The Assignment of the Absolute Configuration of Non-Cyclic Sesquiterpenes by Vibrational and Electronic Circular Dichroism: The Example of Chiliadenus lopadusanus Metabolites
Abstract
:1. Introduction
2. Materials and Methods
2.1. General Experimental Procedures
2.2. Plant Material
2.3. Isolation of Fungal Metabolites and Synthesis of Ancillary Products
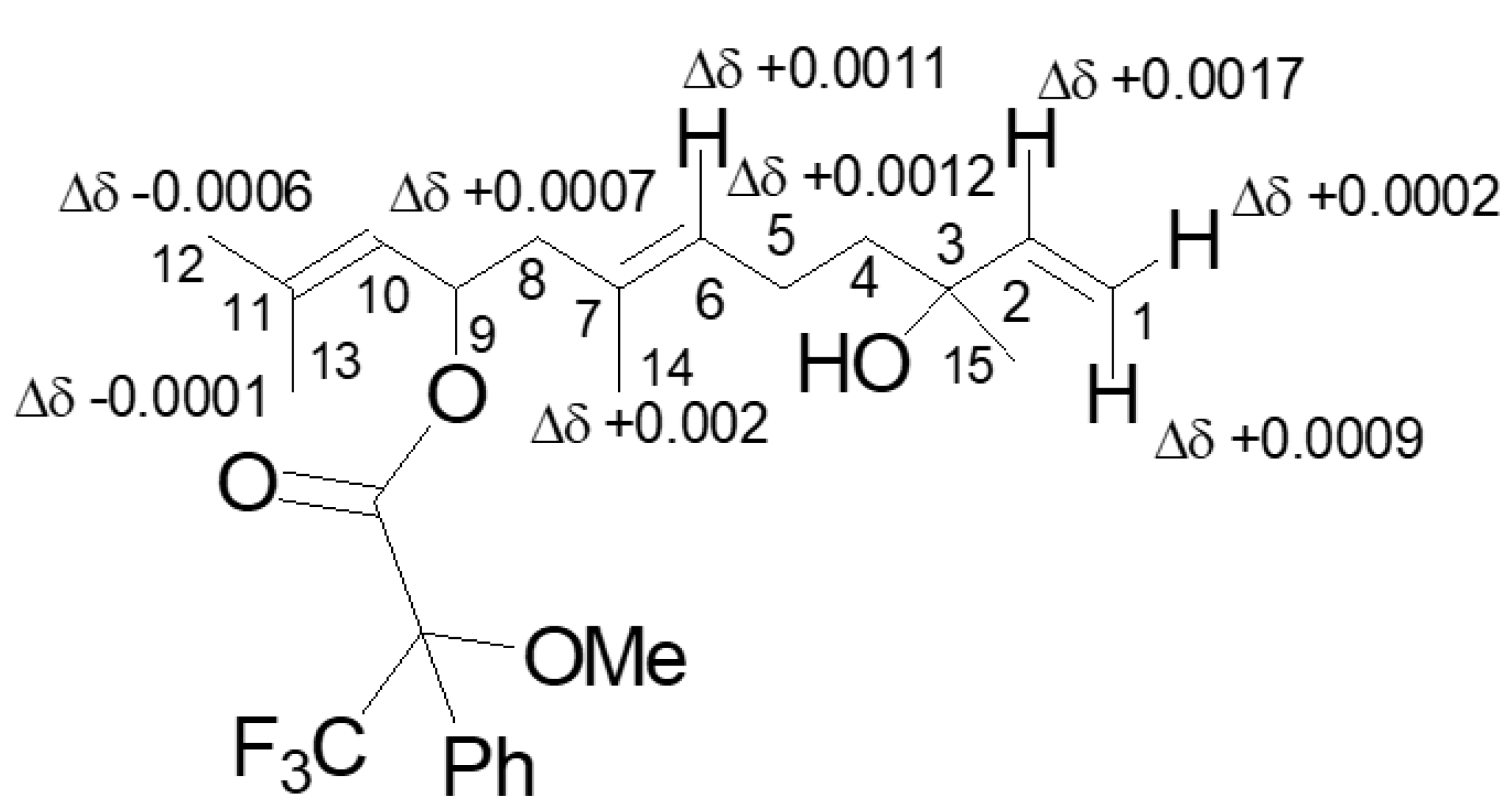
2.3.1. Hemisynthesis of 4
2.3.2. Hemisynthesis of 5
2.4. VCD and ECD Spectroscopies
2.5. Calculations: From MM to DFT
3. Results and Discussion
- (i)
- At low wavenumbers, a feature at 921 cm−1 stands out, which exhibits negative VCD in all three cases and strong IR absorption. We believe this feature to be important for AC determination of stereo-carbon 3, common to all three molecules, possessing the same configuration there;
- (ii)
- (iii)
- (iv)
- in the C=C/C=O stretching regions a weak IR triplet is recorded for 1, (1630, 1683, and 1716 cm−1) much in the same way as observed by Merten et al. [26,27]. The three features are due to C=C stretchings, which are known to exhibit weak absorption [33]. Interestingly with just one C=O in both compounds, the spectral behavior in 2 and 3 is different: in 2 two strong bands appear at ca. 1630 and 1683 cm−1, due to the coupled C=C/C=O stretchings; in 3 the single strong band at 1716 cm−1 is visible and is due to the isolated C=O stretching, far away from all C=C moieties.
4. Conclusions
Supplementary Materials
Author Contributions
Funding
Acknowledgments
Conflicts of Interest
References
- Turner, W.B.; Aldridge, D.C. Fungal Metabolites II; Academic Press: New York, NY, USA, 1983. [Google Scholar]
- Osbourn, A.E.; Lanzotti, V. Plant-Derived Natural Products; Springer: Dordrecht, The Netherlands; Heidelberg, Germany ; London, UK; New York, NY, USA, 2009; pp. 361–384. [Google Scholar]
- Masi, M.; Nocera, P.; Reveglia, P.; Cimmino, A.; Evidente, A. Fungal metabolites antagonists towards plant pests and human pathogens: Structure-activity relationship studies. Molecules 2018, 23, 834. [Google Scholar] [CrossRef] [Green Version]
- Cimmino, A.; Nimis, P.L.; Masi, M.; De Gara, L.; van Otterlo, W.A.; Kiss, R.; Evidente, A.; Lefranc, F. Have lichenized fungi delivered promising anticancer small molecules? Phytochem. Rev. 2019, 18, 1–36. [Google Scholar] [CrossRef]
- Evidente, A.; Abouzeid, A.M.; Andolfi, A.; Cimmino, A. Recent Achievements in the Bio-control of Orobanche Infesting Important Crops in the Mediterranean Basin. J. Agric. Sci. Technol. 2011, 1, 461–483. [Google Scholar]
- Cimmino, A.; Masi, M.; Evidente, M.; Superchi, S.; Evidente, A. Fungal phytotoxins with potential herbicidal activity: Chemical and biological characterization. Nat. Prod. Rep. 2015, 32, 1629–1653. [Google Scholar] [CrossRef] [PubMed]
- Newman, D.J.; Cragg, G.M. Natural products as sources of new drugs from 1981 to 2014. J. Nat. Prod. 2016, 79, 629–661. [Google Scholar] [CrossRef] [Green Version]
- Evidente, A.; Kornienko, A.; Cimmino, A.; Andolfi, A.; Lefranc, F.; Mathieu, V.; Kiss, R. Fungal metabolites with anticancer activity. Nat. Prod. Rep. 2014, 31, 617–627. [Google Scholar] [CrossRef] [PubMed]
- Masi, M.; Maddau, L.; Linaldeddu, B.T.; Scanu, B.; Evidente, A.; Cimmino, A. Bioactive metabolites from pathogenic and endophytic fungi of forest trees. Curr. Med. Chem. 2018, 25, 208–252. [Google Scholar] [CrossRef] [PubMed]
- Roscetto, E.; Masi, M.; Esposito, M.; Di Lecce, R.; Delicato, A.; Maddau, L.; Evidente, A.; Catania, M.R. Anti-Biofilm Activity of the fungal phytotoxin sphaeropsidin A against clinical isolates of antibiotic-resistant bacteria. Toxins 2020, 12, 444. [Google Scholar] [CrossRef]
- Zito, P.; Sajeva, M.; Scirica, E.; Bruno, M.; Rosselli, S.; Maggio, A.; Senatore, F. Essential oils of Chiliadenus lopadusanus (Asteraceae). Nat. Prod. Commun. 2013, 8, 1159–1162. [Google Scholar] [CrossRef] [Green Version]
- Masi, M.; Roscetto, M.; Zatout, R.; Cimmino, A.; Catania, M.R.; Surico, G.; Evidente, A. Farnesane-type sesquiterpenoids from Chiladenus lopadusanus with antibiotic activity. Antibiotic 2021, 10, 148. [Google Scholar] [CrossRef]
- Stoessl, A.; Stothers, J.B.; Ward, E.W.B. The structures of some stress metabolites from Solanum melongena. Can. J. Chem. 1975, 53, 3351–3358. [Google Scholar] [CrossRef]
- Hiroi, M.; Takaoka, D. Non-volatile sesquiterpenoids in the leaves of camphor tree (Cinnamomum camphora). Nippon. Kagaku Kaishi 1974, 762–765. (In Japanese) [Google Scholar] [CrossRef]
- Vlad, P.; Souček, M. On terpenes. CXXXVII. Absolute configuration of nerolidol. Collect. Czechoslov. Chem. Commun. 1962, 27, 1726–1729. [Google Scholar] [CrossRef]
- Hegazy, M.E.F.; Matsusa, H.; Nakamura, S.; Hussein, T.A.; Yoshikawa, M.; Parè, P.W. Chemical constituents and their antibacterial and antifungal activity from the Egyptian herbal medicine. Chiliadenus Montanus Phytochem. 2014, 103, 154–161. [Google Scholar] [CrossRef] [PubMed]
- Evidente, A.; Andolfi, A.; Cimmino, A. Relationships between the stereochemistry and biological activity of fungal phytotoxins. Chirality 2011, 23, 674–693. [Google Scholar] [CrossRef] [PubMed]
- Evidente, A.; Cimmino, A.; Andolfi, A. The Effect of Stereochemistry on the Biological Activity of Natural Phytotoxins, Fungicides, Insecticides and Herbicides. Chirality 2013, 25, 59–78. [Google Scholar] [CrossRef] [PubMed]
- Cimmino, A.; Masi, M.; Evidente, M.; Superchi, S.; Evidente, A. Application of Mosher’s method for absolute configuration assignment to bioactive plants and fungi metabolites. J. Pharm. Biomed. Anal. 2017, 144, 59–89. [Google Scholar] [CrossRef] [PubMed]
- He, Y.; Bo, Y.; Dukor, R.K.; Nafie, L.A. Determination of Absolute Configuration of Chiral Molecules Using Vibrational Optical Activity: A Review. Appl. Spectrosc. 2011, 65, 699–723. [Google Scholar] [CrossRef]
- Keiderling, T.A. Structure of Condensed Phase Peptides: Insights from Vibrational Circular Dichroism and Raman Optical Activity Techniques. Chem. Rev. 2020, 120, 3381–3419. [Google Scholar] [CrossRef]
- Polavarapu, P.L.; Santoro, E. Vibrational optical activity for structural characterization of natural products. Nat. Prod. Rep. 2020, 37, 1661–1699. [Google Scholar] [CrossRef]
- Batista, J.M., Jr.; Blanch, E.W.; Bolzani, V.S. Recent advances in the use of vibrational chiroptical spectroscopic methods for stereochemical characterization of natural products. Nat. Prod. Rep. 2015, 32, 1280–1302. [Google Scholar] [CrossRef] [PubMed]
- Del Rio, R.E.; Joseph-Nathan, P. Vibrational Circular Dichroism Absolute Configuration of Natural Products from 2015 to 2019. Nat. Prod. Commun. 2021, 16, 1–30. [Google Scholar] [CrossRef]
- Abbate, S.; Burgi, L.F.; Castiglioni, E.; Lebon, F.; Longhi, G.; Toscano, E.; Caccamese, S. Assessment of configurational and conformational properties of Naringenin by Vibrational Circular Dichroism. Chirality 2009, 21, 436–441. [Google Scholar] [CrossRef]
- Merten, C.; Smyrniotopoulos, V.; Tasdemir, D. Assignment of absolute configurations of highly flexible linear diterpenes from the brown alga Bifurcaria bifurcata by VCD spectroscopy. Chem. Commun. 2015, 51, 16217–16220. [Google Scholar] [CrossRef] [PubMed]
- Smyrniotopoulos, V.; Merten, C.; Kaiser, M.; Tasdemir, D. Bifurcatriol, a New Antiprotozoal Acyclic Diterpene from the Brown Alga Bifurcaria bifurcate. Mar. Drugs 2017, 15, 245–255. [Google Scholar] [CrossRef] [PubMed] [Green Version]
- Polavarapu, P.L.; Donahue, E.A.; Shanmugam, G.; Scalmani, G.; Hawkins, E.K.; Rizzo, C.; Ibnusaud, I.; Thomas, G.; Habel, D.; Sebastian, D. A Single Chiroptical Spectroscopic Method May Not Be Able To Establish the Absolute Configurations of Diastereomers: Dimethylesters of Hibiscus and Garcinia Acids. J. Phys. Chem. A 2011, 115, 5665–5673. [Google Scholar] [CrossRef] [Green Version]
- Frisch, M.J.; Trucks, G.W.; Schlegel, H.B.; Scuseria, G.E.; Robb, M.A.; Cheeseman, J.R.; Scalmani, G.; Barone, V.; Petersson, G.A.; Nakatsuji, H.; et al. Gaussian 16; Revision, C.01. Gaussian, Inc.: Wallingford, CT, USA, 2016. [Google Scholar]
- Stephens, P.J. Theory of Vibrational Circular Dichroism. J. Phys. Chem. 1985, 89, 745–752. [Google Scholar] [CrossRef]
- Fusè, M.; Mazzeo, G.; Longhi, G.; Abbate, S.; Masi, M.; Evidente, A.; Puzzarini, C.; Barone, V. Unbiased Determination of Absolute Configurations by vis-à-vis Comparison of Experimental and Simulated Spectra: The Challenging Case of Diplopyrone. J. Phys. Chem. B 2019, 123, 9230–9237. [Google Scholar] [CrossRef] [PubMed]
- Paoloni, L.; Mazzeo, G.; Longhi, G.; Abbate, S.; Fusè, M.; Bloino, J.; Barone, V. Toward Fully Unsupervised Anharmonic Computations Complementing Experiment for Robust and Reliable Assignment and Interpretation of IR and VCD Spectra from Mid-IR to NIR: The Case of 2,3-Butanediol and trans-1,2-Cyclohexanediol. J. Phys. Chem. A 2020, 124, 1011–1024. [Google Scholar] [CrossRef]
- Herzberg, G. Infrared and Raman Spectra of Polyatomic Molecules. In Molecular Spectra and Molecular Structure, 2nd ed.; David. Van Nostrand Co.: Toronto, ON, Canada; New York, NY, USA; London, UK, 1945. [Google Scholar]
- Laux, L.; Pultz, V.M.; Abbate, S.; Havel, H.A.; Overend, J.; Moscowitz, A.; Lightner, D.A. Inherently dissimetric chromophores and Vibrational Circular Dichroism. The CH2-CH2-C*H Fragment. J. Am. Chem. Soc. 1982, 104, 4276–4278. [Google Scholar] [CrossRef]
- Cao, X.; Shah, R.D.; Dukor, R.K.; Guo, C.; Freedman, T.B.; Nafie, L.A. Extension of Fourier transform vibrational circular dichroism into the near infrared region: Continuous spectral coverage from 800 to 10,000 cm−1. Appl. Spectrosc. 2004, 58, 1057–1064. [Google Scholar] [CrossRef] [PubMed]
- Aviles Moreno, J.R.; Ureña Horno, E.; Partal Ureña, F.; López González, J.J. IR–Raman–VCD study of R-(+)-Pulegone: Influence of the solvent. Spectrochim. Acta A 2011, 79, 767–776. [Google Scholar] [CrossRef] [PubMed]
- Hartwig, B.; Suhm, M.A. Subtle hydrogen bonds: Benchmarking with OH stretching fundamentals of vicinal diols in the gas phase. Phys. Chem. Chem. Phys. 2021, 23, 21623–21640. [Google Scholar] [CrossRef]
- Moscowitz, A.; Mislow, K. Inherently Dissymmetric Chromophores: The Absolute Configuration of (-)-trans-Cyclooctene. J. Am. Chem. Soc. 1962, 84, 4605–4606. [Google Scholar] [CrossRef]
- Beecham, A.F. The Influence of Allylic Oxygen on the π →π* CD of Certain Chromophores. Tetrahedron 1971, 27, 5207–5216. [Google Scholar] [CrossRef]
- Lightner, D.A.; Gurst, J.E. Chapter 12: Dienes. In Organic Conformational Analysis and Stereochemistry from Circular Dichroism Spectroscopy; Wiley-VCH: New York, NY, USA, 2000; Chapter 10. [Google Scholar]
- Autschbach, J. Computing chiroptical properties with first-principles theoretical methods: Background and illustrative examples. Chirality 2009, 21, E116–E152. [Google Scholar] [CrossRef] [PubMed]
- Covington, C.L.; Polavarapu, P.L. Similarity in Dissymmetry Factor Spectra: A Quantitative Measure of Comparison between Experimental and Predicted Vibrational Circular Dichroism. J. Phys. Chem. A 2013, 117, 3377–3386. [Google Scholar] [CrossRef]
- Shen, J.; Zhu, C.; Reiling, S.; Vaz, R.A. Novel Computational Method for Comparing Vibrational Circular Dichroism Spectra. Spectrochim. Acta A 2010, 76, 418–422. [Google Scholar] [CrossRef] [PubMed]
- Shen, J.; Li, Y.; Vaz, R.; Izumi, H. Revisiting Vibrational Circular Dichroism Spectra of (S)-(+)-Carvone and (1S,2R,5S)-(+)-Menthol Using SimIR/VCD Method. J. Chem. Theory Comput. 2012, 8, 2762–2768. [Google Scholar] [CrossRef] [PubMed]
- Debie, E.; De Gussem, E.; Dukor, R.K.; Herrebout, W.; Nafie, L.A.; Bultinck, P.A. Confidence Level Algorithm for the Determination of Absolute Configuration Using Vibrational Circular Dichroism or Raman Optical Activity. Chem. Phys. Chem. 2011, 12, 1542–1549. [Google Scholar] [CrossRef] [Green Version]
- Mazzeo, G.; Cimmino, A.; Masi, M.; Longhi, G.; Maddau, L.; Memo, M.; Evidente, A.; Abbate, S. Importance and Difficulties in the Use of Chiroptical Methods to Assign the Absolute Configuration of Natural Products: The Case of Phytotoxic Pyrones and Furanones produced by Diplodia corticola. J. Nat. Prod. 2017, 80, 2406–2415. [Google Scholar] [CrossRef] [PubMed]






| 4 | 5 | |
|---|---|---|
| position | δH (J in Hz) | δH (J in Hz) |
| 1 | 5.2148 br d (17.5) 5.0649 dd (10.8, 1.2) | 5.2150 (1H) br d (17.5) 5.0658 dd (10.7, 1.1) |
| 2 | 5.9134 dd (17.7, 10.8) | 5.9151 dd (17.5, 10.7) |
| 5 | 2.0454 m (2H) | 2.0466 m (2H) |
| 6 | 5.1582 br t (6.9) | 5.1593 br t (6.7) |
| H-8A | 2.6624 d (5.5) | 2.6631 d (5.6) |
| Me-12 2 | 1.3150 s | 1.3144 s |
| Me-13 2 | 1.2822 s | 1.2821 s |
| Me-14 | 1.5778 s | 1.5798 s |
| OMe | 4.6763 s | 4.6766 s |
| Ph | 7.5175–7.3555 (5H) m | 7.584–7.3524 (5H) m |
Publisher’s Note: MDPI stays neutral with regard to jurisdictional claims in published maps and institutional affiliations. |
© 2021 by the authors. Licensee MDPI, Basel, Switzerland. This article is an open access article distributed under the terms and conditions of the Creative Commons Attribution (CC BY) license (https://creativecommons.org/licenses/by/4.0/).
Share and Cite
Mazzeo, G.; Cimmino, A.; Longhi, G.; Masi, M.; Evidente, A.; Abbate, S. The Assignment of the Absolute Configuration of Non-Cyclic Sesquiterpenes by Vibrational and Electronic Circular Dichroism: The Example of Chiliadenus lopadusanus Metabolites. Biomolecules 2021, 11, 1902. https://doi.org/10.3390/biom11121902
Mazzeo G, Cimmino A, Longhi G, Masi M, Evidente A, Abbate S. The Assignment of the Absolute Configuration of Non-Cyclic Sesquiterpenes by Vibrational and Electronic Circular Dichroism: The Example of Chiliadenus lopadusanus Metabolites. Biomolecules. 2021; 11(12):1902. https://doi.org/10.3390/biom11121902
Chicago/Turabian StyleMazzeo, Giuseppe, Alessio Cimmino, Giovanna Longhi, Marco Masi, Antonio Evidente, and Sergio Abbate. 2021. "The Assignment of the Absolute Configuration of Non-Cyclic Sesquiterpenes by Vibrational and Electronic Circular Dichroism: The Example of Chiliadenus lopadusanus Metabolites" Biomolecules 11, no. 12: 1902. https://doi.org/10.3390/biom11121902
APA StyleMazzeo, G., Cimmino, A., Longhi, G., Masi, M., Evidente, A., & Abbate, S. (2021). The Assignment of the Absolute Configuration of Non-Cyclic Sesquiterpenes by Vibrational and Electronic Circular Dichroism: The Example of Chiliadenus lopadusanus Metabolites. Biomolecules, 11(12), 1902. https://doi.org/10.3390/biom11121902

