Spectroscopic Measurement of Hydrogen Atom Density in a Plasma Produced with 28 GHz ECH in QUEST
Abstract
1. Introduction
2. Experimental Setup
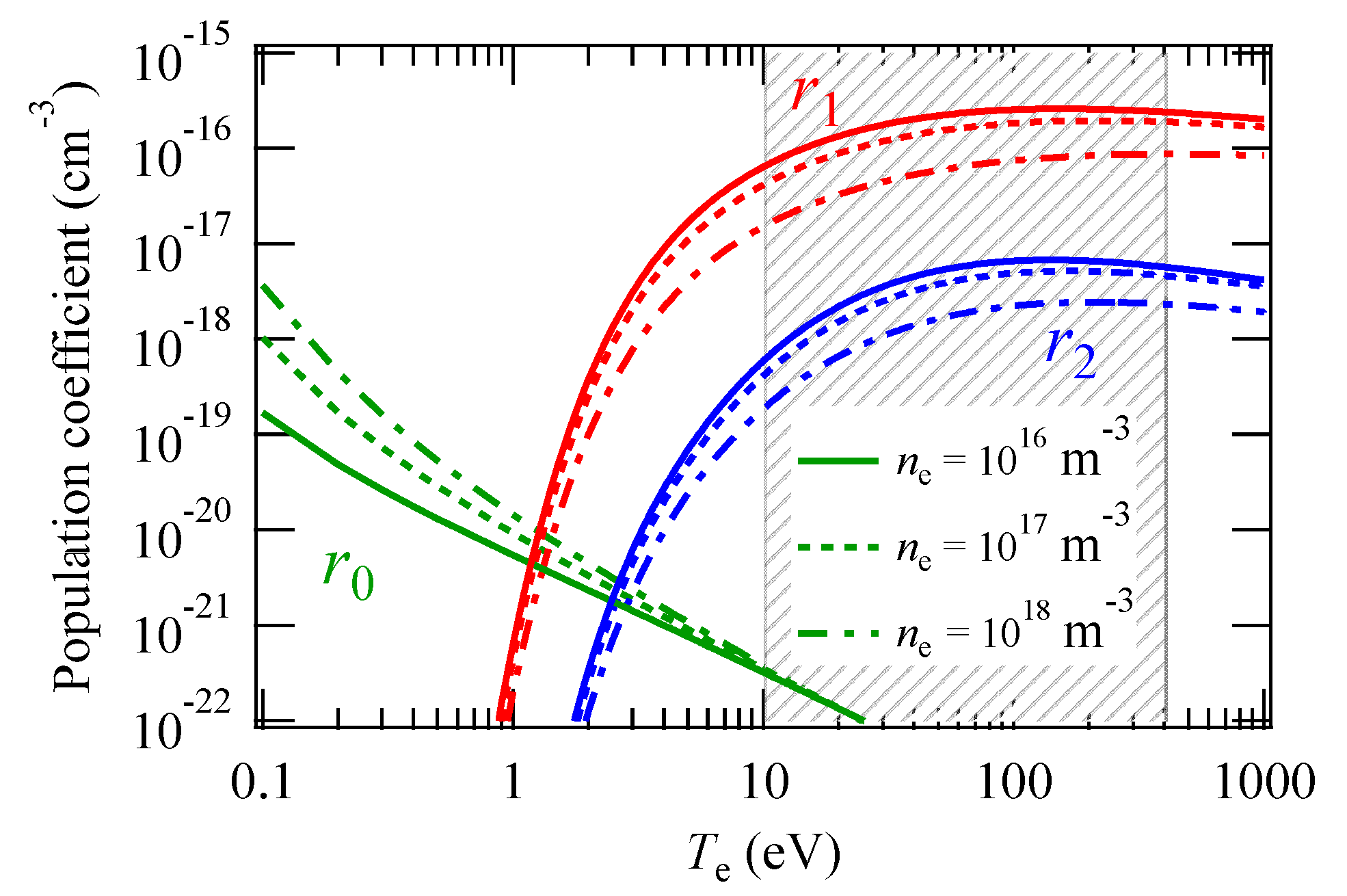
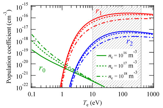
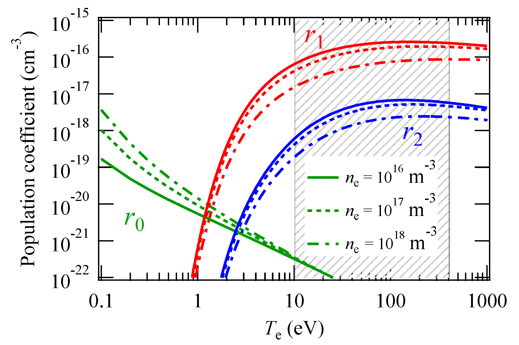
3. Results
4. Conclusions
Author Contributions
Funding
Conflicts of Interest
References
- Hanada, K.; Yoshida, N.; Hasegawa, M.; Hatayama, A.; Okamoto, K.; Takagi, I.; Hirata, T.; Oya, Y.; Miyamoto, M.; Oya, M.; et al. Particle balance investigation with the combination of the hydrogen barrier model and rate equations of hydrogen state in long duration discharges on an all-metal plasma facing wall in QUEST. Nucl. Fusion 2019, 59, 076007. [Google Scholar] [CrossRef]
- Idei, H.; Kariya, T.; Imai, T.; Mishra, K.; Onchi, T.; Watanabe, O.; Zushi, H.; Hanada, K.; Qian, J.; Ejiri, A.; et al. Fully non-inductive second harmonic electron cyclotron plasma ramp-up in the QUEST spherical tokamak. Nucl. Fusion 2017, 57, 126045. [Google Scholar] [CrossRef]
- Kuroda, K.; Raman, R.; Hanada, K.; Hasegawa, M.; Onchi, T.; Ono, M.; Nelson, B.A.; Jarboe, T.R.; Nagata, M.; Mitarai, O.; et al. Initial results from solenoid-free plasma start-up using transient CHI on QUEST. Plasma Phys. Control. Fusion 2018, 60, 115001. [Google Scholar] [CrossRef]
- Maekawa, T.; Yoshinaga, T.; Uchida, M.; Watanabe, F.; Tanaka, H. Open field equilibrium current and cross-field passing electrons as an initiator of a closed flux surface in EC-heated toroidal plasmas. Nucl. Fusion 2012, 52, 083008. [Google Scholar] [CrossRef]
- Yoneda, N.; Shikama, T.; Zushi, H.; Hanada, K.; Fujikawa, A.; Onchi, T.; Kuroda, K.; Nii, K.; Hasuo, M.; Hasegawa, M.; et al. Spectroscopic measurements of impurity ion toroidal and poloidal flow velocities and their dependence on vertical magnetic field in QUEST toroidal ECR plasmas. Plasma Fusion Res. 2018, 13, 3402087. [Google Scholar] [CrossRef]
- Yoshinaga, T.; Uchida, M.; Tanaka, H.; Maekawa, T. Spontaneous formation of closed-field torus equilibrium via current jump observed in an electron-cyclotron-heated plasma. Phys. Rev. Lett. 2006, 96, 125005. [Google Scholar] [CrossRef] [PubMed]
- Yoneda, N.; Shikama, T.; Hanada, K.; Mori, S.; Onchi, T.; Kuroda, K.; Hasuo, M.; Idei, H.; Nakamura, K.; Nagashima, Y.; et al. Toroidal flow measurements of impurity ions in QUEST ECH plasmas using multiple viewing chords emission spectroscopy. Nucl. Mater. Energy 2020, submitted. [Google Scholar]
- Versloot, T.W.; de Vries, P.C.; Giroud, C.; Brix, M.; von Hellermann, M.G.; Lomas, P.J.; Moulton, D.; O’Mullane, M.; Nunes, I.M.; Salmi, A.; et al. Momentum losses by charge exchange with neutral particles in H-mode discharges at JET. Plasma Phys. Control. Fusion 2011, 53, 065017. [Google Scholar] [CrossRef]
- Yamaguchi, T.; Ejiri, A.; Hiratsuka, J.; Hasegawa, M.; Nagashima, Y.; Narihara, K.; Takase, Y.; Zushi, H.; The QUEST Group. Electron Temperature Measurement on QUEST Spherical Tokamak by Thomson Scattering System. Plasma Fusion Res. 2015, 10, 1202082. [Google Scholar] [CrossRef][Green Version]
- Yoshinaga, T.; Uchida, M.; Tanaka, H.; Maekawa, T. A current profile model for magnetic analysis of the start-up phase of toroidal plasmas driven by electron cyclotron heating and current drive. Nucl. Fusion 2007, 47, 210. [Google Scholar] [CrossRef]
- Zushi, H.; Nakamura, K.; Hanada, K.; Sato, K.N.; Sakamoto, M.; Idei, H.; Hasegawa, M.; Iyomasa, A.; Kawasaki, S.; Nakashima, H.; et al. Steady-state tokamak operation, ITB transition and sustainment and ECCD experiments in TRIAM-1M. Nucl. Fusion 2005, 45, S142. [Google Scholar] [CrossRef]
- Ueda, A.; Shikama, T.; Teramoto, T.; Higashi, T.; Iida, Y.; Hasuo, M. Spectroscopic measurement of the degree of ionization in a helium electron cyclotron discharge in a simple cusp field. Appl. Phys. Lett. 2017, 111, 074101. [Google Scholar] [CrossRef]
- Sawada, K.; Fujimoto, T. Effective ionization and dissociation rate coefficients of molecular hydrogen in plasma. J. Appl. Phys. 1995, 78, 2913. [Google Scholar] [CrossRef]
- Sawada, K.; Goto, M.; Ezumi, N. Spectroscopic Diagnostic of Helium-Hydrogen RF Plasma under the Influence of Radiation Trapping. Plasma Fusion Res. 2011, 6, 1401010. [Google Scholar] [CrossRef]
- Ueda, A.; Shikama, T.; Teramoto, T.; Higashi, T.; Iida, Y.; Hasuo, M. Helium atom line-intensity ratios as an integrated diagnostic tool for low-pressure and low-density plasmas. Phys. Plasmas 2018, 25, 054508. [Google Scholar] [CrossRef]
- Shikama, T.; Ogane, S.; Iida, Y.; Hasuo, M. Measurement of the helium 23S metastable atom density by observation of the change in the 23S–23P emission line shape due to radiation reabsorption. J. Phys. D Appl. Phys. 2016, 49, 025206. [Google Scholar] [CrossRef]





© 2020 by the authors. Licensee MDPI, Basel, Switzerland. This article is an open access article distributed under the terms and conditions of the Creative Commons Attribution (CC BY) license (http://creativecommons.org/licenses/by/4.0/).
Share and Cite
Mori, S.; Shikama, T.; Hanada, K.; Yoneda, N.; Kuzmin, A.; Hasuo, M.; Idei, H.; Onchi, T.; Ejiri, A.; Osawa, Y.; et al. Spectroscopic Measurement of Hydrogen Atom Density in a Plasma Produced with 28 GHz ECH in QUEST. Atoms 2020, 8, 44. https://doi.org/10.3390/atoms8030044
Mori S, Shikama T, Hanada K, Yoneda N, Kuzmin A, Hasuo M, Idei H, Onchi T, Ejiri A, Osawa Y, et al. Spectroscopic Measurement of Hydrogen Atom Density in a Plasma Produced with 28 GHz ECH in QUEST. Atoms. 2020; 8(3):44. https://doi.org/10.3390/atoms8030044
Chicago/Turabian StyleMori, Satoru, Taiichi Shikama, Kazuaki Hanada, Nao Yoneda, Arseniy Kuzmin, Masahiro Hasuo, Hiroshi Idei, Takumi Onchi, Akira Ejiri, Yuki Osawa, and et al. 2020. "Spectroscopic Measurement of Hydrogen Atom Density in a Plasma Produced with 28 GHz ECH in QUEST" Atoms 8, no. 3: 44. https://doi.org/10.3390/atoms8030044
APA StyleMori, S., Shikama, T., Hanada, K., Yoneda, N., Kuzmin, A., Hasuo, M., Idei, H., Onchi, T., Ejiri, A., Osawa, Y., Peng, Y., Matsuzaki, K., Kado, S., Sawada, K., Ido, T., Nakamura, K., Ikezoe, R., Nagashima, Y., Hasegawa, M., ... Shimabukuro, S. (2020). Spectroscopic Measurement of Hydrogen Atom Density in a Plasma Produced with 28 GHz ECH in QUEST. Atoms, 8(3), 44. https://doi.org/10.3390/atoms8030044

