Stark Broadening of Lyman-α in the Presence of a Strong Magnetic Field
Abstract
:1. Introduction
2. Analytical Model
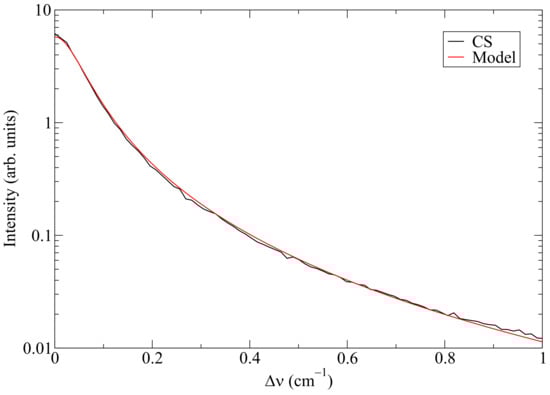
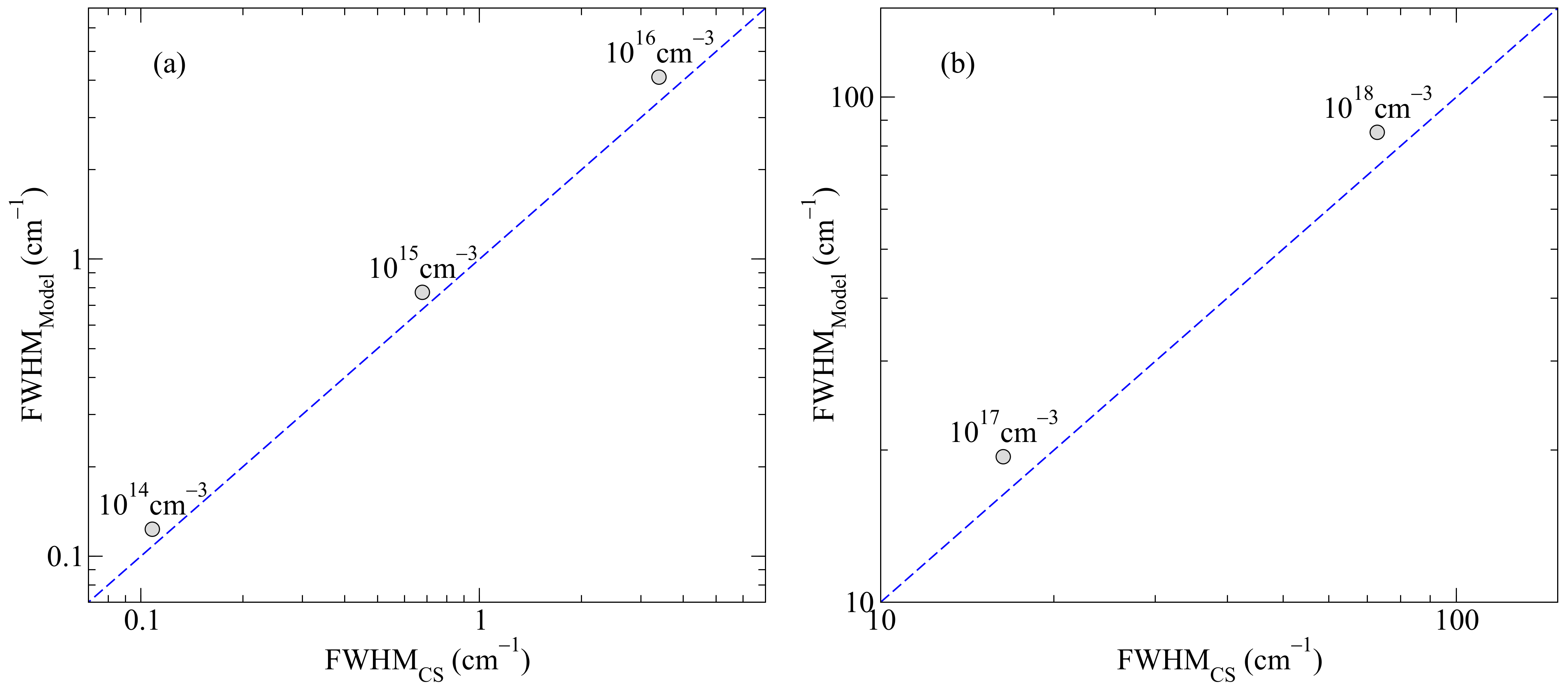
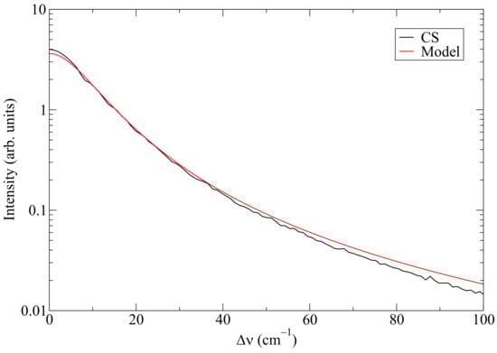
3. Computer Simulations
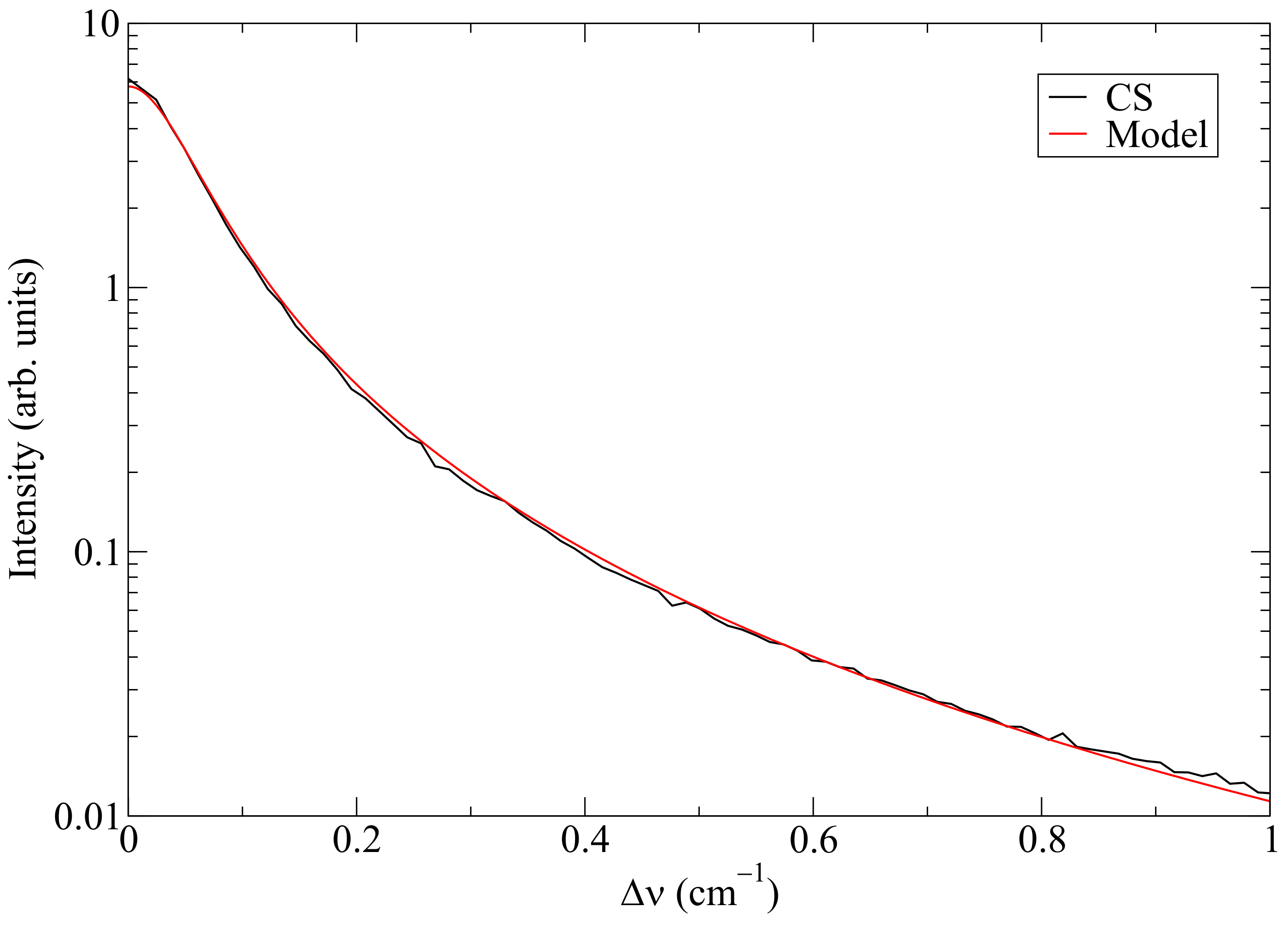
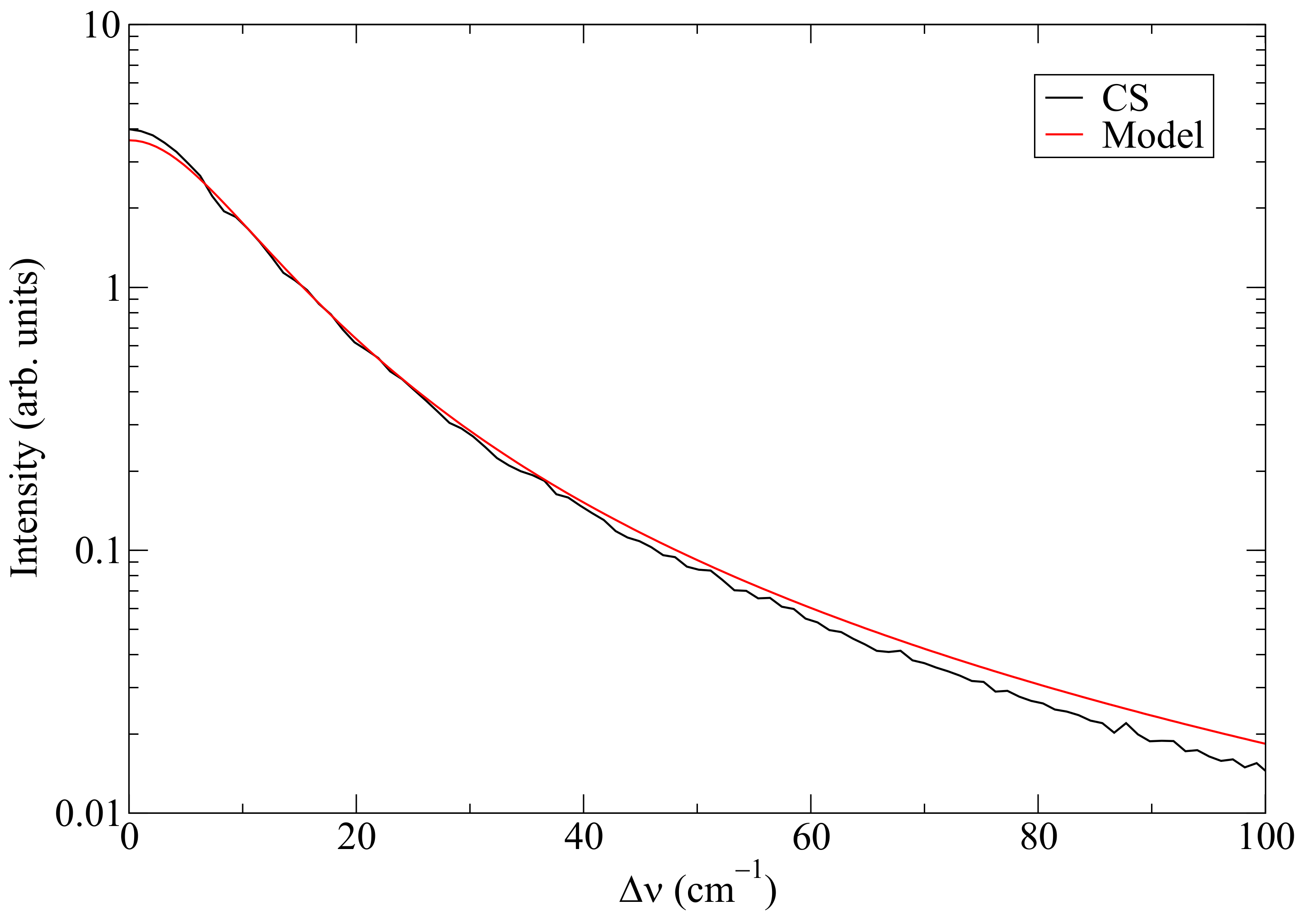
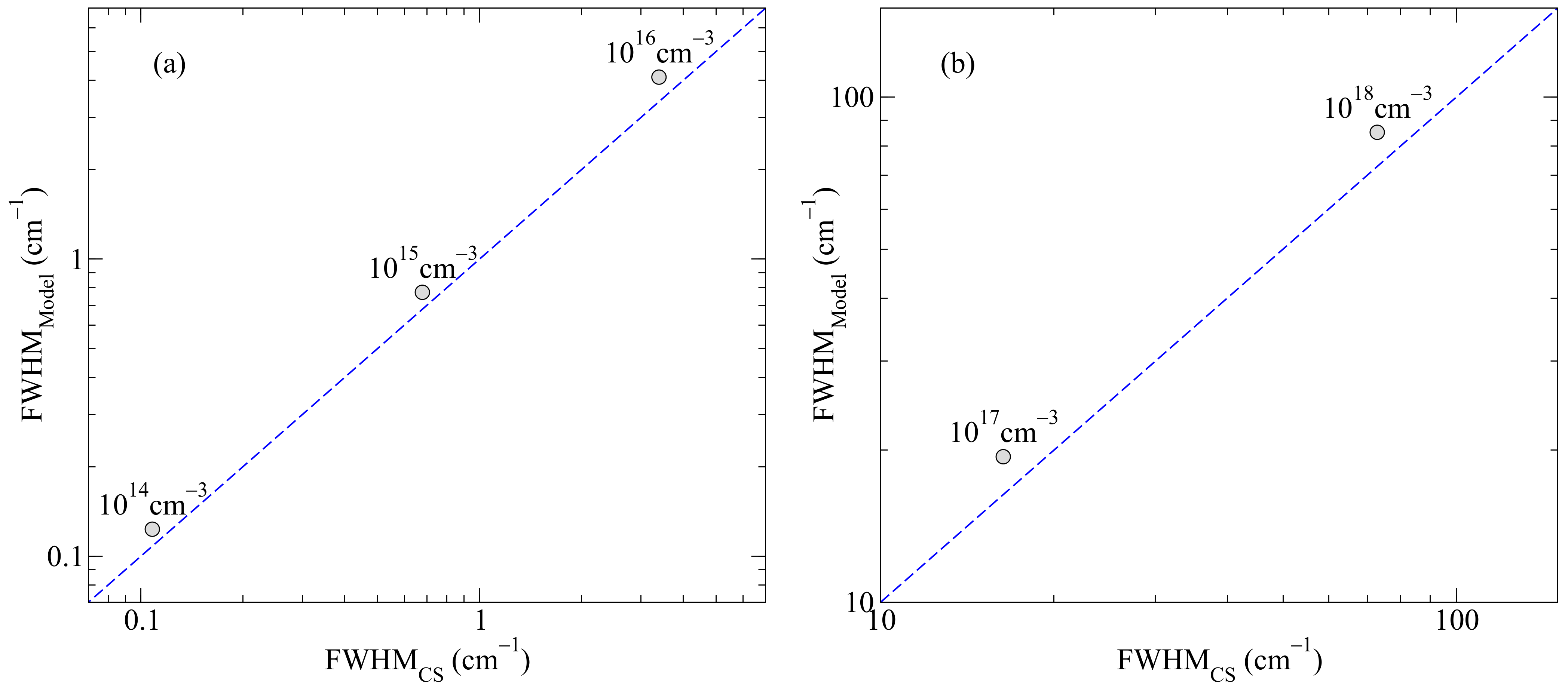
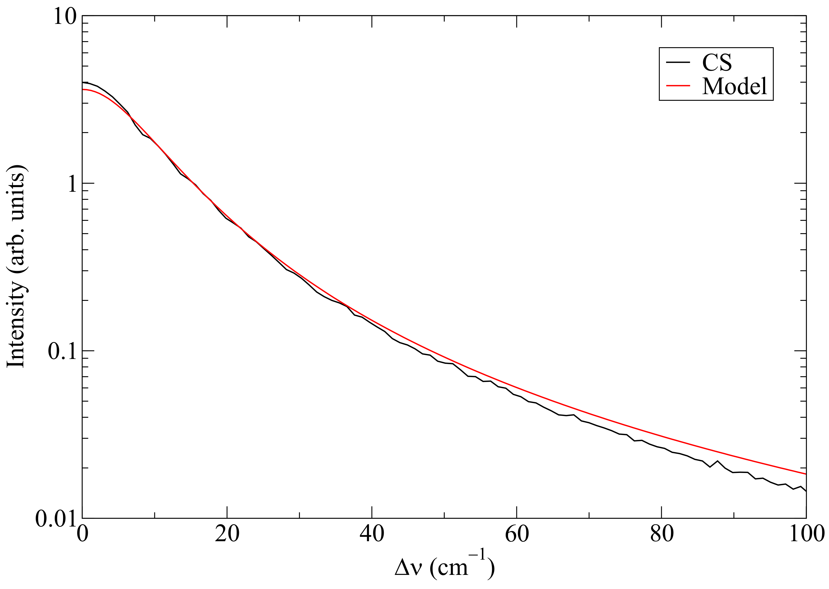
4. Results and Conclusions
Funding
Data Availability Statement
Conflicts of Interest
References
- Bohr, N.I. On the constitution of atoms and molecules. Lond. Edinburgh Dublin Philos. Mag. J. Sci. 1913, 26, 1–25. [Google Scholar] [CrossRef]
- Schrödinger, E. Quantisierung als Eigenwertproblem. Annalen Physik 1926, 384, 361–376. [Google Scholar] [CrossRef]
- Stambulchik, E. Review of the 1st Spectral Line Shapes in Plasmas code comparison workshop. High Energy Density Phys. 2013, 9, 528–534. [Google Scholar] [CrossRef]
- Calisti, A.; Demura, A.; Gigosos, M.A.; González-Herrero, D.; Iglesias, C.A.; Lisitsa, V.S.; Stambulchik, E. Influence of microfield directionality on line shapes. Atoms 2014, 2, 259–276. [Google Scholar] [CrossRef]
- Griem, H.R. Spectral Line Broadening by Plasmas; Academic: New York, NY, USA, 1974. [Google Scholar]
- Stambulchik, E.; Demura, A.V. Dynamic Stark broadening of Lyman-α. J. Phys. B At. Mol. Opt. Phys. 2016, 49, 035701. [Google Scholar] [CrossRef]
- Rosato, J.; Marandet, Y.; Capes, H.; Ferri, S.; Mosse, C.; Godbert-Mouret, L.; Koubiti, M.; Stamm, R. Stark broadening of hydrogen lines in low-density magnetized plasmas. Phys. Rev. E 2009, 79, 046408-7. [Google Scholar] [CrossRef]
- Stambulchik, E.; Maron, Y. Zeeman effect induced by intense laser light. Phys. Rev. Lett. 2014, 113, 083002. [Google Scholar] [CrossRef]
- Oks, E. Analytical results for the Stark–Zeeman broadening of the Lyman-alpha line in plasmas. Int. Rev. At. Mol. Phys. 2023, 14, 43–48. [Google Scholar] [CrossRef]
- Stambulchik, E.; Maron, Y. Stark effect of high-n hydrogen-like transitions: Quasi-contiguous approximation. J. Phys. B At. Mol. Opt. Phys. 2008, 41, 095703. [Google Scholar] [CrossRef]
- Stambulchik, E.; Maron, Y. Quasicontiguous frequency-fluctuation model for calculation of hydrogen and hydrogenlike Stark-broadened line shapes in plasmas. Phys. Rev. E 2013, 87, 053108. [Google Scholar] [CrossRef]
- Calisti, A.; Mossé, C.; Ferri, S.; Talin, B.; Rosmej, F.; Bureyeva, L.A.; Lisitsa, V.S. Dynamic Stark broadening as the Dicke narrowing effect. Phys. Rev. E 2010, 81, 016406. [Google Scholar] [CrossRef]
- Bureeva, L.A.; Kadomtsev, M.B.; Levashova, M.G.; Lisitsa, V.S.; Calisti, A.; Talin, B.; Rosmej, F. Equivalence of the method of the kinetic equation and the fluctuating-frequency method in the theory of the broadening of spectral lines. JETP Lett. 2010, 90, 647–650. [Google Scholar] [CrossRef]
- Ferri, S.; Calisti, A.; Mossé, C.; Mouret, L.; Talin, B.; Gigosos, M.A.; González, M.A.; Lisitsa, V. Frequency-fluctuation model applied to Stark-Zeeman spectral line shapes in plasmas. Phys. Rev. E 2011, 84, 026407. [Google Scholar] [CrossRef] [PubMed]
- Stambulchik, E.; Maron, Y. Plasma Formulary Interactive. J. Instrum. 2011, 6, P10009. [Google Scholar] [CrossRef]
- Holtsmark, J. Über die Verbreiterung von Spektrallinien. Ann. Phys. 1919, 363, 577–630. [Google Scholar] [CrossRef]
- Dzierżęga, K.; Sobczuk, F.; Stambulchik, E.; Pokrzywka, B. Studies of spectral line merging in a laser-induced hydrogen plasma diagnosed with two-color Thomson scattering. Phys. Rev. E 2021, 103, 063207. [Google Scholar] [CrossRef]
- Mossé, C.; Calisti, A.; Ferri, S.; Talin, B.; Bureyeva, L.A.; Lisitsa, V.S. Universal FFM hydrogen spectral line shapes applied to ions and electrons. AIP Conf. Proc. 2008, 1058, 63–65. [Google Scholar] [CrossRef]
- Stambulchik, E.; Maron, Y. A study of ion-dynamics and correlation effects for spectral line broadening in plasma: K-shell lines. J. Quant. Spectrosc. Radiat. Transfer 2006, 99, 730–749. [Google Scholar] [CrossRef]
- Verlet, L. Computer “Experiments” on Classical Fluids. I. Thermodynamical Properties of Lennard-Jones Molecules. Phys. Rev. 1967, 159, 98–103. [Google Scholar] [CrossRef]
- Seidel, J.; Stamm, R. Effects of radiator motion on plasma-broadened hydrogen Lyman-β. J. Quant. Spectrosc. Radiat. Transfer 1982, 27, 499–503. [Google Scholar] [CrossRef]
- Rosato, J.; Capes, H.; Stamm, R. Ideal Coulomb plasma approximation in line shape models: Problematic issues. Atoms 2014, 2, 253–258. [Google Scholar] [CrossRef]
- Raji, A.; Rosato, J.; Stamm, R.; Marandet, Y. New analysis of Balmer line shapes in magnetic white dwarf atmospheres. Eur. Phys. J. D 2021, 75, 63. [Google Scholar] [CrossRef]
- Falcon, R.E.; Rochau, G.A.; Bailey, J.E.; Gomez, T.A.; Montgomery, M.H.; Winget, D.E.; Nagayama, T. Laboratory measurements of white dwarf photospheric spectral lines: Hβ. Astrophys. J. 2015, 806, 214. [Google Scholar] [CrossRef]




Disclaimer/Publisher’s Note: The statements, opinions and data contained in all publications are solely those of the individual author(s) and contributor(s) and not of MDPI and/or the editor(s). MDPI and/or the editor(s) disclaim responsibility for any injury to people or property resulting from any ideas, methods, instructions or products referred to in the content. |
© 2023 by the author. Licensee MDPI, Basel, Switzerland. This article is an open access article distributed under the terms and conditions of the Creative Commons Attribution (CC BY) license (https://creativecommons.org/licenses/by/4.0/).
Share and Cite
Stambulchik, E. Stark Broadening of Lyman-α in the Presence of a Strong Magnetic Field. Atoms 2023, 11, 120. https://doi.org/10.3390/atoms11090120
Stambulchik E. Stark Broadening of Lyman-α in the Presence of a Strong Magnetic Field. Atoms. 2023; 11(9):120. https://doi.org/10.3390/atoms11090120
Chicago/Turabian StyleStambulchik, Evgeny. 2023. "Stark Broadening of Lyman-α in the Presence of a Strong Magnetic Field" Atoms 11, no. 9: 120. https://doi.org/10.3390/atoms11090120
APA StyleStambulchik, E. (2023). Stark Broadening of Lyman-α in the Presence of a Strong Magnetic Field. Atoms, 11(9), 120. https://doi.org/10.3390/atoms11090120
