Role of Quark Matter and Color Superconductivity in the Structure and Tidal Deformability of Strange Dwarfs
Abstract
1. Introduction
2. Equation of State of Strange Dwarfs
2.1. Hadronic Envelope
2.2. Strange Matter Core
3. Structure and Tidal Deformability
4. Numerical Results
4.1. Numerical Scheme
4.2. Global Structure
4.3. Tidal Deformability
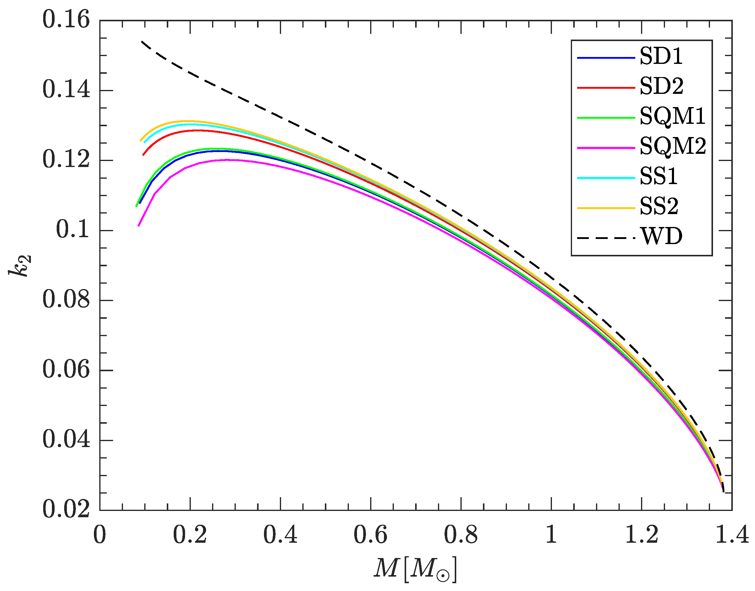
4.3.1. Love Number
4.3.2. Screening Effect
4.3.3. Observable Tidal Deformability Parameter
5. Conclusions
Author Contributions
Funding
Institutional Review Board Statement
Informed Consent Statement
Data Availability Statement
Acknowledgments
Conflicts of Interest
Abbreviations
| NS | Neutron star |
| SS | Strange star |
| WD | White dwarf |
| SD | Strange dwarf |
| GW | Gravitational wave |
| LISA | Laser Interferometer Space Antenna |
| EoS | Equation of state |
| QCD | Quantum chromodynamics |
| TOV | Tolman–Oppenheimer–Volkoff |
| 1 | https://physics.nist.gov/cuu/Constants/ (accessed on 14 July 2023). |
References
- Itoh, N. Hydrostatic Equilibrium of Hypothetical Quark Stars. Prog. Theor. Phys. 1970, 44, 291–292. [Google Scholar] [CrossRef]
- Brecher, K.; Caporaso, G. Obese ‘neutron’ stars. Nature 1976, 259, 377–378. [Google Scholar] [CrossRef]
- Chodos, A.; Jaffe, R.L.; Johnson, K.; Thorn, C.B.; Weisskopf, V.F. New extended model of hadrons. Phys. Rev. D 1974, 9, 3471–3495. [Google Scholar] [CrossRef]
- Witten, E. Cosmic separation of phases. Phys. Rev. D 1984, 30, 272–285. [Google Scholar] [CrossRef]
- Bodmer, A.R. Collapsed Nuclei. Phys. Rev. D 1971, 4, 1601–1606. [Google Scholar] [CrossRef]
- Chin, S.A.; Kerman, A.K. Possible long-lived hyperstrange multiquark droplets. Phys. Rev. Lett. 1979, 43, 1292–1295. [Google Scholar] [CrossRef]
- Terazawa, H. Super-Hypernuclei in the Quark-Shell Model. J. Phys. Soc. Jpn. 1989, 58, 3555. [Google Scholar] [CrossRef]
- Alcock, C.; Farhi, E.; Olinto, A. Strange Stars. Astrophys. J. 1986, 310, 261. [Google Scholar] [CrossRef]
- Alcock, C.; Olinto, A. Exotic Phases of Hadronic Matter and their Astrophysical Application. Annu. Rev. Nucl. Part. Sci. 1988, 38, 161–184. [Google Scholar] [CrossRef]
- Glendenning, N.K.; Kettner, C.; Weber, F. Possible New Class of Dense White Dwarfs. Phys. Rev. Lett. 1995, 74, 3519–3522. [Google Scholar] [CrossRef]
- Glendenning, N.K.; Kettner, C.; Weber, F. From Strange Stars to Strange Dwarfs. Astrophys. J. 1995, 450, 253. [Google Scholar] [CrossRef]
- Alford, M.G.; Harris, S.P.; Sachdeva, P.S. On the Stability of Strange Dwarf Hybrid Stars. Astrophys. J. 2017, 847, 109. [Google Scholar] [CrossRef]
- Clemente, F.D.; Drago, A.; Char, P.; Pagliara, G. Stability and instability of strange dwarfs. arXiv 2022, arXiv:2207.08704. [Google Scholar]
- Goncalves, V.P.; Jimenez, J.C.; Lazzari, L. Revisiting the stability of strange-dwarf stars and strange planets. arXiv 2023, arXiv:2301.07654. [Google Scholar]
- Alcock, C.; Farhi, E. Evaporation of strange matter in the early Universe. Phys. Rev. D 1985, 32, 1273–1279. [Google Scholar] [CrossRef] [PubMed]
- Bucciantini, N.; Drago, A.; Pagliara, G.; Traversi, S.; Bauswein, A. Formation and evaporation of strangelets during the merger of two compact stars. Phys. Rev. D 2022, 106, 103032. [Google Scholar] [CrossRef]
- Kurban, A.; Huang, Y.F.; Geng, J.J.; Zong, H.S. Searching for strange quark matter objects among white dwarfs. Phys. Lett. B 2022, 832, 137204. [Google Scholar] [CrossRef]
- Perot, L.; Chamel, N.; Vallet, P. Unmasking strange dwarfs with gravitational-wave observations. Phys. Rev. D 2023, 107, 103004. [Google Scholar] [CrossRef]
- Baym, G.; Pethick, C.; Sutherland, P. The Ground State of Matter at High Densities: Equation of State and Stellar Models. Astrophys. J. 1971, 170, 299. [Google Scholar] [CrossRef]
- Alford, M.; Rajagopal, K.; Wilczek, F. Color-flavor locking and chiral symmetry breaking in high density QCD. Nucl. Phys. B 1999, 537, 443–458. [Google Scholar] [CrossRef]
- Alford, M.; Bowers, J.A.; Rajagopal, K. Crystalline color superconductivity. Phys. Rev. D 2001, 63, 074016. [Google Scholar] [CrossRef]
- Matsuzaki, M.; Kobayashi, E. Structure of strange dwarfs with colour superconducting core. J. Phys. G Nucl. Part. Phys. 2007, 34, 1621–1626. [Google Scholar] [CrossRef]
- Anglani, R.; Casalbuoni, R.; Ciminale, M.; Ippolito, N.; Gatto, R.; Mannarelli, M.; Ruggieri, M. Crystalline color superconductors. Rev. Mod. Phys. 2014, 86, 509–561. [Google Scholar] [CrossRef]
- Mannarelli, M.; Rajagopal, K.; Sharma, R. Rigidity of crystalline color superconducting quark matter. Phys. Rev. D 2007, 76, 074026. [Google Scholar] [CrossRef]
- Lau, S.Y.; Leung, P.T.; Lin, L.M. Tidal deformations of compact stars with crystalline quark matter. Phys. Rev. D 2017, 95, 101302. [Google Scholar] [CrossRef]
- Lau, S.Y.; Leung, P.T.; Lin, L.M. Two-layer compact stars with crystalline quark matter: Screening effect on the tidal deformability. Phys. Rev. D 2019, 99, 023018. [Google Scholar] [CrossRef]
- Chamel, N.; Fantina, A.F. Electron exchange and polarization effects on electron captures and neutron emissions by nuclei in white dwarfs and neutron stars. Phys. Rev. D 2016, 93, 063001. [Google Scholar] [CrossRef]
- Lunney, D.; Pearson, J.M.; Thibault, C. Recent trends in the determination of nuclear masses. Rev. Mod. Phys. 2003, 75, 1021–1082. [Google Scholar] [CrossRef]
- Baiko, D.A.; Potekhin, A.Y.; Yakovlev, D.G. Thermodynamic functions of harmonic Coulomb crystals. Phys. Rev. E 2001, 64, 057402. [Google Scholar] [CrossRef]
- Chugunov, A.I. Neutron star crust in Voigt approximation II: General formula for electron screening correction for effective shear modulus. Mon. Not. R. Astron. Soc. 2022, 517, 4607–4611. [Google Scholar] [CrossRef]
- Alford, M.; Braby, M.; Paris, M.; Reddy, S. Hybrid Stars that Masquerade as Neutron Stars. Astrophys. J. 2005, 629, 969. [Google Scholar] [CrossRef]
- Schmitt, A. Dense Matter in Compact Stars; Springer: Berlin/Heidelberg, Germany, 2010; Volume 811. [Google Scholar] [CrossRef]
- Mannarelli, M.; Pagliaroli, G.; Parisi, A.; Pilo, L. Electromagnetic signals from bare strange stars. Phys. Rev. D 2014, 89, 103014. [Google Scholar] [CrossRef]
- Haensel, P.; Potekhin, A.Y.; Yakovlev, D.G. Neutron Stars. 1. Equation of State and Structure; Springer: New York, NY, USA, 2007. [Google Scholar]
- Zdunik, J.L. Strange stars—Linear approximation of the EOS and maximum QPO frequency. Astron. Astrophys. 2000, 359, 311–315. [Google Scholar]
- Dey, M.; Bombaci, I.; Dey, J.; Ray, S.; Samanta, B. Strange stars with realistic quark vector interaction and phenomenological density-dependent scalar potential. Phys. Lett. B 1998, 438, 123–128. [Google Scholar] [CrossRef]
- Hinderer, T. Tidal Love Numbers of Neutron Stars. Astrophys. J. 2008, 677, 1216–1220. [Google Scholar] [CrossRef]
- Perot, L.; Chamel, N. Tidal deformability of crystallized white dwarfs in full general relativity. Phys. Rev. D 2022, 106, 023012. [Google Scholar] [CrossRef]






Disclaimer/Publisher’s Note: The statements, opinions and data contained in all publications are solely those of the individual author(s) and contributor(s) and not of MDPI and/or the editor(s). MDPI and/or the editor(s) disclaim responsibility for any injury to people or property resulting from any ideas, methods, instructions or products referred to in the content. |
© 2023 by the authors. Licensee MDPI, Basel, Switzerland. This article is an open access article distributed under the terms and conditions of the Creative Commons Attribution (CC BY) license (https://creativecommons.org/licenses/by/4.0/).
Share and Cite
Perot, L.; Chamel, N. Role of Quark Matter and Color Superconductivity in the Structure and Tidal Deformability of Strange Dwarfs. Universe 2023, 9, 382. https://doi.org/10.3390/universe9090382
Perot L, Chamel N. Role of Quark Matter and Color Superconductivity in the Structure and Tidal Deformability of Strange Dwarfs. Universe. 2023; 9(9):382. https://doi.org/10.3390/universe9090382
Chicago/Turabian StylePerot, Loïc, and Nicolas Chamel. 2023. "Role of Quark Matter and Color Superconductivity in the Structure and Tidal Deformability of Strange Dwarfs" Universe 9, no. 9: 382. https://doi.org/10.3390/universe9090382
APA StylePerot, L., & Chamel, N. (2023). Role of Quark Matter and Color Superconductivity in the Structure and Tidal Deformability of Strange Dwarfs. Universe, 9(9), 382. https://doi.org/10.3390/universe9090382

