Next Article in Journal
Erratum: Oks, E. Review of Recent Advances in the Analytical Theory of Stark Broadening of Hydrogenic Spectral Lines in Plasmas: Applications to Laboratory Discharges and Astrophysical Objects. Atoms 2018, 6, 50
Previous Article in Journal
Soft X-Ray Spectroscopy of Rare-Earth Elements in LHD Plasmas
 
 
Font Type:
Arial Georgia Verdana
Font Size:
Aa Aa Aa
Line Spacing:
Column Width:
Background:
Article

Cross Sections and Rate Coefficients for Rovibrational Excitation of HeH+ Isotopologues by Electron Impact

by
Mehdi Ayouz
1,*,† and
Viatcheslav Kokoouline
2,†
1
LGPM, CentraleSupélec, Université Paris-Saclay, 8-10 rue Joliot-Curie, 91 190 Gif-sur-Yvette, France
2
Department of Physics, University of Central Florida, Orlando, FL 32816, USA
*
Author to whom correspondence should be addressed.
These authors contributed equally to this work.
Atoms 2019, 7(3), 67; https://doi.org/10.3390/atoms7030067
Submission received: 29 May 2019 / Revised: 21 June 2019 / Accepted: 28 June 2019 / Published: 5 July 2019
(This article belongs to the Section Atomic, Molecular and Nuclear Spectroscopy and Collisions)

Abstract

Cross sections and thermal rate coefficients for rotational and vibration excitation of the four stable isotopologues of the 4 HeH + ion by electron impact are presented. The data are calculated using a previously developed theoretical approach. The obtained rate coefficients are fitted to analytical formulas with the 10–10,000 K interval of applicability. These present results could be useful in tokamak plasma and astrophysical modeling and can help in the detection of these species in the interstellar medium.

1. Introduction

Over the past decades, it was suggested that the hydrohelium (helium hydride) cation HeH + can be present and observed in a number of astronomical environments, and particularly, in the planetary nebulae NGC 7027 [1,2,3]. In the interstellar medium (ISM), it is the process of radiative association of He and H + or of He + and H that forms the ion [4,5]. However, only very recently, the presence of the ion was confirmed by Güsten et al. [6] with the observation of the rotational ground-state transition of HeH + in the planetary nebula NGC 7027. These observations were made possible due to advances in terahertz spectroscopy [7] and high-altitude observatories [8]. Previously, a transition with a wavelength very similar to that of the j = 1 0 rotational transition was found by Liu et al. [9]. However, further analysis suggested that it was actually caused by the CH molecule [10].
HeH + is easily formed in helium–hydrogen plasma, and in particular, in the hydrogen fusion reaction. The ion, with its isotopologues, plays an important role in the chemistry taking place in tokamaks, especially in the divertor region of the devices. Rovibrationally excited states, formed in collisions of HeH + with electrons, can be used for plasma diagnostics. The other process involving the HeH + isotopologues and electrons and taking place in the divertor and near walls of the reactors is the process of dissociative recombination. The process removes the ions from the plasma creating neutral atoms, which contribute to the damage of reactor walls.
There have been several experimental and theoretical studies [11,12,13,14,15,16] reporting cross sections for the dissociative recombination. Cross sections for vibrational excitation and de-excitation of the three lowest vibrational states of the ion by electron impact were also calculated previously [17]. However, the presence of vibrational resonances in the collisional spectra was ignored in that study. Čurík and Greene [18] have recently reported cross sections for rotational excitation of HeH + collisions, where the Rydberg series of rovibrational resonances were accounted for.
Data relevant to the other isotopologues 4 HeD + , 3 HeH + , and 3 HeD + could also be useful for plasma modeling and diagnostics in fusion reactors. In this respect, cross sections as well as rate coefficients for collisions of the HeH + isotopologues with electrons are needed. To our knowledge, there is no such theoretical or experimental data available for the HeH + isotopologues.
In a previous study [19] (hereafter referred to as paper I), we reported cross sections and rate coefficients for vibrational excitation for transitions between the five lowest vibrational levels. In a further study [20] (hereafter referred to as paper II), we presented similar data for rotational transitions in collisions of 4 HeH + with electrons. In the present study, as a follow-up of papers I and II, we determine cross sections and rate coefficients for vibrational and rotational (de-)excitation for collisions of the four stable HeH + isotopologues with electrons.
The rest of the article is organized in the following way. The next section briefly discusses the theoretical approach used in the present calculation. A detailed description of the approach is presented at length in papers I and II, so we restrict ourselves here only to underline its major ideas. In Section 3 and Section 4, the obtained rate coefficients for vibrational and rotational (de-)excitation are discussed and compared with the data available in the literature. Section 5 concludes the study.

2. Theoretical Approach

Similarly to papers I and II, the present theoretical method uses the UK R-matrix code [21,22] with the Quantemol-N interface [23] and some elements of the quantum defect theory (MQDT) [24,25,26]. The same parameters (the basis and orbital spaces, the R-matrix size, etc.) as in Paper II were employed in the electron-scattering calculations. As a first step in the theoretical approach, the body-frame scattering matrix S ^ Λ ( R ) is obtained numerically for a number of internuclear distances R from R = 0.85 to R = 3.95 with a step of 0.05 bohr. At the second step, vibrational wave functions ψ v ( R ) for the four isotopologues are computed by solving the Schrödinger equation for vibrational motion using a DVR-type method [27].
Energies for vibrational and rotational transitions for the four isotopologues are shown in Table 1 and Table 2 and compared with available data [28,29]. Note that unlike the present study, where the aug-cc-pVQZ basis is employed, in paper I, we used the cc-pVQZ basis to compute the potential energy curve (see Figure 2 of paper I). As a result, the obtained vibrational energies for the 4 HeH + ion are slightly different in the present study and paper I.

Scattering Matrix for Rovibrational Excitations in the HeH + Molecule and Its Isotopologues

The next step in the treatment is the vibrational and rotational frame transformations. If we neglect the rotational structure of the ion, which corresponds to an experiment where cross sections for vibrational transitions v v are averaged over all possible initial and summed over allowed final rotational states of the levels v and v , the theoretical cross section is obtained from the following scattering matrix:
S λ v l , λ v l Λ = ψ v ( R ) S λ l , λ l Λ ( R ) ψ v ( R ) ,
where the brackets imply an integration over the vibrational coordinates. As a second step, the rotational frame transformation is accomplished using the matrix elements S λ v l , λ v l Λ of Equation (1), leading to the laboratory-frame scattering matrix
S j μ l v , j μ l v J = λ λ ( 1 ) l + λ + l + λ C l λ J Λ j μ C l λ J Λ j μ S l λ v , l λ v Λ ,
where J is the total angular momentum of the e -HeH + system, j , μ and j , μ are the angular momenta with their projections on the molecular axis of the target before and after the rotational excitation of HeH + (and its isotopologues), and C l λ J Λ j μ and C l λ J Λ j μ are Clebsch–Gordan coefficients. A detailed derivation of Equation (2) is given in Appendix A of paper II.
The matrices of Equations (1) and (2) are energy-independent and do not describe vibrational and rovibrational Rydberg resonances present in the collisional spectra. The actual scattering matrices S p h y s are obtained from those two matrices, applying the closed-channel elimination procedure [24,26] as discussed in paper I. The total energy E of the system is the sum E = E e l + E j μ v of the relative kinetic energy E e l of a collision and the energy E j μ v of the initial state of the target.

3. Rate Coefficients and Cross Sections for Vibrational (De-)Excitation

The cross section for purely the vibrational transition v v is [30]
σ v v ( E e l ) = π 2 2 m e E e l λ l λ l S λ l v , λ l v p h y s δ λ l v , λ l v 2 ,
where m e is the reduced mass of the electron-ion system. Figure 1 demonstrates, as examples, the cross sections of Equation (3) for the v = 3 v = 0 , 1 , 2 , 4 transitions of 4 HeH + (solid lines) and 4 HeD + (dashed lines). At very low scattering energies, below 0.001 eV, the de-excitation cross sections behave as 1 / E e l according to the Wigner threshold law [31]. At higher energies, all the (de-)excitation cross sections vary significantly due to the presence of series of Rydberg resonances.
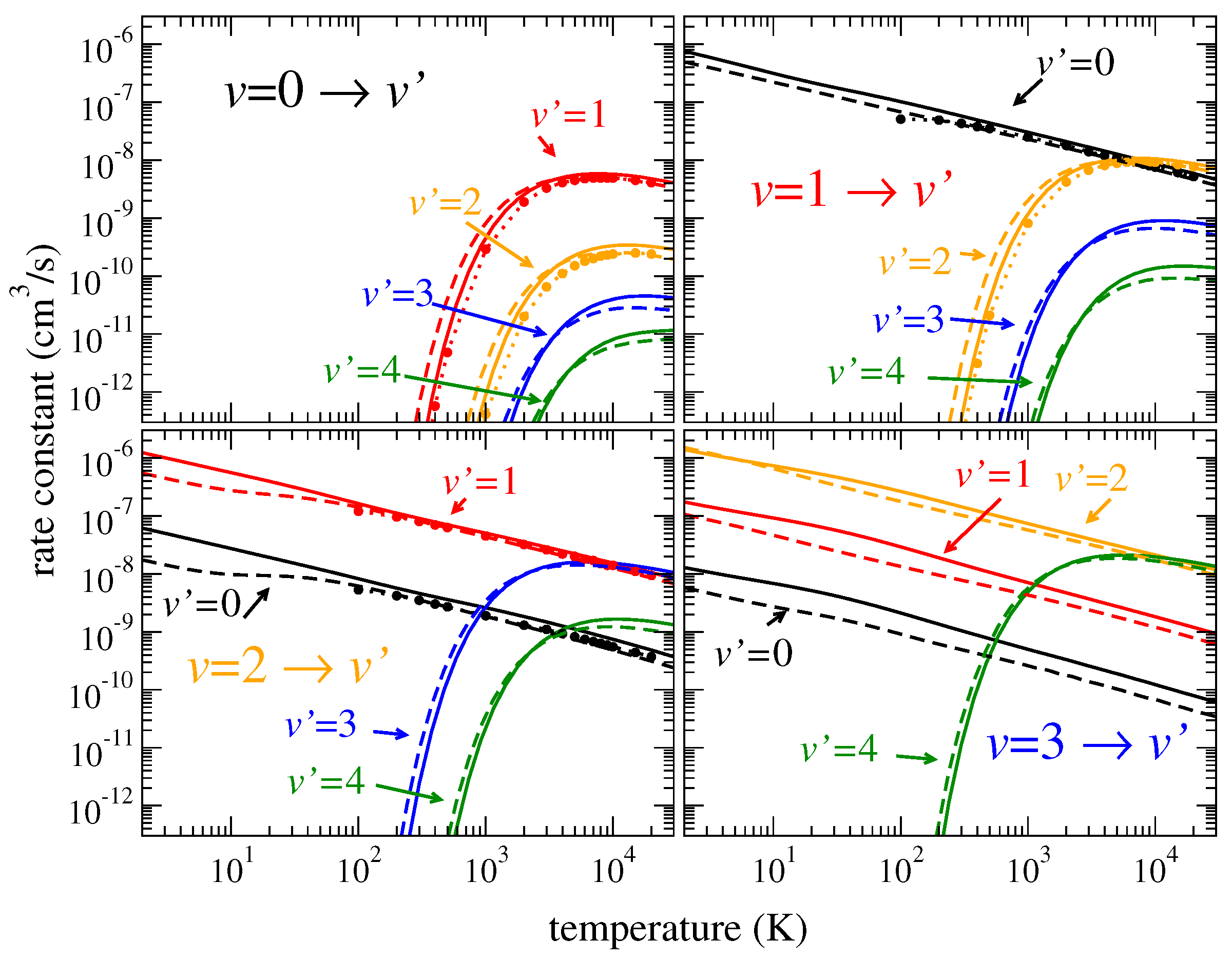
Figure 2 and Figure 3 show thermally averaged rate coefficients (see Equation (13) of paper I) computed for transitions between the lowest vibrational levels for the four 4 HeH + isotopologues. The uncertainty of the rate coefficients for all transitions is about 5–30% for different temperatures. Due to the general E e l 1 dependence of the cross sections, the calculated rate coefficients α v v behave as 1 / T as functions of temperature T for de-excitation and as exp Δ v v / T / T for excitation transitions, where Δ v v = E v E v is the excitation energy. Therefore, similarly to papers I and II, for convenience of use, the rate coefficients are fitted to the formula
α v v f i t ( T ) = 1 T e Δ v v T P v v f i t ( x ) ,
where P v v f i t ( x ) P v v f i t ( x ) are functions weakly dependent on temperature interpolated by a cubic polynomial
P v v f i t ( x ) = a 0 + a 1 x + a 2 x 2 + a 3 x 3 and x = ln ( T ) ,
with
Δ v v = E v E v > 0 for   excitation , 0 for   ( de - ) excitation .
The coefficients a i ( i = 0 , 1 , 2 , 3 ) are fitted for each pair of transitions v v and given in Table 3, Table 4, Table 5 and Table 6. The numerical values of the coefficients a i in the Tables are such that they give the rate coefficients in units of cm 3 ·s 1 , with the temperature in fitting Equation (5) being in kelvin.

4. Rate Coefficients and Cross Sections for Rotational (De-)Excitation

The inelastic cross section for the rotational excitation or de-excitation process j μ v j μ v of a linear molecule by electron impact is obtained from the scattering matrix of Equation (2)
σ j μ v j μ v ( E e l ) = 1 2 j + 1 π k j 2 J , l , l ( 2 J + 1 ) e i ( l π / 2 + σ l ) S j μ l v ; j μ l v J , p h y s e i ( l π / 2 + σ l ) 2 ,
where σ l is the Coulomb phase shift. The derivation of the above formula is given in paper II.
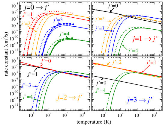
In the ground electronic state of 4 HeH + , the projection μ of the electronic angular momentum on the molecular axis of the target is zero. Therefore, for scattering energies below the first excited electronic state A 1 + of 4 HeH + , μ = μ = 0 in Equation (7). Figure 4 gives examples of the cross sections obtained with Equation (7) for the j = 3 j = 0 , 1 , 2 , 4 transitions of 4 HeH + and 3 HeH + . The cross sections exhibit a strong resonant character for both molecular ions as well as for the two other isotopologues. These resonances are washed out when thermally-averaged rate coefficients are computed, leading to similar rate coefficients at high temperatures T, as shown by solid lines in Figure 5 and Figure 6. Similar results are observed for 4 HeD + and 3 HeD + , shown in the figures by dashed lines. However, the thermally averaged coefficients at low temperatures are sensitive to exact positions and widths of the lowest resonances because the integral over thermal velocities at low temperatures T is determined only by small collision energies, E e l k B T . As a result, the rate coefficients for the j = 2 j = 0 transitions, for example, in Figure 5 and Figure 6, are slightly different for different isotopologues.
In addition, the rotational rate coefficients behave approximately according to Equation (4), where Δ v v should be replaced with the rotational threshold energy, Δ j j , and a quadratic polynomial is used in the fit. The probabilities for the direct P j j f i t ( x ) ( j j ) and the inverse P j j f i t ( x ) ( j j ) processes are related to each other by the relative degeneracy factor
P j j f i t ( x ) = 2 j + 1 2 j + 1 P j j f i t ( x ) .
The coefficients a i ( i = 0 , 1 , 2 ) are fitted numerically for transitions j j and are given in Table 7, Table 8, Table 9 and Table 10. Similarly to Tables in Section 3, the coefficients a i give the rate coefficients in Equation (5) in units of cm 3 /s.

5. Conclusions

We presented cross sections and thermal rate coefficients for rotational and vibrational transitions in the stable isotopologues of the HeH + ion caused by electron impact. The differences observed in cross sections for the four isotopologues are due to different positions of vibrational and rotational levels of the target ion. The different positions of the levels produce Rydberg resonances in the collisional spectra that are situated at different energies. Different positions of individual resonances can significantly modify cross sections. This is especially important at low energies, as demonstrated in Figure 1 and Figure 4. Very different cross sections at low collision energies lead to very different thermal rate coefficients at low temperatures.
Because the overall coupling between different vibrational and rotational channels is the same for all isotopologues, generally, widths of the resonances are comparable for the four isotopologues. This results in thermally averaged rate coefficients that are very similar in magnitude to each other for the four isotopologues. The only essential effect on the rate coefficients is due to a higher density of rovibrational levels and, as a result, a higher density of resonances in the collisional spectra for heavier isotopologues. This effect is evident in Figure 5 and Figure 6 showing the coefficients for rotational excitation: For heavier isotopologues, the rotational excitation rate coefficients are, in general, higher. For vibrational transitions, the ratio of densities of vibrational resonances between different isotopologues is closer to unity compared to the rotational-level densities. Therefore, the isotope effect on the vibrational excitation coefficients is less important.
We extended our previous studies on 4 HeH + to its isotopologues 4 HeD + , 3 HeH + , and 3 HeD + . The obtained results are important for hydrogen–helium plasma modeling and diagnostics and could contribute to the search of the 4 HeH + isotopologues in astrophysical environments.

Author Contributions

All authors contributed equally to this work.

Funding

This research was funded by Grant No. PHY-1806915 of the National Science Foundation, the Thomas Jefferson Fund of the Office for Science and Technology of the Embassy of France in the United States and by the program “Accueil des chercheurs étrangers” of CentraleSupélec.

Acknowledgments

The authors are grateful to the referees for the constructive comments and improvement suggestions.

Conflicts of Interest

The authors declare no conflict of interest.

References and Note

  1. Dabrowski, I.; Herzberg, G. The predicted infrared spectrum of HeH+ and its possible astrophysical importance. Trans. N. Y. Acad. Sci. 1977, 38, 14. [Google Scholar] [CrossRef]
  2. Black, J. Molecules in planetary nebulae. Astrophys. J. 1978, 222, 125. [Google Scholar] [CrossRef]
  3. Flower, D.; Roueff, E. On the formation and destruction of HeH+ in gaseous nebulae and the associated infra-red emission line spectrum. Astron. Astrophys. 1979, 72, 361. [Google Scholar]
  4. Zygelman, B.; Dalgarno, A. The radiative association of He+ and H. Astrophys. J. 1990, 365, 239. [Google Scholar] [CrossRef]
  5. Kraemer, W.; Špirko, V.; Juřek, M. Formation of HeH+ by radiative association of He++ H. An advanced ab initio study. Chem. Phys. Lett. 1995, 236, 177–183. [Google Scholar] [CrossRef]
  6. Güsten, R.; Wiesemeyer, H.; Neufeld, D.; Menten, K.M.; Graf, U.U.; Jacobs, K.; Klein, B.; Ricken, O.; Risacher, C.; Stutzki, J. Astrophysical detection of the helium hydride ion HeH+. Nature 2019, 568, 357. [Google Scholar] [CrossRef] [PubMed]
  7. Heyminck, S.; Graf, U.; Güsten, R.; Stutzki, J.; Hübers, H.; Hartogh, P. GREAT: The SOFIA high-frequency heterodyne instrument. Astron. Astrophys. 2012, 542, L1. [Google Scholar] [CrossRef]
  8. Zijlstra, A.A.; Van Hoof, P.; Perley, R. The evolution of NGC 7027 at radio frequencies: A new determination of the distance and core mass. Astrophys. J. 2008, 681, 1296. [Google Scholar] [CrossRef][Green Version]
  9. Liu, X.W.; Barlow, M.; Cox, P.; Péquignot, D.; Clegg, P.; Swinyard, B.; Griffin, M.; Baluteau, J.; Lim, T.; Skinner, C.; et al. The ISO LWS grating spectrum of NGC 7027. Astron. Astrophys. 1996, 315, L257–L260. [Google Scholar]
  10. Liu, X.W.; Barlow, M.; Dalgarno, A.; Tennyson, J.; Lim, T.; Swinyard, B.; Cernicharo, J.; Cox, P.; Baluteau, J.P.; Pequignot, D.; et al. An ISO Long Wavelength Spectrometer detection of CH in NGC 7027 and an HeH+ upper limit. Mon. Not. R. Astron. Soc. 1997, 290, L71–L75. [Google Scholar] [CrossRef]
  11. Strömholm, C.; Semaniak, J.; Rosén, S.; Danared, H.; Datz, S.; van der Zande, W.; Larsson, M. Dissociative recombination and dissociative excitation of 4HeH+: Absolute cross sections and mechanisms. Phys. Rev. A 1996, 54, 3086. [Google Scholar]
  12. Tanabe, T.; Katayama, I.; Ono, S.; Chida, K.; Watanabe, T.; Arakaki, Y.; Haruyama, Y.; Saito, M.; Odagiri, T.; Hosono, K.; et al. Dissociative recombination of HeH+ isotopes with an ultra-cold electron beam from a superconducting electron cooler in a storage ring. J. Phys. B At. Mol. Opt. Phys. 1998, 31, L297. [Google Scholar] [CrossRef]
  13. Larson, Å.; Orel, A. Wave-packet study of the products formed in dissociative recombination of HeH+. Phys. Rev. A 2005, 72, 032701. [Google Scholar] [CrossRef]
  14. Takagi, H. Theoretical study of the dissociative recombination of HeH+. Phys. Rev. A 2004, 70, 022709. [Google Scholar] [CrossRef]
  15. Larson, Å.; Nkambule, S.; Ertan, E.; Söder, J.; Orel, A.E. Studies of HeH: DR, RIP, VE, DE, PI, MN, …. EPJ Web Conf. 2015, 84, 03001. [Google Scholar] [CrossRef]
  16. Takagi, H.; Tashiro, M. Study on the dissociative recombination of HeH+ by multi-channel quantum defect theory. EPJ Web Conf. 2015, 84, 02002. [Google Scholar] [CrossRef]
  17. Rabadán, I.; Sarpal, B.K.; Tennyson, J. Calculated rotational and vibrational excitation rates for electron-HeH+ collisions. Mon. Not. R. Astron. Soc. 1998, 299, 171. [Google Scholar] [CrossRef]
  18. Čurík, R.; Greene, C.H. Inelastic low-energy collisions of electrons with HeH+: Rovibrational excitation and dissociative recombination. J. Chem. Phys. 2017, 147, 054307. [Google Scholar] [CrossRef]
  19. Ayouz, M.; Kokoouline, V. Cross Sections and Rate Coefficients for Vibrational Excitation of HeH+ Molecule by Electron Impactukrm. Atoms 2016, 4, 30. [Google Scholar] [CrossRef]
  20. Khamesian, M.; Ayouz, M.; Singh, J.; Kokoouline, V. Cross Sections and Rate Coefficients for Rotational Excitation of HeH+ Molecule by Electron Impact. Atoms 2018, 6, 49. [Google Scholar] [CrossRef]
  21. Tennyson, J. Electron–molecule collision calculations using the R-matrix method. Phys. Rep. 2010, 491, 29. [Google Scholar] [CrossRef]
  22. Carr, J.; Galiatsatos, P.; Gorfinkiel, J.; Harvey, A.; Lysaght, M.; Madden, D.; Mašín, Z.; Plummer, M.; Tennyson, J.; Varambhia, H. UKRmol: A low-energy electron-and positron-molecule scattering suite. Eur. Phys. J. D 2012, 66, 58. [Google Scholar] [CrossRef]
  23. Quantemol—A software tool maintained by Quantemol Ltd., which is based in University College London. The code brings a full accessibility to the UK molecular R-matrix code, which is used to model electron polyatomic molecule interactions.
  24. Seaton, M.J. Quantum defect theory. Rep. Prog. Phys. 1983, 46, 167. [Google Scholar] [CrossRef]
  25. Greene, C.H.; Jungen, C. Molecular applications ofquantum defect theory. Adv. At. Mol. Phys. 1985, 21, 51. [Google Scholar]
  26. Aymar, M.; Greene, C.H.; Luc-Koenig, E. Multichannel Rydberg spectroscopy of complex atoms. Rev. Mod. Phys. 1996, 68, 1015. [Google Scholar] [CrossRef]
  27. Kokoouline, V.; Dulieu, O.; Kosloff, R.; Masnou-Seeuws, F. Mapped Fourier methods for long-range molecules: Application to perturbations in the Rb2 ( 0 u + ) photoassociation spectrum. J. Chem. Phys. 1999, 110, 9865. [Google Scholar] [CrossRef]
  28. Coxon, J.; Hajigeorgiou, P. Experimental Born-Oppenheimer Potential for the X1+ Ground State of HeH+: Comparison with the Ab Initio Potential. J. Mol. Spectrosc. 1999, 193, 306–318. [Google Scholar] [CrossRef]
  29. Stanke, M.; Kędziera, D.; Molski, M.; Bubin, S.; Barysz, M.; Adamowicz, L. Convergence of Experiment and Theory on the Pure Vibrational Spectrum of HeH+. Phys. Rev. Lett. 2006, 96, 233002. [Google Scholar] [CrossRef]
  30. Kokoouline, V.; Greene, C.H. Theory of dissociative recombination of D3h triatomic ions applied to H 3 + . Phys. Rev. Lett. 2003, 90, 133201. [Google Scholar] [CrossRef]
  31. Landau, L.; Lifshitz, E. Quantum Mechanics: Non-Relativistic Theory; Butterworth Heinemann: Burlington, MA, USA, 2003. [Google Scholar]
  32. Hamilton, J.R.; Faure, A.; Tennyson, J. Electron-impact excitation of diatomic hydride cations–I. HeH+, CH+, ArH+. Mon. Not. R. Astron. Soc. 2016, 455, 3281. [Google Scholar] [CrossRef]
Figure 1. Cross sections of vibrational (de-)excitation from the vibrational level v = 3 to several other levels v of 4 HeH + (solid lines) and 4 HeD + (dashed lines).
Figure 1. Cross sections of vibrational (de-)excitation from the vibrational level v = 3 to several other levels v of 4 HeH + (solid lines) and 4 HeD + (dashed lines).
Atoms 07 00067 g001
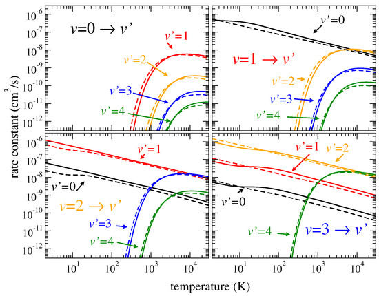
Figure 2. Examples of thermal rate coefficients for vibrational transitions in 4 HeH + (solid lines) and 4 HeD + (dashed lines). Results of a previous calculation [17] are shown by dotted lines with circles.
Figure 2. Examples of thermal rate coefficients for vibrational transitions in 4 HeH + (solid lines) and 4 HeD + (dashed lines). Results of a previous calculation [17] are shown by dotted lines with circles.
Atoms 07 00067 g002
Figure 3. Same as Figure 2 for 3 HeH + (solid lines) and 3 HeD + (dashed lines).
Figure 3. Same as Figure 2 for 3 HeH + (solid lines) and 3 HeD + (dashed lines).
Atoms 07 00067 g003
Figure 4. Cross sections of rotational (de-)excitation from the rotational level j = 3 to several other levels j of 4 HeH + (solid lines) and 3 HeH + (dashed lines).
Figure 4. Cross sections of rotational (de-)excitation from the rotational level j = 3 to several other levels j of 4 HeH + (solid lines) and 3 HeH + (dashed lines).
Atoms 07 00067 g004
Figure 5. Thermally averaged rate coefficients for several rotational (de-)excitation transitions of 4 HeH + (solid lines) and 4 HeD + (dashed lines). Dotted lines in the upper-left panel are the calculations by Hamilton et al. [32], and lines with circles are those by Čurík and Greene [18] for 4 HeH + .
Figure 5. Thermally averaged rate coefficients for several rotational (de-)excitation transitions of 4 HeH + (solid lines) and 4 HeD + (dashed lines). Dotted lines in the upper-left panel are the calculations by Hamilton et al. [32], and lines with circles are those by Čurík and Greene [18] for 4 HeH + .
Atoms 07 00067 g005
Figure 6. Same as Figure 5 for 3 HeH + (solid lines) and 3 HeD + (dashed lines). Rotational transition labels j j are shown in each panel.
Figure 6. Same as Figure 5 for 3 HeH + (solid lines) and 3 HeD + (dashed lines). Rotational transition labels j j are shown in each panel.
Atoms 07 00067 g006
Table 1. Energies Δ v = E v + 1 E v for vibrational transitions v v + 1 and rotational constants B v of the 4 HeH + and 4 HeD + molecules used in this study and compared with data available in the literature. All values are in cm 1 .
Table 1. Energies Δ v = E v + 1 E v for vibrational transitions v v + 1 and rotational constants B v of the 4 HeH + and 4 HeD + molecules used in this study and compared with data available in the literature. All values are in cm 1 .
Level v 4 HeH + 4 HeD +
Δ v Δ v [29] B v B v [28] Δ v B v B v [28]
02910.82911.000733.52333.5582309.920.32620.349
12604.42604.167630.80830.8392125.719.06119.084
22296.22295.578728.07428.0901941.517.79517.814
31983.01982.056225.28225.3011755.916.51516.532
41661.61660.355922.38922.4021567.815.21215.226
51329.51327.786019.33819.3441376.113.87213.884
6986.6984.359916.06116.0581179.712.48012.490
7641.6639.195912.49212.479977.911.01911.025
8328.0327.36158.6388.621771.29.4699.471
9115.2116.14874.854 562.87.8107.808
1025.624.40992.064 362.46.0416.036
11 192.04.2164.217
12 79.62.5412.557
Table 2. Energies Δ v = E v + 1 E v for vibrational transitions v v + 1 and rotational constants B v of the 3 HeH + and 3 HeD + molecules used in this study. All values are in cm 1 .
Table 2. Energies Δ v = E v + 1 E v for vibrational transitions v v + 1 and rotational constants B v of the 3 HeH + and 3 HeD + molecules used in this study. All values are in cm 1 .
Level v 3 HeH + 3 HeD +
Δ v B v Δ v B v
02994.735.6812422.722.514
12668.132.6932218.421.036
22339.429.6822013.819.555
32004.726.6021807.518.056
41660.723.4001598.016.525
51304.520.0081383.814.944
6937.416.3451163.913.295
7573.212.340937.611.551
8261.08.054706.89.687
977.44.107478.27.684
1015.91.496270.85.567
1116.80.733118.83.495
1224.30.94038.61.836
Table 3. Parameters a 0 , a 1 , a 2 , and a 3 of the fitting polynomials P v v f i t ( x ) = P v v f i t ( x ) of Equation (4) for 4 HeH + . The upper line in the header of the table specifies the pairs of initial and final vibrational levels for which the parameters are fitted. For convenience, we also specify (the second line of the header) the threshold energy Δ v v for the excitation process of the corresponding pair. For all excitation and de-excitation processes, the same parameters a i are used in Equations (4) and (5).
Table 3. Parameters a 0 , a 1 , a 2 , and a 3 of the fitting polynomials P v v f i t ( x ) = P v v f i t ( x ) of Equation (4) for 4 HeH + . The upper line in the header of the table specifies the pairs of initial and final vibrational levels for which the parameters are fitted. For convenience, we also specify (the second line of the header) the threshold energy Δ v v for the excitation process of the corresponding pair. For all excitation and de-excitation processes, the same parameters a i are used in Equations (4) and (5).
v v 0–10–20–30–41–21–31–42–32–43–4
Δ v v (K)4187793511,23814,091374770509903330361562853
a 0 1.09 × 10 6 8.84 × 10 8 1.67 × 10 8 3.59 × 10 9 1.76 × 10 6 2.26 × 10 7 4.09 × 10 8 1.81 × 10 6 3.21 × 10 7 2.54 × 10 6
a 1 4.53 × 10 8 2.73 × 10 9 3.98 × 10 9 1.08 × 10 10 7.35 × 10 11 5.34 × 10 8 1.39 × 10 9 3.78 × 10 7 1.03 × 10 8 3.60 × 10 8
a 2 8.70 × 10 9 6.49 × 10 10 8.73 × 10 10 4.61 × 10 11 5.88 × 10 9 1.14 × 10 8 5.87 × 10 10 5.85 × 10 8 4.15 × 10 9 1.62 × 10 8
a 3 6.80 × 10 10 5.77 × 10 11 4.17 × 10 11 3.88 × 10 12 3.17 × 10 10 5.42 × 10 10 5.13 × 10 11 2.29 × 10 9 3.43 × 10 10 1.22 × 10 9
Table 4. Same as Table 3 for 4 HeD + .
Table 4. Same as Table 3 for 4 HeD + .
v v 0–10–20–30–41–21–31–42–32–43–4
Δ v v (K)33236381917511,701305858518378279353192526
a 0 7.12 × 10 7 1.97 × 10 8 7.91 × 10 9 1.39 × 10 9 6.90 × 10 7 1.53 × 10 7 1.28 × 10 8 2.20 × 10 6 1.41 × 10 7 1.67 × 10 6
a 1 2.48 × 10 8 7.78 × 10 9 6.27 × 10 10 1.35 × 10 10 1.28 × 10 7 7.04 × 10 9 2.14 × 10 9 1.10 × 10 7 1.20 × 10 8 4.68 × 10 9
a 2 7.50 × 10 9 3.46 × 10 10 9.16 × 10 11 1.35 × 10 11 6.84 × 10 9 1.29 × 10 9 1.80 × 10 10 9.19 × 10 9 2.99 × 10 9 3.31 × 10 8
a 3 5.54 × 10 10 9.01 × 10 11 1.13 × 10 12 2.15 × 10 12 1.48 × 10 9 1.00 × 10 10 3.35 × 10 11 3.32 × 10 10 3.69 × 10 10 2.86 × 10 9
Table 5. Same as Table 3 for 3 HeH + .
Table 5. Same as Table 3 for 3 HeH + .
v v 0–10–20–30–41–21–31–42–32–43–4
Δ v v (K)4308814711,51314,3973838720410,088336562502884
a 0 5.53 × 10 7 9.34 × 10 8 5.63 × 10 9 3.88 × 10 9 1.74 × 10 6 8.98 × 10 8 4.37 × 10 8 1.29 × 10 6 3.35 × 10 7 2.60 × 10 6
a 1 4.11 × 10 7 1.81 × 10 9 3.19 × 10 9 1.14 × 10 10 2.06 × 10 9 3.77 × 10 8 1.45 × 10 9 1.31 × 10 7 1.03 × 10 8 3.54 × 10 8
a 2 7.41 × 10 8 4.50 × 10 10 8.26 × 10 11 5.06 × 10 11 2.36 × 10 9 5.72 × 10 10 6.33 × 10 10 2.70 × 10 8 4.24 × 10 9 1.66 × 10 8
a 3 3.60 × 10 9 4.83 × 10 11 1.79 × 10 11 4.33 × 10 12 5.86 × 10 14 2.41 × 10 10 5.56 × 10 11 3.23 × 10 9 3.52 × 10 10 1.25 × 10 9
Table 6. Same as Table 3 for 3 HeD + .
Table 6. Same as Table 3 for 3 HeD + .
v v 0–10–20–30–41–21–31–42–32–43–4
Δ v v (K)34856677957412,175319160898689289754982600
a 0 7.60 × 10 7 3.03 × 10 8 9.47 × 10 9 2.01 × 10 9 8.97 × 10 7 1.67 × 10 7 2.20 × 10 8 2.10 × 10 6 2.14 × 10 7 2.12 × 10 6
a 1 1.71 × 10 8 8.90 × 10 9 8.22 × 10 11 6.00 × 10 11 9.90 × 10 8 1.77 × 10 9 1.07 × 10 9 1.33 × 10 8 1.10 × 10 8 8.41 × 10 8
a 2 5.77 × 10 9 2.88 × 10 10 3.09 × 10 11 3.88 × 10 11 4.12 × 10 9 1.85 × 10 10 6.28 × 10 10 8.84 × 10 9 5.43 × 10 9 3.13 × 10 8
a 3 4.75 × 10 10 4.38 × 10 11 6.48 × 10 12 3.16 × 10 12 1.06 × 10 9 4.64 × 10 11 5.28 × 10 11 3.98 × 10 10 4.37 × 10 10 2.22 × 10 9
Table 7. Parameters a 0 , a 1 , and a 2 of the polynomial P j j f i t ( x ) of Equations (4) and (5) for several pairs of initial and final rotational states for de-excitation j j of 4 HeH + , with j < j . The probabilities P j j f i t ( x ) for the opposite (excitation) process, j j , are obtained from P j j f i t ( x ) , multiplying them with the factor ( 2 j + 1 ) / ( 2 j + 1 ) (see Equation (8)). For convenience, we also specify, in the second line of the table, the threshold energy Δ j j in units of temperature (K) for the excitation process of the corresponding pair. For the de-excitation processes, Δ j j = 0 .
Table 7. Parameters a 0 , a 1 , and a 2 of the polynomial P j j f i t ( x ) of Equations (4) and (5) for several pairs of initial and final rotational states for de-excitation j j of 4 HeH + , with j < j . The probabilities P j j f i t ( x ) for the opposite (excitation) process, j j , are obtained from P j j f i t ( x ) , multiplying them with the factor ( 2 j + 1 ) / ( 2 j + 1 ) (see Equation (8)). For convenience, we also specify, in the second line of the table, the threshold energy Δ j j in units of temperature (K) for the excitation process of the corresponding pair. For the de-excitation processes, Δ j j = 0 .
j j 0 1 0 2 0 3 0 4 1 2 1 3 1 4 2 3 2 4 3 4
Δ j j (K)96289578964192482868289675385
a 0 3.90 × 10 6 3.79 × 10 6 5.80 × 10 8 4.47 × 10 10 7.36 × 10 6 4.86 × 10 6 7.60 × 10 8 5.79 × 10 6 5.36 × 10 6 3.29 × 10 6
a 1 1.11 × 10 7 1.58 × 10 8 3.35 × 10 10 2.17 × 10 12 8.57 × 10 7 8.43 × 10 9 3.56 × 10 10 2.23 × 10 7 8.55 × 10 10 5.44 × 10 7
a 2 6.57 × 10 9 1.03 × 10 9 9.66 × 10 11 7.92 × 10 13 3.99 × 10 8 2.68 × 10 10 9.86 × 10 11 8.13 × 10 9 4.29 × 10 10 5.98 × 10 8
Table 8. Same as Table 7 for 4 HeD + .
Table 8. Same as Table 7 for 4 HeD + .
j j 0 1 0 2 0 3 0 4 1 2 1 3 1 4 2 3 2 4 3 4
Δ j j (K)58175350584116292526175409233
a 0 2.79 × 10 6 3.76 × 10 6 5.55 × 10 8 4.42 × 10 10 3.43 × 10 6 4.74 × 10 6 7.73 × 10 8 3.66 × 10 6 5.39 × 10 6 5.86 × 10 6
a 1 2.67 × 10 7 5.03 × 10 9 1.34 × 10 9 4.11 × 10 12 2.84 × 10 7 2.65 × 10 8 4.68 × 10 10 2.75 × 10 7 1.25 × 10 8 3.14 × 10 7
a 2 3.52 × 10 8 2.30 × 10 10 1.82 × 10 10 1.12 × 10 12 3.78 × 10 8 2.11 × 10 9 1.35 × 10 10 3.71 × 10 8 6.95 × 10 10 1.99 × 10 9
Table 9. Same as Table 7 for 3 HeH + .
Table 9. Same as Table 7 for 3 HeH + .
j j 0 1 0 2 0 3 0 4 1 2 1 3 1 4 2 3 2 4 3 4
Δ j j (K)1023086161026205513924308718410
a 0 2.31 × 10 6 3.77 × 10 6 5.83 × 10 8 4.47 × 10 10 4.24 × 10 6 4.86 × 10 6 7.67 × 10 8 5.87 × 10 6 5.41 × 10 6 6.84 × 10 6
a 1 4.23 × 10 7 1.03 × 10 8 2.04 × 10 10 1.62 × 10 12 9.42 × 10 8 1.53 × 10 8 8.33 × 10 11 5.04 × 10 7 1.61 × 10 8 7.11 × 10 7
a 2 4.59 × 10 8 6.82 × 10 10 8.59 × 10 11 7.16 × 10 13 5.05 × 10 9 9.74 × 10 10 7.62 × 10 11 2.25 × 10 8 8.80 × 10 10 3.47 × 10 8
Table 10. Same as Table 7 for 3 HeD + .
Table 10. Same as Table 7 for 3 HeD + .
j j 0 1 0 2 0 3 0 4 1 2 1 3 1 4 2 3 2 4 3 4
Δ j j (K)64194388647129323583194453259
a 0 2.98 × 10 6 3.79 × 10 6 5.86 × 10 8 4.43 × 10 10 5.98 × 10 6 4.81 × 10 6 7.67 × 10 8 3.79 × 10 6 5.37 × 10 6 3.44 × 10 6
a 1 2.62 × 10 7 1.13 × 10 8 2.83 × 10 10 3.64 × 10 12 6.35 × 10 7 7.76 × 10 9 5.76 × 10 10 1.04 × 10 7 3.24 × 10 9 4.46 × 10 7
a 2 3.71 × 10 8 6.05 × 10 10 1.03 × 10 10 1.05 × 10 12 3.24 × 10 8 8.42 × 10 10 1.38 × 10 10 1.95 × 10 8 3.95 × 10 11 5.17 × 10 8

Share and Cite

MDPI and ACS Style

Ayouz, M.; Kokoouline, V. Cross Sections and Rate Coefficients for Rovibrational Excitation of HeH+ Isotopologues by Electron Impact. Atoms 2019, 7, 67. https://doi.org/10.3390/atoms7030067

AMA Style

Ayouz M, Kokoouline V. Cross Sections and Rate Coefficients for Rovibrational Excitation of HeH+ Isotopologues by Electron Impact. Atoms. 2019; 7(3):67. https://doi.org/10.3390/atoms7030067

Chicago/Turabian Style

Ayouz, Mehdi, and Viatcheslav Kokoouline. 2019. "Cross Sections and Rate Coefficients for Rovibrational Excitation of HeH+ Isotopologues by Electron Impact" Atoms 7, no. 3: 67. https://doi.org/10.3390/atoms7030067

APA Style

Ayouz, M., & Kokoouline, V. (2019). Cross Sections and Rate Coefficients for Rovibrational Excitation of HeH+ Isotopologues by Electron Impact. Atoms, 7(3), 67. https://doi.org/10.3390/atoms7030067

Note that from the first issue of 2016, this journal uses article numbers instead of page numbers. See further details here.

Article Metrics

Back to TopTop