Redistribution of the Rydberg State Population Induced by Continuous-Spectrum Radiation
Abstract
:1. Introduction
2. Diffusion throughout States Induced by Radiation with a Rectangular Spectrum
2.1. The Boundaries of the Population Distribution Region
2.2. The Main Path
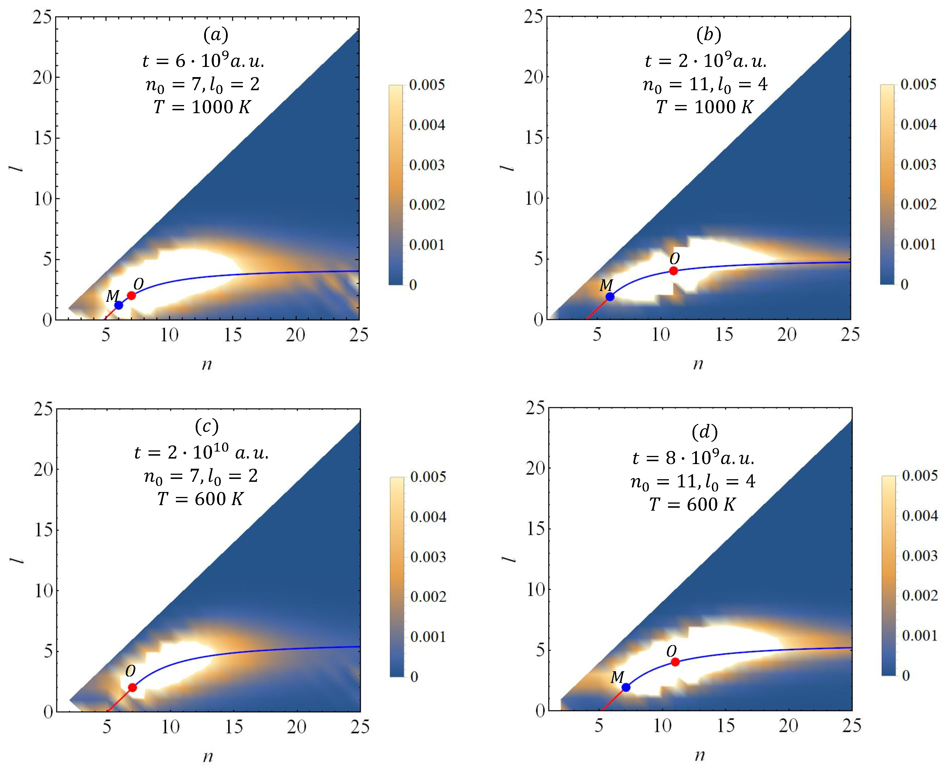
3. Diffusion throughout the States Induced by Radiation with an Arbitrary Spectrum
4. Conclusions
Author Contributions
Funding
Data Availability Statement
Acknowledgments
Conflicts of Interest
Appendix A. Derivation of the Fokker-Planck Equation
References
- Bayfield, J.E.; Koch, P.M. Multiphoton Ionization of Highly Excited Hydrogen Atoms. Phys. Rev. Lett. 1974, 33, 258–261. [Google Scholar] [CrossRef]
- Koch, P.; van Leeuwen, K. The importance of resonances in microwave ionization of excited hydrogen atoms. Phys. Rep. 1995, 255, 289–403. [Google Scholar] [CrossRef]
- Dimitrijević, M.S.; Srećković, V.A.; Zalam, A.A.; Bezuglov, N.N.; Klyucharev, A.N. Dynamic Instability of Rydberg Atomic Complexes. Atoms 2019, 7, 22. [Google Scholar] [CrossRef] [Green Version]
- Leopold, J.G.; Percival, I.C. Ionisation of highly excited atoms by electric fields. III. Microwave ionisation and excitation. J. Phys. B At. Mol. Phys. 1979, 12, 709–721. [Google Scholar] [CrossRef]
- Casati, G.; Chirikov, B.V.; Shepelyansky, D.L.; Guarneri, I. New Photoelectric Ionization Peak in the Hydrogen Atom. Phys. Rev. Lett. 1986, 57, 823–826. [Google Scholar] [CrossRef]
- Galvez, E.J.; Sauer, B.E.; Moorman, L.; Koch, P.M.; Richards, D. Microwave Ionization of H Atoms: Breakdown of Classical Dynamics for High Frequencies. Phys. Rev. Lett. 1988, 61, 2011–2014. [Google Scholar] [CrossRef] [PubMed]
- Delone, N.B.; Kraĭnov, B.P.; Shepelyanskiĭ, D.L. Highly-excited atoms in the electromagnetic field. Sov. Phys. Uspekhi 1983, 26, 551–572. [Google Scholar] [CrossRef]
- Casati, G.; Chirikov, B.V.; Shepelyansky, D.L.; Guarneri, I. Relevance of classical chaos in quantum mechanics: The hydrogen atom in a monochromatic field. Phys. Rep. 1987, 154, 77–123. [Google Scholar] [CrossRef]
- Delone, N.; Zon, B.; Krainov, V. Diffusion mechanism of ionization of highly excited atoms in an alternating electromagnetic field. Sov. Phys. JETP 1978, 48, 223–227. [Google Scholar]
- Astapenko, V.A.; Lisitsa, V.S. Interaction of Ultrashort Laser Pulses with Atoms in Plasmas. Atoms 2018, 6, 38. [Google Scholar] [CrossRef] [Green Version]
- Gallagher, T.F.; Cooke, W.E. Interactions of Blackbody Radiation with Atoms. Phys. Rev. Lett. 1979, 42, 835–839. [Google Scholar] [CrossRef]
- Glukhov, I.L.; Nekipelov, E.A.; Ovsiannikov, V.D. Blackbody-induced decay, excitation and ionization rates for Rydberg states in hydrogen and helium atoms. J. Phys. B At. Mol. Opt. Phys. 2010, 43, 125002. [Google Scholar] [CrossRef]
- Anderson, S.E.; Younge, K.C.; Raithel, G. Trapping Rydberg Atoms in an Optical Lattice. Phys. Rev. Lett. 2011, 107, 263001. [Google Scholar] [CrossRef] [PubMed]
- Seiler, C.; Agner, J.A.; Pillet, P.; Merkt, F. Radiative and collisional processes in translationally cold samples of hydrogen Rydberg atoms studied in an electrostatic trap. J. Phys. B At. Mol. Opt. Phys. 2016, 49, 094006. [Google Scholar] [CrossRef]
- Archimi, M.; Simonelli, C.; Di Virgilio, L.; Greco, A.; Ceccanti, M.; Arimondo, E.; Ciampini, D.; Ryabtsev, I.I.; Beterov, I.I.; Morsch, O. Measurements of single-state and state-ensemble lifetimes of high-lying Rb Rydberg levels. Phys. Rev. A 2019, 100, 030501. [Google Scholar] [CrossRef] [Green Version]
- Burkhardt, C.E.; Corey, R.L.; Garver, W.P.; Leventhal, J.J.; Allegrini, M.; Moi, L. Ionization of Rydberg atoms. Phys. Rev. A 1986, 34, 80–86. [Google Scholar] [CrossRef] [PubMed]
- Kaulakis, B.P. Diffusion ionization of Rydberg atoms due to black-body radiation. Sov. Phys. JETP Lett. 1988, 47, 360–362. [Google Scholar]
- Galvez, E.J.; Lewis, J.R.; Chaudhuri, B.; Rasweiler, J.J.; Latvakoski, H.; De Zela, F.; Massoni, E.; Castillo, H. Multistep transitions between Rydberg states of Na induced by blackbody radiation. Phys. Rev. A 1995, 51, 4010–4017. [Google Scholar] [CrossRef] [PubMed]
- Ryabtsev, I.I.; Tretyakov, D.B.; Beterov, I.I. Applicability of Rydberg atoms to quantum computers. J. Phys. B At. Mol. Opt. Phys. 2005, 38, S421–S436. [Google Scholar] [CrossRef] [Green Version]
- Beterov, I.I.; Tretyakov, D.B.; Ryabtsev, I.I.; Entin, V.M.; Ekers, A.; Bezuglov, N.N. Ionization of Rydberg atoms by blackbody radiation. New J. Phys. 2009, 11, 013052. [Google Scholar] [CrossRef] [Green Version]
- Beterov, I.I.; Tretyakov, D.B.; Ryabtsev, I.I.; Ekers, A.; Bezuglov, N.N. Ionization of sodium and rubidium nS, nP, and nD Rydberg atoms by blackbody radiation. Phys. Rev. A 2007, 75, 052720. [Google Scholar] [CrossRef] [Green Version]
- Beterov, I.I.; Ryabtsev, I.I.; Tretyakov, D.B.; Entin, V.M. Quasiclassical calculations of blackbody-radiation-induced depopulation rates and effective lifetimes of Rydberg nS, nP, and nD alkali-metal atoms with n ≤ 80. Phys. Rev. A 2009, 79, 052504. [Google Scholar] [CrossRef] [Green Version]
- Lopez-Puertas, M.; Taylor, F.W. Non-LTE Radiative Transfer in the Atmosphere; Series on Atmospheric Oceanic and Planetary Physics; World Scientific: Singapore, 2001; Volume 3. [Google Scholar]
- Kaulakys, B.; Ciziunas, A. A theoretical determination of the diffusion-like ionisation time of Rydberg atoms. J. Phys. B At. Mol. Phys. 1987, 20, 1031–1038. [Google Scholar] [CrossRef]
- Bezuglov, N.N.; Borodin, V.M.; Kazanskii, A.K.; Klyucharev, A.N.; Matveev, A.A.; Orlovskii, K.V. Analysis of Fokker–Planck type stochastic equations with variable boundary conditions in an elementary process of collisional ionization. Opt. Spectrosc. 2001, 91, 19–26. [Google Scholar] [CrossRef]
- Bezuglov, N.N.; Borodin, V.M.; Eckers, A.; Klyucharev, A.N. A quasi-classical description of the stochastic dynamics of a Rydberg electron in a diatomic quasi-molecular complex. Opt. Spectrosc. 2002, 93, 661–669. [Google Scholar] [CrossRef]
- Miculis, K.; Beterov, I.I.; Bezuglov, N.N.; Ryabtsev, I.I.; Tretyakov, D.B.; Ekers, A.; Klucharev, A.N. Collisional and thermal ionization of sodium Rydberg atoms: II. Theory for nS, nP and nD states with n = 5–25. J. Phys. B At. Mol. Opt. Phys. 2005, 38, 1811–1831. [Google Scholar] [CrossRef] [Green Version]
- Geppert, P.; Althön, M.; Fichtner, D.; Ott, H. Diffusive-like redistribution in state-changing collisions between Rydberg atoms and ground state atoms. Nat. Commun. 2021, 12, 3900. [Google Scholar] [CrossRef] [PubMed]
- Chervinskaya, A.S.; Dorofeev, D.L.; Zon, B.A. Diffusion Dynamics of Rydberg States in the Field of Radiation with Continuous Spectrum. Opt. Spectrosc. 2021, 129, 911–917. [Google Scholar] [CrossRef]
- Maeda, H.; Gurian, J.H.; Gallagher, T.F. Population transfer in the Na s-p Rydberg ladder by a chirped microwave pulse. Phys. Rev. A 2011, 84, 063421. [Google Scholar] [CrossRef] [Green Version]
- Bethe, H.A.; Salpeter, E.E. Quantum Mechanics of One- and Two-Electron Atoms; Dover Publications: Mineola, NY, USA, 2014. [Google Scholar]
- Lifschitz, E.M.; Pitajewski, L.P. Physical Kinetics; Butterworth-Heinemann: Oxford, UK, 1981. [Google Scholar] [CrossRef]
- Goreslavskii, S.; Delone, N.; Krainov, V. Probabilities of radiative transitions between highly excited atomic states. Sov. Phys. JETP 1982, 55, 1032–1036. [Google Scholar]
- Dorofeev, D.L.; Zon, B.A. Mixing of Rydberg states induced by interaction with moving ion. J. Chem. Phys. 1997, 106, 9609–9617. [Google Scholar] [CrossRef]
- Chang, E.S.; Noyes, R.W. Identification of the solar emission lines near 12 microns. Astrophys. J. Lett. 1983, 275, L11–L13. [Google Scholar] [CrossRef]
- Chang, E.S. Non-penetrating Rydberg states of silicon from solar data. J. Phys. B At. Mol. Phys. 1984, 17, L11–L17. [Google Scholar] [CrossRef]
- Sundqvist, J.O.; Ryde, N.; Harper, G.M.; Kruger, A.; Richter, M.J. Mg I emission lines at 12 and 18 μm in K giants. A&A 2008, 486, 985–993. [Google Scholar] [CrossRef] [Green Version]
- Carlsson, M.; Rutten, R.; Shchukina, N. The formation of the Mg I emission features near 12 microns. Astron. Astrophys. 1992, 253, 567–585. [Google Scholar]
- Gulyaev, S.; Nefedov, S. Populations of Rydberg states of atoms in nebulae. Astron. Nachrichten 1991, 312, 27–31. [Google Scholar] [CrossRef]



Publisher’s Note: MDPI stays neutral with regard to jurisdictional claims in published maps and institutional affiliations. |
© 2021 by the authors. Licensee MDPI, Basel, Switzerland. This article is an open access article distributed under the terms and conditions of the Creative Commons Attribution (CC BY) license (https://creativecommons.org/licenses/by/4.0/).
Share and Cite
Chervinskaya, A.S.; Dorofeev, D.L.; Zon, B.A. Redistribution of the Rydberg State Population Induced by Continuous-Spectrum Radiation. Atoms 2021, 9, 55. https://doi.org/10.3390/atoms9030055
Chervinskaya AS, Dorofeev DL, Zon BA. Redistribution of the Rydberg State Population Induced by Continuous-Spectrum Radiation. Atoms. 2021; 9(3):55. https://doi.org/10.3390/atoms9030055
Chicago/Turabian StyleChervinskaya, Anastasia S., Dmitrii L. Dorofeev, and Boris A. Zon. 2021. "Redistribution of the Rydberg State Population Induced by Continuous-Spectrum Radiation" Atoms 9, no. 3: 55. https://doi.org/10.3390/atoms9030055
APA StyleChervinskaya, A. S., Dorofeev, D. L., & Zon, B. A. (2021). Redistribution of the Rydberg State Population Induced by Continuous-Spectrum Radiation. Atoms, 9(3), 55. https://doi.org/10.3390/atoms9030055
