Models of Emission-Line Profiles and Spectral Energy Distributions to Characterize the Multi-Frequency Properties of Active Galactic Nuclei
Abstract
:1. Introduction
2. Results
2.1. AGN Selection from Spectroscopic Surveys
2.2. Emission Lines and Models of AGN Spectral Energy Distributions
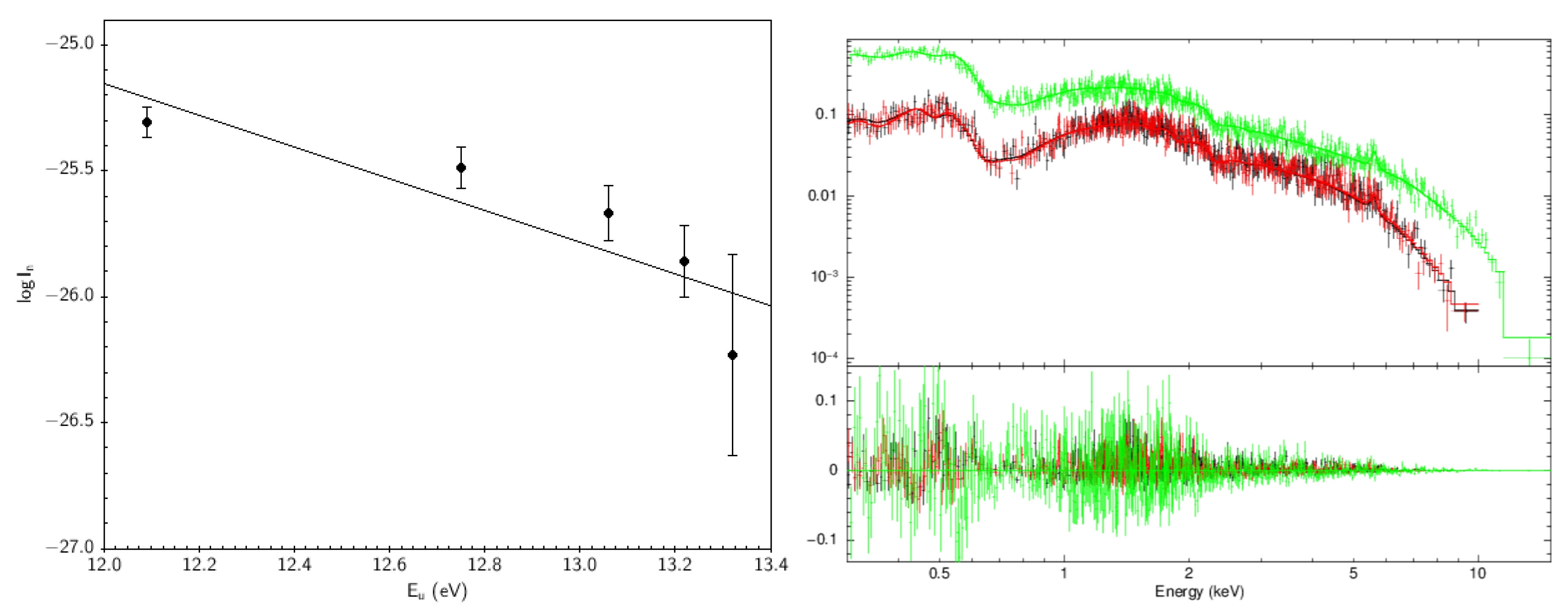
2.3. Multi-Frequency Analysis of the Central Engine
3. Discussion
4. Materials and Methods
- Measurements of emission-line normalized intensities were obtained from public SDSS spectra after extracting the BLR contribution by means of multi-Gaussian fits of the observed line profiles performed with IRAF5.
- Measurements of the ionized-plasma column density, obtained through XSPEC models combining a power-law emission, a soft X-ray thermal excess, an absorption contribution from neutral gas constrained by the H I column density within the Milky Way and an ionized absorber, applied to a 40 ks observation carried out by XMM Newton and reduced with the Science Analysis Software (SAS), version 10.
- The models of SED in multi-frequency AGN data, obtained by applying Levemberg–Marquardt non-linear minimization to combinations of cut-off power laws and black-body contributions.
Acknowledgments
Author Contributions
Conflicts of Interest
Abbreviations
| AGN | Active galactic nucleus |
| BLR | Broad-line region |
| FWHM | Full width at half maximum |
| NGC | New General Catalogue |
| NLR | Narrow-line region |
| PLTE | Partial local thermodynamic equilibrium |
| SED | Spectral energy distribution |
References
- Blandford, R.D. Black hole models of quasars. In Quasars; Swarup, G., Kapahi, V.K., Eds.; D. Reidel Publishing Co.: Dordrecht, The Netherlands, 1986; pp. 359–369. [Google Scholar]
- Seyfert, C.K. Nuclear Emission in Spiral Nebulae. Astrophys. J. 1943, 97, 28–40. [Google Scholar] [CrossRef]
- Elvis, M.; Wilkes, B.J.; McDowell, J.C.; Green, R.F.; Bechtold, J.; Willner, S.P.; Oey, M.S.; Polomski, E.; Cutri, R. Atlas of quasar energy distributions. Astrophys. J. Suppl. 1994, 95, 1–68. [Google Scholar] [CrossRef]
- Khachikian, E.Y.; Weedman, D.W. An atlas of Seyfert galaxies. Astrophys. J. 1974, 192, 581–589. [Google Scholar] [CrossRef]
- Antonucci, R.R.J.; Miller, J.S. Spectropolarimetry and the nature of NGC 1068. Astrophys. J. 1985, 297, 621–632. [Google Scholar] [CrossRef]
- Antonucci, R. Unified models for active galactic nuclei and quasars. Ann. Rev. Astron. Astrophys. 1993, 31, 473–521. [Google Scholar] [CrossRef]
- Urry, C.M.; Padovani, P. Unified Schemes for Radio-Loud Active Galactic Nuclei. Publ. Astron. Soc. Pac. 1995, 107, 803–845. [Google Scholar] [CrossRef]
- Baldwin, J.A.; Phillips, M.M.; Terlevich, R. Classification parameters for the emission-line spectra of extragalactic objects. Publ. Astron. Soc. Pac. 1981, 93, 15–19. [Google Scholar] [CrossRef]
- Veilleux, S.; Osterbrock, D.E. Spectral classification of emission-line galaxies. Astrophys. J. Suppl. 1987, 63, 295–310. [Google Scholar] [CrossRef]
- York, D.G.; Adelman, J.; Anderson, J.E., Jr.; Anderson, S.F.; Annis, J.; Bahcall, N.A.; Bakken, J.A.; Barkhouser, R.; Bastian, S.; Berman, E.; et al. The Sloan Digital Sky Survey: Technical Summary. Anim. Jam 2000, 120, 1579–1587. [Google Scholar] [CrossRef]
- Blanton, M.R.; Bershady, M.A.; Abolfathi, B.; Albareti, F.D.; Allende Prieto, C.; Almeida, A.; Alonso-García, J.; Anders, F.; Anderson, S.F.; Andrews, B.; et al. Sloan Digital Sky Survey IV: Mapping the Milky Way, Nearby Galaxies, and the Distant Universe. Anim. Jam 2017, 154, 28–62. [Google Scholar] [CrossRef]
- Kewley, L.J.; Groves, B.; Kauffmann, G.; Heckman, T. The host galaxies and classification of active galactic nuclei. Mon. Not. R. Astron. Soc. 2006, 372, 961–976. [Google Scholar] [CrossRef]
- Vaona, L.; Ciroi, S.; Di Mille, F.; Cracco, V.; La Mura, G.; Rafanelli, P. Spectral properties of the narrow-line region in Seyfert galaxies selected from the SDSS-DR7. Mon. Not. R. Astron. Soc. 2012, 427, 1266–1283. [Google Scholar] [CrossRef]
- Richards, G.T.; Fan, X.; Newberg, H.J.; Strauss, M.A.; Vanden Berk, D.E.; Schneider, D.P.; Yanny, B.; Boucher, A.; Burles, S.; Frieman, J.A.; et al. Spectroscopic Target Selection in the Sloan Digital Sky Survey: The Quasar Sample. Anim. Jam 2002, 123, 2945–2975. [Google Scholar] [CrossRef]
- Schneider, D.P.; Richards, G.T.; Hall, P.B.; Strauss, M.A.; Anderson, S.F.; Boroson, T.A.; Ross, N.P.; Shen, Y.; Brandt, W.N.; Fan, X.; et al. The Sloan Digital Sky Survey Quasar Catalogue. V. Seventh Data Release. Anim. Jam 2010, 139, 2360–2373. [Google Scholar]
- Moustakas, J.; Kennicutt, R.C., Jr. An Integrated Spectrophotometric Survey of Nearby Star-forming Galaxies. Astrophys. J. Suppl. 2006, 164, 81–98. [Google Scholar] [CrossRef]
- Popović, L.Č. Balmer Lines as Diagnostics of Physical Conditions in Active Galactic Nuclei Broad Emission Line Regions. Astrophys. J. 2003, 599, 140–146. [Google Scholar] [CrossRef]
- Cracco, V.; Ciroi, S.; Berton, M.; Di Mille, F.; Foschini, L.; La Mura, G.; Rafanelli, P. A spectroscopic analysis of a sample of narrow-line Seyfert 1 galaxies selected from the Sloan Digital Sky Survey. Mon. Not. R. Astron. Soc. 2016, 462, 1256–1280. [Google Scholar] [CrossRef]
- Osterbrock, D.E.; Pogge, R.W. The spectra of narrow-line Seyfert 1 galaxies. Astrophys. J. 1985, 297, 166–176. [Google Scholar] [CrossRef]
- Berton, M.; Foschini, L.; Ciroi, S.; Cracco, V.; La Mura, G.; Lister, M.L.; Mathur, S.; Peterson, B.M.; Richards, J.L.; Rafanelli, P. Parent population of flat-spectrum radio-loud narrow-line Seyfert 1 galaxies. Automob. Assoc. 2015, 578, A28. [Google Scholar] [CrossRef]
- Shapovalova, A.I.; Popović, L.Č.; Burenkov, A.N.; Chavushyan, V.H.; Ilić, D.; Kollatschny, W.; Kovačević, A.; Bochkarev, N.G.; Carrasco, L.; León-Tavares, J.; et al. Spectral optical monitoring of 3C 390.3 in 1995–2007. I. Light curves and flux variation in the continuum and broad lines. Automob. Assoc. 2010, 517, A42. [Google Scholar]
- Shapovalova, A.I.; Popović, L.Č.; Burenkov, A.N.; Chavushyan, V.H.; Ilić, D.; Kovačević, A.; Bochkarev, N.G.; León-Tavares, J. Long-term variability of the optical spectra of NGC 4151. II. Evolution of the broad Hα and Hβ emission-line profiles. Automob. Assoc. 2010, 509, A106. [Google Scholar]
- Gaskell, C.M. The case for cases B and C: Intrinsic hydrogen line ratios of the broad-line region of active galactic nuclei, reddenings, and accretion disc sizes. Mon. Not. R. Astron. Soc. 2017, 467, 226–238. [Google Scholar]
- Dong, X.; Wang, T.; Wang, J.; Yuan, W.; Zhou, H.; Dai, H.; Zhang, K. Broad-line Balmer decrements in blue active galactic nuclei. Mon. Not. R. Astron. Soc. 2008, 383, 581–592. [Google Scholar] [CrossRef]
- Heard, C.Z.P.; Gaskell, C.M. The location of the dust causing internal reddening of active galactic nuclei. Mon. Not. R. Astron. Soc. 2016, 461, 4227–4232. [Google Scholar] [CrossRef]
- Taylor, M.B. TOPCAT & STIL: Starlink Table/VOTable Processing Software. In Astronomical Data Analysis Software and Systems XIV; Shopbell, P., Britton, M., Ebert, R., Eds.; Astronomical Society of the Pacific Conference Series: San Francisco, CA, USA, 2003; pp. 29–33. [Google Scholar]
- Condon, J.J.; Cotton, W.D.; Greisen, E.W.; Yin, Q.F.; Perley, R.A.; Taylor, G.B.; Broderick, J.J. The NRAO VLA Sky Survey. Anim. Jam 1998, 115, 1693–1716. [Google Scholar] [CrossRef]
- Helou, G.; Walker, W. (Eds.) Infrared Astronomical Satellite (IRAS) Catalogs and Atlases. Volume 7: The Small Scale Structure Catalog; NASA Scientific and Technical Information Division: Washington, DC, USA, 1988.
- Cutri, R.M.; Wright, E.L.; Conrow, T.; Bauer, J.; Benford, D.; Brandenburg, H.; Dailey, J.; Eisenhardt, P.R.M.; Evans, T.; Fajardo-Acosta, S.; et al. Explanatory Supplement to the WISE All-Sky Data Release Products. Available online: http://wise2.ipac.caltech.edu/docs/release/allsky/expsup/ (accessed on 12 March 2015).
- Skrutskie, M.F.; Cutri, R.M.; Stiening, R.; Weinberg, M.D.; Schneider, S.; Carpenter, J.M.; Beichman, C.; Capps, R.; Chester, T.; Elias, J.; et al. The Two Micron All Sky Survey (2MASS). Anim. Jam 2006, 131, 1163–1183. [Google Scholar] [CrossRef]
- Bianchi, L.; Herald, J.; Efremova, B.; Girardi, L.; Zabot, A.; Marigo, P.; Conti, A.; Shiao, B. GALEX catalogs of UV sources: Statistical properties and sample science applications: Hot white dwarfs in the Milky Way. Astrophys. Space Sci. 2011, 335, 161–169. [Google Scholar] [CrossRef]
- Rosen, S.R.; Webb, N.A.; Watson, M.G.; Ballet, J.; Barret, D.; Braito, V.; Carrera, F.J.; Ceballos, M.T.; Coriat, M.; Della Ceca, R.; et al. The XMM-Newton serendipitous survey. VII. The third XMM-Newton serendipitous source catalogue. Automob. Assoc. 2016, 590, A1. [Google Scholar]
- Bird, A.J.; Bazzano, A.; Bassani, L.; Capitanio, F.; Fiocchi, M.; Hill, A.B.; Malizia, A.; McBride, V.A.; Scaringi, S.; Sguera, V.; et al. The Fourth IBIS/ISGRI Soft Gamma-ray Survey Catalog. Astrophys. J. Suppl. 2010, 186, 1–9. [Google Scholar] [CrossRef]
- Acero, F.; Ackermann, M.; Ajello, M.; Albert, A.; Atwood, W.B.; Axelsson, M.; Baldini, L.; Ballet, J.; Barbiellini, G.; Bastieri, D.; et al. Fermi Large Area Telescope Third Source Catalog. Astrophys. J. Suppl. 2015, 218, 23. [Google Scholar] [CrossRef]
| 1. | |
| 2. | |
| 3. | |
| 4. | |
| 5. |




| Instr. / Catalogue | (Hz) | Band | Reference |
|---|---|---|---|
| NVSS | 9.15 | Radio | [27] |
| IRAS | 12.48–13.40 | FIR | [28] |
| WISE | 13.13–13.94 | FIR | [29] |
| 2MASS | 14.14–14.38 | NIR | [30] |
| GALEX | 15.00–15.30 | UV | [31] |
| XMM | 16.86–17.68 | X-ray | [32] |
| INTEGRAL | 18.70–19.00 | Soft ray | [33] |
| Fermi/LAT | 23.00–26.00 | ray | [34] |
| Object | Function | Norm. | Index | Temp. | |||
|---|---|---|---|---|---|---|---|
| 3C 273 | Power law | – | |||||
| Power law | – | ||||||
| Power law | – | ||||||
| Black body | – | – | – | K | |||
| NGC 1068 | Power law | – | |||||
| Power law | – | ||||||
| Power law | – | ||||||
| Black body | – | – | – | K |
© 2017 by the authors. Licensee MDPI, Basel, Switzerland. This article is an open access article distributed under the terms and conditions of the Creative Commons Attribution (CC BY) license (http://creativecommons.org/licenses/by/4.0/).
Share and Cite
La Mura, G.; Berton, M.; Chen, S.; Chougule, A.; Ciroi, S.; Congiu, E.; Cracco, V.; Frezzato, M.; Mordini, S.; Rafanelli, P. Models of Emission-Line Profiles and Spectral Energy Distributions to Characterize the Multi-Frequency Properties of Active Galactic Nuclei. Atoms 2017, 5, 43. https://doi.org/10.3390/atoms5040043
La Mura G, Berton M, Chen S, Chougule A, Ciroi S, Congiu E, Cracco V, Frezzato M, Mordini S, Rafanelli P. Models of Emission-Line Profiles and Spectral Energy Distributions to Characterize the Multi-Frequency Properties of Active Galactic Nuclei. Atoms. 2017; 5(4):43. https://doi.org/10.3390/atoms5040043
Chicago/Turabian StyleLa Mura, Giovanni, Marco Berton, Sina Chen, Abhishek Chougule, Stefano Ciroi, Enrico Congiu, Valentina Cracco, Michele Frezzato, Sabrina Mordini, and Piero Rafanelli. 2017. "Models of Emission-Line Profiles and Spectral Energy Distributions to Characterize the Multi-Frequency Properties of Active Galactic Nuclei" Atoms 5, no. 4: 43. https://doi.org/10.3390/atoms5040043
APA StyleLa Mura, G., Berton, M., Chen, S., Chougule, A., Ciroi, S., Congiu, E., Cracco, V., Frezzato, M., Mordini, S., & Rafanelli, P. (2017). Models of Emission-Line Profiles and Spectral Energy Distributions to Characterize the Multi-Frequency Properties of Active Galactic Nuclei. Atoms, 5(4), 43. https://doi.org/10.3390/atoms5040043

