, Zhijie, Weijia Gong, Zehui Li, Xue Yang, Jihua Wang, and Hong Wang. 2021. "Predicting Protein–Protein Interactions via Gated Graph Attention Signed Network" Biomolecules 11, no. 6: 799. https://doi.org/10.3390/biom11060799
APA StyleXiang, Z., Gong, W., Li, Z., Yang, X., Wang, J., & Wang, H. (2021). Predicting Protein–Protein Interactions via Gated Graph Attention Signed Network. Biomolecules, 11(6), 799. https://doi.org/10.3390/biom11060799

