A Note on the Opacity of the Sun’s Atmosphere
Abstract
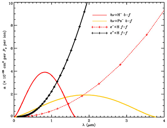
1. Introduction
2. Conclusions
Author Contributions
Funding
Conflicts of Interest
References
- Kramers, H.A. On the theory of X-ray absorption and the continuous X-ray spectrum. Philos. Mag. 1923, 46, 836–871. [Google Scholar] [CrossRef]
- Wildt, R. Electron affinity in astrophysics. Astrophys. J. 1939, 89, 295–301. [Google Scholar] [CrossRef]
- Chandrasekhar, S.; Elbert, D.D. On the continuous absorption coefficient of the negative hydrogen ion. IV. Astrophys. J. 1958, 128, 633. [Google Scholar] [CrossRef]
- Chandrasekhar, S.; Breen, F.H. On the continuous absorption coefficient of the negative hydrogen ion. Astrophys. J. 1946, 104, 430. [Google Scholar] [CrossRef]
- Bhatia, A.K. Hybrid theory of electron-hydrogen scattering. Phys. Rev. A 2007, 75, 032713. [Google Scholar] [CrossRef]
- Temkin, A.; Lamkin, J.C. Application of the Method of Polarized Orbitals to the Scattering of Electrons from Hydrogen. Phys. Rev. 1961, 121, 788. [Google Scholar] [CrossRef]
- Bhatia, A.K.; Temkin, A. Complex correlation Kohn-T method of calculating total and elastic cross sections: Electron-Hydrogen elastic scattering. Phys. Rev. A 2001, 64, 032709. [Google Scholar] [CrossRef]
- Gopalswamy, N. Positron processes in the Sun. Atoms 2020, 8, 14. [Google Scholar] [CrossRef]
- Knödlseder, J.; Jean, P.; Lonjou, V.; Weidenspointner, G.; Guessoum, N.; Gillard, W.; Skinner, G.; von Ballmoos, P.; Vedrenne, G.; Roques, J.-P.; et al. The all-sky distribution of 511 keV electron-positron annihilation emission. Astron. Astrophys. 2005, 441, 513–532. [Google Scholar] [CrossRef]
- Leventhal, M. Recent Balloon Observation of the Galactic Center 511 keV annihilation line. Adv. Space Res. 1991, 11, 157. [Google Scholar] [CrossRef]
- Murphy, R.J.; Share, G.H.; Skibo, J.G.; Kozlovsky, B. The physics of positron annihilation in the solar atmosphere. Astrophys. J. Suppl. Ser. 2005, 161, 495. [Google Scholar] [CrossRef]
- Bhatia, A.K. Positron-Hydrogen scattering, annihilation and positronium formation. Atoms 2016, 4, 27. [Google Scholar] [CrossRef]
- Bhatia, A.K.; Temkin, A.; Drachman, R.J.; Eiserike, H. Generalized Hylleraas calculations of Positron-Hydrogen Scattering. Phys. Rev. A 1971, 3, 1328. [Google Scholar] [CrossRef]
- Ohmura, T.; Ohmura, H. Electron-Hydrogen scattering at low energies. Phys. Rev. 1960, 118, 154. [Google Scholar] [CrossRef]
- Bhatia, A.K.; Drachman, R.J. Photodetachment of positronium negative ion. Phys. Rev. A 1985, 32, 1745. [Google Scholar] [CrossRef] [PubMed]
- Michishio, K.; Tachibana, T.; Terabe, H.; Igarashi, A.; Wada, K.; Kuga, T.; Yagishita, A.; Hyodo, T.; Nagashima, Y. Photodetachment of positronium negative ions. Phys. Rev. Lett. 2011, 106, 153401. [Google Scholar] [CrossRef] [PubMed]
- Wheeler, J.A.; Wildt, R. The absorption coefficient of the free-free transitions of the negative Hydrogen ion. Astrophys. J. 1942, 95, 281. [Google Scholar] [CrossRef]

| Electrons | Positrons | ||||||
|---|---|---|---|---|---|---|---|
| Δk2 | λ (Å) | σbf * | σff | σbf + σff | σbf | σff | σbf + σff |
| 0.26 | 3505 | 2.29 (−17) | 4.28 (−20) | 2.29 (−17) | 9.95 (−18) | 4.14 (−21) | 9.95 (−18) |
| 0.12 | 7594 | 4.15 (−17) | 1.88 (−19) | 4.17 (−17) | 3.17 (−17) | 1.56 (−20) | 3.17 (−17) |
| 0.10 | 9113 | 4.13 (−17) | 2.69 (−19) | 4.16 (−17) | 4.17 (−17) | 2.15 (−20) | 4.17 (−17) |
| 0.06 | 15,188 | 7.05 (−18) | 7.45 (−19) | 7.80 (−18) | 8.96 (−17) | 5.38 (−20) | 8.97 (−17) |
| 0.04 | 22,783 | 0.00 | 1.68 (−18) | 1.68 (−18) | 1.65 (−16) | 1.13 (−19) | 1.65 (−16) |
| 0.03 | 30,377 | 0.00 | 2.99 (−18) | 2.99 (−18) | 2.53 (−16) | 1.96 (−19) | 2.53 (−16) |
| 0.02 | 45,565 | 0.00 | 6.74 (−18) | 6.74 (−18) | 4.64 (−16) | 4.30 (−19) | 4.64 (−16) |
| 0.01 | 91,130 | 0.00 | 2.70 (−17) | 2.70 (−17) | 1.30 (−15) | 1.68 (−18) | 1.30 (−15) |
| 0.005 | 182,260 | 0.00 | 1.08 (−16) | 1.08 (−16) | 3.63 (−15) | 6.72 (−18) | 3.64 (−15) |
| 0.003 | 303,767 | 0.00 | 3.00 (−16) | 3.00 (−16) | 7.69 (−15) | 1.87 (−17) | 7.71 (−15) |
| 0.001 | 911,300 | 0.00 | 2.70 (−15) | 2.70 (−15) | 3.55 (−14) | 1.68 (−16) | 3.57 (−14) |
© 2020 by the authors. Licensee MDPI, Basel, Switzerland. This article is an open access article distributed under the terms and conditions of the Creative Commons Attribution (CC BY) license (http://creativecommons.org/licenses/by/4.0/).
Share and Cite
Bhatia, A.K.; Pesnell, W.D. A Note on the Opacity of the Sun’s Atmosphere. Atoms 2020, 8, 37. https://doi.org/10.3390/atoms8030037
Bhatia AK, Pesnell WD. A Note on the Opacity of the Sun’s Atmosphere. Atoms. 2020; 8(3):37. https://doi.org/10.3390/atoms8030037
Chicago/Turabian StyleBhatia, Anand. K., and William. D. Pesnell. 2020. "A Note on the Opacity of the Sun’s Atmosphere" Atoms 8, no. 3: 37. https://doi.org/10.3390/atoms8030037
APA StyleBhatia, A. K., & Pesnell, W. D. (2020). A Note on the Opacity of the Sun’s Atmosphere. Atoms, 8(3), 37. https://doi.org/10.3390/atoms8030037

