Evaluation of an Oxygen Transport Coefficient in the Aditya Tokamak Using the Radial Profile of O4+ Emissivity and the Importance of Atomic Data Used Therein
Abstract
1. Introduction
2. Experimental Setup
3. Modeling of the O4+ Emissivity Profile
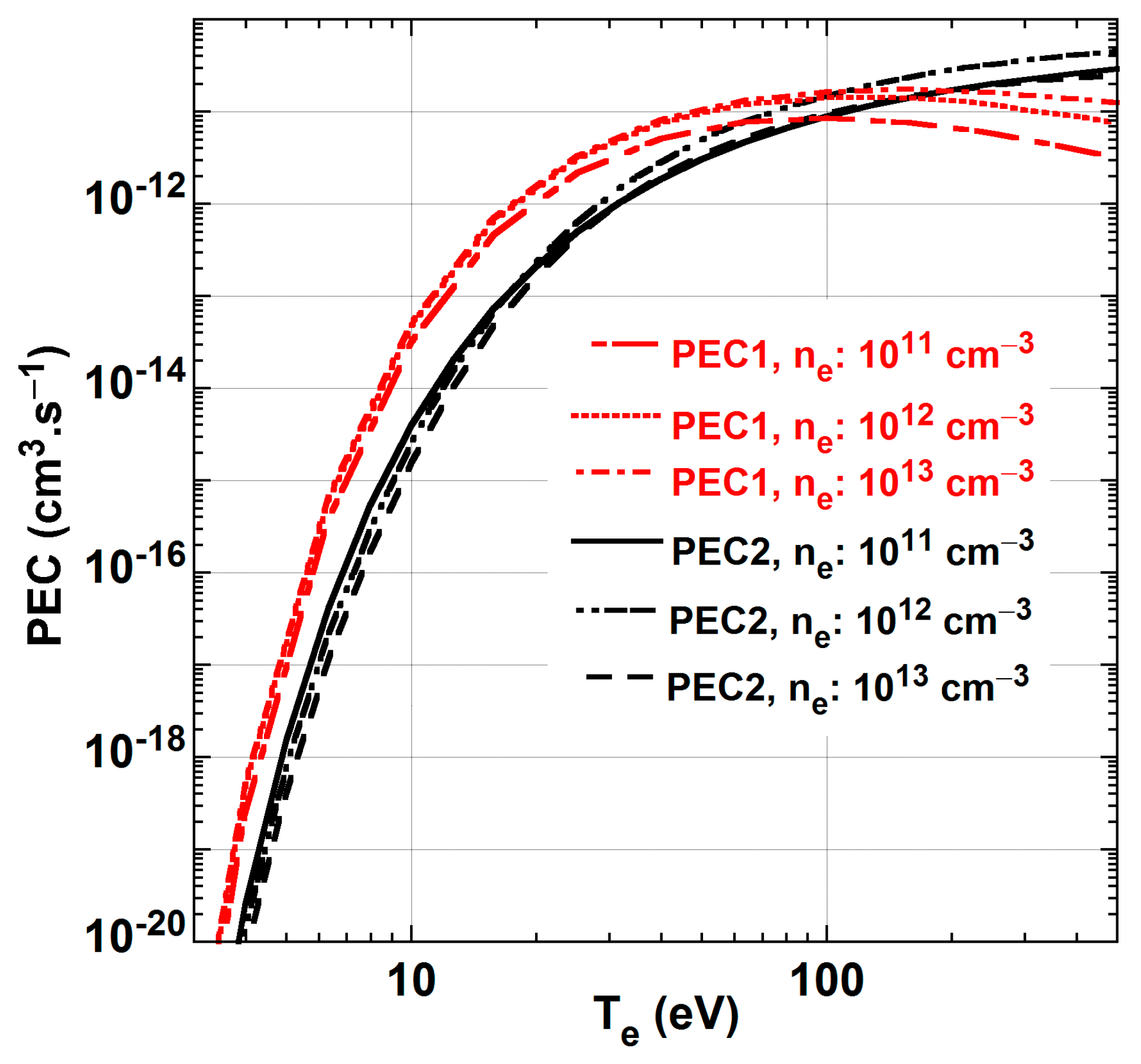
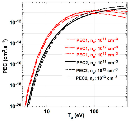
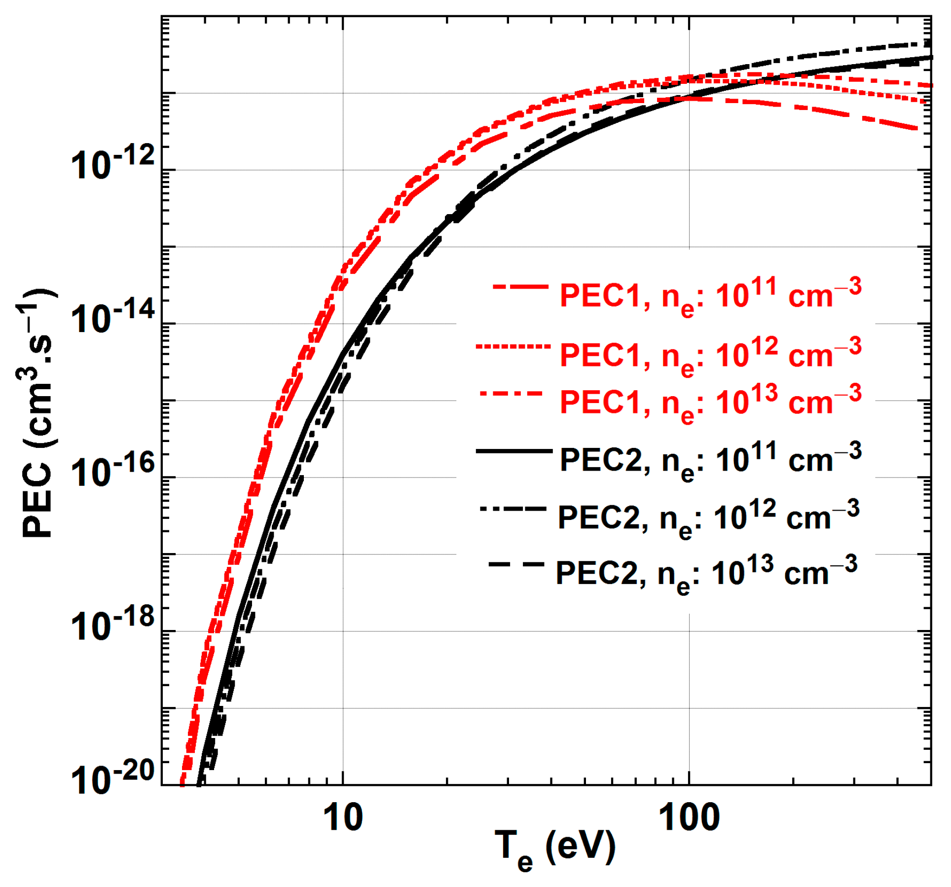
4. Discussions on the Atomic Data towards the Difference in Diffusion Coefficients
5. Conclusions
Author Contributions
Funding
Conflicts of Interest
References
- Isler, R.C. Impurities in tokamaks. Nucl. Fusion 1984, 4, 1599–1678. [Google Scholar] [CrossRef]
- Greenwald, M. Density limits in toroidal plasmas. Plasma Phys. Control. Fusion 2002, 44, R27–R80. [Google Scholar] [CrossRef]
- Morozova, D.K.; Mavrina, A.A. Operation of a tokamak reactor in the radiative improved mode. JETP Lett. 2016, 103, 298–301. [Google Scholar] [CrossRef]
- Moreno, J.C.; Marmar, E.S. Impurity-density calculations from spectroscopic measurements of visible and uv line emission on Alcator-C tokamak. Phys. Rev. A 1985, 31, 3291–3298. [Google Scholar] [CrossRef] [PubMed]
- Dux, R. Chapter 11: Impurity transport in Asdex Upgrade. Fusion Sci. Technol. 2003, 44, 708–715. [Google Scholar] [CrossRef]
- Chowdhuri, M.B.; Morita, S.; Goto, M. Behaviour of CIII to CVI emissions during the recombining phase of LHD Plasmas. Plasma Fusion Res. 2008, 3, S1043. [Google Scholar] [CrossRef]
- Goto, M. Collisional-radiative model for neutral helium in plasma revisited. J. Quant. Spectrosc. Radiat. Transf. 2003, 76, 331–344. [Google Scholar] [CrossRef]
- Huang, L.K.; Lippmann, S.; Stratton, B.C.; Moos, H. Experimental determination of line-intensity ratios for the n = 3 to n = 2 transitions of O v, F vi, and Ne vii at electron densities in a range of (4–9) × 1012 cm−3. Phys. Rev. A 1988, 37, 3927–3934. [Google Scholar] [CrossRef]
- Lippmann, S.I.; Fournier, K.B.; Osterheld, A.L.; Goldstein, W.H. Observation of O V visible transitions in a tokamak diverter plasma. Phys. Rev. E 1988, 37, 5139–5142. [Google Scholar]
- Summers, H.P. The ADAS User Manual Version 2.6. 2004. Available online: http://adas.phys.strath.ac.uk (accessed on 4 December 2014).
- Murakami, I.; Kato, T.; Safronova, U.I.; Kobuchi, T.; Goto, M.; Morita, S. Properties of O V spectral lines in ionizing and recombining plasmas. J. Plasma Fusion Res. Ser. 2002, 5, 171–174. [Google Scholar]
- Tanna, R.L.; Ghosh, J.; Chattopadhyay, P.K.; Harshita, R.; Patel, S.; Dhyani, P.; Gupta, C.N.; Jadeja, K.A.; Patel, K.M.; Bhatt, S.B.; et al. Overview of recent experimental results from the ADITYA tokamak. Nucl. Fusion 2017, 57, 102008. [Google Scholar] [CrossRef]
- Banerjee, S.; Kumar, V.; Chowdhuri, M.B.; Ghosh, J.; Manchanda, R.; Patel, K.M.; Vasu, P. Space- and time-resolved visible-emission spectroscopy of Aditya-tokamak discharges using multi-track spectrometer. Meas. Sci. Technol. 2008, 19, 045603. [Google Scholar] [CrossRef]
- Dux, R. Impurity Transport in Tokamak Plasmas; IPP Report, IPP10/27; Max-Planck-Institut fur Plasmaphysik: Garching, Germany, 2005. [Google Scholar]
- Chowdhuri, M.B.; Ghosh, J.; Banerjee, S.; Dey, R.; Manchanda, R.; Kumar, V.; Vasu, P.; Patel, K.M.; Atrey, P.K.; Joisa, Y.S.; et al. Investigation of oxygen impurity transport using the O4+ visible spectral line in the ADITYA tokamak. Nucl. Fusion 2013, 53, 023006. [Google Scholar] [CrossRef]
- Bhattacharya, A.; Munshi, P.; Ghosh, J.; Chowdhuri, M.B. A Study of the von Neumann stability analysis of semi-implicit numerical method applied over the radial impurity transport equation in tokamak plasma. J. Fusion Energy 2018, 3, 211–237. [Google Scholar] [CrossRef]
- Bhattacharya, A.; Ghosh, J.; Chowdhuri, M.B.; Munshi, P.; Murakami, I.; the ADITYA Team. A study of the O4+ emissivity profiles with two separate photon emissivity coefficient databases and a comparison of the impurity diffusion coefficients in the Aditya tokamak. Plasma Fusion Res. 2019. submitted for publication. [Google Scholar]
- Atrey, P.K.; Pujara, D.; Mukherjee, S.; Tanna, R.L. Design, development, and operation of seven Channels’ 100-GHz interferometer for plasma density measurement. IEEE Trans. Plasma Sci. 2019, 47, 1316–1321. [Google Scholar] [CrossRef]
- Ghosh, J.; Elton, R.C.; Griem, H.R.; Case, A.; DeSilva, A.W.; Ellis, R.F.; Hassam, A.; Lunsford, R.; Teodorescu, C. Radially resolved measurements of plasma rotation and flow-velocity shear in the Maryland Centrifugal Experiment. Phys. Plasmas 2006, 13, 022503. [Google Scholar] [CrossRef]
- Banerjee, S.; Ghosh, J.; Manchanda, R.; Dey, R.; Ramasubramanian, N.; Chowdhuri, M.B.; Patel, K.M.; Kumar, V.; Vasu, P.; Chattopadhyay, P.K.; et al. Observations of Hα emission profiles in ADITYA tokamak. J. Plasma Fusion Res. Ser. 2010, 9, 29–32. [Google Scholar]
- Paradkar, B.; Ghosh, J.; Chattopadhyay, P.K.; Tanna, R.L.; Raju, D.; Bhatt, S.B.; Rao, C.V.S.; Joisa, Y.S.; Banerjee, S.; Manchanda, R.; et al. Runaway-loss induced negative and positive loop voltage spikes in the ADITYA tokamak. Phys. Plasma 2010, 17, 092504. [Google Scholar] [CrossRef]
- Joshi, N.Y.; Atrey, P.K.; Pathak, S.K. Abel inversion of asymmetric plasma density profile at ADITYA tokamak. J. Phys. Conf. Ser. 2010, 208, 012129. [Google Scholar] [CrossRef]
- Berrington, K.E. A review of electron impact excitation data for the beryllium isoelectronic sequence (Z = 4 to 28). At. Data Nucl. Data Tables 1994, 57, 71–95. [Google Scholar] [CrossRef]
- Kato, T.; Lang, J.; Berrington, K.E. Intensity ratios of emission lines from O V ions for temperature and density diagnostics, and recommended excitation rate coefficients. At. Data Nucl. Data Tables 1990, 44, 133–187. [Google Scholar] [CrossRef]
- Summers, H.P.; Badnell, N.R.; Whiteford, A.D.; O’Mullane, M.; Bingham, R.; Kellett, B.J.; Lang, J.; Behringer, K.H.; Fantz, U.; Kastrow, S.D.; et al. Atomic data for modelling fusion and astrophysical plasmas. Plasma Phys. Control. Fusion 2002, 44, B323–B338. [Google Scholar] [CrossRef]







© 2019 by the authors. Licensee MDPI, Basel, Switzerland. This article is an open access article distributed under the terms and conditions of the Creative Commons Attribution (CC BY) license (http://creativecommons.org/licenses/by/4.0/).
Share and Cite
Chowdhuri, M.B.; Ghosh, J.; Dey, R.; Patel, S.; Yadava, N.; Manchanda, R.; Bhattacharya, A.; Murakami, I.; Aditya Team. Evaluation of an Oxygen Transport Coefficient in the Aditya Tokamak Using the Radial Profile of O4+ Emissivity and the Importance of Atomic Data Used Therein. Atoms 2019, 7, 90. https://doi.org/10.3390/atoms7030090
Chowdhuri MB, Ghosh J, Dey R, Patel S, Yadava N, Manchanda R, Bhattacharya A, Murakami I, Aditya Team. Evaluation of an Oxygen Transport Coefficient in the Aditya Tokamak Using the Radial Profile of O4+ Emissivity and the Importance of Atomic Data Used Therein. Atoms. 2019; 7(3):90. https://doi.org/10.3390/atoms7030090
Chicago/Turabian StyleChowdhuri, Malay Bikas, Joydeep Ghosh, Ritu Dey, Sharvil Patel, Nandini Yadava, Ranjana Manchanda, Amrita Bhattacharya, Izumi Murakami, and Aditya Team. 2019. "Evaluation of an Oxygen Transport Coefficient in the Aditya Tokamak Using the Radial Profile of O4+ Emissivity and the Importance of Atomic Data Used Therein" Atoms 7, no. 3: 90. https://doi.org/10.3390/atoms7030090
APA StyleChowdhuri, M. B., Ghosh, J., Dey, R., Patel, S., Yadava, N., Manchanda, R., Bhattacharya, A., Murakami, I., & Aditya Team. (2019). Evaluation of an Oxygen Transport Coefficient in the Aditya Tokamak Using the Radial Profile of O4+ Emissivity and the Importance of Atomic Data Used Therein. Atoms, 7(3), 90. https://doi.org/10.3390/atoms7030090

