A New Implementation of the STA Method for the Calculation of Opacities of Local Thermodynamic Equilibrium Plasmas
Abstract
1. Introduction
2. The Model
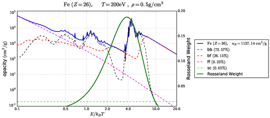
3. Opacity Calculations
4. Summary
Author Contributions
Funding
Conflicts of Interest
References
- Bahcall, J.N.; Basu, S.; Pinsonneault, M.; Serenelli, A.M. Helioseismological implications of recent solar abundance determinations. Astrophys. J. 2005, 618, 1049. [Google Scholar] [CrossRef]
- Bergemann, M.; Serenelli, A. Solar abundance problem. In Determination of Atmospheric Parameters of B-, A-, F- and G-Type Stars; Springer: Cham, Switzerland, 2014; pp. 245–258. [Google Scholar]
- Asplund, M.; Grevesse, N.; Sauval, A.J.; Scott, P. The chemical composition of the sun. arXiv, 2009; arXiv:0909.0948. [Google Scholar] [CrossRef]
- Christensen-Dalsgaard, J.; di Mauro, M.P.; Houdek, G.; Pijpers, F. On the opacity change required to compensate for the revised solar composition. Astron. Astrophys. 2009, 494, 205–208. [Google Scholar] [CrossRef]
- Villante, F.L.; Serenelli, A.M. A quantitative analysis of the solar composition problem. Phys. Procedia 2015, 61, 366–375. [Google Scholar] [CrossRef]
- Krief, M.; Feigel, A.; Gazit, D. Line broadening and the solar opacity problem. Astrophys. J. 2016, 824, 98. [Google Scholar] [CrossRef]
- Krief, M.; Kurzweil, Y.; Feigel, A.; Gazit, D. The effect of ionic correlations on radiative properties in the solar interior and terrestrial experiments. Astrophys. J. 2018, 856, 135. [Google Scholar] [CrossRef]
- Krief, M.; Feigel, A. The effect of first order superconfiguration energies on the opacity of hot dense matter. High Energy Density Phys. 2015, 15, 59–66. [Google Scholar] [CrossRef]
- Krief, M.; Feigel, A. Variance and shift of transition arrays for electric and magnetic multipole transitions. High Energy Density Phys. 2015, 17 (Pt B), 254–262. [Google Scholar] [CrossRef]
- Krief, M.; Feigel, A.; Gazit, D. Solar opacity calculations using the super-transition-array method. Astrophys. J. 2016, 821, 45. [Google Scholar] [CrossRef]
- Bar-Shalom, A.; Oreg, J.; Goldstein, W.H.; Shvarts, D.; Zigler, A. Super-transition-arrays: A model for the spectral analysis of hot, dense plasma. Phys. Rev. A 1989, 40, 3183. [Google Scholar] [CrossRef]
- Huebner, W.F.; Barfield, W.D. Opacity; Springer: Cham, Switzerland, 2014. [Google Scholar]
- Van Hoof, P.A.M.; Williams, R.J.R.; Volk, K.; Chatzikos, M.; Ferland, G.J.; Lykins, M.; Porter, R.L.; Wang, Y. Accurate determination of the free–free gaunt factor–i. non-relativistic gaunt factors. Mon. Not. R. Astron. Soc. 2014, 444, 420–428. [Google Scholar] [CrossRef]
- Gilleron, F.; Pain, J.-C. Efficient methods for calculating the number of states, levels and lines in atomic configurations. High Energy Density Phys. 2009, 5, 320–327. [Google Scholar] [CrossRef]
- Scott, H.A.; Hansen, S.B. Advances in NLTE modeling for integrated simulations. High Energy Density Phys. 2010, 6, 39–47. [Google Scholar] [CrossRef]
- Seaton, M.J.; Yan, Y.; Mihalas, D.; Pradhan, A.K. Opacities for stellar envelopes. Mon. Not. R. Astron. Soc. 1994, 266, 805–828. [Google Scholar] [CrossRef]
- Iglesias, C.A.; Rogers, F.J. Updated OPAL opacities. Astrophys. J. 1996, 464, 943. [Google Scholar] [CrossRef]
- Bar-Shalom, A.; Klapisch, M.; Oreg, J. HULLAC, an integrated computer package for atomic processes in plasmas. J. Quant. Spectrosc. Radiat. Transf. 2001, 71, 169–188. [Google Scholar] [CrossRef]
- Gu, M.F. The flexible atomic code. Can. J. Phys. 2008, 86, 675–689. [Google Scholar] [CrossRef]
- Fontes, C.J.; Zhang, H.L.; Abdallah, J., Jr.; Clark, R.E.H.; Kilcrease, D.P.; Colgan, J.; Cunningham, R.T.; Hakel, P.; Magee, N.H.; Sherrill, M.E. The Los Alamos suite of relativistic atomic physics codes. J. Phys. B: Atom. Mol. Opt. Phys. 2015, 48, 144014. [Google Scholar] [CrossRef]
- Moszkowski, S.A. On the energy distribution of terms and line arrays in atomic spectra. Prog. Theor. Phys. 1962, 28, 1–23. [Google Scholar] [CrossRef]
- Bauche-Arnoult, C.; Bauche, J.; Klapisch, M. Variance of the distributions of energy levels and of the transition arrays in atomic spectra. Phys. Rev. A 1979, 20, 2424. [Google Scholar] [CrossRef]
- Bauche-Arnoult, C.; Bauche, J.; Klapisch, M. Variance of the distributions of energy levels and of the transition arrays in atomic spectra. II. configurations with more than two open subshells. Phys. Rev. A 1982, 25, 2641. [Google Scholar] [CrossRef]
- Bauche-Arnoult, C.; Bauche, J.; Klapisch, M. Variance of the distributions of energy levels and of the transition arrays in atomic spectra. III. case of spin-orbit-split arrays. Phys. Rev. A 1985, 31, 2248. [Google Scholar] [CrossRef]
- Bauche-Arnoult, C.; Bauche, J. Statistical approach to the spectra of plasmas. Phys. Scr. 1992, 1992, 58. [Google Scholar] [CrossRef]
- Nikiforov, A.F.; Novikov, V.G.; Uvarov, V.B. Quantum-Statistical Models of Hot Dense Matter: Methods for Computation Opacity and Equation of State; Springer Science & Business Media: Basel, Switzerland, 2006; Volume 37. [Google Scholar]
- Liberman, D.A. Self-consistent field model for condensed matter. Phys. Rev. B 1979, 20, 4981. [Google Scholar] [CrossRef]
- Wilson, B.; Sonnad, V.; Sterne, P.; Isaacs, W. Purgatorio a new implementation of the Inferno algorithm. J. Quant. Spectrosc. Radiat. Transf. 2006, 99, 658–679. [Google Scholar] [CrossRef]
- Pénicaud, M. An average atom code for warm matter: application to aluminum and uranium. J. Phys. Condens. Matter 2009, 21, 095409. [Google Scholar] [CrossRef] [PubMed]
- Ovechkin, A.A.; Loboda, P.A.; Novikov, V.G.; Grushin, A.S.; Solomyannaya, A.D. RESEOS—A model of thermodynamic and optical properties of hot and warm dense matter. High Energy Density Phys. 2014, 13, 20–33. [Google Scholar] [CrossRef]
- Rozsnyai, B.F. Relativistic Hartree-Fock-Slater calculations for arbitrary temperature and matter density. Phys. Rev. A 1972, 5, 1137–1149. [Google Scholar] [CrossRef]
- Rozsnyai, B.F. Photoabsorption in hot plasmas based on the ion-sphere and ion-correlation models. Phys. Rev. A 1991, 43, 3035. [Google Scholar] [CrossRef] [PubMed]
- Starrett, C.E.; Saumon, D.; Daligault, J.; Hamel, S. Integral equation model for warm and hot dense mixtures. Phys. Rev. E 2014, 90, 033110. [Google Scholar] [CrossRef] [PubMed]
- Blenski, T.; Piron, R. Free-energy functional of the debye–hückel model of two-component plasmas. High Energy Density Phys. 2017, 24, 28–32. [Google Scholar] [CrossRef]
- Wilson, B.G.; Liberman, D.A.; Springer, P.T. A deficiency of local density functionals for the calculation of self-consistent field atomic data in plasmas. J. Quant. Spectrosc. Radiat. Transf. 1995, 54, 857–878. [Google Scholar] [CrossRef]
- Wilson, B.G.; Gilleron, F.; Pain, J.-C. Further stable methods for the calculation of partition functions in the superconfiguration approach. Phys. Rev. E 2007, 76, 032103. [Google Scholar] [CrossRef] [PubMed]
- Gilleron, F.; Pain, J.-C. Stable method for the calculation of partition functions in the superconfiguration approach. Phys. Rev. E 2004, 69, 056117. [Google Scholar] [CrossRef] [PubMed]
- Blancard, C.; Cossé, P.; Faussurier, G. Solar Mixture Opacity Calculations Using Detailed Configuration and Level Accounting Treatments. Astrophys. J. 2012, 745, 10. [Google Scholar] [CrossRef]








© 2018 by the authors. Licensee MDPI, Basel, Switzerland. This article is an open access article distributed under the terms and conditions of the Creative Commons Attribution (CC BY) license (http://creativecommons.org/licenses/by/4.0/).
Share and Cite
Krief, M.; Feigel, A.; Gazit, D. A New Implementation of the STA Method for the Calculation of Opacities of Local Thermodynamic Equilibrium Plasmas. Atoms 2018, 6, 35. https://doi.org/10.3390/atoms6030035
Krief M, Feigel A, Gazit D. A New Implementation of the STA Method for the Calculation of Opacities of Local Thermodynamic Equilibrium Plasmas. Atoms. 2018; 6(3):35. https://doi.org/10.3390/atoms6030035
Chicago/Turabian StyleKrief, Menahem, Alexander Feigel, and Doron Gazit. 2018. "A New Implementation of the STA Method for the Calculation of Opacities of Local Thermodynamic Equilibrium Plasmas" Atoms 6, no. 3: 35. https://doi.org/10.3390/atoms6030035
APA StyleKrief, M., Feigel, A., & Gazit, D. (2018). A New Implementation of the STA Method for the Calculation of Opacities of Local Thermodynamic Equilibrium Plasmas. Atoms, 6(3), 35. https://doi.org/10.3390/atoms6030035

