Next Article in Journal
Measurement and Flexible Atomic Code (FAC) Computation of Extreme Ultraviolet (EUV) Spectra of Eu
Previous Article in Journal
Solving Time-Dependent Schödinger Equation for Some PT-Symmetric Quantum Mechanical Problems
 
 
Font Type:
Arial Georgia Verdana
Font Size:
Aa Aa Aa
Line Spacing:
Column Width:
Background:
Article

Data-Based Kinematic Viscosity and Rayleigh–Taylor Mixing Attributes in High-Energy Density Plasmas

by
Snezhana I. Abarzhi
1,2,* and
Kurt C. Williams
2
1
Division of Engineering and Applied Science, California Institute of Technology, Pasadena, CA 91125, USA
2
Department of Mathematics and Statistics, The University of Western Australia, Perth, WA 6009, Australia
*
Author to whom correspondence should be addressed.
Atoms 2024, 12(10), 47; https://doi.org/10.3390/atoms12100047
Submission received: 27 May 2024 / Revised: 19 August 2024 / Accepted: 3 September 2024 / Published: 24 September 2024

Abstract

We explore properties of matter and characteristics of Rayleigh–Taylor mixing by analyzing data gathered in the state-of-the-art fine-resolution experiments in high-energy density plasmas. The eminent quality data represent fluctuations spectra of the X-ray imagery intensity versus spatial frequency. We find, by using the rigorous statistical method, that the fluctuations spectra are accurately captured by a compound function, being a product of a power law and an exponential and describing, respectively, self-similar and scale-dependent spectral parts. From the self-similar part, we find that Rayleigh–Taylor mixing has steep spectra and strong correlations. From the scale-dependent part, we derive the first data-based value of the kinematic viscosity in high-energy density plasmas. Our results explain the experiments, agree with the group theory and other experiments, and carve the path for better understanding Rayleigh–Taylor mixing in nature and technology.

1. Introduction

Rayleigh–Taylor instability develops at the interface between two matters (plasmas, fluids, or materials) when the matters of different densities are accelerated against the density gradients [1,2,3,4]. Intense interfacial mixing of the matters ensures with time [5,6,7]. Rayleigh–Taylor instability and Rayleigh–Taylor mixing are a subject of active research, on the side of fundamentals and in the application problems [1,2,3,4,5,6,7,8,9,10,11,12,13,14,15,16,17,18,19,20,21,22,23,24,25,26,27,28,29,30,31,32]. Rayleigh–Taylor instability and Rayleigh–Taylor mixing govern a wide range of processes in nature and technology and are particularly important in high-energy density plasmas [5,6,7,8,9,30,31,32,33,34,35,36,37,38,39,40,41,42,43]. Examples comprise the abundance of chemical elements in supernova remnants, the coronal mass ejections in the solar flares, the formation of hot spots in inertial confinement fusion, and the efficiency of plasma thrusters [5,6,7,8,30,31,32,33,34,35,36,37,38,39,40,41,42,43]. In this work, by exploring data on fluctuations spectra obtained in the state-of-the-art fine-resolution experiments [9], we find the characteristics of Rayleigh–Taylor mixing and the physics properties of matter in high-energy density plasmas, including the data-based value of the kinematic viscosity in high-energy density plasmas.
Rayleigh–Taylor dynamics in high-energy density plasmas is driven by strong variable shocks and/or by a shock and the ablation pressure [8,9,10,11,12]. The post-shock dynamics are a super-position of the background motion of the bulk and the growth of the interface perturbations. The background motion, in which both matters and their interface move together, occurs even for a planar interface and uniform flow fields. The growth of the interface perturbations develops only for a perturbed interface and perturbed flow fields. For detailed information, the reader is referred to works [1,2,3,4,5,6,7,8,9,10,11,12].
In unstable dynamics, the amplitude of the perturbation quickly increases with time. The interface is transformed into a composition of small-scale shear-driven vortical structures and a large-scale coherent structure, with the heavy (light) matter penetrating the light (heavy) matter in bubbles (spikes). The interaction of scales enhances, and the unstable dynamics transition to a state of intense interfacial mixing. For constant acceleration, the amplitude of the mixing layer grows quadratic with time [5,6,7,20,21]. The process of Rayleigh–Taylor interfacial mixing is self-similar, akin the process of Kolmogorov turbulence. It is anisotropic, heterogeneous, and sensitive to deterministic conditions, unlike isotopic, homogenous, and stochastic canonical turbulence. A remarkable success is achieved in comprehending Rayleigh–Taylor dynamics. It is realized that characteristics of Rayleigh–Taylor mixing—scaling laws, spectral shapes, correlations, and fluctuations—differ from those of Kolmogorov turbulence. For detailed information, the reader is referred to works [5,6,7,14,20,21].
In Rayleigh–Taylor mixing driven by a constant acceleration with magnitude g , the length scale L in the direction of the acceleration increases quadratic with time t . As L ~ g t 2 , the associated velocity scale changes linearly with time as v ~ g t . The Reynolds number Re = v L / ν grows cubic with time, as Re ~ g 2 t 3 / ν , where ν is the kinematic viscosity—the transport coefficient of the matter. The rate of dissipation of the specific kinetic energy ε , ε ~ v 3 / L , increases linearly with time as ε ~ g 2 t . Rayleigh–Taylor mixing quickly evolves to a state with large values of the length scale, the velocity scale, the Reynolds number, and the energy dissipation rate ( L , v , Re , ε ) . At these conditions, one may expect Kolmogorov turbulence to be realized. This causes hypothesizing that Rayleigh–Taylor mixing may evolve toward a state of canonical—isotropic, homogeneous, and stochastic—turbulence, and motivates studying the effect of turbulence (presuming it develops) on Rayleigh–Taylor mixing. For detailed information, the reader is referred to works [5,6,7,13,14,15,16,17,18,19,20,21].
The experiment detailed by the authors of [9] examines properties of Rayleigh–Taylor mixing in high-energy density plasmas at the SACLA high-power laser facility; here, the abbreviation SACLA stands for the Spring-8 Angstrom Compact free-electron laser [9]. The key hypothesis in the data viewing is that at a low kinematic viscosity of the matter, Reynolds numbers are high, and Rayleigh–Taylor mixing may approach a state of canonical turbulence [9]. We admire the high quality of the experiments and the great importance and value of experimental data [9]. We find that the experimental data have alternative interpretations, being consistent with the group theory and other experiments, and revealing that Rayleigh–Taylor mixing departs from Kolmogorov turbulence [5,6,7,21,22,23,30,31,32].
We apply the rigorous statistical method [22,23] to explore the available experimental data [9]. We find that the fluctuations spectra in Rayleigh–Taylor mixing are accurately captured by a compound function, being a product of a power law and an exponential and describing, respectively, self-similar parts and scale-dependent spectral parts. From the self-similar part, we find that in Rayleigh–Taylor mixing the fluctuations have spectra steeper than in Kolmogorov turbulence. From the scale-dependent part, we derive the value of the kinematic viscosity in high-energy density plasmas. The outcomes of our study explain the experimental observations, agree with the group theory and other experiments, and carve the path for better understanding Rayleigh–Taylor mixing in nature and technology [5,6,7,21,22,23,30,31,32,33,34,35,36,37,38,39,40,41,42,43].
The manuscript is structured as follows: After the introduction in Section 1, theoretical foundations are outlined in Section 2; the data analysis methodology is in Section 3; he data analysis results are in Section 4; the physics underlying the data is in Section 5, and a brief discussion is detailed in Section 6. Acknowledgement, conflict of interest, and data availability are outlined in Back Matter. Figure 1, Figure 2, Figure 3, Figure 4, Figure 5, Figure 6 and Figure 7 illustrate our results.
Relevant references [1,2,3,4,5,6,7,8,9,10,11,12,13,14,15,16,17,18,19,20,21,22,23,24,25,26,27,28,29,30,31,32,33,34,35,36,37,38,39,40,41,42,43,44,45,46,47,48,49,50,51,52,53,54] are provided; these are the works on the fundamentals of Rayleigh–Taylor dynamics [1,2,3,4,5,6,7]; instabilities in high-energy density conditions in experiments [7,8,9] and simulations [10,11,12]; canonical turbulence [13,14]; Rayleigh–Taylor mixing fundamentals [15]; empirical models of Rayleigh–Taylor mixing [17,18,19]; simulations of Rayleigh–Taylor dynamics [20,21]; the data analysis method [22,23]; turbulence spectra in realistic flows [24,25]; statistics [26]; transport coefficients in plasmas [27,28,29]; high-energy density plasmas in experiments [30,31,32]; application problems in nature and technology [33,34,35,36,37,38,39,40,41,42,43]; diagnostics of high-energy density plasmas [44,45,46,47,48,49]; and Rayleigh–Taylor mixing and turbulent mixing in fluids [50,51,52,53,54].
Relevant references [5,6,7,11,12,15,21,22,23,30] are provided on the authors’ works; these are the works on the characteristics of Rayleigh–Taylor dynamics in theory and experiments [5,6]; fluid instabilities and nucleosynthesis in supernovae [7]; particle simulations of instabilities driven by strong shocks [11,12]; theory, simulations, and experiments of Rayleigh–Taylor dynamics with variable accelerations [15,21,30]; and the statistical method and analysis of data in Rayleigh–Taylor mixing in fluids [22,23].

2. Theoretical Foundations

In canonical Kolmogorov turbulence, the invariant form is the rate of dissipation (i.e., loss) of the specific kinetic energy, ε = ε l , where at the length scale of L ( l ) , the rate of energy dissipation is ε ~ v 3 / L ( ε l ~ v l 3 / l ) and the velocity scale is v ( v l ) . This invariant quantity is akin to the constant power (per unit mass) ε 0 of the external energy source driving canonical turbulence, ε ~ ε 0 , and is the control dimensional parameter of the process. The scale invariance of the energy dissipation rate ε is compatible with the existence of the inertial interval within which the span of scales is ~ Re 3 / 4 , the viscous Kolmogorov scale is l ν ~ ( ν 3 / ε ) 1 / 4 , and the spectral density of fluctuations of the specific kinetic energy is v 2 ~ E ( k ) d k , where E ( k ) ~ ε 2 / 3 k 5 / 3 , with k ~ l 1 being the spatial frequency (wave vector). For more information, see works [13,14].
In Rayleigh–Taylor mixing, the invariant form is the rate of loss of the specific momentum in the direction of the acceleration, μ ~ μ l and μ ~ g , with μ ( μ l ) being μ ~ v 2 / L   ( μ l ~ v l 2 / l ) at the length scale L ( l ) . This invariant quantity is similar to the acceleration g , which is the driver of Rayleigh–Taylor mixing and is the control dimensional parameter of the process. The rate of energy dissipation depends on the length scale L ( l ) as ε ~ v 3 / L ~ μ 3 / 2 L 1 / 2   ( ε l ~ v l 3 / l ~ μ l 3 / 2 l 1 / 2 ) and on the spatial frequency (wave vector) k as ε ~ μ 3 / 2 k 1 / 2 . For detailed information, the reader is referred to works [5,6,7,13,14,15].
By taking into account these invariant and scale-dependent forms, we derive the spectral density of fluctuations of the specific kinetic energy in Rayleigh–Taylor mixing [5,6,7,13,14,15]:
E ( k ) ~ ε 2 / 3 k 5 / 3 ~ ( μ 3 / 2 k 1 / 2 ) 2 / 3 k 5 / 3 ~ μ   k 2     E ( k ) ~ μ   k 2 ~ g   k 2
In conformity with the models outlined in [17,18,19,37], from the relation ε ~ τ   k 4 E 2 between the time scale τ of the process, the spectral density E , and the rate of energy dissipation ε with τ ~   ( g   k ) 1 / 2 ,   ε ~ μ 3 / 2 k 1 / 2 ,   μ ~ g , we obtain the same spectral density in Rayleigh–Taylor mixing:
E   ~ ( ε τ   k 4 ) 1 / 2       E ~ ( ε ( g k ) 1 / 2 k 4 ) 1 / 2 ~ ε 1 / 2 g 1 / 4   k 7 / 4 ~ ( μ 3 / 2 k 1 / 2 ) 1 / 2 μ 1 / 4   k 7 / 4     E ~ μ k 2
It is believed that in canonical turbulence the fluctuations of the density and the specific kinetics have the same spectral shape, E ~ k 5 / 3 [13,14]. Properties of the invariant forms of canonical turbulence and Rayleigh–Taylor mixing suggest another outcome [5,15]. In canonical turbulence, the rate of dissipation of the specific kinetic energy ε is independent of the fluid density ρ 0 . This leads to the spectral shape E ~ ρ 0 ε 0 k 1 of the density fluctuations [5,15]. In Rayleigh–Taylor mixing with constant acceleration g , the rate of loss of specific momentum μ is independent of the fluid density ρ 0 . Per the group theory [5,15], this leads to the spectral shape of the density fluctuations E ~ ρ 0 μ 0 k 1 . These outcomes can be directly linked, and we derive the spectral shape of the density fluctuations in Rayleigh–Taylor mixing [5,15] by using the scale dependence of the energy dissipation rate, ε ~ μ 3 / 2 k 1 / 2 :
E ~ ρ 0 ε 0 k 1     E ~ ρ 0 ( μ 3 / 2 k 1 / 2 ) 0 k 1     E ~ ρ 0 μ 0 k 1
Kolmogorov turbulence is homogeneous and isotropic. Rayleigh–Taylor mixing is heterogeneous and anisotropic. The density fluctuations in these processes have the same spectral shape because in either case the dynamics is specific and is balanced per unit mass (rather than per unit volume). For detailed information, the reader is referred to works [5,15].
Canonical turbulence is a stochastic process with a normal distribution of the velocity fluctuations, v ~ ε 1 / 2 t 1 / 2 [13,14]. By taking into account the time-dependence of the energy dissipation rate ε ~ μ 2 t , we find that in Rayleigh–Taylor mixing the velocity fluctuations are deterministic [5,6,7]:
v 2 ε   t ~ 1     v 2 ( μ 2 t ) t ~ ( v μ t ) 2 ~ 1     v ~ μ t ~ g t
From the Reynolds number Re = v   L / ν   ( Re l = v l   l / ν ) at the length scale L   ( l ) , Re ~ ε 1 / 3 L 4 / 3 / ν   ( Re l ~ ε l 1 / 3 l 4 / 3 / ν ) for v ~ ( ε   L ) 1 / 3   ( v l ~ ( ε l   l ) 1 / 3 ) [13,14], we derive the Reynolds number in Rayleigh–Taylor mixing, with ε ~ μ 3 / 2 L 1 / 2   ( ε l ~ μ l 3 / 2 l 1 / 2 ) ,   μ ~ μ l ~ g , as [5,6,7]:
Re Re l ~ ( ε ε l ) 1 / 3 ( L l ) 4 / 3     Re Re l ~ ( μ 3 / 2 L 1 / 2 μ l 3 / 2 l 1 / 2 ) 1 / 3 ( L l ) 4 / 3 ~ ( μ μ l ) 1 / 2 ( L l ) 3 / 2     Re Re l ~ ( L l ) 3 / 2
Re l ν ε l 1 / 3 l 4 / 3 ~ 1     Re l ν ( μ l 3 / 2 l 1 / 2 ) 1 / 3 l 4 / 3 ~ Re l ν μ l 1 / 2 l 3 / 2 ~ Re l ( ( ν 2 / g ) 1 / 3 l ) 3 / 2 ~ 1     Re l   ( l m l ) 3 / 2 ~ 1  
In Rayleigh–Taylor mixing, the Reynolds number is Re / Re l ~ ( L / l ) 3 / 2 , and the viscous Kolmogorov length scale l ν for Re l ~ 1 is l ν ~ l m . This length scale is comparable to the fastest growing length scale l m ~ ( ν 2 / g ) 1 / 3 with k m ~ l m 1 , as l ν ~ l m ,   k ν ~ k m . The associated time-scale is τ ν ~ ( g k ν ) 1 / 2 , with τ ν ~ τ m , τ m ~ ( ν / g 2 ) 1 / 3 [5,6,7].
At the same time, with a formal substitution of the rate of energy dissipation ε ~ g 2 t into the length scale l ν * ~ ( ν 3 / ε ) 1 / 4 , we obtain, in agreement with [9] and models [17,18,19] referenced therein:
l ν ( ε ν 3 ) 1 / 4 ~ 1     l ν * ( g 2 t ν 3 ) 1 / 4 ~ l ν *   t 1 / 4 ( ν 3 / g 2 ) 1 / 4 ~ l ν * l ν ( t τ ν ) 1 / 4 ~ 1     l ν * l ν ~ ( t τ ν ) 1 / 4  
The empirical models [17,18,19] identify the (ad hoc) length scale l ν * ~ t 1 / 4 by formally considering the energy dissipation rate [5]. This (ad hoc) length scale l ν * ~ l ν ( t / τ ν ) 1 / 4 is linked to the group theory result equations (Equation (5a,b)) by taking into account the invariant form of Rayleigh–Taylor mixing. See Equation (6) above [5,6,7,15].

3. Data Analysis Methodology

Canonical turbulence and Rayleigh–Taylor mixing are self-similar processes [22,23]. Their dynamics are characterized by power laws to be diagnosed in experiments and simulations. A precise identification of a power law requires a substantial span of scales, which is challenging to achieve in observations [13,22,23,24,25]. In realistic environments, the spectral shapes are known to be more complex than a power law [22,23,24,25]. To analyze fluctuations’ spectra in experiments and simulations, a compound function S ~ k α e β k can be applied. The function captures [22,23,24,25] the self-similar dynamics ~ k α at scales K < < k < < k ν   ( L > > l > > l ν ) and the scale-dependent dynamics ~ e β k at scales   k ~ k ν   ( l ~ l ν ) and finds the realistic viscous scale of the process k ν ~ | β 1 | , l ν ~ | β | .
S ~ k α e β k     S ~ k α ,   K / k ν < < k / k ν < < 1 S ~ k α e β k     S ~ e β k ,   k / k ν ~ O ( 1 ) ,   k ν ~ | β 1 |
In the compound function, S ~ k α e β k , the exponential decay factor is β 0 to preempt an ultra-violet catastrophe at high values of k / k ν > > 1 spatial frequencies (wave vectors). The compound function S ~ k α e β k (likewise the power law function S ~ k α ) may have a limited applicability at very large length scales (small wave vectors) L ~ K 1 , with ( L / l ν ) and ( K / k ν ) 0 . The contribution of these scales to fluctuations spectra is usually statistically insignificant due to a finite number of modes [22,23,24,25].
For canonical isotropic homogeneous turbulence, compound functions have been employed to model fluctuations spectra since the 1950s; see the classical works [24,25,51]. In terms of Rayleigh–Taylor mixing, they have been used more recently [22,23].
The state-of-the-art experiments [9] employ X-ray imaging with fine resolution to probe Rayleigh–Taylor mixing in high-energy density plasmas produced at the SACLA facility. The diagnostic outputs are represented as the spectrum of the imagery intensity I versus spatial frequencies (wave vectors) k . Here, the imagery intensity is the intensity of the recorded signal in the image produced by the X-ray [9,13]. To analyze the spectra, we applied the data analysis methodology [22].
For a data model S , in a given interval k ( k l , k r ) with the left (right) k l ( k r ) endpoint, we constructed a maximum likelihood estimation of the model parameters ( α = α ¯ ( 1 ± σ ^ α ) ,   β = β ¯ ( 1 ± σ ^ β ) ) , identified their mean values ( α ¯ , β ¯ ) , standard deviations ( σ α , σ β ) , and relative statistical errors ( σ ^ α = σ α / α ¯ , σ ^ β = σ β / β ¯ ) , and analyzed the residuals [22]. We quantified the goodness-of-fit value by applying the Anderson–Darling test with the score p A D [22,26]. For the residuals, we compared the empirical cumulative distribution function Y and the theoretical cumulative distribution function P of the χ 4 distribution. We employed the χ 4 distribution for the noise that is produced by the real and imaginary parts of an incident X-ray wave and by the real and imaginary parts of an optical path length. We investigated the model dependence on the left (right) endpoint k l   ( k r ) of the range of modes ( k l , k r ) and identified the best-fit interval k ( k l , k r ) . In this interval, the relative statistical errors σ ^ are tolerably small; the goodness-of-fit score p A D is acceptably high; the empirical and theoretical cumulative distribution functions are nearly identical Y ~ P χ 4 ; and the span of scales log 10 ( k r / k l ) is significant [22].

4. Data Analysis Results

Figure 4 of work [9] shows the fluctuations spectra in Rayleigh–Taylor mixing experiments at some instances of time. By visual inspection, the fiducial of the ~ k 5 / 3 Kolmogorov spectrum is given in the interval k ( 0.35 ,   1.5 ) × 10 5   m 1 at Re ~ 5 × 10 6 , albeit the span of scales log 10 ( 1.5 / 0.35 ) ~ 0.6 departs from that in canonical turbulence log 10 Re 3 / 4 ~ 5 . Work [9] considered the ‘knees’ and ‘bumps’ in the fluctuations spectra. The evolution of ‘knees’ is viewed as the time decay of the (ad hoc) viscous scale in the empirical models [17,18,19]. ‘Bumps’ appear to be located near some spatial frequencies.
Figure 1, Figure 2, Figure 3, Figure 4, Figure 5, Figure 6 and Figure 7 illustrate the results of our analysis of data of the fluctuations spectra in Rayleigh–Taylor mixing in state-of-the-art fine-resolution experiments [9] in high-energy density plasmas. We modeled the spectra by using a compound function, S ( k ) ~ k α e β k , and employed the method outlined in [22].
Figure 1 presents our results of modeling the high-quality spectral data in the experiment detailed by the authors of [9] by the compound function S ( k ) ~ k α e β k in the late-time 80   n s Rayleigh–Taylor mixing process. The imagery intensity I —i.e., the intensity of the signal recorded in the image produced by the X-ray [9,13]—was normalized by the data variance, as I / I 0 with I 0 = var ( I ) = σ I 2 . This normalization was applied for an easier graphical comparison between signals with presumably different length scales; it was not enforced in the data modeling procedure; see works [22,23] for further detail. In Figure 1, the image shows the modeled data (red), the spectral shape S ˜ = S + S n o i s e (solid curve), and the data excluded from the fit (gray). The curve S ˜ turns into a constant for high spatial frequencies (wave vectors) with k ~ 10 6   m 1 , which are influenced by the experimental noise S n o i s e . A constant white noise S n o i s e with the level of 10 7 captures well the behavior of the data at the high spatial frequencies (wave vectors).
In Figure 1, the parameters of the function S ( k ) ~ k α e β k have the mean values α ¯ = 1.96 and β ¯ = 0.79 × 10 7   m , the relative errors σ ^ α = 0.10   ( 10 % ) and σ ^ β = 0.25   ( 25 % ) , and the goodness-of-fit score p A D 0.5   ( 50 % ) . The best fit interval is k ( 0.06 ,   3.90 ) × 10 5   m 1 , and it has the span of scales log 10 ( k r / k l ) 1.81 at k r / k l 65 for k l   ( k r ) = 0.06   ( 3.90 ) × 10 5   m 1 .
Figure 2, Figure 3, Figure 4, Figure 5, Figure 6 and Figure 7 illustrate the dependence of the mean values ( α ¯ , β ¯ ) of the compound function S ( k ) ~ k α e β k parameters on the left (right) endpoints k l   ( k r ) of the interval k ( k l ,   k r ) . Figure 2 and Figure 3 present how the qualities ( α ¯ , β ¯ ) range for all the data, free from any restrictions on values of relative errors and goodness-of-fit scores, σ ^ α , β and p A D . Figure 4 and Figure 5 illustrate how the quantities ( α ¯ , β ¯ ) range when some restrictions are applied on the values of relative errors and goodness-of-fit scores, σ ^ α , β < 0.5   ( 50 % ) and p A D > 0.05   ( 5 % ) . Figure 6 and Figure 7 present how the quantities ( α ¯ , β ¯ ) range in the interval with the strictest values of relative errors and goodness-of-fit score, σ ^ α , β < 0.25   ( 25 % ) and p A D > 0.1   ( 10 % ) . An attentive eye may notice ‘uncolored’ spaces in Figure 4, Figure 5, Figure 6 and Figure 7, in contrast to Figure 2 and Figure 3. We keep in the ‘uncolored’ spaces purposefully for illustrating that despite the left (right) endpoints k l   ( k r ) of the interval k ( k l ,   k r ) can vary broadly, the regions k ( k l ,   k r ) with small relative errors and high goodness-of-fit scores are clearly identified. By further applying to these results the criteria of the large span of scales, log 10 ( k r / k l ) > 1 , and the absence of an ultraviolet catastrophe, β ¯ < 0 , and by checking the closeness of the empirical and theoretical cumulative distribution functions, Y P χ 4 , we identify for the compound function S ( k ) ~ k α e β k the best fit interval in the plane ( k l ,   k r ) as k ( 0.06 ,   3.90 ) × 10 5   m 1 . In this interval, the parameters of the compound function are α = 1.96 ( 1 ± 0.10 ) and β = 0.79 ( 1 ± 0.25 ) × 10 7   m with p A D = 0.5   ( 50 % ) . These are the results presented in Figure 1.
For completeness, we briefly outline the dependence of the attributes ( α ¯ , β ¯ , σ ^ α , σ ^ β , p A D ) of the compound function S ( k ) ~ k α e β k on the left (right) endpoints k l   ( k r ) of the interval ( k l ,   k r ) for all unrestricted the data; see Figure 2 and Figure 3.
In the plane ( k l ,   k r ) , the mean values α ¯ range from ~ ( 5.0 ) to ~ ( 0.0 ) ; see Figure 2. The values α ¯ ~ 5.0 are achieved for k r < 1 × 10 5   m 1 with k l < 1 × 10 4   m 1 and k l ~ ( 4 5 ) × 10 4   m 1 . The values α ¯ ~ 0.0 are attained for k r ~ ( 2 3 ) × 10 5   m 1 with k l ~ ( 2 5 ) × 10 4   m 1 . For k r ~ ( 2 5 ) × 10 5   m 1 and k l ~ ( 2 5 ) × 10 4   m 1 , the values are α ¯ ~ ( 0.5 0.0 ) . For small k l < 1.00 × 10 4   m 1 , the α ¯ values increase with an increase in k r , achieving α ¯ ~ 4.5 for k r ~ 1.00 × 10 5   m 1 and α ¯ ~ 2.5 for k r ~ 5.00 × 10 5   m 1 . The α ¯ values overall increase with an increase in k l .
In the plane ( k l ,   k r ) , the values ( β ¯ × 10 7   m 1 ) range from ~ ( 7.0 ) to ~ ( 4.0 ) ; see Figure 3. The values ( β ¯ × 10 7   m 1 ) ~ 4.0 are attained for k r < 1 × 10 5   m 1 with k l < 1 × 10 4   m 1 and k l ~ ( 4 5 ) × 10 4   m 1 . The values ( β ¯ × 10 7   m 1 ) ~ ( 7.0 ) are reached for k r < < 1 × 10 5   m 1 and k l ~ 3 × 10 4   m 1 . For k r ~ ( 1.5 3.5 ) × 10 5   m 1 and k l ~ ( 2 5 ) × 10 4   m 1 , the ( β ¯ × 10 7   m 1 ) values range from ~ ( 2.0 ) to ~ ( 3.0 ) . For k l < 1 × 10 4   m 1 , the values ( β ¯ × 10 7   m 1 ) decrease with an increase in k r , achieving ( β ¯ × 10 7   m 1 ) ~ 3.5 at k r ~ 1.5 × 10 5   m 1 and ( β ¯ × 10 7   m 1 ) ~ 0.0 at k r ~ 3 × 10 5   m 1 . The ( β ¯ × 10 7   m 1 ) values overall decrease with an increase in k l and overall increase with an increase in k r .
The σ ^ α uncertainty (the α relative error), the σ ^ β uncertainty (the β relative error), and the goodness-of-fit score p A D have the following properties in the plane ( k l ,   k r ) : The relative errors σ ^ α are relatively small for small k l , σ ^ α < 10 % for k l < 1 × 10 4   m 1 . and they sharply increase with an increase in k l , σ ^ α ~ ( 50 100 ) % for k l > > 1 × 10 4   m 1 . The relative errors σ ^ β are relatively small, σ ^ β < 50 % , in the regions k l < 1 × 10 4   m 1 with k r < 2 × 10 5   m 1 and k l ~ ( 1 5 ) × 10 4   m 1 with k r ~ ( 2 5 ) × 10 5   m 1 ; they are high, σ ^ β ~ ( 50 100 ) % , for k l ~ ( 1 5 ) × 10 4   m 1 with k r < 1.5 × 10 5   m 1 and for k l < 1 × 10 4   m 1 with k l ~ ( 2.5 3.5 ) × 10 5   m 1 . The goodness-of-fit scores, p A D , have acceptably high values of p A D > 0.1 ( 10 % ) in the following domains: for k l < 1 × 10 4   m 1 with k r < 1.00 × 10 5   m 1 ; for k l ~ 1.00 × 10 4   m 1 with k r ~ 1.5 × 10 5   m 1 ; and for k l ~ 1.00 × 10 4   m 1 with k r ~ 3.5 × 10 5   m 1 .
Figure 1 illustrates that the compound function S ( k ) ~ k α e β k , with α = 1.96 ( 1 ± 0.10 ) and β = 0.79 ( 1 ± 0.25 ) × 10 7   m , accurately captures the experimental data in a broad interval k ( 0.06 ,   3.90 ) × 10 5   m 1 with the substantial span of scales log 10 ( k r / k l ) = 1.81 . For consistency, we also present in Figure 1 the fiducial data fit in Figure 4 of work [9]: The gray dashed line marks the ~ k 5 / 3 fiducial; the gray squares mark the endpoints of the ~ k 5 / 3 fit for the interval k ( 0.35 ,   1.50 ) × 10 5   m 1 , in which the span of scales is log 10 ( 1.5 / 0.35 ) = 0.6 at k r / k l 4.3 ; the gray circle marks the spatial frequency of the ‘knee’ k 1.6 × 10 5   m 1 ; and the gray triangle marks the spatial frequency of the ‘bump’ k ~ ( 2.5 , 3.0 ) × 10 5   m 1 .
Our data analysis shows that, similarly to the spectral characteristics in turbulence and Rayleigh–Taylor mixing, one may hypothesize that ‘knees’ may be viewed as a transition from scale-invariant ~ k α to scale-dependent ~ e β k dynamics, S ~ k α e β k ; ‘bumps’ are the Fourier transform features at high spatial frequencies (similar bumps are observed in turbulence and Rayleigh–Taylor mixing [9,22,23,50]).
Our data modeling with the compound function S ~ k α e β k takes into account the potential contributions of ‘knees’ and ‘bumps’ to the fluctuations spectra and examines a broader range of spatial frequencies than that presented in Figure 4 of work [9]. The compound function S ~ k α e β k with α , β < 0 (as well as the power law S ~ k α with α < 0 and the exponential S ~ e β k with β < 0 ) decays monotonously with k . Hence, in observations, the fluctuations spectra are expected to be free from well-defined ‘extreme’ points. Per the experimental data [9], Figure 1 illustrates that positions of the ‘knee’ and the ‘bump’ may be challenging to unambiguously define. Per the group theory of Rayleigh–Taylor mixing [5,6,7,15], in agreement with the classical works [13,14], the viscous scale is finite and is comparable to the fastest growing scale, as l ν ~ ( ν 2 / μ ) 1 / 3 ~ ( ν 2 / g ) 1 / 3 (Equation (5a,b)) [5,6,7,15]. In the empirical models [17,18,19], the time-dependence of the (ad hoc) viscous scale l ν * ~ l ν ( t / τ ν ) 1 / 4 is due to a formal substitution of the time-dependence of the energy dissipation rate; see Equation (6) [5].

5. Physics of the Data

Our analysis finds the characteristics of Rayleigh–Taylor mixing and the physics properties of high-energy density plasmas from the data of the late-time 80   n s fluctuations spectra in the experiments [9]. They agree with the group theory result equations (Equations (1)–(4)) [5,6,7,15].
In the function S ~ k α e β k , the power law exponent α ¯ 1.96 agrees with the theoretical value α = 2 in the spectral density E ( k ) ~ μ   k 2 (Equations (1) and (2)) [5,6,7,15]. This suggests that the characteristics of Rayleigh–Taylor mixing are consistent with those found by the group theory [5,6,7,15]: (i) Rayleigh–Taylor mixing is quantified by the acceleration g and the amplitude growth L . (ii) The rate of momentum loss μ ,   μ ~ g , is the invariant form of Rayleigh–Taylor mixing. (iii) Rayleigh–Taylor mixing and canonical turbulence are distinct processes.
In Rayleigh–Taylor mixing with constant acceleration g , the length scale L increases with time as L = ( a / 2 ) g t 2 , with factor a depending on the density ratio and on the flow drag [5,6,7,20,21]. From the experimental data [9], with L 10 2   μ m at t 70 ns , the effective acceleration ( a g ) = 2 L / t 2 and the velocity v = ( a g ) t are as follows:
( a g ) = 2 L t 2 2 × 10 2 × 10 6   m ( 70 × 10 9 s ) 2 4 × 10 10 m s 2 ,   v = 2 L t 2 × 10 2 × 10 6   m 70 × 10 9 s 3 × 10 3 m s
In the function S ~ k α e β k , the exponential decay factor β ¯ 0.79 × 10 7   m defines for the realistic Rayleigh–Taylor mixing process the viscous scale as l ν = | β ¯ | and the Reynolds number Re = ( L / l ν ) 3 / 2 as follows:
l ν = | β | | 0.79 × 10 7   m | 0.79 × 10 7   m ,   Re = ( L l ν ) 3 / 2 ( 10 2 × 10 6 m 0.79 × 10 7 m ) 3 / 2 5 × 10 4
From the equation ν = L v / Re , we find the kinematic viscosity in high-energy density plasmas:
ν = ( L ν R e ) ( 10 2 × 10 6   m ) ( 3 × 10 3 m / s ) 5 × 10 4 6 × 10 4 m 2 s
This value is consistent with values ν ( 4 6 ) × 10 6   m 2 s 1 estimated in work [27].
To cross-check the result in Equation (10), we identify the fastest growing length scale in Rayleigh–Taylor dynamics by using the effective acceleration and the kinematic viscosity l m ( ν 2 / a g ) 1 / 3 :
l m = ( ν 2 ( a g ) ) 1 / 3   ( 6 × 10 6   m 2 / s ) 2 / 3 ( 4 × 10 10   m / s 2 ) 1 / 3 0.97 × 10 7   m
Per Equations (9) and (11), the length scale set by the exponential decay factor l ν | β ¯ | is comparable to the length-scale l m ( ν 2 / a g ) 1 / 3 of the fastest growing mode, l m ~ l ν , in agreement with the group theory [5,6,7,15]. The span of scales, with log 10 ( k r / k l ) 2 for ( k l , k r ) =   ( 0.06 , 3.90 ) × 10 5   m 1 , compares reasonably to the group theory prediction, log 10 ( Re 2 / 3 ) 3 for Re 5 × 10 4 .
Our data analysis suggests that the high Reynolds numbers ( Re ~ 10 6 , Re ~ 10 7 ) reported in work [9] are rather associated with a hypothesis of a low viscosity ν ~ 10 8   m 2 s 1 . This (open source) paper [9] gives in Tables 1 and 2 the estimates for the Reynolds numbers and the kinematic viscosity.
For the purpose of illustration, we reproduced the nominal value of the Reynolds number Re ~ 6 × 10 6 in Table 2 from work [9]. We used the low viscosity value ν 5 × 10 8   m 2 s 1 postulated in Table 1 from work [9] and the experimental data for the amplitude growth L 10 2   μ m at the time t 70   ns with the velocity v 3 × 10 3   m / s Equation (8). This leads to the following:
Re = v L ν ( 100 × 10 6   m ) ( 3 × 10 3   m / s ) 5 × 10 8   m 2 / s = 6 × 10 6
This is in agreement with Table 2 in work [9].
We can further increase the nominal value of the Reynolds number, Re ~ 10 7 , by using the low kinematic viscosity ν 5 × 10 8   m 2 s 1 and the characteristics of the background motion—the interface position ~ 4 × 10 2   μ m and the interface velocity ~ 6 × 10 3   ms 1 :
Re = v L ν ( 4 × 100 × 10 6   m ) ( 6 × 10 3   m / s ) 5 × 10 8   m 2 / s = 5 × 10 7
This is in agreement with Table 1 in work [9]. We believe that the use of the background motion is peripheral for understanding the phenomenon of Rayleigh–Taylor mixing in high-energy density plasmas [5,6,7,11,12]. This is because the post-shock background motion of both fluids and their interface occurs even for a planar interface and uniform flow fields [1,2,3,4,5,6,7,8,9,10,11,12]. The instability develops only for a perturbed interface and/or perturbed flow fields [1,2,3,4,5,6,7,8,9,10,11,12]. In the frame of reference of the velocity of the background motion, Rayleigh–Taylor mixing is set by the acceleration and the amplitude growth g ,   L , and it is interfacial, with intense fluid motion near the interface and with effectively no fluid motion far away from the interface [5,6,7,11,12].
For completeness, we estimate the exponential decay factor | β | required for achieving the viscosity value ν 5 × 10 8   m 2 s 1 in Table 1 in work [9]. We used the experimental data for the amplitude growth L 10 2   μ m at the time t 70 ns with the effective acceleration ( a g ) 4 × 10 10   m s 2 and employed Equations (5a,b), (8) and (9):
| β ¯ | l ν ( ν 2 ( a g ) ) 1 / 3 ( 5 × 10 8   m 2 / s ) 2 / 3   ( 4 × 10 10 m / s 2 ) 1 / 3 4 × 10 9 m  
This value is in ~ 4 × 10 2 folds smaller than the value | β | 1 × 10 7   m obtained through the analysis of the experimental data; see Figure 1.
Consider now another interpretation of our data analysis results. Take into account that in the late-time 80 ns Rayleigh–Taylor mixing in the experiments [9], in the compound function spectral shape S ~ k α e β k with α ¯ = 1.96 and β ¯ = 0.79 × 10 7   m , the exponent α ¯ = 1.96 departs only on ~ 18 % from the exponent ( 5 / 3 ) of canonical Kolmogorov turbulence. Suppose that Rayleigh–Taylor mixing approaches a state of canonical turbulence. Then, per the classical work [14], the Reynolds number scales as Re = ( L / l ν ) 4 / 3 . Per the classical work [24], the realistic viscous scale of the process l ν | β | is defined by the exponential decay factor of the spectral shape S ~ k α e β k . By using the experimental data [9] for the amplitude growth L 10 2   μ m with the velocity v 3 × 10 3   m / s at the time t 70   ns in Equation (8), we obtain the Reynolds number and the kinematic viscosity as:
Re = ( L l ν ) 4 / 3     Re ( L | β | ) 4 / 3 ( 10 2 × 10 6   m 0.79 × 10 7   m ) 4 / 3 1.4 × 10 4
ν = L v Re     ν ( 10 2 × 10 6   m ) ( 3 × 10 3   m / s ) ( 1.4 × 10 4 ) 2 × 10 5 m 2 s
We highlight that the interpretation equations (Equation (15a,b)) purposefully omit the group theory of Rayleigh–Taylor mixing, consider only the classical theories [14,24] of isotropic homogeneous turbulence, and use the experimental data-based values of the amplitude growth, the velocity, and the exponential decay factor. The turbulent interpretation equations (Equation (15a,b)) lead to a substantially greater (smaller) value of the kinematic viscosity (Reynolds number) than the group theory-based result in Equations (9) and (10).
The group theory of Rayleigh–Taylor mixing is consistent with and explains the experiments in fluids by the founder of the field, Dr. Meshkov, at the Reynolds numbers up to 3.2 × 10 6 [6,52,54], the experiments in high-energy density plasmas at the Omega Facility [30], as well as the fluctuations spectra in Rayleigh–Taylor mixing in the experiments in fluids [22,23,50] and in the numerical simulations [5,53]. Our data modeling of the fluctuations spectra in high-energy density plasmas [9] in the present work is consistent with the data analysis results of the fluctuations spectra in the experiments in fluids [22,23,50] and in the numerical simulations [5,53]. Moreover, in these very different environments, the fluctuations spectra in Rayleigh–Taylor mixing have in common a number of characteristics [5].
Particularly, (1) the fluctuations are accurately captured by the compound function S ~ k α e β k in a broad interval k ( k l , k r ) with the substantial span of scales log 10 ( k r / k l ) , i.e., log 10 ( k r / k l ) ~ ( 1.6 1.8 ) . (2) The Reynolds numbers are the same order of magnitude, i.e., Re ~ ( 2 5 ) × 10 4 , and the span of scales ~ log 10 ( k r / k l ) in the compound spectral shapes is consistent with the group theory prediction ~ log 10 Re 3 / 2 . (3) For the specific kinetic energy in the acceleration direction, the exponents α agree with the group theory value ( 2 ) . (4) The exponential decay factors | β | and the viscous scale l ν are comparable to the fastest-growing scale l m , as found by the group theory. (5) For the density fluctuations, the exponents α are consistent with the group theory value ( 1 ) . (6) The ~ k 5 / 3 fiducial can be fitted in a narrow interval k ( k l , k r ) with a short span of scales log 10 ( k r / k l ) , i.e., log 10 ( k r / k l ) ~ ( 0.5 0.6 ) , strongly departing from the prediction of Kolmogorov theory log 10 Re 3 / 4 . For detailed information, the reader is referred to work [5] and the references therein.
Hence, we conclude that the group theory competently captures the physics of the matter and the attributes of Rayleigh–Taylor mixing in high-energy density plasmas.

6. Outcomes and Conclusions

Our work discovers the properties of matter and the attributes of Rayleigh–Taylor mixing in high-energy density plasmas on the basis of the rigorous analysis and the accurate interpretation of data in the state-of-the-art fine-resolution experiment [9], Equations (1)–(14), Figure 1, Figure 2 and Figure 3.
The properties of matter in high-energy density plasma are a subject to active research [8,34,35,36,41,42,43,44,45,46,47,48,49]. The transport coefficients are a long-standing puzzle [27,28,29]. We find the value of the kinematic viscosity ν ~ 6 × 10 6   m 2 s 1 directly from the experimental data [9], Equation (10), Figure 2. Remarkably, this kinematic viscosity in high-energy density plasmas ν ~ 6 × 10 6   m 2 s 1 is smaller than that in nearly ideal gases, ~ 10 5   m 2 s 1 [50], and is greater than that in ordinary liquids, ~ 10 6   m 2 s 1 [13].
We find that the characteristics of Rayleigh–Taylor mixing in the experiments [9] are consistent with the group theory and other experiments, Equations (1)–(6) [5,6,7,15,21,22,23,30]. This stimulates further studies of Rayleigh–Taylor dynamics in high-energy density plasmas, including the observation of anisotropy of Rayleigh–Taylor mixing at small scales, the examination of sensitivity of Rayleigh–Taylor mixing to initial conditions, the exploration of variable acceleration effects on Rayleigh–Taylor mixing [5,6,7,11,12,21,30].
The outcomes of our work open new venues of research of Rayleigh–Taylor dynamics in nature and technology. Particularly in supernovae, one can better comprehend the nucleosynthesis mechanisms by taking into account Rayleigh–Taylor mixing-driven explosion hydrodynamics [7,8,10,30,31,32,33]. In plasma fusion (at, e.g., the National Ignition Facility), one can tighter control Rayleigh–Taylor mixing by using the capabilities in the pulse shaping and the target fabrication [41,42,43]. Our method and results can be used to analyze data in a broad range of processes to which Rayleigh–Taylor dynamics are relevant [5,6,7,8,30,31,32,33,34,35,36,37,38,39,40,41,42,43,44,45,46,47,48,49,50,51].
To conclude, we used the group theory [5,6,7,15,21] and the data analysis method [22,23] to explore the characteristics of Rayleigh–Taylor mixing and the properties of matter in high-energy density plasma in the fine-resolution experiments [9]. The experimental data have high quality, importance, and value [9]. The group theory of Rayleigh–Taylor mixing is consistent with the theory of canonical turbulence and reproduces results of other phenomenological models, Equations (1)–(6) [5,6,7,13,14,15,16,17,18,19,20]. The rigorous data analysis method captures accurately and with statistical confidence the fluctuations spectra in Rayleigh–Taylor mixing in the experiments [9], Equations (7)–(14), Figure 1, Figure 2 and Figure 3 [22,23]. We find that in high-energy density plasmas Rayleigh–Taylor mixing has strong correlations, steep spectra, and a finite viscous scale, and it differs from Kolmogorov turbulence (Figure 1, Figure 2 and Figure 3). We identify the data-based value of the kinematic viscosity in high-energy density plasmas, Equation (10) and Figure 2. Our results explain the observations [9] and exhibit their conformity with the group theory and other experiments [5,6,7,15,20,21,22,23,30,50].

Author Contributions

Conceptualization, S.I.A.; methodology, S.I.A.; software, K.C.W.; validation, K.C.W.; formal analysis, S.I.A.; investigation, S.I.A. and K.C.W.; resources, S.I.A.; data curation, K.C.W.; writing—original draft preparation, S.I.A.; writing—review and editing, S.I.A.; visualization, S.I.A. and K.C.W.; supervision, S.I.A.; project administration, S.I.A.; funding acquisition, S.I.A. All authors have read and agreed to the published version of the manuscript.

Funding

This research was funded by the National Science Foundation (United States of America) grant number 1404449, and by the Australian Research Council (Australia) grant number LE220100132.

Data Availability Statement

The methods, results, and data presented in this work are available for the readers of this paper.

Acknowledgments

We warmly thank Gabriel Rigon for sharing with us the experimental data of great quality, importance, and value.

Conflicts of Interest

The authors declare no conflicts of interest.

References

  1. Rayleigh, L. Investigations of the character of the equilibrium of an incompressible heavy fluid of variable density. Proc. Lond. Math. Soc. 1883, 14, 170–177. [Google Scholar] [CrossRef]
  2. Davies, R.M.; Taylor, G.I. The mechanics of large bubbles rising through extended liquids and through liquids in tubes. Proc. R. Soc. A 1950, 200, 375. [Google Scholar]
  3. Richtmyer, R.D. Taylor instability in shock acceleration of compressible fluids. Commun. Pure Appl. Math. 1960, 13, 297. [Google Scholar] [CrossRef]
  4. Meshkov, E.E. Instability of the interface of two gases accelerated by a shock. Sov. Fluid. Dyn. 1969, 4, 101–104. [Google Scholar] [CrossRef]
  5. Abarzhi, S.I. Review of theoretical modeling approaches of Rayleigh-Taylor instabilities and turbulent mixing. Phil. Trans. R. Soc. A 2010, 368, 1809. [Google Scholar] [CrossRef]
  6. Meshkov, E.E.; Abarzhi, S.I. On Rayleigh-Taylor interfacial mixing. Fluid Dyn. Res. 2019, 51, 065502. [Google Scholar] [CrossRef]
  7. Abarzhi, S.I.; Bhowmick, A.K.; Naveh, A.; Pandian, A.; Swisher, N.C.; Stellingwerf, R.F.; Arnett, W.D. Supernova, nuclear synthesis, fluid instabilities and mixing. Proc. Natl. Acad. Sci. USA 2019, 116, 18184. [Google Scholar] [CrossRef]
  8. Remington, B.A.; Park, H.-S.; Casey, D.T.; Cavallo, R.M.; Clark, D.S.; Huntington, C.M.; Kuranz, C.C.; Miles, A.R.; Nagel, S.R.; Raman, K.S.; et al. Rayleigh–Taylor instabilities in high-energy density settings on the National Ignition Facility. Proc. Natl. Acad. Sci. USA 2019, 116, 18233. [Google Scholar] [CrossRef]
  9. Rigon, G.; Albertazzi, B.; Pikuz, T.; Mabey, P.; Bouffetier, V.; Ozaki, N.; Vinci, T.; Barbato, F.; Falize, E.; Inubushi, Y.; et al. Micron-scale phenomena observed in a turbulent laser-produced plasma. Nat. Commun. 2021, 12, 2679. [Google Scholar] [CrossRef]
  10. Kane, J.; Arnett, W.D.; Remington, B.A.; Glendinning, S.G.; Bazan, G.; Drake, R.P.; Fryxell, B.A. Supernova Experiments on the Nova Laser. Astrophys. J. Suppl. Ser. 2000, 127, 365–369. [Google Scholar] [CrossRef][Green Version]
  11. Dell, Z.; Pandian, A.; Bhowmick, A.K.; Swisher, N.C.; Stanic, M.; Stellingwerf, R.F.; Abarzhi, S.I. Maximum initial growth-rate of strong-shock-driven Richtmyer-Meshkov instability. Phys. Plasmas 2017, 24, 090702. [Google Scholar] [CrossRef]
  12. Pandian, A.; Stellingwerf, R.F.; Abarzhi, S.I. Effect of wave interference on nonlinear dynamics of Richtmyer-Meshkov flows. Phys. Rev. Fluids 2017, 2, 073903. [Google Scholar] [CrossRef]
  13. Landau, L.D.; Lifshitz, E.M. Theory Course I-X; Pergamon Press: New York, NY, USA, 1987. [Google Scholar]
  14. Kolmogorov, A.N. Energy dissipation in locally isotropic turbulence. Dokl. Akad. Nauk. SSSR 1941, 32, 19. [Google Scholar]
  15. Abarzhi, S.I.; Sreenivasan, K.R. Self-similar Rayleigh-Taylor mixing with accelerations varying in time and space. Proc. Natl. Acad. Sci. USA 2022, 119, e2118589119. [Google Scholar] [CrossRef] [PubMed]
  16. Neuvazhaev, V.E. Theory of turbulent mixing. Sov. Phys. Dokl. 1975, 20, 398. [Google Scholar]
  17. Zhou, Y. A scaling analysis of turbulent flows driven by Rayleigh-Taylor and Richtmyer-Meshkov instabilities. Phys. Fluids 2001, 13, 538. [Google Scholar] [CrossRef]
  18. Chertkov, M. Phenomenology of Rayleigh-Taylor turbulence. Phys. Rev. Lett. 2003, 91, 115001. [Google Scholar] [CrossRef]
  19. Ristorcelli, J.R.; Clark, T.T. Rayleigh–Taylor turbulence: Self-similar analysis and direct numerical simulations. J. Fluid. Mech. 2004, 507, 213. [Google Scholar] [CrossRef]
  20. Glimm, J.; Sharp, D.H.; Kaman, T.; Lim, H. New directions for Rayleigh–Taylor mixing. Phil. Trans. R. Soc. A 2013, 371, 20120183. [Google Scholar] [CrossRef][Green Version]
  21. Chan, W.H.R.; Jain, S.S.; Hwang, H.; Naveh, A.; Abarzhi, S.I. Theory and simulations of scale-dependent Rayleigh-Taylor dynamics. Phys. Fluids 2023, 35, 034106. [Google Scholar] [CrossRef]
  22. Williams, K.C.; Abarzhi, S.I. Fluctuations spectra of specific kinetic energy, density and mass flux in Rayleigh-Taylor mixing. Phys. Fluids 2022, 34, 12211. [Google Scholar] [CrossRef]
  23. Pfefferle, D.; Abarzhi, S.I. Whittle maximum likelihood estimate of spectral properties of Rayleigh-Taylor interfacial mixing using hot-wire anemometry experimental data. Phys. Rev. E 2020, 102, 053107. [Google Scholar] [CrossRef] [PubMed]
  24. Kraichnan, R.H. The structure of isotropic turbulence at very high Reynolds numbers. J. Fluid. Mech. 1959, 5, 497. [Google Scholar] [CrossRef]
  25. Buaria, D.; Sreenivasan, K.R. Dissipation range of the energy spectrum in high Reynolds number turbulence. Phys. Rev. Fluids 2020, 5, 092601. [Google Scholar] [CrossRef]
  26. Anderson, T.W.; Darling, D.A. A test of goodness-of-fit. J. Am. Stat. Assoc. 1954, 49, 765–769. [Google Scholar] [CrossRef]
  27. Robey, H.F. Effects of viscosity and mass diffusion in hydro-dynamically unstable plasma flows. Phys. Plasmas 2004, 11, 4123. [Google Scholar] [CrossRef]
  28. Braginski, S.I. Reviews of Plasma Physics; Consultants Bureau: New York, NY, USA, 1965; p. 2056. [Google Scholar]
  29. Clerouin, J.G.; Cherfi, M.H.; Zerah, G. The viscosity of dense plasmas mixtures. Europhys. Lett. 1998, 42, 37. [Google Scholar] [CrossRef]
  30. Swisher, N.C.; Kuranz, C.; Arnettt, W.D.; Hurricane, O.; Robey, H.; Remington, B.A.; Abarzhi, S.I. Rayleigh-Taylor mixing in supernova experiments. Phys. Plasmas 2015, 22, 102707. [Google Scholar] [CrossRef]
  31. Lugomer, S. Laser and astrophysical plasmas and analogy between similar instabilities. Atoms 2024, 12, 23. [Google Scholar] [CrossRef]
  32. Lugomer, S. Laser-generated Richtmyer–Meshkov and Rayleigh–Taylor instabilities in a semiconfined configuration: Bubble dynamics in the central region of the Gaussian spot. Phys. Scr. 2019, 94, 015001. [Google Scholar] [CrossRef]
  33. Baade, W.; Zwicky, F. On super-novae. Proc. Natl. Acad. Sci. USA 1934, 20, 254–259. [Google Scholar] [CrossRef] [PubMed]
  34. Zhakhovsky, V.V.; Kryukov, A.P.; Levashov, V.Y.; Shishkov, I.N.; Anisimov, S.I. Mass and heat transfer between evaporation and condensation surfaces: Atomistic simulation and solution of Boltzmann kinetic equation. Proc. Natl. Acad. Sci. USA 2019, 116, 18209. [Google Scholar] [CrossRef] [PubMed]
  35. Azechi, H.; Sakaiya, T.; Fujioka, S.; Tamari, Y.; Otani, K.; Shigemori, K.; Nakai, M.; Shiraga, H.; Miyanaga, N.; Mima, K. Comprehensive diagnosis of growth rates of the ablative Rayleigh-Taylor instability. Phys. Rev. Lett. 2007, 98, 045002. [Google Scholar] [CrossRef] [PubMed]
  36. Schumacher, J.; Sreenivasan, K.R. Colloquium: Unusual dynamics of convection in the Sun. Rev. Mod. Phys. 2020, 92, 041001. [Google Scholar] [CrossRef]
  37. Pouquet, A.; Frsich, U.; Leorad, J. Strong MHD helical turbulence and the nonlinear dynamo effect. J. Fluid Mech. 1976, 77, 321. [Google Scholar] [CrossRef]
  38. Stein, R.; Norlund, A. Realistic solar convection simulations. Solar Phys 2000, 192, 91. [Google Scholar] [CrossRef]
  39. Underwood, T.C.; Loebner, K.T.; Miller, V.A.; Cappelli, M.A. Dynamic formation of stable current-driven plasma jets. Sci. Rep. 2019, 9, 2588. [Google Scholar] [CrossRef]
  40. Kaneko, T.; Baba, K.; Hatakeyama, R. Static gas–liquid interfacial direct current discharge plasmas using ionic liquid cathode. J. Appl. Phys. 2009, 105, 103306. [Google Scholar] [CrossRef]
  41. Hurricane, O.A.; Springer, P.T.; Patel, P.K.; Callahan, D.A.; Baker, K.; Casey, D.T.; Divol, L.; Döppner, T.; Hinkel, D.E.; Hohenberger, M.; et al. 2019 Approaching a burning plasma on the NIF. Phys Plasmas 2019, 26, 052704. [Google Scholar] [CrossRef]
  42. Betti, R.; Hurricane, O.A. Inertial-confinement fusion with lasers. Nat. Phys. 2006, 12, 435. [Google Scholar] [CrossRef]
  43. Koepke, M. Interrelationship between lab, space, astrophysical, magnetic-fusion, and inertial-fusion plasma experiments. Atoms 2019, 7, 35. [Google Scholar] [CrossRef]
  44. Martinez, D.; Plechaty, C.; Presura, R. Magnetic fields for the laboratory simulation of astrophysical objects. In High Energy Density Laboratory Astrophysics; Springer: Dordrecht, The Netherlands, 2007; pp. 109–114. ISBN 978-1-4020-6055-7. [Google Scholar]
  45. Schlossberg, D.J.; Bionta, R.M.; Casey, D.T.; Eckart, M.J.; Fittinghoff, D.N.; Geppert-Kleinrath, V.; Grim, G.P.; Hahn, K.D.; Hartouni, E.P.; Jeet, J.; et al. Three-dimensional diagnostics and measurements of inertial confinement fusion plasmas. Rev. Sci. Instrum. 2021, 92, 053526. [Google Scholar] [CrossRef] [PubMed]
  46. Matsuo, K.; Sano, T.; Ishigure, K.; Kato, H.; Fujioka, S. Flash X-ray backlight technique using a Fresnel phase zone plate for measuring interfacial instability. High Energy Density Phys. 2020, 36, 100837. [Google Scholar] [CrossRef]
  47. Sakaiya, T.; Azechi, H.; Matsuoka, M.; Izumi, N.; Nakai, M.; Shigemori, K.; Shiraga, H.; Sunahara, A.; Takabe, H.; Yamanaka, T. Ablative Rayleigh-Taylor instability at short wavelengths observed with Moiré Interferometry. Phys. Rev. Lett. 2002, 88, 145003. [Google Scholar] [CrossRef] [PubMed]
  48. Do, A.; Angulo, A.M.; Nagel, S.R.; Hall, G.N.; Bradley, D.K.; Hsing, W.W.; Pickworth, L.A.; Izumi, N.; Robey, H.F.; Zhou, Y. High spatial resolution and contrast radiography of hydrodynamic instabilities at the National Ignition Facility. Phys. Plasmas 2020, 29, 080703. [Google Scholar] [CrossRef]
  49. Malko, S.; Cayzac, W.; Ospina-Bohorquez, V.; Bhutwala, K.; Bailly-Grandvaux, M.; McGuffey, C.; Fedosejevs, R.; Vaisseau, X.; Tauschwitz, A.; Apiñaniz, J.I.; et al. Proton stopping measurements at low velocity in warm dense carbon. Nat. Comm. 2022, 13, 2893. [Google Scholar] [CrossRef]
  50. Akula, B.; Suchandra, P.; Mikhaeil, M.; Ranjan, D. Dynamics of unstably stratified free shear flows: An experimental investigation of coupled Kelvin–Helmholtz and Rayleigh–Taylor instability. J. Fluid. Mech. 2017, 816, 619. [Google Scholar] [CrossRef]
  51. Sreenivasan, K.R. Turbulent mixing: A perspective. Proc. Natl. Acad. Sci. USA 2019, 116, 18175. [Google Scholar] [CrossRef]
  52. Meshkov, E.E. Studies of Hydrodynamic Instabilities in Laboratory Experiments; FGYC-VNIIEF: Sarov, Russia, 2006; ISBN 5-9515-0069-9. (In Russian) [Google Scholar]
  53. Cabot, W.H.; Cook, A.W. Reynolds number effects on Rayleigh–Taylor instability with possible implications for type Ia supernovae. Nat. Phys. 2006, 2, 562. [Google Scholar] [CrossRef]
  54. Andronov, V.A.; Zhidov, I.G.; Meshkov, E.E.; Nevmerzhitsky, N.V.; Nikiforov, V.V.; Razin, A.N.; Rogachov, V.G.; Tolshmyakov, A.I.; Yanilkin, Y.V. Computational and Experimental Studies of Hydrodynamic Instabilities and Turbulent Mixing: Review of VNIIEF Efforts; Summary Report LA-SUB-94-168; Los Alamos National Laboratory: Los Alamos, NM, USA, 1994; pp. 1–212. [Google Scholar] [CrossRef][Green Version]
Figure 1. Modeling the fluctuations spectra data in the experiments [9] by the compound function S ( k ) ~ k α e β k in the late-time 80   n s Rayleigh–Taylor mixing by the method outlined in [22]. The image represents the modeled data (red), the spectral shape S ˜ = S + S n o i s e (solid curve), and the data excluded from the fit (gray). The spectral shape evolves into a constant for high spatial frequencies to the right of the red part, which is influenced by the experimental noise S n o i s e with the level 10 7 . The compound function parameters are α = 1.96 ( 1 ± 0.10 % ) and β = 0.79 × 10 7 ( 1 ± 0.25 )   m . The best fit interval is k ( 0.06 ,   3.90 ) × 10 5   m 1 . The gray dashed line marks the ~ k 5 / 3 fiducial; the gray squares mark the endpoints of the ~ k 5 / 3 fit; and the gray circle (triangle) denotes the ‘knee’ (‘bump’) from the visual data fit in Figure 4 in work [9]. The imagery intensity I is normalized by the variance, as I / I 0 with I 0 = var ( I ) = σ I 2 . For detailed information, the reader is referred to works [22,23]. This image has been modified and reproduced with permission from the work [Abarzhi SI 2024 Rev Mod Plasma Physics 8, 15] with copyright 2024 Springer Nature.
Figure 1. Modeling the fluctuations spectra data in the experiments [9] by the compound function S ( k ) ~ k α e β k in the late-time 80   n s Rayleigh–Taylor mixing by the method outlined in [22]. The image represents the modeled data (red), the spectral shape S ˜ = S + S n o i s e (solid curve), and the data excluded from the fit (gray). The spectral shape evolves into a constant for high spatial frequencies to the right of the red part, which is influenced by the experimental noise S n o i s e with the level 10 7 . The compound function parameters are α = 1.96 ( 1 ± 0.10 % ) and β = 0.79 × 10 7 ( 1 ± 0.25 )   m . The best fit interval is k ( 0.06 ,   3.90 ) × 10 5   m 1 . The gray dashed line marks the ~ k 5 / 3 fiducial; the gray squares mark the endpoints of the ~ k 5 / 3 fit; and the gray circle (triangle) denotes the ‘knee’ (‘bump’) from the visual data fit in Figure 4 in work [9]. The imagery intensity I is normalized by the variance, as I / I 0 with I 0 = var ( I ) = σ I 2 . For detailed information, the reader is referred to works [22,23]. This image has been modified and reproduced with permission from the work [Abarzhi SI 2024 Rev Mod Plasma Physics 8, 15] with copyright 2024 Springer Nature.
Atoms 12 00047 g001
Figure 2. The dependence of the mean value of the power law exponent α ¯ ( k l , k r ) on the left (right) endpoint k l   ( k r ) of the interval k ( k l ,   k r ) for all the data with unrestricted values of relative errors and goodness-of-fit scores, σ α ( β ) and p A D .
Figure 2. The dependence of the mean value of the power law exponent α ¯ ( k l , k r ) on the left (right) endpoint k l   ( k r ) of the interval k ( k l ,   k r ) for all the data with unrestricted values of relative errors and goodness-of-fit scores, σ α ( β ) and p A D .
Atoms 12 00047 g002
Figure 3. The dependence of the mean value of the exponential decay factor β ¯ ( k l , k r ) on the left (right) endpoints k l   ( k r ) of the interval k ( k l ,   k r ) for all the data with unrestricted values of relative errors and goodness-of-fit scores, σ α ( β ) and p A D .
Figure 3. The dependence of the mean value of the exponential decay factor β ¯ ( k l , k r ) on the left (right) endpoints k l   ( k r ) of the interval k ( k l ,   k r ) for all the data with unrestricted values of relative errors and goodness-of-fit scores, σ α ( β ) and p A D .
Atoms 12 00047 g003
Figure 4. The dependence of the mean value of the power law exponent α ¯ ( k l , k r ) on the left (right) endpoint k l   ( k r ) of the interval k ( k l ,   k r ) for the data with relative errors σ α , β 50 % and goodness-of-fit scores p A D 5 % . The uncolored spaces have been purposefully kept in for illustrating that despite the left (right) endpoints k l   ( k r ) of the interval k ( k l ,   k r ) can vary broadly, the regions k ( k l ,   k r ) with small relative errors and high goodness-of-fit scores are clearly identified.
Figure 4. The dependence of the mean value of the power law exponent α ¯ ( k l , k r ) on the left (right) endpoint k l   ( k r ) of the interval k ( k l ,   k r ) for the data with relative errors σ α , β 50 % and goodness-of-fit scores p A D 5 % . The uncolored spaces have been purposefully kept in for illustrating that despite the left (right) endpoints k l   ( k r ) of the interval k ( k l ,   k r ) can vary broadly, the regions k ( k l ,   k r ) with small relative errors and high goodness-of-fit scores are clearly identified.
Atoms 12 00047 g004
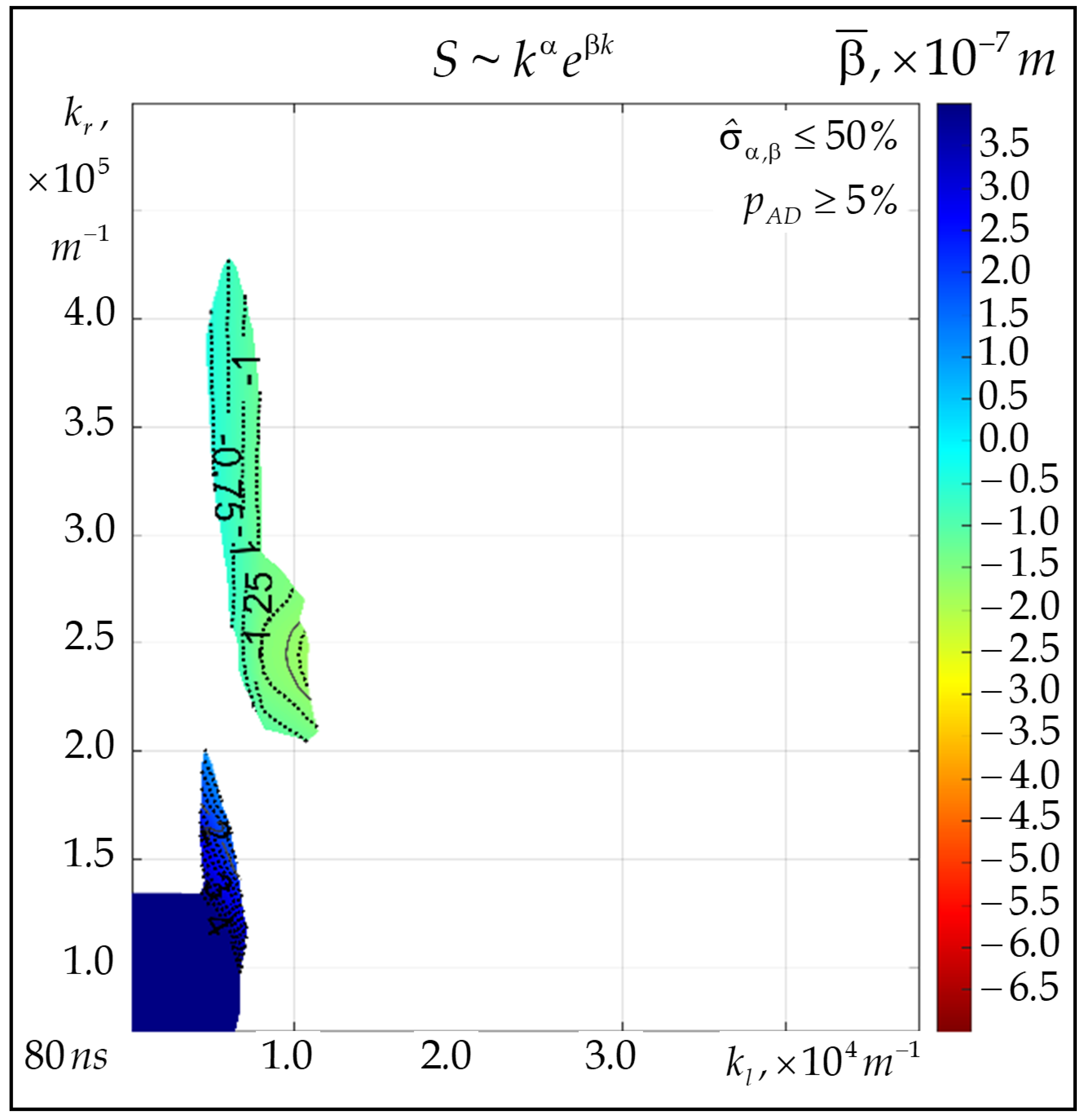
Figure 5. The dependence of the mean value of the exponential decay factor β ¯ ( k l , k r ) on the left (right) endpoints k l   ( k r ) of the interval k ( k l ,   k r ) for the data with relative errors σ α , β 50 % and goodness-of-fit scores p A D 5 % . The uncolored spaces have been purposefully kept in for illustrating that despite the left (right) endpoints k l   ( k r ) of the interval k ( k l ,   k r ) can vary broadly, the regions k ( k l ,   k r ) with small relative errors and high goodness-of-fit scores are clearly identified.
Figure 5. The dependence of the mean value of the exponential decay factor β ¯ ( k l , k r ) on the left (right) endpoints k l   ( k r ) of the interval k ( k l ,   k r ) for the data with relative errors σ α , β 50 % and goodness-of-fit scores p A D 5 % . The uncolored spaces have been purposefully kept in for illustrating that despite the left (right) endpoints k l   ( k r ) of the interval k ( k l ,   k r ) can vary broadly, the regions k ( k l ,   k r ) with small relative errors and high goodness-of-fit scores are clearly identified.
Atoms 12 00047 g005
Figure 6. The dependence of the mean value of the power law exponent α ¯ ( k l , k r ) on the left (right) endpoint k l   ( k r ) of the interval k ( k l ,   k r ) for the data with relative errors σ α , β 25 % and goodness-of-fit scores p A D 10 % . The uncolored spaces have been purposefully kept in for illustrating that despite the left (right) endpoints k l   ( k r ) of the interval k ( k l ,   k r ) can vary broadly, the regions k ( k l ,   k r ) with small relative errors and high goodness-of-fit scores are clearly identified.
Figure 6. The dependence of the mean value of the power law exponent α ¯ ( k l , k r ) on the left (right) endpoint k l   ( k r ) of the interval k ( k l ,   k r ) for the data with relative errors σ α , β 25 % and goodness-of-fit scores p A D 10 % . The uncolored spaces have been purposefully kept in for illustrating that despite the left (right) endpoints k l   ( k r ) of the interval k ( k l ,   k r ) can vary broadly, the regions k ( k l ,   k r ) with small relative errors and high goodness-of-fit scores are clearly identified.
Atoms 12 00047 g006
Figure 7. The dependence of the mean value of the exponential decay factor β ¯ ( k l , k r ) on the left (right) endpoints k l   ( k r ) of the interval k ( k l ,   k r ) for the data with relative errors σ α , β 25 % and goodness-of-fit scores p A D 10 % . The uncolored spaces have been purposefully kept in for illustrating that despite the left (right) endpoints k l   ( k r ) of the interval k ( k l ,   k r ) can vary broadly, the regions k ( k l ,   k r ) with small relative errors and high goodness-of-fit scores are clearly identified.
Figure 7. The dependence of the mean value of the exponential decay factor β ¯ ( k l , k r ) on the left (right) endpoints k l   ( k r ) of the interval k ( k l ,   k r ) for the data with relative errors σ α , β 25 % and goodness-of-fit scores p A D 10 % . The uncolored spaces have been purposefully kept in for illustrating that despite the left (right) endpoints k l   ( k r ) of the interval k ( k l ,   k r ) can vary broadly, the regions k ( k l ,   k r ) with small relative errors and high goodness-of-fit scores are clearly identified.
Atoms 12 00047 g007
Disclaimer/Publisher’s Note: The statements, opinions and data contained in all publications are solely those of the individual author(s) and contributor(s) and not of MDPI and/or the editor(s). MDPI and/or the editor(s) disclaim responsibility for any injury to people or property resulting from any ideas, methods, instructions or products referred to in the content.

Share and Cite

MDPI and ACS Style

Abarzhi, S.I.; Williams, K.C. Data-Based Kinematic Viscosity and Rayleigh–Taylor Mixing Attributes in High-Energy Density Plasmas. Atoms 2024, 12, 47. https://doi.org/10.3390/atoms12100047

AMA Style

Abarzhi SI, Williams KC. Data-Based Kinematic Viscosity and Rayleigh–Taylor Mixing Attributes in High-Energy Density Plasmas. Atoms. 2024; 12(10):47. https://doi.org/10.3390/atoms12100047

Chicago/Turabian Style

Abarzhi, Snezhana I., and Kurt C. Williams. 2024. "Data-Based Kinematic Viscosity and Rayleigh–Taylor Mixing Attributes in High-Energy Density Plasmas" Atoms 12, no. 10: 47. https://doi.org/10.3390/atoms12100047

APA Style

Abarzhi, S. I., & Williams, K. C. (2024). Data-Based Kinematic Viscosity and Rayleigh–Taylor Mixing Attributes in High-Energy Density Plasmas. Atoms, 12(10), 47. https://doi.org/10.3390/atoms12100047

Note that from the first issue of 2016, this journal uses article numbers instead of page numbers. See further details here.

Article Metrics

Back to TopTop