Microwave-Assisted versus Conventional Isolation of Glucosinolate Degradation Products from Lunaria annua L. and Their Cytotoxic Activity
Abstract
1. Introduction
2. Material and Methods
2.1. Materials and Reagents
2.2. Isolation and Chemical Analysis
2.2.1. Isolation of Desulfoglucosinolates
2.2.2. HPLC-DAD Analysis of Desulfoglucosinolates
2.2.3. UHPLC-MS/MS Analysis
2.2.4. Isolation of Volatiles
Conventional Isolation
Microwave-Assisted Isolation
2.2.5. GC-MS Analysis
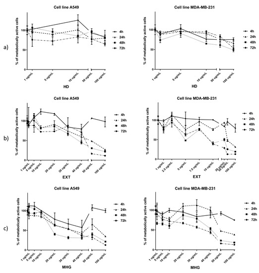
2.3. Cell Viability Assay (MTT)
3. Results and Discussion
3.1. Glucosinolates and Volatile Constituents
3.2. Cytotoxic Activity
4. Conclusions
Supplementary Materials
Author Contributions
Funding
Acknowledgments
Conflicts of Interest
References
- Blažević, I.; Montaut, S.; Burčul, F.; Rollin, P. Glucosinolates: Novel Sources and Biological Potential. In Glucosinolates; Mérillon, J.-M., Ramawat, G.K., Eds.; Springer International Publishing: Cham, Switzerland, 2016; pp. 3–60. [Google Scholar]
- Kjær, A. isoThiocyanates XXXV. Miscellaneous isothiocyanate glucoside acetates. Acta Chem. Scand. 1959, 13, 851–852. [Google Scholar] [CrossRef]
- Danielak, R.; Borkowski, B. Biologically active compounds in seeds of crucifers Part III. Chromatographical search for glucosynolates. Dissert. Pharm. Pharmacol. 1969, 21, 563–575. [Google Scholar]
- Daxenbichler, M.E.; Spencer, G.F.; Carlson, D.G.; Rose, G.B.; Brinker, A.M.; Powell, R.G. Glucosinolate composition of seeds from 297 species of wild plants. Phytochemistry 1991, 30, 2623–2638. [Google Scholar] [CrossRef]
- Blažević, I.; Maleš, T.; Ruščić, M. Glucosinolates of Lunaria annua: Thermal, enzymatic, and chemical degradation. Chem. Nat. Compd. 2014, 49, 1154–1157. [Google Scholar] [CrossRef]
- Agerbirk, N.; Olsen, C.E. Glucosinolate structures in evolution. Phytochemistry 2012, 77, 16–45. [Google Scholar] [CrossRef]
- Blažević, I.; Montaut, S.; Burčul, F.; Olsen, C.E.; Burow, M.; Rollin, P.; Agerbirk, N. Glucosinolate structural diversity, identification, chemical synthesis and metabolism in plants. Phytochemistry 2020, 169, 112100. [Google Scholar] [CrossRef]
- Bennett, R.N.; Mellon, F.A.; Kroon, P.A. Screening crucifer seeds as sources of specific intact glucosinolates using ion-pair high-performance liquid chromatography negative ion electrospray mass spectrometry. J. Agric. Food. Chem. 2004, 52, 428–438. [Google Scholar] [CrossRef]
- Burčul, F.; Generalić Mekinić, I.; Radan, M.; Rollin, P.; Blažević, I. Isothiocyanates: Cholinesterase inhibiting, antioxidant, and anti-inflammatory activity. J. Enzyme Inhib. Med. Chem. 2018, 33, 577–582. [Google Scholar] [CrossRef]
- Blažević, I.; Đulović, A.; Maravić, A.; Čikeš Čulić, V.; Montaut, S.; Rollin, P. Antimicrobial and cytotoxic activities of Lepidium latifolium L. Hydrodistillate, extract and its major sulfur volatile allyl isothiocyanate. Chem. Biodivers. 2019, 16, e180066. [Google Scholar] [CrossRef]
- Fofaria, N.M.; Ranjan, A.; Kim, S.-H.; Srivastava, S.K. Chapter five—Mechanisms of the anticancer effects of isothiocyanates. In The enzymes, mechanism of the anticancer effect of phytochemicals; Bathaie, S.Z., Fuyuhiko, T., Eds.; Elsevier Inc., Academic press: London, UK, 2015; Volume 37, pp. 111–137. [Google Scholar]
- Blažević, I.; Đulović, A.; Čikeš Čulić, V.; Burčul, F.; Ljubenkov, I.; Ruščić, M.; Generalić Mekinić, I. Bunias erucago L.: Glucosinolate profile and in vitro biological potential. Molecules 2019, 24, 741. [Google Scholar] [CrossRef]
- Grosser, K.; van Dam, N.M.A. A straightforward method for glucosinolate extraction and analysis with high-pressure liquid chromatography (HPLC). J. Vis. Exp. 2017, 121, e55425. [Google Scholar] [CrossRef] [PubMed]
- Brown, P.D.; Tokuhisa, J.G.; Reichelt, M.; Gershenzon, J. Variation of glucosinolate accumulation among different organs and developmental stages of Arabidopsis thaliana. Phytochemistry 2003, 62, 471–481. [Google Scholar] [CrossRef]
- Wathelet, J.-P.; Iori, R.; Leoni, O.; Quinsac, A.; Palmieri, S.; Rollin, P. Guidelines for glucosinolate analysis in green tissues used for biofumigation. Agroindustria 2004, 3, 257–266. [Google Scholar]
- Blažević, I.; Radonić, A.; Skočibušić, M.; De Nicola, G.R.; Montaut, S.; Iori, R.; Rollin, P.; Mastelić, J.; Zekić, M.; Maravić, A. Glucosinolate profiling and antimicrobial screening of Aurinia leucadea (Brassicaceae). Chem. Biodivers. 2011, 8, 2310–2321. [Google Scholar] [CrossRef]
- Kjær, A.; Ohashi, M.; Wilson, J.M.; Djerassi, C. Mass spectra of isothiocyanates. Acta Chem. Scand. 1963, 17, 2143–2154. [Google Scholar] [CrossRef]
- Spencer, G.F.; Daxenbichler, M.E. Gas chromatography-mass spectrometry of nitriles, isothiocyanates and oxazolidinethiones derived from cruciferous glucosinolates. J. Sci. Food Agric. 1980, 31, 359–367. [Google Scholar] [CrossRef]
- Vaughn, S.F.; Berhow, M.A. Glucosinolate hydrolysis products from various plant sources: pH effects, isolation, and purification. Ind. Crops Prod. 2005, 21, 193–202. [Google Scholar] [CrossRef]
- Al-Gendy, A.A.; Nematallah, K.A.; Zaghloul, S.S.; Ayoub, N.A. Glucosinolates profile, volatile constituents, antimicrobial, and cytotoxic activities of Lobularia libyca. Pharm. Biol. 2016, 54, 3257–3263. [Google Scholar] [CrossRef]
- Olsen, C.E.; Huang, X.-C.; Hansen, C.I.C.; Cipollini, D.; Ørgaard, M.; Matthes, A.; Geu-Flores, F.; Koch, M.A.; Agerbirk, N. Glucosinolate diversity within a phylogenetic framework of the tribe Cardamineae (Brassicaceae) unrevealed with HPLC-MS/MS and NMR-based analytical distinction of 70 desulfoglucosinolates. Phytochemistry 2016, 132, 33–56. [Google Scholar] [CrossRef]
- Chiang, W.C.K.; Pusateri, D.J.; Leitz, R.E.A. Gas chromatography/mass spectrometry for the determination of sulforaphane and sulforaphane nitrile in Broccoli. J. Agric. Food Chem. 1998, 46, 1018–1021. [Google Scholar] [CrossRef]
- Blažević, I.; Montaut, S.; De Nicola, G.R.; Rollin, P. Long-chain glucosinolates from Arabis turrita: Enzymatic and non-enzymatic degradations. Nat. Prod. Commun. 2015, 10, 1043–1046. [Google Scholar] [CrossRef] [PubMed]
- Nomura, T.; Shinoda, S.; Yamori, T.; Sawaki, S.; Nagata, I.; Ryoyama, K.; Fuke, Y. Selective sensitivity to wasabi-derived 6-(methylsulfinyl)hexyl isothiocyanate of human breast cancer and melanoma cell lines studied in vitro. Cancer Detect. Prev. 2005, 29, 155–160. [Google Scholar] [CrossRef] [PubMed]
- Fuke, Y.; Hishinuma, M.; Namikawa, M.; Oishi, Y.; Matsuzaki, T. Wasabi-derived 6-(methylsulfinyl)hexyl isothiocyanate induces apoptosis in human breast cancer by possible involvement of the NF-κB pathways. Nutr. Cancer 2014, 66, 879–887. [Google Scholar] [CrossRef] [PubMed]
- Morroni, F.; Sita, G.; Tarozzi, A.; Cantelli-Forti, G.; Hrelia, P. Neuroprotection by 6-(methylsulfinyl)hexyl isothiocyanate in a 6-hydroxydopamine mouse model of Parkinson׳s disease. Brain Res. 2014, 1589, 93–104. [Google Scholar] [CrossRef] [PubMed]
- Trio, P.Z.; Fujisaki, S.; Tanigawa, S.; Hisanaga, A.; Sakao, K.; Hou, D.-X. DNA microarray highlights Nrf2-mediated neuron protection targeted by Wasabi-derived isothiocyanates in IMR-32 cells. Gene Regul. Syst. Biol. 2016, 10, 73–83. [Google Scholar] [CrossRef]
- Yano, S.; Wu, S.; Sakao, K.; Hou, D.-X. Wasabi 6-(methylsulfinyl)hexyl isothiocyanate induces apoptosis in human colorectal cancer cells through p53-independent mitochondrial dysfunction pathway. BioFactors 2018, 44, 361–368. [Google Scholar] [CrossRef]
- Chen, Y.-J.; Huang, Y.-C.; Tsai, T.-H.; Liao, H.-F. Effect of wasabi component 6-(methylsulfinyl)hexyl isothiocyanate and derivatives on human pancreatic cancer cells. Evidence-Based Compl. Alt. Med. 2014, 494739. [Google Scholar] [CrossRef]
- Wu, K.-M.; Liao, H.-F.; Chi, C.-W.; Kou, Y.R.; Chen, Y.-J. Wasabi compound 6-(methylsulfinyl) hexyl isothiocyanate induces cell death with coexisting mitotic arrest and autophagy in human chronic myelogenous leukemia K562 cells. Biomolecules 2019, 9, 774. [Google Scholar] [CrossRef]




| Glucosinolate (Trivial Name) | tR (min) | Content (μmol/g DW) | [M + Na]+ | |
|---|---|---|---|---|
| Branched | ||||
| 1 | Isopropyl GSL (Glucoputranjivin) | 3.80 | 14.60 ± 0.59 | 304 |
| 2 | sec-Butyl GSL (Glucocochlearin) | 5.34 | 0.41 ± 0.11 | 318 |
| Sulfur-containing | ||||
| 3 | 5-(Methylsulfinyl)pentyl GSL (Glucoalyssin) | 3.90 | 1.74 ± 0.13 | 394 |
| 4 | 6-(Methylsulfinyl)hexyl GSL (Glucohesperin) | 5.05 | 3.54 ± 0.21 | 408 |
| 5 | 5-(Methylsulfanyl)pentyl GSL (Glucoberteroin) | 7.61 | Tr | 378 |
| 6 | 6-(Methylsulfanyl)hexyl GSL (Glucolesquerellin) | 9.11 | Tr | 392 |
| Arylaliphatic | ||||
| 7 | Benzyl GSL (Glucotropaeolin) | 6.06 | 1.54 ± 0.31 | 352 |
| Total (μmol/g DW) | 21.83 ± 1.35 | |||
| Parent Glucosinolate/ Identified Compound | RI | Conventional Techniques | Microwave-Assisted Isolation | ||
|---|---|---|---|---|---|
| HD | EXT | MAD | MHG | ||
| Glucoputranjivin | |||||
| Isopropyl ITC a,b,c | 858 | 92.13 | 35.56 | 87.03 | 88.02 |
| Glucocochlearin | |||||
| sec-Butyl ITC a,b,c | 952 | 4.59 | 0.39 | 4.11 | 3.08 |
| Glucoalyssin | |||||
| 5-(Methylsulfinyl)pentyl ITC (alyssin) a,c | 2005 | - | 3.30 | - | - |
| Pent-4-enyl ITC a,c, ⸸ | 1093 | - | 24.34 | - | 1.56 |
| Glucohesperin | |||||
| 6-(Methylsulfinyl)hexyl ITC (hesperin) a,c | 2104 | - | 2.31 | - | - |
| Hex-5-enyl ITC a,c, ‡ | 1226 | - | 32.02 | - | 2.34 |
| Glucoberteroin | |||||
| 5-(Methylsulfanyl)pentyl ITC (berteroin) a,c | 1566 | 0.21 | - | - | - |
| Glucolesquerellin | |||||
| 6-(Methylsulfanyl)hexyl ITC (lesquerellin) a,c | 1714 | 0.29 | - | - | - |
| Glucotropaeolin | |||||
| Benzyl ITC a,b,c | 1395 | 0.14 | - | - | - |
| Others | |||||
| S-Methyl- methanethiosulfinate a,b,c | 1005 | - | 0.63 | - | - |
| Diisopropyl disulfide a,b,c | 1010 | - | 0.10 | 0.33 | 0.14 |
| Phenylacetaldehyde a,b,c | 1072 | - | - | - | 0.31 |
| Hexadecanoic acid a,b,c | 1980 | 1.04 | - | 0.38 | 0.82 |
| Total (%) | 98.40 | 98.66 | 92.05 | 96.26 | |
| Yield (µg/g) | 578.90 | 2331.20 | 3.80 | 47.10 | |
© 2020 by the authors. Licensee MDPI, Basel, Switzerland. This article is an open access article distributed under the terms and conditions of the Creative Commons Attribution (CC BY) license (http://creativecommons.org/licenses/by/4.0/).
Share and Cite
Blažević, I.; Đulović, A.; Čikeš Čulić, V.; Popović, M.; Guillot, X.; Burčul, F.; Rollin, P. Microwave-Assisted versus Conventional Isolation of Glucosinolate Degradation Products from Lunaria annua L. and Their Cytotoxic Activity. Biomolecules 2020, 10, 215. https://doi.org/10.3390/biom10020215
Blažević I, Đulović A, Čikeš Čulić V, Popović M, Guillot X, Burčul F, Rollin P. Microwave-Assisted versus Conventional Isolation of Glucosinolate Degradation Products from Lunaria annua L. and Their Cytotoxic Activity. Biomolecules. 2020; 10(2):215. https://doi.org/10.3390/biom10020215
Chicago/Turabian StyleBlažević, Ivica, Azra Đulović, Vedrana Čikeš Čulić, Marijana Popović, Xavier Guillot, Franko Burčul, and Patrick Rollin. 2020. "Microwave-Assisted versus Conventional Isolation of Glucosinolate Degradation Products from Lunaria annua L. and Their Cytotoxic Activity" Biomolecules 10, no. 2: 215. https://doi.org/10.3390/biom10020215
APA StyleBlažević, I., Đulović, A., Čikeš Čulić, V., Popović, M., Guillot, X., Burčul, F., & Rollin, P. (2020). Microwave-Assisted versus Conventional Isolation of Glucosinolate Degradation Products from Lunaria annua L. and Their Cytotoxic Activity. Biomolecules, 10(2), 215. https://doi.org/10.3390/biom10020215

