Symmetric Atom–Atom and Ion–Atom Processes in Stellar Atmospheres
Abstract
1. Introduction
- the case of hydrogen, when and ,
- the case of helium, when and .
2. Chemi-Ionization and Chemi-Recombination Processes
2.1. Solar Atmosphere
2.2. Atmospheres of the DB White Dwarfs.
2.3. Chemi-Ionization Processes in Solar and DB White-Dwarf Atmospheres in the Presence of Mixing Channels
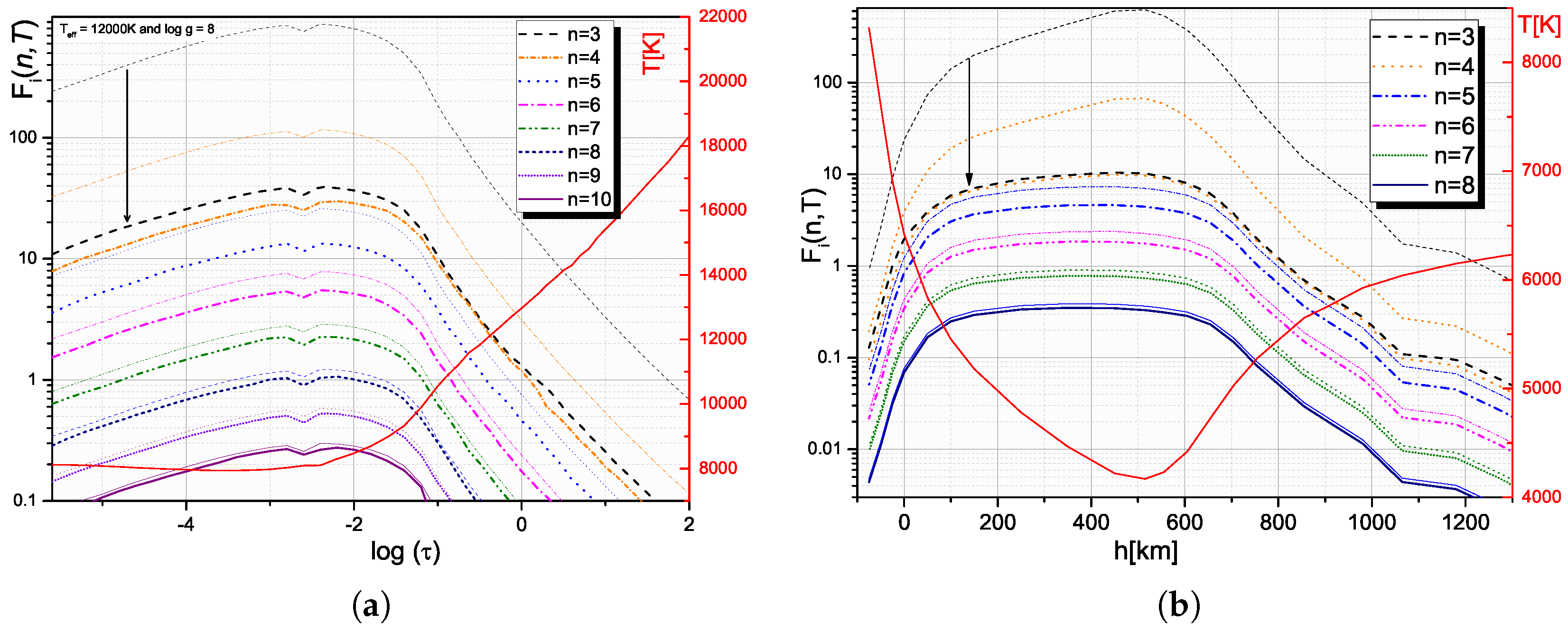
2.4. The Atmospheres of Late Type Dwarfs (M Red Dwarfs)
2.5. Influences of Chemi-Ionization/Recombination Processes on the Hydrogen Spectral Lines in the M Red Dwarf Atmosphere
3. Symmetric Ion–Atom Processes
3.1. Solar Atmosphere: Visible Wavelength Region
3.2. Solar Atmosphere: UV and VUV Wavelength Region
3.3. DB White Dwarf Atmospheres: Visible Wavelength Region
3.4. DB White Dwarf Atmospheres: UV and VUV Wavelength Region
4. Conclusions
Acknowledgments
Author Contributions
Conflicts of Interest
References
- Marinković, B.; Pejčev, V.; Filipović, D.; Šević, D.; Milosavljević, A.; Milisavljević, S.; Rabasović, M.; Pavlović, D.; Maljković, J. Cross section data for electron collisions in plasma physics. J. Phys. Conf. Ser. 2007, 86, 012006. [Google Scholar] [CrossRef]
- Marinković, B.P.; Jevremović, D.; Srećković, V.A.; Vujčić, V.; Ignjatović, L.M.; Dimitrijević, M.S.; Mason, N.J. BEAMDB and MolD—Databases for atomic and molecular collisional and radiative processes: Belgrade nodes of VAMDC. Eur. Phys. J. D 2017, 71, 158. [Google Scholar] [CrossRef]
- Srećković, V.A.; Ignjatović, L.M.; Jevremović, D.; Vujčić, V.; Dimitrijević, M.S. Radiative and Collisional Molecular Data and Virtual Laboratory Astrophysics. Atoms 2017, 5, 31. [Google Scholar] [CrossRef]
- Bezuglov, N.; Borodin, V.; Eckers, A.; Klyucharev, A. A quasi-classical description of the stochastic dynamics of a Rydberg electron in a diatomic quasi-molecular complex. Opt. Spectrosc. 2002, 93, 661–669. [Google Scholar] [CrossRef]
- Bezuglov, N.; Borodin, V.; Klyucharev, A.; Matveev, A. Stochastic dynamics of a Rydberg electron during a single atom–atom ionizing collision. Russ. J. Phys. Chem. 2002, 76, S27–S42. [Google Scholar]
- Boyd, T.; Sanderson, J. The Physics of Plasmas; Cambridge University Press: Cambridge, UK, 2003. [Google Scholar]
- Mason, N. The status of the database for plasma processing. J. Phys. D 2009, 42, 194003. [Google Scholar] [CrossRef]
- Campbell, L.; Brunger, M. Modelling of plasma processes in cometary and planetary atmospheres. Plasma Sources Sci. Technol. 2012, 22, 013002. [Google Scholar] [CrossRef]
- Larimian, S.; Lemell, C.; Stummer, V.; Geng, J.W.; Roither, S.; Kartashov, D.; Zhang, L.; Wang, M.X.; Gong, Q.; Peng, L.Y.; et al. Localizing high-lying Rydberg wave packets with two-color laser fields. Phys. Rev. A 2017, 96, 021403. [Google Scholar] [CrossRef]
- Hauschildt, P.; Baron, E. Cool stellar atmospheres with PHOENIX. Mem. Soc. Astron. Ital. 2005, 7, 140. [Google Scholar]
- Christensen-Dalsgaard, J.; Dappen, W.; Ajukov, S.; Anderson, E.; Antia, H.M.; Basu, S.; Baturin, V.A.; Berthomieu, G.; Chaboyer, B.; Chitre, S.M.; et al. The current state of solar modeling. Science 1996, 272, 1286. [Google Scholar] [CrossRef] [PubMed]
- Fontenla, J.; Curdt, W.; Haberreiter, M.; Harder, J.; Tian, H. Semiempirical models of the solar atmosphere. III. Set of non-LTE models for far-ultraviolet/extreme-ultraviolet irradiance computation. Astrophys. J. 2009, 707, 482. [Google Scholar] [CrossRef]
- Kurucz, R.L. Atlas: A Computer Program for Calculating Model Stellar Atmospheres; SAO Special Report; Smithsonian Astrophysical Observatory: Cambridge, MA, USA, 1970; Volume 309. [Google Scholar]
- Kurucz, R. ATLAS9 Stellar Atmosphere Programs and 2 km/s Grid; Kurucz CD-ROM No. 13; Smithsonian Astrophysical Observatory: Cambridge, MA, USA, 1993; Volume 13. [Google Scholar]
- Gustafsson, B.; Bell, R.; Eriksson, K.; Nordlund, Å. A grid of model atmospheres for metal-deficient giant stars. I. Astron. Astrophys. 1975, 42, 407–432. [Google Scholar]
- Hauschildt, P.H.; Baron, E. A 3D radiative transfer framework-VI. PHOENIX/3D example applications. Astron. Astrophys. 2010, 509, A36. [Google Scholar] [CrossRef]
- Husser, T.O.; Wende-von Berg, S.; Dreizler, S.; Homeier, D.; Reiners, A.; Barman, T.; Hauschildt, P.H. A new extensive library of PHOENIX stellar atmospheres and synthetic spectra. Astron. Astrophys. 2013, 553, A6. [Google Scholar] [CrossRef]
- Hubeny, I.; Hummer, D.; Lanz, T. NLTE model stellar atmospheres with line blanketing near the series limits. Astron. Astrophys. 1994, 282, 151–167. [Google Scholar]
- Hubeny, I.; Lanz, T. Non-LTE line-blanketed model atmospheres of hot stars. 1: Hybrid complete linearization/accelerated lambda iteration method. Astrophys. J. 1995, 439, 875–904. [Google Scholar] [CrossRef]
- Hubeny, I.; Lanz, T. A brief introductory guide to TLUSTY and SYNSPEC. arXiv, 2017; arXiv:1706.01859. [Google Scholar]
- Coppola, C.M.; Galli, D.; Palla, F.; Longo, S.; Chluba, J. Non-thermal photons and H2 formation in the early Universe. Mon. Not. R. Astron. Soc. 2013, 434, 114–122. [Google Scholar] [CrossRef]
- Puy, D.; Dubrovich, V.; Lipovka, A.; Talbi, D.; Vonlanthen, P. Molecular fluorine chemistry in the early Universe. Astron. Astrophys. 2007, 476, 685–689. [Google Scholar] [CrossRef]
- Mihajlov, A.A.; Dimitrijevic, M.S.; Ignjatovic, L.M. The influence of ion–atom radiative collisions on the continuous optical spectra in helium-rich DB white-dwarf atmospheres. Astron. Astrophys. 1994, 287, 1026–1028. [Google Scholar]
- Mihajlov, A.A.; Dimitrijević, M.S.; Ignjatović, L.M.; Djurić, Z. Radiative He+(1s) + He(1s2) Processes as the Source of the DB White Dwarf Atmosphere Electromagnetic Continuous Spectra. Astrophys. J. 1995, 454, 420. [Google Scholar] [CrossRef]
- Mihajlov, A.A.; Jevremović, D.; Hauschildt, P.; Dimitrijević, M.S.; Ignjatović, L.M.; Alard, F. Influence of chemi-ionization and chemi-recombination processes on the population of hydrogen Rydberg states in atmospheres of late type dwarfs. Astron. Astrophys. 2003, 403, 787–791. [Google Scholar] [CrossRef]
- Mihajlov, A.A.; Jevremović, D.; Hauschildt, P.; Dimitrijević, M.S.; Ignjatović, L.M.; Alard, F. Influence of chemi-ionization and chemi-recombination processes on hydrogen line shapes in M dwarfs. Astron. Astrophys. 2007, 471, 671–673. [Google Scholar] [CrossRef]
- Ignjatović, L.M.; Mihajlov, A.A.; Sakan, N.M.; Dimitrijević, M.S.; Metropoulos, A. The total and relative contribution of the relevant absorption processes to the opacity of DB white dwarf atmospheres in the UV and VUV regions. Mon. Not. R. Astron. Soc. 2009, 396, 2201–2210. [Google Scholar] [CrossRef]
- Mihajlov, A.A.; Srećković, V.A.; Ignjatović, L.M.; Klyucharev, A.N. The Chemi-Ionization Processes in Slow Collisions of Rydberg Atoms with Ground State Atoms: Mechanism and Applications. J. Clust. Sci. 2012, 23, 47–75. [Google Scholar] [CrossRef]
- Kilić, M.; von Hippel, T.; Mullally, F.; Reach, W.; Kuchner, M.; Winget, D.; Burrows, A. The mistery deepens: Spitzer observations of cool white dwarfs. Astrophys. J. 2006, 642, 1051. [Google Scholar] [CrossRef]
- Gnedin, Y.N.; Mihajlov, A.A.; Ignjatović, L.M.; Sakan, N.M.; Srećković, V.A.; Zakharov, M.Y.; Bezuglov, N.N.; Klycharev, A.N. Rydberg atoms in astrophysics. New Astron. Rev. 2009, 53, 259–265. [Google Scholar] [CrossRef]
- O’Keeffe, P.; Bolognesi, P.; Avaldi, L.; Moise, A.; Richter, R.; Mihajlov, A.A.; Srećković, V.A.; Ignjatović, L.M. Experimental and theoretical study of the chemi-ionization in thermal collisions of Ne Rydberg atoms. Phys. Rev. A 2012, 85, 052705. [Google Scholar] [CrossRef]
- Lin, C.; Gocke, C.; Röpke, G.; Reinholz, H. Transition rates for a Rydberg atom surrounded by a plasma. Phys. Rev. A 2016, 93, 042711. [Google Scholar] [CrossRef]
- Mihajlov, A.A.; Dimitrijević, M.S.; Djurić, Z. Rate coefficients of collisional H-H∗(n) ionization and H-H+-e and H2+-e recombination. Phys. Scr. 1996, 53, 159–166. [Google Scholar] [CrossRef]
- Mihajlov, A.A.; Ignjatović, L.M.; Vasilijević, M.M.; Dimitrijević, M.S. Processes of H-H+-e and -e recombination in the weakly-ionized layers of the solar atmosphere. Astron. Astrophys. 1997, 324, 1206–1210. [Google Scholar]
- Mihajlov, A.A.; Ignjatović, L.M.; Srećković, V.A.; Dimitrijević, M.S. Chemi-ionization in Solar Photosphere: Influence on the Hydrogen Atom Excited States Population. Astrophys. J. Suppl. Ser. 2011, 193, 2. [Google Scholar] [CrossRef]
- Mihajlov, A.; Ignjatović, L.M.; Dimitrijević, M.; Djurić, Z. Symmetrical chemi-ionization and chemi-recombination processes in low-temperature layers of helium-rich DB white dwarf atmospheres. Astrophys. J. Suppl. Ser. 2003, 147, 369. [Google Scholar] [CrossRef]
- Mihajlov, A.A.; Srećković, V.A.; Ignjatović, L.M.; Dimitrijević, M.S. Atom-Rydberg-atom chemi-ionization processes in solar and DB white-dwarf atmospheres in the presence of (n-n’)-mixing channels. Mon. Not. R. Astron. Soc. 2016, 458, 2215–2220. [Google Scholar] [CrossRef]
- Mihajlov, A.A.; Srećković, V.A.; Ignjatović, L.M.; Klyucharev, A.N.; Dimitrijević, M.S.; Sakan, N.M. Non-Elastic Processes in Atom Rydberg-Atom Collisions: Review of State of Art and Problems. J. Astrophys. Astron. 2015, 36, 623–634. [Google Scholar] [CrossRef]
- Vernazza, J.E.; Avrett, E.H.; Loeser, R. Structure of the solar chromosphere. III - Models of the EUV brightness components of the quiet-sun. Astrophys. J. Suppl. Ser. 1981, 45, 635–725. [Google Scholar] [CrossRef]
- Vidal, C.R.; Cooper, J.; Smith, E.W. Unified theory calculations of Stark broadened hydrogen lines including lower state interactions. J. Quant. Spectrosc. Radiat. Transf. 1971, 11, 263–281. [Google Scholar] [CrossRef]
- Babb, J.F. State resolved data for radiative association of H and H+ and for Photodissociation of . Astrophys. J. Suppl. Ser. 2015, 216, 21. [Google Scholar] [CrossRef]
- Heays, A.; Bosman, A.; van Dishoeck, E. Photodissociation and photoionisation of atoms and molecules of astrophysical interest. Astron. Astrophys. 2017, 602, A105. [Google Scholar] [CrossRef]
- Dubernet, M.; Antony, B.; Ba, Y.; Babikov, Y.L.; Bartschat, K.; Boudon, V.; Braams, B.; Chung, H.K.; Daniel, F.; Delahaye, F.; et al. The virtual atomic and molecular data centre (VAMDC) consortium. J. Phys. B 2016, 49, 074003. [Google Scholar] [CrossRef]
- Mihajlov, A.A.; Dimitrijević, M.S.; Ignjatović, L.M. The contribution of ion–atom radiative collisions to the opacity of the solar atmosphere. Astron. Astrophys. 1993, 276, 187. [Google Scholar]
- Mihajlov, A.A.; Dimitrijević, M.; Ignjatović, L.; Djurić, Z. Spectral coefficients of emission and absorption due to ion–atom radiation collisions in the solar atmosphere. Astron. Astrophys. Suppl. Ser. 1994, 103. [Google Scholar]
- Maltby, P.; Avrett, E.; Carlsson, M.; Kjeldseth-Moe, O.; Kurucz, R.; Loeser, R. A new sunspot umbral model and its variation with the solar cycle. Astrophys. J. 1986, 306, 284–303. [Google Scholar] [CrossRef]
- Mihajlov, A.; Ignjatović, L.M.; Sakan, N.; Dimitrijević, M. The influence of -photo-dissociation and (H + H+)-radiative collisions on the solar atmosphere opacity in UV and VUV regions. Astron. Astrophys. 2007, 469, 749–754. [Google Scholar] [CrossRef]
- Srećković, V.A.; Mihajlov, A.A.; Ignjatović, L.M.; Dimitrijević, M.S. Ion-atom radiative processes in the solar atmosphere: Quiet Sun and sunspots. Adv. Space Res. 2014, 54, 1264–1271. [Google Scholar] [CrossRef]
- Koester, D. Model atmospheres for DB white dwarfs. Astron. Astrophys. Suppl. Ser. 1980, 39, 401–409. [Google Scholar]
- Bergeron, P.; Wesemael, F.; Beauchamp, A. Photometric calibration of hydrogen and helium rich white dwarf models. Publ. Astron. Soc. Pac. 1995, 107, 1047. [Google Scholar] [CrossRef]
- Ignjatović, L.M.; Mihajlov, A.A.; Srećković, V.A.; Dimitrijević, M.S. Absorption non-symmetric ion–atom processes in helium-rich white dwarf atmospheres. Mon. Not. R. Astron. Soc. 2014, 439, 2342–2350. [Google Scholar] [CrossRef]
- Mihajlov, A.A.; Ignjatović, L.M.; Srećković, V.A.; Dimitrijević, M.S.; Metropoulos, A. The non-symmetric ion–atom radiative processes in the stellar atmospheres. Mon. Not. R. Astron. Soc. 2013, 431, 589–599. [Google Scholar] [CrossRef]


















© 2017 by the authors. Licensee MDPI, Basel, Switzerland. This article is an open access article distributed under the terms and conditions of the Creative Commons Attribution (CC BY) license (http://creativecommons.org/licenses/by/4.0/).
Share and Cite
Srećković, V.A.; Ignjatović, L.M.; Dimitrijević, M.S. Symmetric Atom–Atom and Ion–Atom Processes in Stellar Atmospheres. Atoms 2018, 6, 1. https://doi.org/10.3390/atoms6010001
Srećković VA, Ignjatović LM, Dimitrijević MS. Symmetric Atom–Atom and Ion–Atom Processes in Stellar Atmospheres. Atoms. 2018; 6(1):1. https://doi.org/10.3390/atoms6010001
Chicago/Turabian StyleSrećković, Vladimir A., Ljubinko M. Ignjatović, and Milan S. Dimitrijević. 2018. "Symmetric Atom–Atom and Ion–Atom Processes in Stellar Atmospheres" Atoms 6, no. 1: 1. https://doi.org/10.3390/atoms6010001
APA StyleSrećković, V. A., Ignjatović, L. M., & Dimitrijević, M. S. (2018). Symmetric Atom–Atom and Ion–Atom Processes in Stellar Atmospheres. Atoms, 6(1), 1. https://doi.org/10.3390/atoms6010001

