Two-Photon Polarizability of Ba+ Ion: Control of Spin-Mixing Processes in an Ultracold 137Ba+ − 87Rb Mixture
Abstract
1. Introduction
2. Theory
3. Results Furthermore, Discussions
3.1. Electric Dipole Reduced Matrix Elements of Ba
3.2. Strategy for Calculating Frequency-Dependent or Dynamic Dipole Polarizabilities of Ba
3.3. Differential Scalar Polarizabilities of Ba
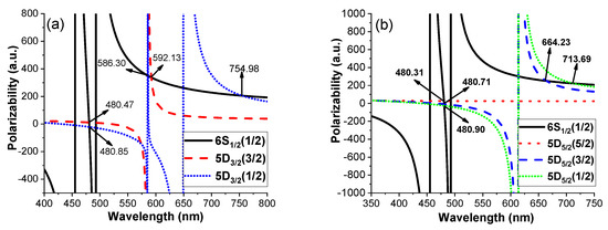
3.4. Single-Photon Dynamic Polarizabilities and Magic Wavelengths of Ba
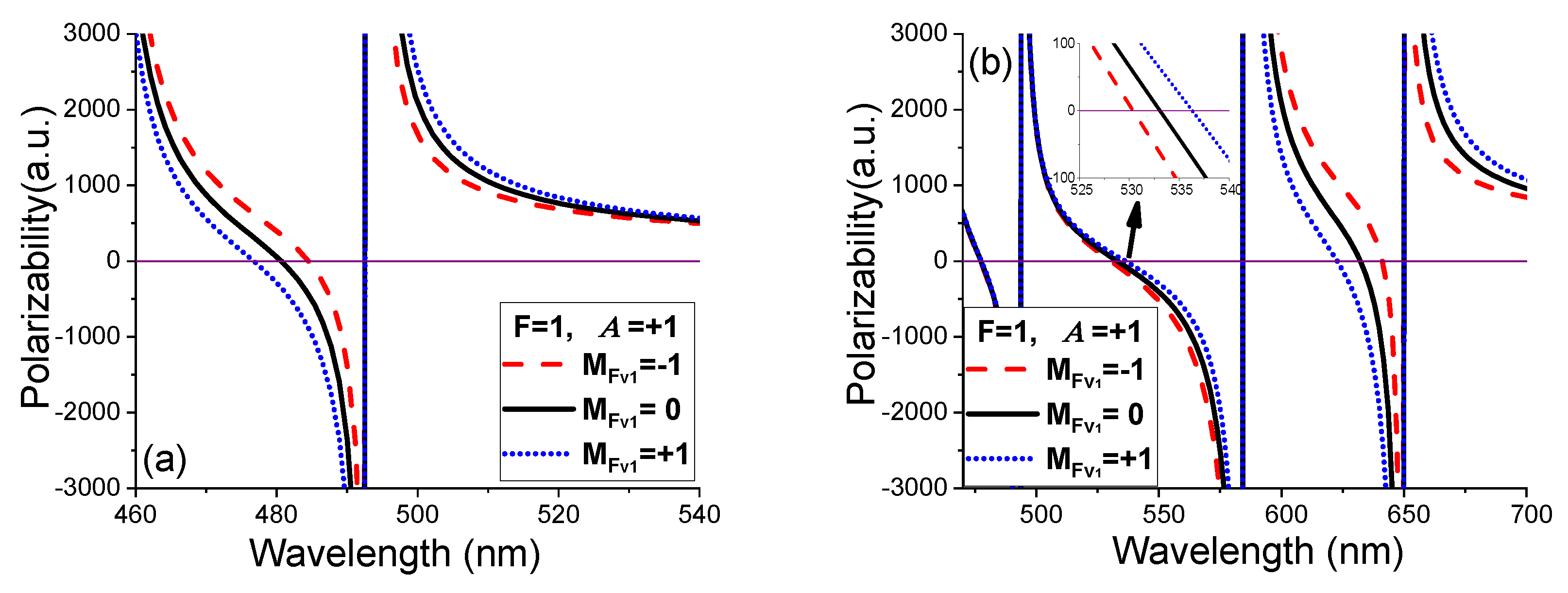
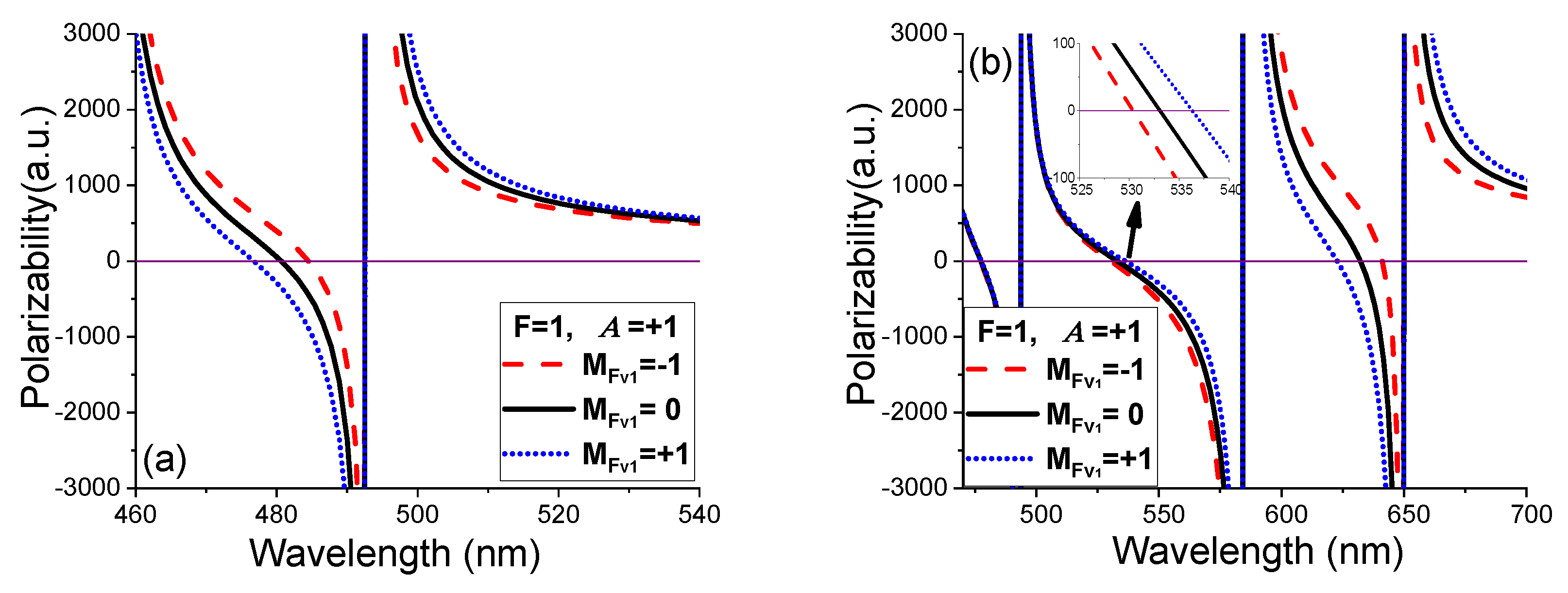
3.5. Two-Photon Dynamic Polarizabilities and Magic Wavelengths of Ba


| Transition | RCCSD(T) [63] | RCICP [64] | SD [61] | SDpT [61] | Our | Expt. |
|---|---|---|---|---|---|---|
| 5 → 6 | 3.11(3) | 3.033(29) | 3.0503 | 3.0957 | 3.0641 | 3.03(9) , 2.90(9) , 3.034 |
| →6 | 1.34(2) | 1.336(13) | 1.3324 | 1.3532 | 1.3335 | 1.36(4) , 1.54(19) , 1.325 1.349(36), 1.33199(96) e |
| →7 | 0.28(2) | 0.23(3) | 0.2792 | 0.2775 | 0.3336 | 0.42(11) |
| →7 | 0.16(1) | 0.14(2) | 0.1555 | 0.1548 | 0.1797 | 0.19(5) |
| →8 | 0.07(2) | 0.10(5) | 0.1346 | 0.1349 | 0.1527 | 0.23(6) |
| →8 | 0.07(2) | 0.07(3) | 0.0768 | 0.0769 | 0.0867 | 0.10(3) |
| 5 → 6 | 4.02(7) | 4.105(39) | 4.1032 | 4.1631 | 4.1368 | 4.080 , 4.1028(25) e |
| 7 | 0.46(1) | 0.39(6) | 0.4513 | 0.4500 | 0.5123 | |
| 8 | 0.21(2) | 0.18(3) | 0.2232 | 0.2239 | 0.2457 | |
| 6 → 6 | 3.36(1) | 3.275(47) | 3.3380 | 3.3710 | 3.4082 | 3.36(16) , 3.36(4) , 3.3357 |
| →6 | 4.73(3) | 4.637(67) | 4.7097 | 4.7569 | 4.8103 | 4.45(19) , 4.55(10) , 4.72(4) 4.7065 |
| →7 | 0.10(1) | 0.10(5) | 0.0605 | 0.0607 | 0.0350 | 0.24(3) |
| →7 | 0.17(5) | 0.04(2) | 0.0870 | 0.0858 | 0.1337 | 0.33(4) |
| →8 | 0.11(5) | 0.11(6) | 0.0868 | 0.0866 | 0.0426 | 0.10(1) |
| →8 | 0.11(5) | 0.06(3) | 0.0331 | 0.0334 | 0.0400 | 0.15(2) |
| Transition | RCCSD(T) [63] | RCICP [64] | SD [62] | SDpT [62] | Our | Z [61] |
| 5 →4 | 3.75(11) | 3.671(35) | - | - | 3.6370 | 3.6216 |
| →5 | 1.59(8) | - | - | - | 1.9454 | 1.8513 |
| →6 | 0.17(2) | - | - | - | 1.15358 | 0.9208 |
| 5 →4 | 1.08(4) | 1.002(9) | 0.998 | 1.012 | 1.0044 | 0.9951 |
| →4 | 4.84(5) | 4.500(42) | 4.475 | 4.540 | 4.5017 | 4.4504 |
| →5 | 0.45(7) | - | 0.016 | 0.210 | 0.5255 | 0.5005 |
| →5 | 2.47(6) | - | 0.130 | 1.049 | 2.4283 | 2.2445 |
| →6 | 0.15(2) | - | 0.236 | 0.018 | 0.2996 | 0.2449 |
| →6 | 1.04(7) | - | 0.961 | 0.170 | 1.3690 | 1.1160 |
| Clock Transition | (a.u.) | (nm) | ||
|---|---|---|---|---|
| Our | Other | Our | Other | |
| 6–5 | −71.39 | −73.1(1.3) [62], | 652.88, | 653(near) [2,62] |
| −73.56(0.21) [2], | 480.64, 211.10 | − | ||
| −73.59 [67] | ||||
| 6–5 | −77.64 | −75.45 [67] | 691.49, 588.26, | − |
| 480.66, 206.81 | − | |||
| States | ||||
|---|---|---|---|---|
| (,) | Our | Ref. [68] | Ref. [64] | |
| () | 592.13 | 592.46 | 592.39(14) | 337.27 |
| 480.47 | 480.44 | 480.539(14) | 12.03 | |
| () | 754.98 | 767.81 | 757.7(3.9) | 337.27 |
| 586.30 | 585.98 | 585.982(10) | 348.92 | |
| 480.85 | 480.81 | 480.93(3) | −21.13 | |
| () | 480.31 | 480.26 | 480.38(2) | 26.30 |
| () | 664.23 | 666.64 | 663.6(1.4) | 250.17 |
| 480.71 | 480.71 | 480.86(2) | −8.58 | |
| () | 713.69 | 718.18 | 707.9(3.3) | 221.45 |
| 480.90 | 480.93 | 481.10(2) | −26.17 | |
| 6 − 5 | 6 − 5 | ||||||||||
|---|---|---|---|---|---|---|---|---|---|---|---|
| (,) | (,) | ||||||||||
| () | 0.055024 | 0.077231 | 528.21 | 828.06 | 589.96 | () | 0.068554 | 0.094410 | 51.02 | 664.64 | 482.61 |
| 0.072209 | 0.094416 | 85.56 | 630.99 | 482.58 | 0.084010 | 0.109867 | 53.61 | 542.35 | 414.72 | ||
| 0.085568 | 0.107774 | 12.66 | 532.48 | 422.77 | 0.095452 | 0.121308 | 56.25 | 477.34 | 375.60 | ||
| 0.095519 | 0.117726 | 36.17 | 477.01 | 387.03 | 0.174544 | 0.200400 | −68.45 | 261.04 | 227.36 | ||
| 0.181074 | 0.203281 | −61.64 | 251.63 | 224.14 | () | 0.044445 | 0.070301 | 424.78 | 1025.16 | 648.12 | |
| () | 0.041102 | 0.063309 | 374.78 | 1108.54 | 719.70 | 0.068954 | 0.094810 | 255.99 | 660.78 | 480.57 | |
| 0.070577 | 0.092784 | −3433.52 | 645.58 | 491.07 | 0.082605 | 0.108462 | −73.92 | 551.58 | 420.09 | ||
| 0.085000 | 0.107207 | −63.55 | 536.04 | 425.00 | 0.095360 | 0.121216 | 19.86 | 477.80 | 375.89 | ||
| 0.095412 | 0.117619 | −6.14 | 477.54 | 387.38 | 0.176783 | 0.202639 | −65.40 | 257.74 | 224.85 | ||
| 0.182695 | 0.204902 | −59.68 | 249.40 | 222.37 | () | 0.040841 | 0.066697 | 393.14 | 1115.64 | 683.14 | |
| 0.069232 | 0.095088 | 378.05 | 658.13 | 479.17 | |||||||
| 0.081702 | 0.107559 | −163.43 | 557.68 | 423.61 | |||||||
| 0.095314 | 0.121170 | 1.45 | 478.03 | 376.03 | |||||||
| 0.177112 | 0.202968 | −64.97 | 257.26 | 224.49 | |||||||
3.6. Uncertainty in the Estimated Magic-Wavelengths
3.7. Application of Two-Photon Polarizability: Spin-Mixing in Ba − Rb Mixture
4. Conclusions
Author Contributions
Funding
Data Availability Statement
Conflicts of Interest
Appendix A
Valence Dynamic Polarizability at the Hyperfine Level
References
- Arnold, K.J.; Kaewuam, R.; Chanu, S.R.; Tan, T.R.; Zhang, Z.; Barrett, M.D. Precision Measurements of the 138Ba+6s2S1/2 − 5d2D5/2 Clock Transition. Phys. Rev. Lett. 2020, 124, 193001. [Google Scholar] [CrossRef]
- Chanu, S.; Koh, V.P.W.; Arnold, K.J.; Kaewuam, R.; Tan, T.R.; Zhang, Z.; Safronova, M.S.; Barrett, M.D. Magic wavelength of the 138Ba+6s2S1/2 − 5d2D5/2 clock transition. Phys. Rev. A 2020, 101, 042507. [Google Scholar] [CrossRef]
- Inlek, I.V.; Crocker, C.; Lichtman, M.; Sosnova, K.; Monroe, C. Multispecies Trapped-Ion Node for Quantum Networking. Phys. Rev. Lett. 2017, 118, 250502. [Google Scholar] [CrossRef] [PubMed]
- Hucul, D.; Christensen, J.E.; Hudson, E.R.; Campbell, W.C. Spectroscopy of a Synthetic Trapped Ion Qubit. Phys. Rev. Lett. 2017, 119, 100501. [Google Scholar] [CrossRef]
- Dutta, N.N.; Majumder, S. E1 parity-nonconserving transition amplitudes of the hyperfine components for 2S1/2 − 2D3/2 transitions of 137Ba+ and 87Sr+. Phys. Rev. A 2014, 90, 012522. [Google Scholar] [CrossRef]
- Kozlov, M.G.; Safronova, M.S.; Crespo López-Urrutia, J.R.; Schmidt, P.O. Highly charged ions: Optical clocks and applications in fundamental physics. Rev. Mod. Phys. 2018, 90, 045005. [Google Scholar] [CrossRef]
- De Munshi, D.; Dutta, T.; Rebhi, R.; Mukherjee, M. Precision measurement of branching fractions of 138Ba+: Testing many-body theories below the 1% level. Phys. Rev. A 2015, 91, 040501(R). [Google Scholar] [CrossRef]
- Dijck, E.A.; Nuñez Portela, M.; Grier, A.T.; Jungmann, K.; Mohanty, A.; Valappol, N.; Willmann, L. Determination of transition frequencies in a single 138Ba+ ion. Phys. Rev. A 2015, 91, 060501(R). [Google Scholar] [CrossRef]
- Zhang, Z.; Arnold, K.J.; Chanu, S.R.; Kaewuam, R.; Safronova, M.S.; Barrett, M.D. Branching fractions for P3/2 decays in Ba+. Phys. Rev. A 2020, 101, 062515. [Google Scholar] [CrossRef]
- Tang, Y.-B.; Qiao, H.-X.; Shi, T.-Y.; Mitroy, J. Dynamic polarizabilities for the low-lying states of Ca+. Phys. Rev. A 2013, 87, 042517. [Google Scholar] [CrossRef]
- Mitroy, J.; Safronova, M.S.; Clark, C.W. Theory and applications of atomic and ionic polarizabilities. J. Phys. B 2010, 43, 202001. [Google Scholar] [CrossRef]
- Gallagher, T.F.; Cooke, W.E. Interactions of Blackbody Radiation with Atoms. Phys. Rev. Lett. 1979, 42, 835–839. [Google Scholar] [CrossRef]
- Porsev, S.G.; Derevianko, A. Multipolar theory of blackbody radiation shift of atomic energy levels and its implications for optical lattice clocks. Phys. Rev. A 2006, 74, 020502(R), Erratum in Phys. Rev. A 2012, 86, 029904. [Google Scholar] [CrossRef]
- Jefferts, S.R.; Heavner, T.P.; Parker, T.E.; Shirley, J.H.; Donely, E.A.; Ashby, N.; Levi, F.; Calonico, D.; Costanzo, G.A. High-Accuracy Measurement of the Blackbody Radiation Frequency Shift of the Ground-State Hyperfine Transition in 133Cs. Phys. Rev. Lett. 2014, 112, 050801. [Google Scholar] [CrossRef]
- Gerginov, V.; Beloy, K. Two-photon Optical Frequency Reference with Active ac Stark Shift Cancellation. Phys. Rev. Appl. 2018, 10, 014031. [Google Scholar] [CrossRef]
- Martin, K.W.; Stuhl, B.; Eugenio, J.; Safronova, M.S.; Phelps, G.; Burke, J.H.; Lemke, N.D. Frequency shifts due to Stark effects on a rubidium two-photon transition. Phys. Rev. A 2019, 100, 023417. [Google Scholar] [CrossRef]
- Perrella, C.; Light, P.S.; Anstie, J.D.; Baynes, F.N.; White, R.T.; Luiten, A.N. Dichroic Two-Photon Rubidium Frequency Standard. Phys. Rev. Appl. 2019, 12, 054063. [Google Scholar] [CrossRef]
- Jackson, S.; Vutha, A.C. Magic polarization for cancellation of light shifts in two-photon optical clocks. Phys. Rev. A 2019, 99, 063422. [Google Scholar] [CrossRef]
- Martin, K.W.; Phelps, G.; Lemke, N.D.; Bigelow, M.S.; Stuhl, B.; Wojcik, M.; Holt, M.; Coddington, I.; Bishop, M.W.; Burke, J.H. Compact Optical Atomic Clock Based on a Two-Photon Transition in Rubidium. Phys. Rev. Appl. 2018, 9, 014019. [Google Scholar] [CrossRef]
- Hall, J.L.; Zhu, M.; Buch, P. Prospects for using laser-prepared atomic fountains for optical frequency standards applications. JOSA B 1989, 6, 2194–2205. [Google Scholar]
- Marian, A.; Stowe, M.C.; Lawall, J.R.; Felinto, D.; Ye, J. United Time-Frequency Spectroscopy for Dynamics and Global Structure. Science 2004, 306, 2063–2068. [Google Scholar] [CrossRef] [PubMed]
- Diddams, S.A.; Vahala, K.; Udem, T. Optical frequency combs: Coherently uniting the electromagnetic spectrum. Science 2020, 369, 6501. [Google Scholar] [CrossRef]
- Kang, Y.H.; Xia, Y.; Lu, P.M. Two-photon phase gate with linear optical elements and atom–cavity system. Quantum Inf. Process 2016, 15, 4521–4535. [Google Scholar] [CrossRef]
- Xu, Z.F.; Wang, D.J.; You, L. Quantum spin mixing in a binary mixture of spin-1 atomic condensates. Phys. Rev. A 2012, 86, 013632. [Google Scholar] [CrossRef]
- Zhang, J.; Li, T.; Zhang, Y. Interspecies singlet pairing in a mixture of two spin-1 Bose condensates. Phys. Rev. A 2011, 83, 023614. [Google Scholar] [CrossRef]
- Li, Z.B.; Liu, Y.M.; Yao, D.X.; Bao, C.G. Two types of phase diagrams for two-species Bose–Einstein condensates and the combined effect of the parameters. J. Phys. B At. Mol. Opt. Phys. 2017, 50, 135301. [Google Scholar] [CrossRef]
- Xu, Z.F.; Zhang, J.; Zhang, Y.; You, L. Quantum states of a binary mixture of spinor Bose–Einstein condensates. Phys. Rev. A 2010, 81, 033603. [Google Scholar] [CrossRef]
- Modugno, G.; Modugno, M.; Riboli, F.; Roati, G.; Inguscio, M. Two Atomic Species Superfluid. Phys. Rev. Lett. 2002, 89, 190404. [Google Scholar] [CrossRef] [PubMed]
- Thalhammer, G.; Barontini, G.; De Sarlo, L.; Catani, J.; Minardi, F.; Inguscio, M. Double Species Bose–Einstein Condensate with Tunable Interspecies Interactions. Phy. Rev. Lett. 2008, 100, 210402. [Google Scholar] [CrossRef] [PubMed]
- McCarron, D.J.; Cho, H.W.; Jenkin, D.L.; Köppinger, M.P.; Cornish, S.L. Dual-species Bose–Einstein condensate of 87Rb and 133Cs. Phys. Rev. A 2011, 84, 011603. [Google Scholar] [CrossRef]
- Roy, A.; Angom, D. Thermal suppression of phase separation in condensate mixtures. Phy. Rev. A 2015, 92, 011601(R). [Google Scholar] [CrossRef]
- Li, X.; Zhu, B.; He, X.; Wang, F.; Guo, M.; Xu, Z.-F.; Zhang, S.; Wang, D. Coherent Heteronuclear Spin Dynamics in an Ultracold Spinor Mixture. Phys. Rev. Lett. 2015, 114, 255301. [Google Scholar] [CrossRef]
- Mil, A.; Zache, T.V.; Hegde, A.; Xia, A.; Bhatt, R.P.; Oberthaler, M.K.; Hauke, P.; Berges, J.; Jendrzejewski, F.A. scalable realization of local U(1) gauge invariance in cold atomic mixtures. Science 2020, 367, 1128–1130. [Google Scholar] [CrossRef]
- Chen, J.-J.; Xu, Z.-F.; You, L. Resonant spin exchange between heteronuclear atoms assisted by periodic driving. Phys. Rev. A 2018, 98, 023601. [Google Scholar] [CrossRef]
- Li, L.; Zhu, B.; Lu, B.; Zhang, S.; Wang, D. Manipulation of heteronuclear spin dynamics with microwave and vector light shift. Phys. Rev. A 2020, 101, 053611. [Google Scholar] [CrossRef]
- Fang, F.; Wu, S.; Smull, A.; Isaacs, J.A.; Wang, Y.; Greene, C.H.; Stamper-Kurn, D.M. Cross-dimensional relaxation of 7Li − 87Rb atomic gas mixtures in a spherical-quadrupole magnetic trap. Phys. Rev. A 2020, 101, 012703. [Google Scholar] [CrossRef]
- Hirzler, H.; Feldker, T.; Fürst, H.; Ewald, N.V.; Trimby, E.; Lous, R.S.; Arias Espinoza, J.D.; Mazzanti, M.; Joger, J.; Gerritsma, R. Experimental setup for studying an ultracold mixture of trapped Yb+ − 6Li. Phys. Rev. A 2020, 102, 033109. [Google Scholar] [CrossRef]
- Tomza, M.; Jachymski, K.; Gerritsma, R.; Negretti, A.; Calarco, T.; Idziaszek, Z.; Julienne, P.S. Cold hybrid ion-atom systems. Rev. Mod. Phys. 2019, 91, 035001. [Google Scholar] [CrossRef]
- Huber, T. Optical Trapping of Barium Ions- Towards Ultracold Interactions in Ion-Atom Ensembles. Ph.D. Thesis, Albert-Ludwigs-Universität Freiburg, Freiburg im Breisgau, Germany, 2014. Available online: https://d-nb.info/1123480699/34 (accessed on 7 September 2022).
- Krych, M.; Skomorowski, W.; Pawlowski, F.; Moszynski, R.; Idziaszek, Z. Sympathetic cooling of the Ba+ ion by collisions with ultracold Rb atoms: Theoretical prospects. Phys. Rev. A 2011, 83, 032723. [Google Scholar] [CrossRef]
- Widera, A.; Gerbier, F.; Fölling, S.; Gericke, T.; Mandel, O.; Bloch, I. Coherent Collisional Spin Dynamics in Optical Lattices. Phys. Rev. Lett. 2005, 95, 190405. [Google Scholar] [CrossRef]
- Bhowmik, A.; Dutta, N.N.; Majumder, S. Vector polarizability of an atomic state induced by a linearly polarized vortex beam: External control of magic, tune-out wavelengths, and heteronuclear spin oscillations. Phys. Rev. A 2020, 102, 063116. [Google Scholar] [CrossRef]
- Dutta, N.N.; Roy, S.; Deshmukh, P.C. Dynamic polarizabilities and hyperfine-structure constants for Sc2+. Phys. Rev. A 2015, 92, 052510. [Google Scholar] [CrossRef]
- Das, A.; Bhowmik, A.; Dutta, N.N.; Majumder, S. Many-body calculations and hyperfine-interaction effect on dynamic polarizabilities at the low-lying energy levels of Y2+. Phy. Rev. A 2020, 102, 012801. [Google Scholar] [CrossRef]
- Chaudhuri, R.K.; Sahoo, B.K.; Das, B.P.; Merlitz, H.; Mahapatra, U.S.; Mukherjee, D. Relativistic coupled cluster calculations of the energies for rubidium and cesium atoms. J. Chem. Phys. 2003, 119, 10633–10637. [Google Scholar] [CrossRef]
- Dutta, N.N.; Majumder, S. Ab initio calculations of spectroscopic properties of Cr5+ using coupled-cluster theory. Indian J. Phys. 2016, 90, 373–380. [Google Scholar] [CrossRef]
- Dutta, N.N.; Roy, S.; Dixit, G.; Majumder, S. Ab initio calculations of transition amplitudes and hyperfine A and B constants of Ga iii. Phys. Rev. A 2013, 87, 012501. [Google Scholar] [CrossRef]
- Bartlett, R.J.; Musial, M. Coupled-cluster theory in quantum chemistry. Rev. Mod. Phys. 2007, 79, 291–352. [Google Scholar] [CrossRef]
- Biswas, S.; Das, A.; Bhowmik, A.; Majumder, S. Accurate estimations of electromagnetic transitions of Sn IV for stellar and interstellar media. Mon. Not. R. Astron. Soc. 2018, 477, 5605–5611. [Google Scholar] [CrossRef]
- Majumder, S.; Gopakumar, G.; Merlitz, H.; Das, B.P. Relativistic coupled cluster calculations using hybrid basis functions. J. Phys. B At. Mol. Opt. Phys. 2001, 34, 4821–4829. [Google Scholar] [CrossRef]
- Bhowmik, A.; Roy, S.; Dutta, N.N.; Majumder, S. Study of coupled-cluster correlations on electromagnetic transitions and hyperfine structure constants of W VI. J. Phys. B At. Mol. Opt. Phys. 2017, 50, 125005. [Google Scholar] [CrossRef]
- Das, A.; Bhowmik, A.; Dutta, N.N.; Majumder, S. Electron-correlation study of Y iii-Tc vii ions using a relativistic coupled-cluster theory. J. Phys. B At. Mol. Opt. Phys. 2018, 51, 025001. [Google Scholar] [CrossRef]
- Lindgren, I.; Morrison, J. Atomic Many-Body Theory; Springer: Berlin/Heidelberg, Germany, 1986; Volume 3. [Google Scholar] [CrossRef]
- Boyle, J.; Pindzola, M.S. Many-Body Atomic Physics; Cambridge University Press: Cambridge, UK, 1998. [Google Scholar] [CrossRef]
- Johnson, W.R.; Liu, Z.W.; Sapirstein, J. Transition rates for lithium-like ions, sodium-like ions, and neutral alkali-metal atoms. At. Data Nucl. Data Tables 1996, 64, 279–300. [Google Scholar] [CrossRef]
- Bhowmik, A.; Dutta, N.N.; Majumder, S. Tunable magic wavelengths for trapping with focused Laguerre–Gaussian beams. Phys. Rev. A 2018, 97, 022511. [Google Scholar] [CrossRef]
- Clementi, E. (Ed.) Modern Techniques in Computational Chemistry: MOTECC-90; Springer: Amsterdam, The Netherlands, 1990. [Google Scholar]
- Roy, S.; Majumder, S. Ab initio estimations of the isotope shift for the first three elements of the K isoelectronic sequence. Phys. Rev. A 2015, 92, 012508. [Google Scholar] [CrossRef]
- Huzinaga, S.; Klobukowski, M. Well-tempered Gaussian basis sets for the calculation of matrix Hartree—Fock wavefunctions. Chem. Phys. Lett. 1993, 212, 260–264. [Google Scholar] [CrossRef]
- Huzinaga, S.; Klobukowski, M.; Tatewaki, H. The well-tempered GTF basis sets and their applications in the SCF calculations on N2, CO, Na2, and P2. Can. J. Chem. 1985, 63, 1812–1828. [Google Scholar] [CrossRef]
- Safronova, U.I. Relativistic many-body calculation of energies, lifetimes, hyperfine constants, multipole polarizabilities, and blackbody radiation shift in 137Ba ii. Phys. Rev. A 2010, 81, 052506. [Google Scholar] [CrossRef]
- Barrett, M.D.; Arnold, K.J.; Safronova, M.S. Polarizability assessments of ion-based optical clocks. Phys. Rev. A 2019, 100, 043418. [Google Scholar] [CrossRef]
- Sahoo, B.K.; Wansbeek, L.W.; Jungmann, K.; Timmermans, R.G.E. Light shifts and electric dipole matrix elements in Ba+ and Ra+. Phys. Rev. A 2009, 79, 052512. [Google Scholar] [CrossRef]
- Jiang, J.; Ma, Y.; Wang, X.; Dong, C.-Z.; Wu, Z.W. Tune-out and magic wavelengths of Ba+ ions. Phys. Rev. A 2021, 103, 032803. [Google Scholar] [CrossRef]
- Dutta, N.N. Trend of Gaunt interaction contributions to the electric dipole polarizabilities of noble gas, alkaline-earth, and a few group-12 atoms. Chem. Phys. Lett. 2020, 758, 137911. [Google Scholar] [CrossRef]
- Kramida, A.; Ralchenko, Y.; Reader, J.; NIST ASD Team. NIST Atomic Spectra Database (ver. 5.9), [Online]. National Institute of Standards and Technology, Gaithersburg, MD. 2021. Available online: https://physics.nist.gov/asd (accessed on 7 September 2022).
- Sahoo, B.K.; Timmermans, R.G.E.; Das, B.P.; Mukherjee, D. Comparative studies of dipole polarizabilities in Sr+, Ba+, and Ra+ and their applications to optical clocks. Phys. Rev. A 2009, 80, 062506. [Google Scholar] [CrossRef]
- Kaur, J.; Singh, S.; Arora, B.; Sahoo, B.K. Magic wavelengths in the alkaline-earth-metal ions. Phys. Rev. A 2015, 92, 031402(R). [Google Scholar] [CrossRef]
- Kastberg, A.; Villemoes, P.; Arnesen, A.; Heijkenskjöld, F.; Langereis, A.; Jungner, P.; Linnæus, S. Measurements of absolute transition probabilities in Ba ii through optical nutation. J. Opt. Soc. Am. B 1993, 10, 1330–1336. [Google Scholar] [CrossRef]
- Klose, J.Z.; Fuhr, J.R.; Wiese, W.L. Critically Evaluated Atomic Transition Probabilities for Ba I and Ba II. J. Phys. Chem. Ref. Data 2002, 31, 217–230. [Google Scholar] [CrossRef]
- Davidson, M.D.; Snoek, L.C.; Volten, H.; Doenszelmann, A. Oscillator strengths and branching ratios of transitions between low-lying levels in the barium II spectrum. Astron. Astrophys. 1992, 255, 457–458. [Google Scholar]
- Woods, S.L.; Hanni, M.E.; Lundeen, S.R.; Snow, E.L. Dipole transition strengths in Ba+ from Rydberg fine-structure measurements in Ba and Ba+. Phys. Rev. A 2010, 82, 012506. [Google Scholar] [CrossRef]
- Kurz, N.; Dietrich, M.R.; Shu, G.; Bowler, R.; Salacka, J.; Mirgon, V.; Blinov, B.B. Measurement of the branching ratio in the 6P3/2 decay of Ba II with a single trapped ion. Phys. Rev. A 2008, 77, 060501(R). [Google Scholar] [CrossRef]
- Da Silva, H., Jr.; Raoult, M.; Aymar, M.; Dulieu, O. Formation of molecular ions by radiative association of cold trapped atoms and ions. New J. Phys. 2015, 17, 045015. [Google Scholar] [CrossRef]
- Kien, F.L.; Schneeweiss, P.; Rauschenbeute, A. Dynamical polarizability of atoms in arbitrary light fields: General theory and application to cesium. Eur. Phys. J. D 2013, 67, 92. [Google Scholar] [CrossRef]
- Vanier, J.; Audoin, C. The Quantum Physics of Atomic Frequency Standards, 1st ed.; CRC Press: Boca Raton, FL, USA, 1989. [Google Scholar] [CrossRef]
- Zhang, W.; Zhou, D.L.; Chang, M.-S.; Chapman, M.S.; You, L. Coherent spin mixing dynamics in a spin-1 atomic condensate. Phys. Rev. A 2005, 72, 013602. [Google Scholar] [CrossRef]
- Trapp, S.; Marx, G.; Tommaseo, G.; Klaas, A.; Drakoudis, A.; Revalde, G.; Szawiola, G.; Werth, G. Hyperfine structure and g factor measurements on Ba+ and Eu+ isotopes. Hyperfine Interact. 2000, 127, 57–64. [Google Scholar] [CrossRef]
- Luo, X.-Y.; Zou, Y.-Q.; Wu, L.-N.; Liu, Q.; Han, M.-F.; Tey, M.K.; You, L. Deterministic entanglement generation from driving through quantum phase transitions. Science 2017, 355, 620–623. [Google Scholar] [CrossRef]
- Zou, Y.-Q.; Wu, L.-N.; Liu, Q.; Luo, X.-Y.; Guo, S.-F.; Cao, J.-H.; Tey, M.K.; You, L. Beating the classical precision limit with spin-1 Dicke states of more than 10,000 atoms. Proc. Natl. Acad. Sci. USA 2018, 115, 6381–6385. [Google Scholar] [CrossRef]
- Jie, J.; Yu, Y.; Wang, D.; Zhang, P. Laser control of the singlet-pairing process in an ultracold spinor mixture. Phys. Rev. A 2021, 103, 053321. [Google Scholar] [CrossRef]
- Beloy, K. Theory of the Ac Stark Effect on the Atomic Hyperfine Structure and Applications to Microwave Atomic Clocks. Ph.D. Dissertation, University of Nevada, Reno, NV, USA, 2009. [Google Scholar]
- Dzuba, V.A.; Flambaum, V.V.; Beloy, K.; Derevianko, A. Hyperfine-mediated static polarizabilities of monovalent atoms and ions. Phys. Rev. A 2010, 82, 062513. [Google Scholar] [CrossRef]





| Symmetry | ||||||
| m | 1 | 2 | 3 | 4 | 5 | 6 |
| {, } | {0.0020, 2.80} | {0.0060, 2.55} | {0.0045, 1.58} | {0.0050, 2.20} | {0.0055, 2.00} | {0.0087, 2.65} |
| Symmetry | ||||||
| m | 7 | 8 | 9 | 10 | 11 | |
| {, } | {0.0033, 2.45} | {0.0077, 2.73} | {0.0077, 2.73} | {0.0063, 2.73} | {0.0063, 2.73} |
Publisher’s Note: MDPI stays neutral with regard to jurisdictional claims in published maps and institutional affiliations. |
© 2022 by the authors. Licensee MDPI, Basel, Switzerland. This article is an open access article distributed under the terms and conditions of the Creative Commons Attribution (CC BY) license (https://creativecommons.org/licenses/by/4.0/).
Share and Cite
Das, A.; Bhowmik, A.; Dutta, N.N.; Majumder, S. Two-Photon Polarizability of Ba+ Ion: Control of Spin-Mixing Processes in an Ultracold 137Ba+ − 87Rb Mixture. Atoms 2022, 10, 109. https://doi.org/10.3390/atoms10040109
Das A, Bhowmik A, Dutta NN, Majumder S. Two-Photon Polarizability of Ba+ Ion: Control of Spin-Mixing Processes in an Ultracold 137Ba+ − 87Rb Mixture. Atoms. 2022; 10(4):109. https://doi.org/10.3390/atoms10040109
Chicago/Turabian StyleDas, Arghya, Anal Bhowmik, Narendra Nath Dutta, and Sonjoy Majumder. 2022. "Two-Photon Polarizability of Ba+ Ion: Control of Spin-Mixing Processes in an Ultracold 137Ba+ − 87Rb Mixture" Atoms 10, no. 4: 109. https://doi.org/10.3390/atoms10040109
APA StyleDas, A., Bhowmik, A., Dutta, N. N., & Majumder, S. (2022). Two-Photon Polarizability of Ba+ Ion: Control of Spin-Mixing Processes in an Ultracold 137Ba+ − 87Rb Mixture. Atoms, 10(4), 109. https://doi.org/10.3390/atoms10040109

