The Role of Branch Cell Symmetry and Other Critical Nanoscale Design Parameters in the Determination of Dendrimer Encapsulation Properties
Abstract
1. Introduction
1.1. Architectures Leading to Supramolecular, Guest–Host Encapsulation Properties
1.2. Emergence of Dendrimers and the Dendritic State
1.3. First Divergent, Iterative Synthesis of High Molecular Weight Dendritic Structures Beyond Vögtle’s Cascade Molecules
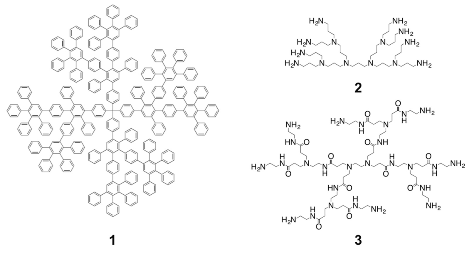
1.3.1. Denkewalter-Type Dendrimer Synthesis
1.3.2. Tomalia-Type Dendrimer Synthesis
1.3.3. Newkome-Type Dendrimer Synthesis
2. Divergent Dendrimer Syntheses Leading to Symmetry Differentiated Branching Topologies
2.1. Symmetrical Versus Asymmetrical Branch Cell Dendrimers
2.2. Significant Property Differences Observed for Denkewalter Poly(lysine) Versus Tomalia Poly(amidoamine) Dendrimers
2.3. Historical Overview: First Divergently Synthesized Dendrimer Topologies Reported by Tomalia, Newkome and Denkewalter
3. Unimolecular Micelle Guest–Host Encapsulation Associated with Symmetrical Branch Cell Dendrimers
3.1. Early Examples of Unimolecular Encapsulation
3.2. Brief Overview of Symmetrical, Branch Cell Dendrimer Families Exhibiting Encapsulation Properties
3.2.1. Early Examples of Unimolecular Micelle Encapsulation
3.2.2. Factors Affecting Dendrimer Modified Drug Solubilization
3.2.3. Selected Examples of Organic Guest (Drug) Encapsulations
3.2.4. Optimal Dendrimer Families for Inorganic Metal Guest Molecules
3.3. Influence of Dendrimer CNDPs on Encapsulation Properties
3.4. Systematic Characterization of Dendrimer Encapsulation Properties
3.4.1. Supramolecular Guest Encapsulation/Aggregation or Covalent Conjugation for Enhanced Aqueous Solubility
- Linkers must display very rapid drug release in the disease site.
- Linkers must allow liberation of unmodified yet active drug.
- Must have long in vivo circulation characteristics.
- Highly specific and active disease site targeting features.
- Limited bio-distribution to any off-target organs.
- Suitable nanoscale sizes (i.e., <10–15 nm) for deep tumor penetration and renal excretion.
- Acceptable conjugate excretion mode, preferably via the kidney.
- Good aqueous solubility.
4. Enhanced Solubilization of Active Pharmaceutical Ingredients with Dendrimers
4.1. The Significant Role of Dendrimers in the Delivery of APIs
4.1.1. Anti-Cancer Drugs
4.1.2. Anti-Inflammatory Drugs
4.1.3. Anti-Hypertensive Drugs
4.1.4. Ocular, Retinal Drugs
4.1.5. Anti-Oxidant Compounds
4.1.6. Anti-Microbial Drugs
5. Engineering Critical Nanoscale Design Parameters: A Proven Strategy for Obtaining Optimum Dendrimer Performance Properties
5.1. Selected Examples of Engineering Dendrimer CNDPs for Enhanced Guest Solubility/Stability
5.1.1. Engineering Size, Shape, Surface Chemistry, Flexibility/Rigidity, Architecture and Elemental Composition
5.1.2. Engineering Architecture, Interior Composition, Surface Chemistry
5.1.3. Engineering Size, Interior Composition and Surface Chemistry
5.1.4. Engineering Size, Interior Composition, Surface Chemistry
5.1.5. Engineering Architecture-Dendrimer Nanohybrids
6. Predictions for the Future
7. Conclusions
Funding
Acknowledgments
Conflicts of Interest
References
- Eaton, P.E.; Cole, T.W. The cubane system. J. Am. Chem. Soc. 1964, 86, 962–964. [Google Scholar] [CrossRef]
- Eaton, P.E.; Or, Y.S.; Branka, S.J.; Shanker, B.K.R. The synthesis of pentaprismane. Tetrahedron 1986, 42, 1621–1631. [Google Scholar] [CrossRef]
- Paquette, L.A.; Ternansky, R.J.; Balogh, D.W.; Krentgen, G. Total synthesis of dodecahedrane. J. Am. Chem. Soc. 1983, 105, 5446–5450. [Google Scholar] [CrossRef]
- Cram, D.J. Cavitands: Organic hosts with enforced cavities. Science 1983, 219, 1177–1183. [Google Scholar] [CrossRef]
- Cram, D.J.; Cram, J.M. Container Molecules and Their Guests; The Royal Society of Chemistry: Cambridge, UK, 1994. [Google Scholar]
- Villiers, M.A. Sur la fermentation de la fécule par l’action du ferment butyrique. Compt. Rend. Acad. Sci. 1891, 112, 536–538. [Google Scholar]
- Szrejtli, J. Cyclodextrin Technology; Springer: Dordrecht, The Netherlands, 1988. [Google Scholar]
- Tomalia, D.A.; Fréchet, J.M.J. Discovery of dendrimers and dendritic polymers: A brief historical perspective. J. Polym. Sci. Part A Polym. Chem. 2002, 40, 2719–2728. [Google Scholar] [CrossRef]
- Fréchet, J.M.J.; Tomalia, D.A. Dendrimers and Other Dendritic Polymers; Wiley: Chichester, UK, 2001. [Google Scholar]
- Tomalia, D.A.; Naylor, A.M.; Goddard III, W.A. Starburst dendrimers: Molecular level control of size, shape, surface chemistry, topology and flexibility from atoms to macroscopic matter. Angew. Chem. Int. Ed. Engl. 1990, 29, 138–175. [Google Scholar] [CrossRef]
- Tomalia, D.A.; Baker, H.; Dewald, J.; Hall, M.; Kallos, G.; Martin, S.; Roeck, J.; Ryder, J.; Smith, P. A new class of polymers: Starburst dendritic macromolecules. Polym. J. 1985, 17, 117–132. [Google Scholar] [CrossRef]
- Tomalia, D.A.; Dewald, J.R.; Hall, M.J.; Martin, S.J.; Smith, P.B. Preprints: 1st SPSJ International Polymer Conference, Kyoto, Japan, 20–24 August 1984; Society of Polymer Science: Kyoto, Japan, 1984; p. 65. [Google Scholar]
- Tomalia, D.A. Starburst Macromolecules. In Proceedings of the Flory-Pauling Macromolecular Conference (Gordon Conference)—Frontiers in Synthetic Polymer Chemistry, Santa Barbara, CA, USA, 10–14 January 1983. [Google Scholar]
- Tomalia, D.A. Starburst/Dendritic Macromolecules. In Proceedings of the Akron Polymer Lecture Series, Akron, OH, USA, 26 April 1984. [Google Scholar]
- Tomalia, D.A. A New Class of Polymers: Starburst/Dendritic Macromolecules. In Proceedings of the Sixth Biennial Carl S. Marvel Symposium—Advances in Synthetic Polymer Chemistry, Tucson, AZ, USA, 19 March 1985. [Google Scholar]
- Tomalia, D.A. A New Class of Polymers: Starburst/Dendritic Macromolecules. In Proceedings of the ACS Great Lakes/Central Regional Meeting, Kalamazoo, MI, USA, 23–25 May 1984. [Google Scholar]
- Denkewalter, R.G.; Kolc, J.F.; Lukasavage, W.J. Macromolecular Highly Branched Homogenous Compound Based on Lysine Units. U.S. Patent 4,289,872, 15 September 1981. [Google Scholar]
- Buhleier, E.; Wehner, W.; Vögtle, F. Cascade—And nonskid-chain-like syntheses of molecular cavity topologies. Synthesis 1978, 405, 155–158. [Google Scholar] [CrossRef]
- Worner, C.; Mulhaupt, R. Polynitrile and polyamine functional poly(trimethylene imine) dendrimers. Angew. Chem. Int. Ed. Engl. 1993, 32, 1306–1308. [Google Scholar] [CrossRef]
- De Brabander-van den Berg, E.M.M.; Meijer, E.W. Poly(propylene imine) dendrimers: Large-scale synthesis by hetereogeneously catalyzed hydrogenations. Angew. Chem. Int. Ed. Engl. 1993, 32, 1308–1311. [Google Scholar] [CrossRef]
- de Gennes, P.G.; Hervet, H.J. Statistics of Starburst polymers. J. Phys. Lett. 1983, 44, 351–360. [Google Scholar] [CrossRef]
- Tomalia, D.A.; Baker, H.; Dewald, J.; Hall, M.; Kallos, G.; Martin, S.; Roeck, J.; Ryder, J.; Smith, P. Dendritic macromolecules: Synthesis of Starburst dendrimers. Macromolecules 1986, 19, 2466–2468. [Google Scholar] [CrossRef]
- Tomalia, D.A.; Dewald, J.R. Dense Star Polymers Having Core, Core Branches, Terminal Groups. U.S. Patent 4,507,466, 26 March 1985. [Google Scholar]
- Newkome, G.R.; Yao, Z.-Q.; Baker, G.R.; Gupta, V.K. Cascade molecules: A new approach to micelles. A [27]-arborol. J. Org. Chem. 1985, 50, 2003–2004. [Google Scholar] [CrossRef]
- Tomalia, D.A.; Berry, V.; Hall, M.; Hedstrand, D.M. Starburst dendrimers IV. Covalently fixed unimolecular assemblages reminiscent of spheroidal micelles. Macromolecules 1987, 20, 1164–1167. [Google Scholar] [CrossRef]
- Naylor, A.M.; Goddard III, W.A.; Keifer, G.E.; Tomalia, D.A. Starburst dendrimers 5. Molecular shape control. J. Am. Chem. Soc. 1989, 111, 2339–2341. [Google Scholar] [CrossRef]
- Tomalia, D.A. Dendritic effects: Dependency of dendritic nano-periodic property patterns on critical nanoscale design parameters (CNDPs). New J. Chem. 2012, 36, 264–281. [Google Scholar] [CrossRef]
- Tomalia, D.A.; Hall, M.; Hedstrand, D.M. Starburst dendrimers III. The importance of branch junction symmetry in the development of topological shell molecules. J. Am. Chem. Soc. 1987, 109, 1601–1603. [Google Scholar] [CrossRef]
- Aharoni, S.M.; Crosby III, C.R.; Walsh, E.K. Size and solution properties of globular tert-butyloxycarbonyl-poly(α,iε-L-lysine). Macromolecules 1982, 15, 1093–1098. [Google Scholar] [CrossRef]
- Kaminskas, L.M. University of Queensland, Brisbane, Australia. Personal Communication, 2018. [Google Scholar]
- Sapra, R.; Verma, R.P.; Maurya, G.P.; Dhawan, S.; Babu, J.; Haridas, V. Designer peptide and protein dendrimers: A cross-sectional analysis. Chem. Rev. 2019, 119, 11391–11441. [Google Scholar] [CrossRef]
- Dendrimer. Available online: https://en.wikipedia.org/wiki/Dendrimer (accessed on 30 March 2020).
- Ottaviani, M.F.; Montalti, F.; Turro, N.J.; Tomalia, D.A. Characterization of Starburst dendrimers by the EPR technique. Copper(II) ions binding full-generation dendrimers. J. Phys. Chem. B 1997, 101, 158–166. [Google Scholar] [CrossRef]
- Tomalia, D.A.; Balogh, L. Nanocomposites of Dendritic Polymers. U.S. Patent 7,985,424 B2, 16 December 2003. [Google Scholar]
- Balogh, L.; Tomalia, D.A. Poly(amidoamine) dendrimer-templated nanocomposites 1. Synthesis of zero valent copper nanosclusters. J. Am. Chem. Soc. 1998, 120, 7355–7356. [Google Scholar] [CrossRef]
- Zhao, M.; Sun, L.; Crooks, R.M. Preparation of Cu nanoclusters within dendrimer templates. J. Am. Chem. Soc. 1998, 120, 4877–4878. [Google Scholar] [CrossRef]
- Balogh, L.; Valluzzi, R.; Laverdure, K.S.; Gido, S.P.; Hagnauer, G.L.; Tomalia, D.A. Formation of silver and gold dendrimer nanocomposites. J. Nanoparticle Res. 1999, 1, 353–368. [Google Scholar] [CrossRef]
- Balogh, L.; Swanson, D.R.; Spindler, R.; Tomalia, D.A. Formation and characterization of dendrimer-based water soluble inorganic nanocomposites. Proc. Am. Chem. Soc. Polym. Mater. Sci. Eng. 1997, 77, 118–119. [Google Scholar]
- Keki, S.; Torok, J.; Deak, G.; Doroczi, L.; Zsuga, M. Silver nanoparticles by PAMAM-assisted photochemical reduction of Ag+. J. Colloid Interface Sci. 2000, 229, 550–553. [Google Scholar] [CrossRef] [PubMed]
- Esumi, K.; Suzuki, A.; Yamahira, A.; Torigoe, K. Role of Poly(amidoamine) Dendrimers for Preparing Nanoparticles of Gold, Platinum, and Silver. Langmuir 2000, 16, 2604–2608. [Google Scholar] [CrossRef]
- Sun, X.; Dong, S.; Wang, E. One-step preparation and characterization of poly(propyleneimine) dendrimer-protected silver nanoclusters. Macromolecules 2004, 37, 7105–7108. [Google Scholar] [CrossRef]
- He, J.-A.; Valluzzi, R.; Yang, K.; Dolukhanyan, T.; Sung, C.; Kumar, J.; Tripathy, S.K.; Samuelson, L.; Balogh, L.; Tomalia, D.A. Electrostatic multilayer deposistion of a gold-dendrimer nanocomposite. Chem. Mater. 1999, 11, 3268–3274. [Google Scholar] [CrossRef]
- Lyu, Z.; Ding, L.; Huang, A.Y.-T.; Kao, C.-L.; Peng, L. Poly(amidoamine) dendrimers: Covalent and supramolecular. Mater. Today Chem. 2019, 13, 34–48. [Google Scholar] [CrossRef]
- Sadler, K.; Tam, J.P. Peptide dendrimers: Applications and synthesis. Rev. Mol. Biotechnol. 2002, 90, 195–229. [Google Scholar] [CrossRef]
- Tam, J.P.; Lu, Y.A.; Yang, J.L. Antimicrobial dendrimeric peptides. Eur. J. Biochem. 2002, 269, 923–932. [Google Scholar] [CrossRef] [PubMed]
- Sebestik, J.; Niederhafner, P.; Jezek, J. Peptide and glycopeptide dendrimers and analogous dendrimeric structures and their biomedical applications. Amino Acids 2011, 40, 301–370. [Google Scholar] [CrossRef] [PubMed]
- Sowinska, M.; Laskowska, A.; Guspiel, A.; Solecka, J.; Bochynska-Czyz, M.; Lipkowski, A.W.; Trzeciak, K.; Urbanczyk-Lipkowska, Z. Bioinspired amphiphilic peptide dendrimers as specific and effective compounds against drug resistant clinical isolates of E. coli. Biconjugate Chem. 2018, 29, 3571–3585. [Google Scholar] [CrossRef]
- Polcyn, P.; Zielinska, P.; Zimnicka, M.; Troć, A.; Kalicki, P.; Solecka, J.; Laskowska, A.; Urbanczyk-Lipkowska, Z. Novel antimicrobial peptide dendrimers with amphiphilic surface and their interactions with phospholipids—Insights from mass spectrometry. Molecules 2013, 18, 7120–7144. [Google Scholar] [CrossRef]
- Heitz, M.; Javor, S.; Darbre, T.; Reymond, J.-L. Stereoselective pH responsive peptide dendrimers for siRNA transfection. Biconjugate Chem. 2019, 30, 2165–2182. [Google Scholar] [CrossRef]
- Gan, B.-H.; Siriwardena, T.N.; Javor, S.; Darbre, T.; Reymond, J.-L. Fluorescence imaging of bacterial killing by antimicrobial peptide dendrimer G3KL. ACS Infect. Dis. 2019, 5, 2164–2173. [Google Scholar] [CrossRef]
- Lukowiak, M.C.; Thota, B.N.S.; Haag, R. Dendritic core-shell systems as soft drug delivery nanocarriers. Biotechnol. Adv. 2015, 33, 1327–1341. [Google Scholar] [CrossRef]
- Fan, X.; Li, Z.; Loh, X.J. Recent developments of unimolecular micelles as functional materials and applications. Polym. Chem. 2016, 7, 5898–5919. [Google Scholar] [CrossRef]
- Tomalia, D.A.; Balogh, L. Nanocomposites of Dendritic Polymers. U.S. Patent 6,664,315, 16 December 2003. [Google Scholar]
- Newkome, G.R.; Moorefield, C.N.; Baker, G.R.; Johnson, A.L.; Behera, R.K. Alkane cascade polymers possessing micellar topology: Micellanoic acid derivatives. Angew. Chem. Int. Ed. Engl. 1991, 30, 1176–1178. [Google Scholar] [CrossRef]
- Newkome, G.R.; Moorfield, C.N.; Baker, G.R.; Saunders, M.J.; Grossman, S.H. Unimolecular micelles. Angew. Chem. Int. Ed. 1991, 30, 1178–1180. [Google Scholar] [CrossRef]
- Jansen, J.F.G.A.; de Brabander-van den Berg, E.M.M.; Meijer, E.W. Encapsulation of guest molecules into a dendritic box. Science 1994, 266, 1226–1229. [Google Scholar] [CrossRef] [PubMed]
- Jansen, J.F.G.A.; Meijer, E.W.; de Brabander-van den Berg, E.M.M. The dendritic box: Shape-selective liberation of encapsulated guests. J. Am. Chem. Soc. 1995, 117, 4417–4418. [Google Scholar] [CrossRef]
- Liu, M.; Kono, K.; Fréchet, J.M.J. Water-soluble dendritic unimolecular micelles:Their potential as drug delivery agents. J. Control. Release 2000, 65, 121–131. [Google Scholar] [CrossRef]
- Wolinsky, J.B.; Grinstaff, M.W. Therapeutic and diagnostic applications of dendrimers for cancer treatment. Adv. Drug Deliv. Rev. 2008, 60, 1037–1055. [Google Scholar] [CrossRef]
- Astruc, D.; Boisselier, E.; Ornelas, C. Dendrimers designed for functions: From physical, photophysical, and supramolecular properties to applications in sensing, catalysis, molecular electronics, photonics, and nanomedicine. Chem. Rev. 2010, 110, 1857–1959. [Google Scholar] [CrossRef]
- Goller, R.; Vors, J.-P.; Caminade, A.-M.; Majoral, J.-P. Phosphorus dendrimers as new tools to delivery active substances. Tetrahedron Lett. 2001, 42, 3587–3590. [Google Scholar] [CrossRef]
- Beezer, A.E.; King, A.S.H.; Martin, I.K.; Mitchell, J.C.; Twyman, L.J.; Wain, C.F. Dendrimers as potential drug carriers; encapsulation of acidic hydrohobes within water soluble PAMAM derivatives. Tetrahedron 2003, 59, 3873–3880. [Google Scholar] [CrossRef]
- Morgan, M.T.; Carnahan, M.A.; Immos, C.E.; Ribeiro, A.A.; Finkelstein, S.; Lee, S.J.; Grinstaff, M.W. Dendritic molecular capsules for hydrophobic compounds. J. Am. Chem. Soc. 2003, 105, 15485–15489. [Google Scholar] [CrossRef]
- Chapman, T.M.; Hillyer, G.L.; Mahan, E.J.; Schaffer, K.A. Hydraamphiphiles: Novel linear dendritic block copolymer surfactants. J. Am. Chem. Soc. 1994, 116, 11195–11196. [Google Scholar] [CrossRef]
- Hawker, C.J.; Wooley, K.L.; Fréchet, J.M.J. Unimolecular micelles and globular amphiphiles: Dendritic macromolecules as novel recyclable solubilizing agents. J. Chem. Soc. Perkin Trans. I 1993, 1287–1297. [Google Scholar] [CrossRef]
- Yang, H.; Morris, J.J.; Lopina, S.T. Polyethylene glycol-polyamidoamine dendritic micelle as solubility enhancer and the effect of the length of polyethylene glycol arms on the solubility of pyrene in water. J. Colloid Interface Sci. 2004, 273, 148–154. [Google Scholar] [CrossRef]
- Pistolis, G.; Malliaris, A. Study of poly(propylene imine) dendrimers in water, by exciplex formation. J. Am. Chem. Soc. 2002, 18, 246–251. [Google Scholar] [CrossRef]
- Vutukuri, D.R.; Basu, S.; Thayumanavan, S. Dendrimers with both polar and apolar nanocontainer characteristics. J. Am. Chem. Soc. 2004, 126, 15636–15637. [Google Scholar] [CrossRef]
- Kaanumalle, L.S.; Nithyanandhan, J.; Pattabiraman, M.; Jayaraman, N.; Ramamurthy, V. Water-soluble dendrimers as photochemical reaction media: Chemical behavior of singlet and triplet radical pairs inside dendritic reactions cavities. J. Am. Chem. Soc. 2004, 129, 8999–9006. [Google Scholar] [CrossRef] [PubMed]
- Gupta, U.; Agashe, H.B.; Asthana, A.; Jain, N.K. Dendrimers: Novel polymeric nanoarchitectures for solubility enhancement. Biomacromolecules 2006, 7, 649–658. [Google Scholar] [CrossRef] [PubMed]
- Baars, M.W.P.L.; Kleppinger, R.; Koch, M.H.J.; Yeu, S.L.; Meijer, E.W. The localization of guests in water soluble oligoethyleneoxy modified poly(propylene imine) dendrimers. Angew. Chem. Int. Ed. Engl. 2000, 39, 1285–1288. [Google Scholar] [CrossRef]
- Baars, M.W.P.L.; Meijer, E.W. Host-Guest Chemistry of Dendritic Molecules; Springer: Berlin/Heidelberg, Germany, 2000; Volume 210, pp. 131–182. [Google Scholar]
- Morgan, M.T.; Nakanishi, D.; Kroll, D.J.; Griset, A.P.; Carnahan, M.A.; Wathier, M.; Oberlies, N.H.; Manikumar, G.; Wani, M.C.; Grinstaff, M.W. Dendrimer-encapsulated camptothecins: Increased solubility, cellular uptake, and cellular retention affords enhanced anticancer activity in vitro. Cancer Res. 2006, 66, 11913–11921. [Google Scholar] [CrossRef] [PubMed]
- Ma, X.; Zhou, Z.; Jin, E.; Sun, Q.; Zhang, B.; Tang, J.; Shen, Y. Facile synthesis of polyester dendrimers as drug delivery carriers. Macromolecules 2013, 46, 37–42. [Google Scholar] [CrossRef]
- Baumann, D.; Tuerck, D. Pharmacokinetics, metabolism, etc. Drug Discov. Today 2014, 19, 1623–1631. [Google Scholar] [CrossRef]
- Cao, W.; Zhu, L. Synthesis and unimolecular micelles of amphiphilic dendrimer-like star polymer with various functional surface groups. Macromolecules 2011, 44, 1500–1512. [Google Scholar] [CrossRef]
- Tomalia, D.A.; Wilson, L.R.; Hedstrand, D.M.; Tomlinson, I.A.; Fazio, M.J.; Kruper, W.J., Jr.; Kaplan, D.A.; Cheng, R.; Edwards, D.S.; Jung, C.W. Dense Star Conjugates. U.S. Patent 5,527,524, 18 June 1996. [Google Scholar]
- Tomalia, D.A.; Kaplan, D.; Kruper Jr., W.; Cheng, R.; Tomlinson, I.; Fazio, M.; Hedstrand, D.; Wilson, L. Starburst Conjugates. U.S. Patent 5,338,532, 16 August 1996. [Google Scholar]
- Burnett, J.L.; King, A.S.H.; Martin, I.K.; Twyman, L.J. The effect of size on the rate of an aminolysis reaction using a series of amine terminated PAMAM dendrimers. Tetrahedron Lett. 2002, 43, 2431–2433. [Google Scholar] [CrossRef]
- Twyman, L.J.; King, A.S.H.; Martin, I.K. Catalysis inside dendrimers. Chem. Soc. Rev. 2002, 31, 69–82. [Google Scholar] [CrossRef] [PubMed]
- Shao, N.; Su, Y.; Hu, J.; Zhang, J.; Zhang, H.; Cheng, Y. Comparison of generation 3 polyamidoamine dendrimer and generation 4 polypropylenimine dendrimer on drug loading, complex structure, release behavior, and cytotoxicity. Int. J. Nanomed. 2011, 6, 3361–3372. [Google Scholar]
- Tomalia, D.A.; Rookmaker, M. Poly(propylene imine) Dendrimers In Polymer Data Handbook, 2nd ed.; Mark, J.E., Ed.; Oxford University Press: New York, NY, USA, 2009; pp. 979–982. [Google Scholar]
- Taratula, O.; Schumann, C.; Duong, T.; Taylor, K.L.; Taratula, O. Dendrimer-encapsulated naphthalocyanine as single agent-based theranostic nanoplatform for near-infrared fluorescence imaging and combinatorial anticancer photography. Nanoscale 2015, 7, 3888–3902. [Google Scholar] [CrossRef]
- Yamamoto, K.; Imaoka, T.; Tanabe, M.; Kambe, T. New horizon of nanoparticle and cluster catalysis with dendrimers. Chem. Rev. 2019. [Google Scholar] [CrossRef]
- Yamamoto, K.; Imaoka, T. Precision synthesis of subnanoparticles using dendrimers as a superatom synthesizer. Acc. Chem. Res. 2014, 47, 1127–1136. [Google Scholar] [CrossRef]
- Crooks, R.M.; Zhao, M.; Sun, L.; Chechik, V.; Yeung, L.K. Dendrimer-encapsulated metal nanoparticles: Synthesis, characterization and application to catalysis. Acc. Chem. Res. 2001, 34, 181–190. [Google Scholar] [CrossRef]
- Garcia-Gallego, S.; Cangiotti, M.; Fiorani, L.; Fattori, A.; Munoz-Fernandez, M.A.; Gomez, R.; Ottaviani, M.F.; de la Mata, F.J. Anionic sulfonated and carboxylated PPI dendrimers with the EDA core: Synthesis and characterization of selective metal complexing agents. Dalton Trans. 2013, 42, 5874–5889. [Google Scholar] [CrossRef]
- Garcia-Gallego, S.; Diaz, L.; Jiminez, J.L.; Gomez, R.; de la Mata, F.J.; Munoz-Fernandez, M.A. HIV-1 antiviral behavior of anionic PPI metallo-dendrimers with EDA core. Eur. J. Med. Chem. 2015, 98, 139–148. [Google Scholar] [CrossRef]
- Yang, J.; Zhang, Q.; Chang, H.; Cheng, Y. Surface-engineered dendrimers in gene delivery. Chem. Rev. 2015, 115, 5274–5300. [Google Scholar] [CrossRef] [PubMed]
- Tomalia, D.A. Dendrons/Dendrimer: Quantized, nano-element like building blocks for soft-soft and soft-hard nano-compound synthesis. Soft Matter 2010, 6, 456–474. [Google Scholar] [CrossRef]
- Tomalia, D.A. In quest of a systematic framework for unifying and defining nanoscience. J. Nanopart. Res. 2009, 11, 1251–1310. [Google Scholar] [CrossRef] [PubMed]
- Tomalia, D.A.; Khanna, S.N. A systematic framework and nanoparticle concept for unifying nanoscience: Hard/soft nanoelements, superatoms, meta-atoms, new emerging properties, periodic patterns, and predictive Mendeleev-like nanoperiodic tables. Chem. Rev. 2016, 116, 2705–2774. [Google Scholar] [CrossRef] [PubMed]
- Kannan, R.M.; Nance, E.; Kannan, S.; Tomalia, D.A. Emerging concepts in dendrimer-based nanomedicine: From design principles to clinical applications. J. Intern. Med. 2014, 276, 579–617. [Google Scholar] [CrossRef] [PubMed]
- Wang, F.; Hu, K.; Cheng, Y. Structure-activity relationships of dendrimers engineered with twenty common amino acids in gene delivery. Acta Biomater. 2016, 29, 94–102. [Google Scholar] [CrossRef]
- Rahman, A.; Rahman, A.K.; Tomalia, D.A. Engineering dendrimers to produce dendrimer dipole excitation based terahertz radiation sources suitable for spectrometry, molecular and biomedical imaging. Nanoscale Horiz. 2017, 2, 127–134. [Google Scholar] [CrossRef]
- Tang, S.; Tomalia, D.A.; Orr, B.G.; Baker, J.R., Jr.; Huang, B. Regio-specific size, shape and surface chemistry designed dendrimers based on differentiated dendroid templates. New J. Chem. 2013, 37, 690–700. [Google Scholar] [CrossRef]
- Hu, J.; Xu, T.; Cheng, Y. NMR insights into dendrimer based host-guest systems. Chem. Rev. 2012, 112, 3856–3891. [Google Scholar] [CrossRef]
- Zhao, L.; Cheng, Y.; Hu, J.; Wu, Q.; Xu, T. Host−Guest Chemistry of Dendrimer−Drug Complexes. 3. Competitive Binding of Multiple Drugs by a Single Dendrimer for Combination Therapy. J. Phys. Chem. B 2009, 113, 14172–14179. [Google Scholar] [CrossRef]
- Medina, S.H.; El-Sayed, M.E.H. Dendrimers as carriers for delivery of chemotherapeutic drugs. Chem. Rev. 2009, 109, 3141–3157. [Google Scholar] [CrossRef] [PubMed]
- Recker, J.; Tomcik, D.J.; Parquette, J.R. Folding dendrons: The development of solvent-, temperature-, and generation-dependent chiral conformational order in intramolecularly hydrogen-bonded dendrons. J. Am. Chem. Soc. 2000, 122, 10298–10307. [Google Scholar] [CrossRef]
- Boas, U.; Karlsson, A.J.; de Waal, B.F.M.; Meijer, E.W. Synthesis and properties of new thiourea-functionalized poly(propylene imine) dendrimers and their role as hosts for urea functionalized guests. J. Org. Chem. 2001, 66, 2136–2145. [Google Scholar] [CrossRef] [PubMed]
- D’Emanuele, A.; Attwood, D. Dendrimer-drug interactions. Adv. Drug Deliv. Rev. 2005, 57, 2147–2162. [Google Scholar] [CrossRef]
- Ambade, A.V.; Elamprakash, N.S.; Thayumanavan, S. Dendrimeric micelles for controlled drug release and targeted delivery. Mol. Pharm. 2005, 2, 264–272. [Google Scholar] [CrossRef]
- Ren, Y.; Kang, C.-S.; Yuan, X.-B.; Zhou, X.; Xu, P.; Han, L.; Wang, G.X.; Jia, Z.; Zhong, Y.; Yu, S.; et al. Co-delivery of as-miR-21 and 5-FU by poly(amidoamine) dendrimer attenuates human glioma cell growth in vitro. J. Biomater. Sci. Polym. Ed. 2010, 21, 303–314. [Google Scholar] [CrossRef]
- Dhanikula, R.S.; Hildgen, P. Synthesis and evaluation of novel dendrimers with a hydrophilic interior as nanocarriers for drug delivery. Biconjugate Chem. 2006, 17, 29–41. [Google Scholar] [CrossRef]
- Reul, R.; Renette, T.; Bege, N.; Kissel, T. Nanoparticles for paclitaxel delivery: A comparative study of different types of dendritic polyesters and their degradation behavior. Int. J. Pharm. 2011, 407, 190–196. [Google Scholar] [CrossRef]
- Zeng, X.; Zhang, Y.; Wu, Z.; Lundberg, P.; Malkoch, M.; Nystrom, A.M. Hyperbranched copolymer micelles as delivery vehicles of doxorubicin in breast cancer cells. J. Polym. Sci. Part A Polym. Chem. 2012, 50, 280–288. [Google Scholar] [CrossRef]
- Moore, J.S. Shape-persistent molecular architectures of nanoscale dimension. Acc. Chem. Res. 1997, 30, 402–413. [Google Scholar] [CrossRef]
- Tripathi, P.K.; Khopade, A.J.; Nagaich, S.; Shrivastava, S.; Jain, S.; Jain, N.K. Dendrimer grafts for delivery of 5-fluorouracil. Die Pharm. 2002, 57, 261–264. [Google Scholar]
- Chooi, K.W.; Gray, A.I.; Tetley, L.; Fan, Y.; Uchegbu, I.F. The molecular shape of poly(propylenimine) dendrimer amphiphiles has profound effect on their self assembly. Langmuir 2010, 26, 2301–2316. [Google Scholar] [CrossRef] [PubMed]
- Cloninger, M.J. Biological applications of dendrimers. Curr. Opinion Chem. Biol. 2002, 6, 742–748. [Google Scholar] [CrossRef]
- Gillies, E.R.; Jonsson, T.B.; Frechet, J.M.J. Stimuli-responsive supramolecular assemblies of linear-dendritic copolymers. J. Am. Chem. Soc. 2004, 126, 11936–11943. [Google Scholar] [CrossRef] [PubMed]
- Bolu, B.S.; Sanyal, R.; Sanyal, A. Drug delivery systems from self-assembly of dendron-polymer conjugates. Molecules 2018, 23, 1570. [Google Scholar] [CrossRef]
- Kojima, C.; Kono, K.; Maruyama, K.; Takagishi, T. Synthesis of polyamidoamine dendrimers having poly(ethylene glycol) grafts and their ability to encapsulate anticancer drugs. Bioconjugate Chem. 2000, 11, 910–917. [Google Scholar] [CrossRef]
- Kesharwani, P.; Jain, K.; Jain, N.K. Dendrimer as nanocarrier for drug delivery. Prog. Polym. Sci. 2014, 39, 268–307. [Google Scholar] [CrossRef]
- Kaminskas, L.M.; McLeod, V.M.; Porter, C.J.H.; Boyd, B.J. Association of chemotherapeutic drugs with dendrimer nanocarriers: An assessment of the merits of covalent conjugation compared to noncovalent encapsulation. Mol. Pharm. 2012, 9, 355–373. [Google Scholar] [CrossRef]
- Wong, A.D.; DeWit, M.A.; Gillies, E.R. Amplified release through the stimulus triggered degradation of self-immolative oligomers, dendrimers, and linear polymers. Adv. Drug Del. Rev. 2012, 64, 1031–1045. [Google Scholar] [CrossRef]
- Cheng, Y. Dendrimer-Based Drug Delivery Systems; Wiley: Hoboken, NJ, USA, 2012. [Google Scholar]
- Esfand, R.; Tomalia, D.A. Poly(amidoamine) (PAMAM) dendrimers: From biomimicry to drug delivery and biomedical applications. Drug Discov. Today 2001, 6, 427–436. [Google Scholar] [CrossRef]
- Svenson, S.; Chauhan, A.S. Dendrimers for enhanced drug solubilization. Nanomedicine 2008, 3, 679–702. [Google Scholar] [CrossRef] [PubMed]
- Choudhary, S.; Gupta, L.; Rani, S.; Dave, K.; Gupta, U. Impact of dendrimers on solubility of hydrophobic drug molecules. Front. Pharmacol. 2017, 8, 261. [Google Scholar] [CrossRef] [PubMed]
- Shadrack, D.M.; Swai, H.S.; Munissi, J.J.E.; Mubofu, E.B.; Nyandoro, S.S. Polyamidoamine dendrimers for enhanced solubility of small molecules and other desirable properties for site specific delivery: Insights from experimental and computational studies. Molecules 2018, 23, 1419. [Google Scholar] [CrossRef] [PubMed]
- Zhang, M.Q.; Wilkinson, B. Drug discovery beyond the “rule of five”. Curr. Opin. Chem. Biotechnol. 2007, 18, 478–488. [Google Scholar] [CrossRef]
- Sun, M.; Fan, A.; Wang, Z.; Zhao, Y. Dendrimer-mediated drug delivery to the skin. Soft Matter 2012, 8, 4301–4305. [Google Scholar] [CrossRef]
- Yang, Y.; Sunoqrot, S.; Stowell, C.; Ji, J.; Lee, C.-W.; Kim, J.W.; Khan, S.A.; Hong, S. Effect of Size, Surface Charge, and Hydrophobicity of Poly(amidoamine) Dendrimers on Their Skin Penetration. Biomacromolecules 2012, 13, 2154–2162. [Google Scholar] [CrossRef]
- Mignani, S.; El Kazzouli, S.; Bousmina, M.; Majoral, J.-P. Expand classical drug administration ways by emerging routes using dendrimer drug delivery systems: A concise overview. Adv. Drug Deliv. Rev. 2013, 65, 1316–1330. [Google Scholar] [CrossRef]
- Li, Z.; Tan, S.; Li, S.; Shen, Q.; Wang, K. Cancer drug delivery in the nano era: An overview and perspectives. Oncol. Rep. 2017, 38, 611–624. [Google Scholar] [CrossRef]
- Neerman, M.F.; Chen, H.-T.; Parrish, A.R.; Simanek, E.E. Reduction of drug toxicity using dendrimers based on melamine. Mol. Pharm. 2004, 1, 390–393. [Google Scholar] [CrossRef]
- Chen, H.-T.; Neerman, M.F.; Parrish, A.R.; Simanek, E.E. Cytotoxicity, hemolysis, and acute in vivo toxicity of dendrimers based on melamine, candidate vehicles for drug delivery. J. Am. Chem. Soc. 2004, 126, 10044–10048. [Google Scholar] [CrossRef]
- Diaz, C.; Guzman, J.; Jimenez, V.A.; Alderete, J.B. Partially PEGylated PAMAM dendrimers as solubility enhancers of Silybin. Pharm. Dev. Technol. 2017, 23, 689–696. [Google Scholar] [CrossRef] [PubMed]
- Luong, D.; Kesharwani, P.; Killinger, B.A.; Moszczynska, A.; Sarkar, F.H.; Padhye, S.; Rishi, A.K.; Iyer, A.K. Solubility enhancement and targeted delivery of a potent anticancer flavonoid analogue to cancer cells using ligand decorated dendrimer nano-architectures. J. Colloid Interface Sci. 2016, 484, 33–43. [Google Scholar] [CrossRef] [PubMed]
- Kesharwani, P.; Xie, L.; Banerjee, S.; Mao, G.; Padhye, S.; Sarkar, F.H.; Iyer, A.K. Hyaluronic acid-conjugated polyamidoamine dendrimers for targeted delivery of 3,4-difluorobenzylidene curcumin to CD44 overexpressing pancreatic cancer cells. Colloids Surf. B. Biointerfaces 2015, 136, 413–423. [Google Scholar] [CrossRef]
- Markatou, E.; Gionis, V.; Chryssikos, G.D.; Hatziantoniou, S.; Georgopoulos, A.; Demetzos, C. Molecular interactions between dimethoxycurcumin and PAMAM dendrimer carriers. Int. J. Pharm. 2007, 339, 231–236. [Google Scholar] [CrossRef] [PubMed]
- Xu, X.; Lu, S.; Gao, C.; Wang, X.; Bai, X.; Gao, N.; Liu, M. Facile preparation of pH-sensitive and self-flourescent mesoporous silica nanoparticles modified with PAMAM dendrimers of label-free imaging and drug delivery. Chem. Eng. J. 2015, 266, 171–178. [Google Scholar] [CrossRef]
- Nabavizadeh, F.; Fanaei, H.; Imani, A.; Vahedian, J.; Amoli, F.A.; Ghorbi, J.; Sohanaki, H.; Mohammadi, S.M.; Galchoobian, R. Evaluation of nanocarrier targeted drug delivery of Capecitabine-PAMAM dendrimer complex in a mice colorectal cancer model. Acta Med. Iran. 2016, 54, 485–493. [Google Scholar] [PubMed]
- Ooya, T.; Lee, J.; Park, K. Effects of ethylene glycol-based graft, star-shaped, and dendritic polymers on solubilization and controlled release of paclitaxel. J. Control. Release 2003, 93, 121–127. [Google Scholar] [CrossRef] [PubMed]
- Bansal, K.K.; Kakde, D.; Gupta, U.; Jain, N.K. Development and Characterization of Triazine Based Dendrimers for Delivery of Antitumor Agent. J. Nanosci. Nanotech. 2010, 10, 8395–8404. [Google Scholar] [CrossRef]
- Jain, N.K.; Tare, M.S.; Mishra, V.; Tripathi, P.K. The development, characterization and in vivo anti-ovarian cancer activity of poly(propylene imine) (PPI)-antibody conjugates containing encapsulated paclitaxel. Nanomedicine 2015, 11, 207–218. [Google Scholar] [CrossRef]
- Liu, Y.; Ng, Y.; Toh, M.R.; Chiu, G.N. Lipid-dendrimer hybrid nanosystem as a novel delivery system for paclitaxel to treat ovarian cancer. J. Control. Release 2015, 220, 438–446. [Google Scholar] [CrossRef]
- Ooya, T.; Lee, J.; Park, K. Hydrotropic dendrimers of generations 4 and 5: Synthesis, characterization and hydrotropic solubilization of paclitaxel. Bioconjugate Chem. 2004, 15, 1221–1229. [Google Scholar] [CrossRef] [PubMed]
- Malik, N.; Evagorou, E.G.; Duncan, R. Dendrimer-platinate: A novel approach to cancer chemotherapy. Anticancer Drugs 1999, 10, 767–776. [Google Scholar] [CrossRef] [PubMed]
- Bellis, E.; Hajba, L.; Kovacs, B.; Sandor, K.; Kollar, L.; Kokotos, G. Three generations of α,γ-diaminobutyric acid modified poly(propyleneimine) dendrimers and their cisplatin-type platinum complexes. J. Biochem. Biophys. Methods 2006, 69, 151–161. [Google Scholar] [CrossRef] [PubMed]
- Shadrack, D.M.; Mubofu, E.B.; Nyandoro, S.S. Synthesis of polyamidoamine dendrimer for encapsulating tetramethylscutellarein for potential bioactivity enhancement. Int. J. Mol. Sci. 2015, 16, 26363–26377. [Google Scholar] [CrossRef]
- Alibolandi, M.; Taghdisi, S.M.; Ramezdani, P.; Shamili, F.H.; Farzad, S.A.; Abnous, K.; Ramezdani, M. Smart AS1411-aptamer conjugated pegylated PAMAM dendrimer for the superior delivery of camptothecin to colon adenocarcinoma in vitro and in vivo. Int. J. Pharm. 2017, 519, 352–364. [Google Scholar] [CrossRef]
- Cheng, Y.; Li, M.; Xu, T. Potential of poly(amidoamine) dendrimers as drug carriers of camptothecin based on encapsulation studies. Eur. J. Med. Chem. 2008, 43, 1791–1795. [Google Scholar] [CrossRef]
- Ke, W.; Zhao, Y.; Huang, R.; Jiang, C.; Pei, Y. Enhanced oral bioavailability of doxocubicin in a dendrimer drug delivery system. J. Pharm. Sci. 2008, 97, 2208–2216. [Google Scholar] [CrossRef]
- Agarawal, A.; Gupta, U.; Asthana, A.; Jain, N.K. Dextran conjugated dendritic nanoconstructs as potential vectors for anti-cancer agent. Biomaterials 2009, 30, 3588–3596. [Google Scholar] [CrossRef]
- Gupta, U.; Dwivedi, S.K.D.; Bid, H.K.; Konwar, R.; Jain, N.K. Ligand anchored dendrimers based nanoconstructs for effective targeting to cancer cells. Int. J. Pharm. 2010, 393, 186–197. [Google Scholar] [CrossRef]
- Papagiannaros, A.; Dimas, K.; Papaioannou, G.T.; Demetzos, C. Doxorubicin-PAMAM dendrimer complex attached to liposomes: Cytotoxic studies against human cancer cell lines. Int. J. Pharm. 2005, 302, 29–38. [Google Scholar] [CrossRef]
- Lee, C.C.; Gillies, E.R.; Fox, M.E.; Guillaudeu, S.J.; Fréchet, J.M.J.; Dy, E.E.; Szoka, F.C. A single dose of doxorubicin-functionalized bow-tie dendrimer cures mice bearing C-26 colon carcinomas. Proc. Natl. Acad. Sci. USA 2006, 103, 16649–16654. [Google Scholar] [CrossRef] [PubMed]
- Venuganti, V.V.K.; Perumal, O.P. Poly (amidoamine) dendrimers as skin permeation enhancers: Influence of charge, generation and concentration. J. Pharm. Sci 2009, 98, 2345–2356. [Google Scholar] [CrossRef] [PubMed]
- Buczkowski, A.; Olesinski, T.; Zbicinska, E.; Urbaniak, P.; Palecz, B. Spectroscopic and calorimetric studies of formation of the supramolecular complexes of PAMAM G5-NH2 and G5-OH dendrimers with 5-fluorouracil in aqueous solution. Int. J. Pharm. 2015, 490, 102–111. [Google Scholar] [CrossRef]
- Bhadra, D.; Bhadra, S.; Jain, S.K.; Jain, N.K. A PEGylated dendritic nanoparticulate carrier of fluorouracil. Int. J. Pharm. 2003, 257, 111–124. [Google Scholar] [CrossRef]
- Gupta, L.; Sharma, A.K.; Gothwal, A.; Khan, M.S.; Khinchi, M.P.; Qayum, A.; Singh, S.K.; Gupta, U. Dendrimer encapsulated and conjugated delivery of berberine: A novel approach mitigating toxicity and improving in vivo pharmacokinetics. Int. J. Pharm. 2017, 528, 88–99. [Google Scholar] [CrossRef]
- Gothwal, A.; Khan, I.; Kumar, P.; Raza, K.; Kaul, A.; Mishra, A.K.; Gupta, U. Bendamustine-PAMAM conjugates for the improved apoptosis, efficacy and in vivo pharmocokinetics: A sustainable delivery tactic. Mol. Pharm. 2018, 15, 2084–2097. [Google Scholar] [CrossRef]
- Yesli-Celiktas, O.; Pala, C.; Cetin-Uyanikgil, E.O.; Sevimli-Gur, C. Synthesis of silica-PAMAM dendrimer nanoparticles as promising carriers in Neuro blastoma cells. Anal. Biochem. 2017, 519, 1–7. [Google Scholar] [CrossRef]
- Najlah, M.; Freeman, S.; Khoder, M.; Atwood, D.; D’Emanuele, A. In vitro evaluation of third generation PAMAM dendrimer conjugates. Molecules 2017, 22, 1661. [Google Scholar] [CrossRef]
- Cheng, Y.; Xu, T. Dendrimers as potential drug carriers. Part I. Solubilization of non-steroidal anti-inflammatory drugs in the presence of polyamidoamine dendrimers. Eur. J. Med. Chem. 2005, 40, 1188–1192. [Google Scholar]
- Patel, J.; Kevin, G.; Basu, B.; Raval, M.; Dharamsi, A. Solubility of aceclofenac in polyamidoamine dendrimers solutions. Int. J. Pharm. Investig. 2011, 1, 135–138. [Google Scholar] [CrossRef]
- Namazi, H.; Adeli, M. Dendrimers of citric acid and poly(ethylene glycol) as the new drug-delivery agents. Biomaterials 2005, 26, 1175–1183. [Google Scholar] [CrossRef] [PubMed]
- Cheng, C.; Na, M.; Xu, T.; Fu, R.; Wang, X.; Wang, X.; Wen, L. Transdermal delivery of nonsteroidal anti-inflammatory drugs mediated by polyamidoamine (PAMAM) dendrimers. J. Pharm. Sci. 2007, 96, 595–602. [Google Scholar] [PubMed]
- Kolhe, P.; Misra, E.; Kannan, R.M.; Kannan, S.; Lieh-Lai, M. Drug complexation, in vitro release and cellular entry of dendrimers and hyperbranched polymers. Int. J. Pharm. 2003, 259, 143–160. [Google Scholar] [CrossRef]
- Milhelm, O.M.; Myles, C.; McKeown, N.B.; Attwood, D.; D’Emanuele, A. Polyamidoamine Starburst dendrimers as solubility enhancers. Int. J. Pharm. 2000, 197, 239–241. [Google Scholar] [CrossRef]
- Chandresekar, D.; Sistla, R.; Ahmad, F.J.; Khar, R.K.; Diwan, P.V. Folate coupled poly(ethylene glycol) conjugates or anionic poly(amidoamine) dendrimer for inflammatory tissue specific drug delivery. J. Biomed. Mater. Res. 2007, 82, 92–103. [Google Scholar] [CrossRef] [PubMed]
- Tomalia, D.A.; Swanson, D.R.; Huang, B.; Pulgam, V.R. Dendritic Polymers with Enhanced Amplification and Interior Functionality. U.S. Patent 7,981,444 B2, 19 July 2011. [Google Scholar]
- Tomalia, D.A.; Swanson, D.R.; Huang, B.; Pulgam, V.R.; Heinzelmann, J.R.; Svenson, S.; Reyna, L.A.; Zhuravel, M.A.; Chauhan, A.S.; DeMattei, C.R. Dendritic Polymers with Enhanced Amplification and Interior Functionality. U.S. Patent 7,985,424 B2, 26 July 2011. [Google Scholar]
- Magalhaes, T.M.; Guerra, R.C.; da Silva San Gil, R.A.; Valente, A.P.; Simao, R.A.; Soares, B.G.; de Carvalho Mendes, T.; do Santos Pyrrho, A.; de Sousa, V.P.; Roriques-Furtado, V.L. PAMAM dendrimer hydrogel film--biocompatible material to an efficient dermal delivery of drugs. J. Nanopart. Res. 2017, 19, 277. [Google Scholar] [CrossRef]
- Devarakonda, B.; Hill, R.A.; de Villiers, M.M. The effect of PAMAM dendrimer generation size and surface functional group on aqueous solubility of nifedipine. Int. J. Pharm. 2004, 284, 133–140. [Google Scholar] [CrossRef]
- Devarakonda, B.; Li, N.; de Villiers, M.M. Effect of polyamidoamine (PAMAM) dendrimers on the in vitro release of water-insoluble nifedipine from aqueous gels. AAPS PharmSciTech 2005, 6, 63. [Google Scholar] [CrossRef]
- Singh, M.K.; Pooja, D.; Kulhari, H.; Jain, S.K.; Sistla, R.; Chauhan, A.S. Poly(amidoamine) dendrimer-mediated hybrid formulation for combination therapy of ramipril and hydrochlorothiazide. Eur. J. Pharm. Sci. 2017, 96, 84–92. [Google Scholar] [CrossRef]
- Kitchens, K.M.; Foraker, A.B.; Kolhatkar, R.B.; Swaan, P.W.; Ghandehari, H. Endocytosis and interaction of poly(amidoamine) dendrimers with Caco-2 cells. Pharm. Res. 2007, 24, 2138–2145. [Google Scholar] [CrossRef]
- Pentek, T.J.; Newenhouse, E.; O’Brien, B.; Chauhan, A.S. Development of a topical resveratrol formulation for commercial applications using dendrimer nanotechnology. Molecules 2017, 22, 137. [Google Scholar] [CrossRef] [PubMed]
- Abdou, E.M.; Masoud, M.M. Gallic acid-PAMAM and gallic acid-phospholipid conjugates, physicochemical characterization and in vivo evaluation. Pharm. Dev. Technol. 2018, 23, 55–66. [Google Scholar] [CrossRef] [PubMed]
- Ma, M.; Cheng, Y.; Xu, Z.; Xu, P.; Qu, H.; Fang, Y.; Xu, T.; Wen, L. Evaluation of polyamidoamine (PAMAM) dendrimers as drug carriers of anti-bacterial drugs using sulfamethoxazole (SMZ) as a model drug. Eur. J. Med. Chem. 2007, 42, 93–98. [Google Scholar] [CrossRef] [PubMed]
- Cheng, Y.; Qu, H.; Ma, M.; Xu, Z.; Xu, P.; Fang, Y.; Xu, T. Polyamidoamine (PAMAM) dendrimers as biocompatible carriers of quinolone antimicrobials: An in vitro study. Eur. J. Med. Chem. 2007, 42, 1032–1038. [Google Scholar] [CrossRef]
- Bhadra, D.; Bhadra, S.; Jain, N.K. Pegylated lysine based copolymeric dendritic micelles for solubilization and delivery of artemether. J. Pharm. Pharm. Sci. 2005, 8, 467–482. [Google Scholar]
- Devarakonda, B.; Hill, R.A.; Liebenberg, W.; Brits, M.; de Villiers, M.M. Comparison of the aqueous solubilization of practically insoluble niclosamide by polyamidoamine (PAMAM) dendrimers and cyclodextrins. Int. J. Pharm. 2005, 304, 193–209. [Google Scholar] [CrossRef]
- Nel, A.E.; Madler, L.; Velegol, D.; Xia, T.; Hoek, E.M.V.; Somasundaran, P.; Klaessig, F.; Castranova, V.; Thompson, M. Understanding biophysicochemical interactions at the nano-bio interface. Nat. Mater. 2009, 8, 543–557. [Google Scholar] [CrossRef]
- Pavan, G.M.; Danini, A. The influence of dendron’s architecture on the “rigid” and “flexible” behaviour in binding DNA—A modelling study. Phys. Chem. Chem. Phys. 2010, 1, 13914–13917. [Google Scholar] [CrossRef]
- Tomalia, D.A.; Nixon, L.S.; Hedstrand, D.M. Engineering critical nanoscale design parameters (CNDPs): A strategy for developing effective nanomedicine therapies and assessing (QNSARs). In Pharmaceutical Applications of Dendrimers; Chauhan, A., Hitesh, K., Eds.; Elsevier Inc.: Amsterdam, The Netherlands, 2020. [Google Scholar]
- Chauhan, A.S.; Kaul, M. Engineering of “critical nanoscale design parameters” (CNDPs) in PAMAM dendrimer nanoparticles for drug delivery applications. J. Nanopart. Res. 2018, 20, 226. [Google Scholar] [CrossRef]
- Wang, Y.; Cai, R.; Chen, C. The nano-bio interactions of nanomedicines: Understanding the biochemical driving forces and redox reactions. Acc. Chem. Res. 2019, 52, 1507–1518. [Google Scholar] [CrossRef]
- Tomalia, D.A.; Christensen, J.B.; Boas, U. A quantized building block concept leading to a new nano-periodic system. In Dendrimers, Dendrons, and Dendritic Polymers: Discovery, Applications and the Future; Cambridge University Press: New York, NY, USA, 2012; pp. 293–377. [Google Scholar]
- Tomalia, D.A.; Khanna, S.N. In quest of a systematic framework for unifying and defining nanoscience. Mod. Phys. Lett. B 2014, 28, 1–48. [Google Scholar] [CrossRef]
- Tomalia, D.A.; Khanna, S.N. Progress in the Development of a Systematic Nanoperiodic Framework for Unifying Nanoscience; Taylor & Francis: Abingdon, UK, 2019. [Google Scholar]
- Tomalia, D.A.; Christensen, J.B.; Boas, U. Dendrimers, Dendrons, and Dendritic Polymers: Discovery, Applications and the Future; Cambridge University Press: New York, NY, USA, 2012; p. 412. [Google Scholar]
- Wang, Z.; Chen, C.Z.; Liu, R.; Fan, A.; Kong, D.; Zhao, Y. Two birds with one stone: Dendrimer surface engineering enables tunable periphery hydrophobicity and rapid endosomal escape. Chem. Commun. 2014, 50, 14025–14028. [Google Scholar] [CrossRef] [PubMed]
- Kaminskas, L.M.; Pires, D.E.; Ascher, D.B. dendPoint: A web resource for dendrimer pharmocokinetics investigation and prediction. Sci. Rep. 2019, 9, 15454. [Google Scholar] [CrossRef] [PubMed]
- Hammer, A.G.; Moritz, R.; Stangenberg, R.; Baumgarten, M.; Mullen, K. The polar side of polyphenylene dendrimers. Chem. Soc. Rev. 2015, 44, 4072–4090. [Google Scholar] [CrossRef] [PubMed]
- Hammer, B.A.G.; Mullen, K. Dimensional evolution of polyphenylenes: Expanding in all directions. Chem. Rev. 2016, 116, 2103–2140. [Google Scholar] [CrossRef] [PubMed]
- Hammer, B.A.G.; Müllen, K. Expanding the limits of synthetic macromolecular chemistry through polyphenylene dendrimers. J. Nanopart. Res. 2018, 20, 262. [Google Scholar] [CrossRef]
- Bauer, R.E.; Clark, C.G., Jr.; Mullen, K. Precision host-guest chemistry of polyphenylene dendrimers. New J. Chem. 2007, 31, 1275–1282. [Google Scholar] [CrossRef]
- Ficker, M.; Petersen, J.F.; Hansen, J.S.; Christensen, J.B. Guest-host chemistry with dendrimers--binding of carboxylates in aqueous solution. PLoS ONE 2015, 10, e0138706. [Google Scholar] [CrossRef]
- Boisselier, E.; Liang, L.; Dalko-Csiba, M.; Ruiz, J.; Astruc, D. Interaction and encapsulation of vitamins C, B3, and B6 with dendrimers in water. Chem. Eur. J. 2010, 16, 6056–6068. [Google Scholar] [CrossRef]
- Kesharwani, P.; Gothwal, A.; Iyer, A.K.; Jain, K.; Chourasia, M.K.; Gupta, U. Dendrimer nanohybrid carrier systems: An expanding horizon for targeted drug and gene delivery. Drug Discov. Today 2018, 23, 300–314. [Google Scholar] [CrossRef]
- Zheng, K.; Ren, J.; He, J. Thermally responsive unimolecular nanoreactors from amphiphilic dendrimer-like copolymer prepared via anionic polymerization and cross metathesis reaction. Macromolecules 2019, 52, 6780–6791. [Google Scholar] [CrossRef]
- Grand View Research. Nanomedicine market size worth $350.8 billion by 2025 |CAGR: 11.2% (2017). Available online: https://www.grandviewresearch.com/press-release/global-nanomedicine-market (accessed on 30 March 2020).
- Farjadian, F.; Ghasemi, A.; Gohari, O.; Roointan, A.; Karimi, M.; Hamblin, M.R. Nanopharmaceuticals and nanomedicines currently on the market: Challenges and opportunities. Nanomedicine 2019, 14, 93–126. [Google Scholar] [CrossRef] [PubMed]
- Fonash, S.J. Unique features of the nano-scale. J. Nanopart. Res. 2018, 20, 323. [Google Scholar] [CrossRef]
- Mignani, S.; El Kazzouli, S.; Bousmina, M.M.; Majoral, J.-P. Dendrimer space exploration: An assessment of dendrimers/dendritic scaffolding as inhibitors of protein-protein interactions, a potential new area of pharmaceutical development. Chem. Rev. 2014, 114, 1327–1342. [Google Scholar] [CrossRef]
- Ekladious, I.; Colson, Y.L.; Grinstaff, M.W. Polymer-drug conjugate therapeutics: Advances, insights and prospects. Nat. Rev. Drug Discov. 2019, 18, 273–294. [Google Scholar] [CrossRef]
- Shcharbin, D.; Shcharbina, N.; Bryszewska, M. Recent patents in dendrimers for nanomedicine: Evolution 2014. Recent Pat. Nanomed. 2014, 4, 25–31. [Google Scholar] [CrossRef]
- He, H.; Liu, L.; Morin, E.E.; Liu, M.; Schwendeman, A. Survey of clinical translation of cancer nanomedicines—Lessons learned from successes and failures. Acc. Chem. Res. 2019, 52, 2445–2461. [Google Scholar] [CrossRef]
- Yang, H. Targeted nanosystems: Advances in targeted dendrimers for cancer therapy. Nanomedicine 2016, 12, 309–316. [Google Scholar] [CrossRef]






















































| Tomalia Type | Newkome Type | Denkewalter Type | |
|---|---|---|---|
| Dendritic Topologies | Symmetrical, equal branch cell segments | Symmetrical, equal branch cell segments | Asymmetrical, unequal branch cell segments |
| 1st Patents | U.S. #4,507,466 (1985) | U.S. #4,289,872 (1981) | |
| 1st Public Oral Reports | Pauling-Flory Polym. Gordon Conf. (1983) [21] | ||
| 1st Publications | 1st SPSJ Int. Conf., Kyoto, Japan, Abstract (1984) Polym. J. (Tokyo), (1985) (Full Paper) [11]; Macromolecules (1986) [22] | J. Org. Chem., (1985) (Communication) [24] | |
| Compositional Types | poly(amidoamines, amides imines, phosphorhydrazones, aryloxys, alkylethers, ureas, esters, siloxanes, arylenes, etheramides, triazines, silanes, carbosilanes, triazoles, thioethers, iminoethers, aryloxyethers, thioether esters, silyloxhydroxyl ethers, alkynes, urethanes, etc.) | poly(amidoethers) | poly(L-lysines) |
| Total Citations (10/23/19) (Publications & Patents) | 45,485 citations (Google Scholar) | 35,519 citations (Google Scholar) | 282 citations [31] |
| API Structure Loaded | Dendrimer Type (Formulation) | Effects/Results | References |
|---|---|---|---|
![]() Methotrexate | Triazine (G3) | Encapsulates 3 moles MTX per G3 dendrimer | [128,129] |
![]() Silybin | PEG-PAMAM (G4) | Encapsulation, high PEG increased solubility | [130] |
![]() Diferuloylmethane (curcumin) | FA-PAMAM | Encapsulation, increased solubility, targeted delivery | [131] |
| HA-PAMAM | Encapsulation, increased cell uptake, reduced toxicity | [132] | |
| PAMAM-(3.5), (G4) | 4.3–5.0 mol/dendrimer | [133] | |
| PAMAM-meso nanosilica | Encapsulation | [134] | |
![]() Capecitabine | PAMAM-conjugated | Targeted delivery and lower toxicity | [135] |
![]() Paclitaxel | Poly(glycerol) | Encapsulation | [136] |
| Triazine dendrimer-paclitaxel conjugates | Encapsulation | [137] | |
| PPI-(CO2H) | Encapsulation | [138] | |
| Antibody conjugate PAMAM-(NH2), (G4) lipid hybrid | ×465-fold increased solubility and activity | [139] | |
| PAMAM poly(glycerol)(G4,5) | ×400-fold increased solubility | [140] | |
![]() Cisplatin | PAMAM-ester terminated | Solubility enhancement | [24,141] |
| PPI-amino butyrate terminated | [142] | ||
![]() Tetramethylscutellarein | PAMAM-NH2, (G4) | Encapsulation Increased solubility | [143] |
![]() Camptothecin | PAMAM (NH2), (G5) PEGylated | Encapsulation Increased solubility | [144] |
| Glycerol-succinic acid- poly(ester) dendrimer | ×16-fold cell uptake | [73] | |
| PAMAM dendrimers | Encapsulation | [145] | |
![]() Doxorubicin | PAMAM-(NH)2 | Enhanced bioavailability | [146] |
| PPI-NH2, dextrin conjugate | Enhanced solubility | [147] | |
| PPI-NH2, folate conjugated | Enhanced solubility | [148] | |
| PPI-NH2 | 6.5 drug/dendrimer | [114] | |
| PAMAM-(G4)PEG2000 | 91% encapsulated | [149] | |
| poly(ester); bowtie dendrimer architecture | Conjugated DOX yields Enhanced solubility | [150] | |
![]() 5-Flurouracil | PAMAM-NH2, G4 | Encapsulation, high loading and | [151] |
| PAMAM-CO2H, NH2 | lower toxicity | [152] | |
| PAMAM-(G4)-PEG5000 | ×12-fold increased solubility | [153] | |
![]() Berberine | PAMAM conjugation & encapsulation | Encapsulation, improved pharmacokinetics | [154] |
![]() Bendamustine | PAMAM-conjugation, G4 | Improved stability/pharmacokinetics | [155] |
![]() Black carrot anthocyanin | PAMAM-mesoporous silica | Controlled release, lower toxicity, enhanced activity | [156] |
| API Structure Loaded | Dendrimer Type (Formulation) | Effects/Results | References |
|---|---|---|---|
![]() Naproxen | PAMAM-lauryl modification (G0–3) | Enhanced solubility | [157] |
| PAMAM-NH2 (G4) | ×1570-fold increased solubility | [158] | |
![]() Aceclofenac | PAMAM dendrimers | Solubility enhancement | [159] |
| PAMAM dendrimers | Solubility enhancement | [121] | |
![]() Diclotenac | Citric acid-PEG dendrons (G1–3) | 15–33 mol% drug loading | [160] |
![]() Diflunisal | PAMAM-NH2 (G2–4) PAMAM-NH2 (G4) | ×2.48-fold increase bioavailability ×26-fold increased solubility | [161] [158] |
![]() Ibuprofen | PAMAM-NH2 (G3,4) | 78-IBU mol./dendrimer | [162] |
| PAMAM-NH2 (G4) | ×74-fold increased solubility | [158] | |
| PAMAM-NH2 (G4) | Solubility enhancement | [163] | |
![]() Indomethacin | PAMAM-NH2, -OH, -CO2H (G4) | ×10–20-fold increased solubility | [164] |
| PEHAM, OH, piperazine, PEG55 (G1) | ×48–136-fold increased solubility | [165,166] | |
![]() Ketoprofin | PAMAM-NH2 (G4) | ×19-fold increased solubility | [158] |
| PAMAM-NH2 megamer hydrogel | Encapsulation and controlled release | [167] | |
![]() Mefenamic acid | Citric acid-PEG dendrons (G1–3) | 27–36 mol% drug loading | [160] |
![]() Nifidepine | PAMAM-NH2 (G0–3) | G2.5 > G3 > G1.5 (increased solubility) | [168] |
| PAMAM ester (G0.5–2.5) | G2 > G0.5 > G1 > G0 | [169] | |
![]() Aspirin | PAMAM methyl ester (G3.5) | 30 wt% uptake by encapsulation | [26] |
| API Structure Loaded | Dendrimer Type (Formulation) | Effects/Results | References |
|---|---|---|---|
![]() Ramipril | PAMAM hybrid | Encapsulation | [170] |
![]() Hydrochlorothiazide | PAMAM hybrid | Encapsulation | [170] |
![]() Candesartan cilexetil | PAMAM-NH2, -CO2H,tris-OH conjugates | Anionic dendrimer enhanced solubility | [171] |
| API Structure Loaded | Dendrimer Type (Formulation) | Effects/Results | References |
|---|---|---|---|
![]() Resveratrol | PAMAM hybrid | Improved solubility | [172] |
![]() Gallic Acid | PAMAM conjugation | Improved bioavailability | [173] |
| API Structure Loaded | Dendrimer Type (Formulation) | Effects/Results | References |
|---|---|---|---|
![]() Sulfamethoxazole | PAMAM-NH2 (G3) | ×40-fold enhancement | [174] |
![]() Nadifloxacin | PAMAM (G3–5) | Increased solubility | [175] |
![]() Prulifloxacin | PAMAM (G3–5) | Increased solubility | [175] |
![]() Artemether | PEG-poly(lysine) dendritic micelle (G1.5, G2.5) | ×3-15 fold increased solubility | [176] |
![]() Niclosamide | PAMAM-NH2, (G0–3) | ×372–6176 fold enhancement | [177] |
© 2020 by the authors. Licensee MDPI, Basel, Switzerland. This article is an open access article distributed under the terms and conditions of the Creative Commons Attribution (CC BY) license (http://creativecommons.org/licenses/by/4.0/).
Share and Cite
Tomalia, D.A.; Nixon, L.S.; Hedstrand, D.M. The Role of Branch Cell Symmetry and Other Critical Nanoscale Design Parameters in the Determination of Dendrimer Encapsulation Properties. Biomolecules 2020, 10, 642. https://doi.org/10.3390/biom10040642
Tomalia DA, Nixon LS, Hedstrand DM. The Role of Branch Cell Symmetry and Other Critical Nanoscale Design Parameters in the Determination of Dendrimer Encapsulation Properties. Biomolecules. 2020; 10(4):642. https://doi.org/10.3390/biom10040642
Chicago/Turabian StyleTomalia, Donald A., Linda S. Nixon, and David M. Hedstrand. 2020. "The Role of Branch Cell Symmetry and Other Critical Nanoscale Design Parameters in the Determination of Dendrimer Encapsulation Properties" Biomolecules 10, no. 4: 642. https://doi.org/10.3390/biom10040642
APA StyleTomalia, D. A., Nixon, L. S., & Hedstrand, D. M. (2020). The Role of Branch Cell Symmetry and Other Critical Nanoscale Design Parameters in the Determination of Dendrimer Encapsulation Properties. Biomolecules, 10(4), 642. https://doi.org/10.3390/biom10040642

































