A Bioorthogonally Applicable, Fluorogenic, Large Stokes-Shift Probe for Intracellular Super-Resolution Imaging of Proteins
Abstract
1. Introduction
2. Materials and Methods
2.1. General
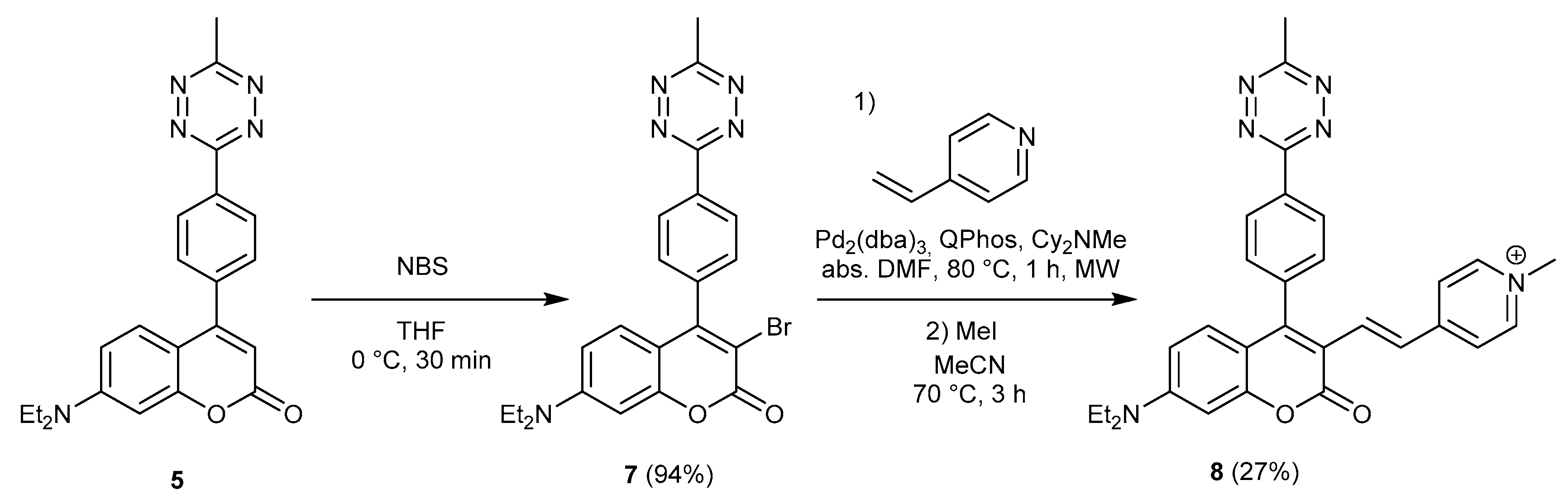
2.2. Synthesis and Characterization
2.3. Spectroscopic Measurements
2.4. Cell Culture
2.5. Live Cell Vimentin Labeling
2.6. Dual Color Labeling
2.6.1. Immunostaining
2.6.2. Actin Labeling
2.7. Confocal and STED Imaging and Analysis
3. Results and Discussion
4. Conclusions
Supplementary Materials
Author Contributions
Funding
Acknowledgments
Conflicts of Interest
References
- Sahl, S.J.; Hell, S.W.; Jakobs, S. Fluorescence nanoscopy in cell biology. Nat. Rev. Mol. Cell Biol. 2017, 18, 685–701. [Google Scholar] [CrossRef] [PubMed]
- Hell, S.W. Nanoscopy with Focused Light (Nobel Lecture). Angew. Chem. Int. Ed. 2015, 54, 8054–8066. [Google Scholar] [CrossRef] [PubMed]
- Wang, L.; Frei, M.S.; Salim, A.; Johnsson, K. Small-Molecule Fluorescent Probes for Live-Cell Super-Resolution Microscopy. J. Am. Chem. Soc. 2019, 141, 2770–2781. [Google Scholar] [CrossRef] [PubMed]
- Heilemann, M.; van de Linde, S.; Schüttpelz, M.; Kasper, R.; Seefeldt, B.; Mukherjee, A.; Tinnefeld, P.; Sauer, M. Subdiffraction-Resolution Fluorescence Imaging with Conventional Fluorescent Probes. Angew. Chem. Int. Ed. 2008, 47, 6172–6176. [Google Scholar] [CrossRef] [PubMed]
- Kozma, E.; Kele, P. Fluorogenic probes for super-resolution microscopy. Org. Biomol. Chem. 2019, 17, 215–233. [Google Scholar] [CrossRef] [PubMed]
- Li, C.; Tebo, A.G.; Gautier, A. Fluorogenic Labeling Strategies for Biological Imaging. Int. J. Mol. Sci. 2017, 18, 1473. [Google Scholar] [CrossRef]
- Zhang, G.; Zheng, S.; Liu, H.; Chen, P.R. Illuminating biological processes through site-specific protein labeling. Chem. Soc. Rev. 2015, 44, 3405–3417. [Google Scholar] [CrossRef]
- Lang, K.; Chin, J.W. Cellular Incorporation of Unnatural Amino Acids and Bioorthogonal Labeling of Proteins. Chem. Rev. 2014, 114, 4764–4806. [Google Scholar] [CrossRef]
- Chin, J.W. Expanding and reprogramming the genetic code of cells and animals. Annu. Rev. Biochem. 2014, 83, 379–408. [Google Scholar] [CrossRef]
- Freidel, C.; Kaloyanova, S.; Peneva, K. Chemical tags for site-specific fluorescent labeling of biomolecules. Amino Acids 2016, 48, 1357–1372. [Google Scholar] [CrossRef]
- Hoffmann, J.-E.; Plass, T.; Nikić, I.; Aramburu, I.V.; Koehler, C.; Gillandt, H.; Lemke, E.A.; Schultz, C. Highly Stable trans-Cyclooctene Amino Acids for Live-Cell Labeling. Chem. Eur. J. 2015, 21, 12266–12270. [Google Scholar] [CrossRef] [PubMed]
- Lotze, J.; Reinhardt, U.; Seitz, O.; Beck-Sickinger, A.G. Peptide-tags for site-specific protein labeling in vitro and in vivo. Mol. BioSyst. 2016, 12, 1731–1745. [Google Scholar] [CrossRef] [PubMed]
- Cserép, B.G.; Herner, A.; Kele, P. Bioorthogonal fluorescent labels: A review on combined forces. Methods Appl. Fluoresc. 2015, 3, 042001. [Google Scholar] [CrossRef] [PubMed]
- Knall, A.-C.; Slugovc, C. Inverse electron demand Diels–Alder (iEDDA)-initiated conjugation: A (high) potential click chemistry scheme. Chem. Soc. Rev. 2013, 42, 5131–5142. [Google Scholar] [CrossRef]
- Yang, J.; Seckute, J.; Cole, C.M.; Devaraj, N.K. Live-Cell Imaging of Cyclopropene Tags with Fluorogenic Tetrazine Cycloadditions. Angew. Chem. Int. Ed. 2012, 51, 7476–7479. [Google Scholar] [CrossRef]
- Carlson, J.C.T.; Meimetis, L.G.; Hilderbrand, S.A.; Weissleder, R. BODIPY-Tetrazine Derivatives as Superbright Bioorthogonal Turn-on Probes. Angew. Chem. Int. Ed. 2013, 52, 6917–6920. [Google Scholar] [CrossRef]
- Knorr, G.; Kozma, E.; Herner, A.; Lemke, E.A.; Kele, P. New Red-Emitting Tetrazine-Phenoxazine Fluorogenic Labels for Live-Cell Intracellular Bioorthogonal Labeling Schemes. Chem. Eur. J. 2016, 22, 8972–8979. [Google Scholar] [CrossRef]
- Herner, A.; Nikic, I.; Kállay, M.; Lemke, E.A.; Kele, P. A new family of bioorthogonally applicable fluorogenic labels. Org. Biomol. Chem. 2013, 11, 3297–3306. [Google Scholar] [CrossRef]
- Herner, A.; Girona, G.E.; Nikić, I.; Kállay, M.; Lemke, E.A.; Kele, P. New Generation of Bioorthogonally Applicable Fluorogenic Dyes with Visible Excitations and Large Stokes Shifts. Bioconjugate Chem. 2014, 25, 1370–1374. [Google Scholar] [CrossRef]
- Shieh, P.; Dien, V.T.; Beahm, B.J.; Castellano, J.M.; Wyss-Coray, T.; Bertozzi, C.R. CalFluors: A Universal motif for Fluorogenic Azide Probes across the Visible Spectrum. J. Am. Chem. Soc. 2015, 137, 7145–7151. [Google Scholar] [CrossRef]
- Meimetis, L.G.; Carlson, J.C.T.; Giedt, R.J.; Kohler, R.H.; Weissleder, R. Ultrafluorogenic Coumarin-Tetrazine Probes for Real-Time Biological Imaging. Angew. Chem. Int. Ed. 2014, 53, 7531–7534. [Google Scholar] [CrossRef] [PubMed]
- Wieczorek, A.; Werther, P.; Euchner, J.; Wombacher, R. Green- to far-red-emitting fluorogenic tetrazine probes – synthetic access and no-wash protein imaging inside living cells. Chem. Sci. 2017, 8, 1506–1510. [Google Scholar] [CrossRef]
- Knorr, G.; Kozma, E.; Schaart, J.M.; Németh, K.; Török, G.y.; Kele, P. Bioorthogonally Applicable Fluorogenic Cyanine-Tetrazines for No-Wash Super-Resolution Imaging. Bioconjugate Chem. 2018, 29, 1312–1318. [Google Scholar] [CrossRef] [PubMed]
- Kormos, A.; Koehler, C.; Fodor, A.E.; Rutkai, Z.R.; Martin, M.E.; Mező, G.; Lemke, E.A.; Kele, P. Bistetrazine-cyanines as double-clicking fluorogenic two-point binder or crosslinker probes. Chem. Eur. J. 2018, 24, 8841–8847. [Google Scholar] [CrossRef] [PubMed]
- Kozma, E.; Girona, G.E.; Paci, G.; Lemke, E.A.; Kele, P. Bioorthogonal double-fluorogenic siliconrhodamine probes for intracellular super-resolution microscopy. Chem. Commun. 2017, 53, 6696–6699. [Google Scholar] [CrossRef] [PubMed]
- Schmidt, L.; Doroshenko, T.; Barbie, P.; Grüter, A.; Jung, G.; Kazmaier, U. Synthesis of Fluorescent Amino Acids via Palladium-Catalyzed Allylic Alkylations. Synthesis 2016, 48, 3077–3086. [Google Scholar]
- Wu, H.; Yang, J.; Seckute, J.; Deveraj, N.K. In Situ Synthesis of Alkenyl Tetrazines for Highly Fluorogenic Bioorthogonal Live-Cell Imaging Probes. Angew. Chem. Int. Ed. 2014, 53, 5805–5809. [Google Scholar] [CrossRef]
- Rurack, K.; Spieles, M. Fluorescence Quantum Yields of a Series of Red and Near-Infrared Dyes Emitting at 600–1000 nm. Anal. Chem. 2011, 83, 1232–1242. [Google Scholar] [CrossRef]
- Kubin, R.F.; Fletcher, A.N. Fluorescence quantum yields of some rhodamine dyes. J. Lumin. 1982, 27, 455–465. [Google Scholar] [CrossRef]
- Nikić, I.; Estrada Girona, G.; Kang, J.H.; Paci, G.; Mikhaleva, S.; Koehler, C.; Shymanska, N.V.; Ventura Santos, C.; Spitz, D.; Lemke, E.A. Debugging Eukaryotic Genetic Code Expansion for Site-Specific Click-PAINT Super-Resolution Microscopy. Angew. Chem. Int. Ed. 2016, 55, 16172–16176. [Google Scholar] [CrossRef]
- Tkach, I.I.; Andronova, N.A.; Savvina, L.P.; Luk’yanets, E.A. Synthesis and apectral-luminescence properties of 7-diethylamino-4-(2-arylethenyl)coumarins. Chem. Heterocycl. Compd. 1991, 27, 259–262. [Google Scholar] [CrossRef]
- Czerney, P.; Wenzel, M.; Schweder, B.; Lehmann, F. Compound, especially marker-dye on the basis of polymethines. U.S. Patent US20040260093, 23 December 2004. [Google Scholar]
- Nagy, K.; Orbán, E.; Bősze, S.; Kele, P. Clickable Long-Wave “Mega-Stokes” Fluorophores for Orthogonal Chemoselective Labeling of Cells. Chem. Asian J. 2010, 5, 773–777. [Google Scholar] [CrossRef] [PubMed]
- Kozubek, M.; Matula, P. An efficient algorithm for measurement and correction of chromatic aberration in fluorescence microscopy. J. Microsc. 2000, 200, 206–217. [Google Scholar] [CrossRef] [PubMed]







| λabs (nm) | λem (nm) | ε (M−1 cm−1) | φ | B (ε × φ) | |
|---|---|---|---|---|---|
| 5 | 386 | n.d. | 9800 | n.d. | n.a. |
| 5-BCN | 400 | 542 | 13000 | 0.041 2 | 533 |
| 6 | 452 | n.d. | 6700 | n.d. | n.a. |
| 6-BCN | 429 | n.d. | 9800 | n.d. | n.a. |
| 8 | 495 | 620 | 24000 | 0.0021 3 | 50.4 |
| 8-BCN | 489 | 614 | 23000 | 0.057 3 | 1311 |
© 2020 by the authors. Licensee MDPI, Basel, Switzerland. This article is an open access article distributed under the terms and conditions of the Creative Commons Attribution (CC BY) license (http://creativecommons.org/licenses/by/4.0/).
Share and Cite
Németh, E.; Knorr, G.; Németh, K.; Kele, P. A Bioorthogonally Applicable, Fluorogenic, Large Stokes-Shift Probe for Intracellular Super-Resolution Imaging of Proteins. Biomolecules 2020, 10, 397. https://doi.org/10.3390/biom10030397
Németh E, Knorr G, Németh K, Kele P. A Bioorthogonally Applicable, Fluorogenic, Large Stokes-Shift Probe for Intracellular Super-Resolution Imaging of Proteins. Biomolecules. 2020; 10(3):397. https://doi.org/10.3390/biom10030397
Chicago/Turabian StyleNémeth, Evelin, Gergely Knorr, Krisztina Németh, and Péter Kele. 2020. "A Bioorthogonally Applicable, Fluorogenic, Large Stokes-Shift Probe for Intracellular Super-Resolution Imaging of Proteins" Biomolecules 10, no. 3: 397. https://doi.org/10.3390/biom10030397
APA StyleNémeth, E., Knorr, G., Németh, K., & Kele, P. (2020). A Bioorthogonally Applicable, Fluorogenic, Large Stokes-Shift Probe for Intracellular Super-Resolution Imaging of Proteins. Biomolecules, 10(3), 397. https://doi.org/10.3390/biom10030397
