A Short Survey of Matter-Antimatter Evolution in the Primordial Universe
Abstract
1. Timeline of Particles and Plasmas in the Universe
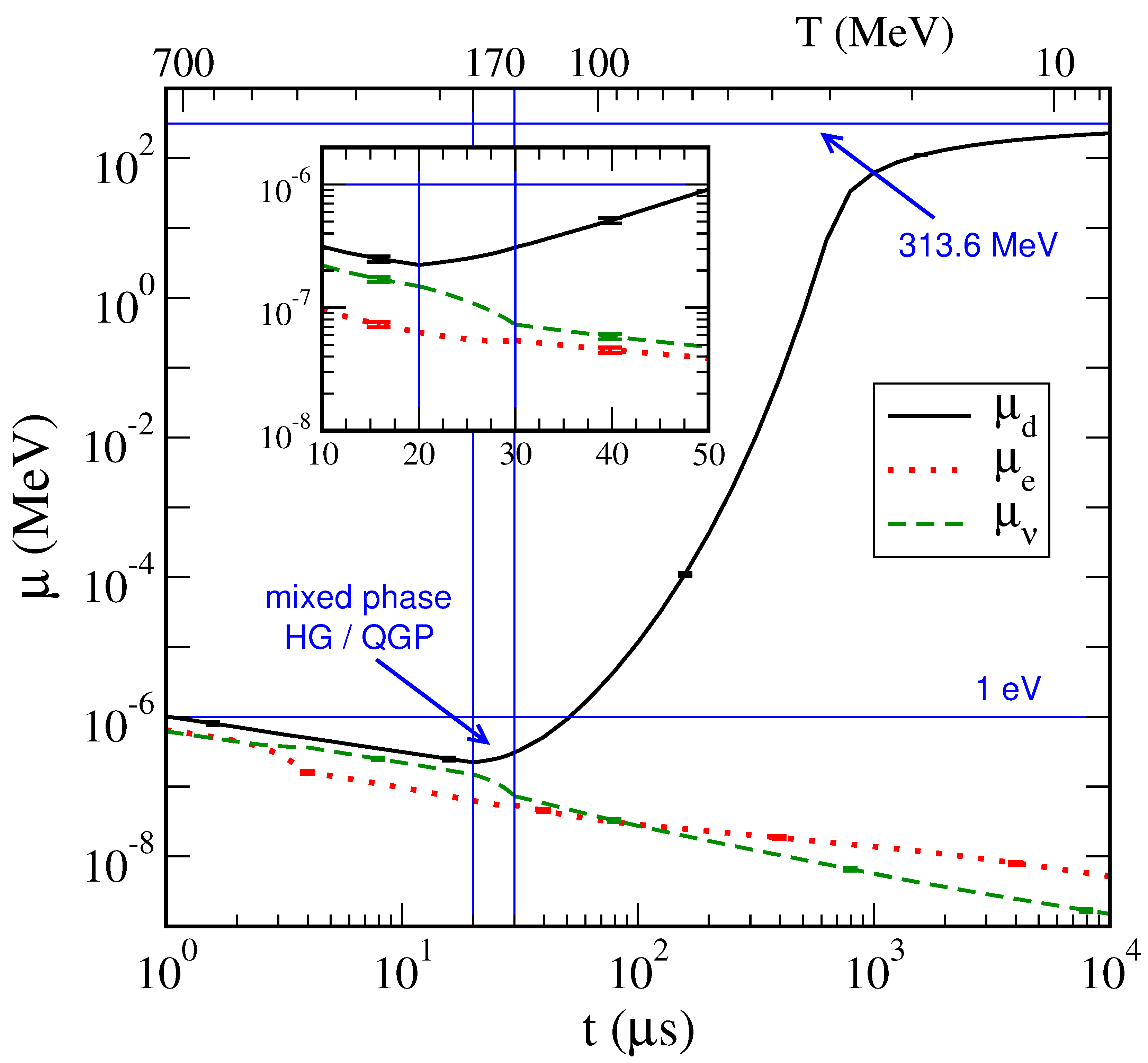
1.1. Guide to 130 GeV > 20 > keV
1.2. The Five Plasma Epochs
- A
- Case of baryonic number (charge) conservation: In order to separate space domains in which either matter or antimatter is albeit very slightly dominant we need a ’force’ capable of dynamically creating this matter-antimatter separation. This requires that two of the three Sakharov [14,15] conditions be fulfilled:
- Violation of CP-invariance allowing to distinguish matter from antimatter
- Non-stationary conditions in absence of local thermodynamic equilibrium
- B
- There is no known cause for baryon charge conservation. Therefore it is possible to consider the full Sakharov model with
- 3.
- Absence of baryonic charge conservation
Allowing the dynamical formation of the uniform matter-antimatter asymmetry typically occurring prior to the epoch governed by physics confirmed by current experiment to which environs we restrict this short survey. A well studied example is the Affleck-Dine mechanism [20].
- Primordial quark-gluon plasma: At early times when the temperature was between we have the building blocks of the Universe as we know them today, including the leptons, vector bosons, and all three families of deconfined quarks and gluons which propagated freely. As all hadrons are dissolved into their constituents during this time, strongly interacting particles controlled the fate of the Universe. Here we will only look at the late-stage evolution at around .
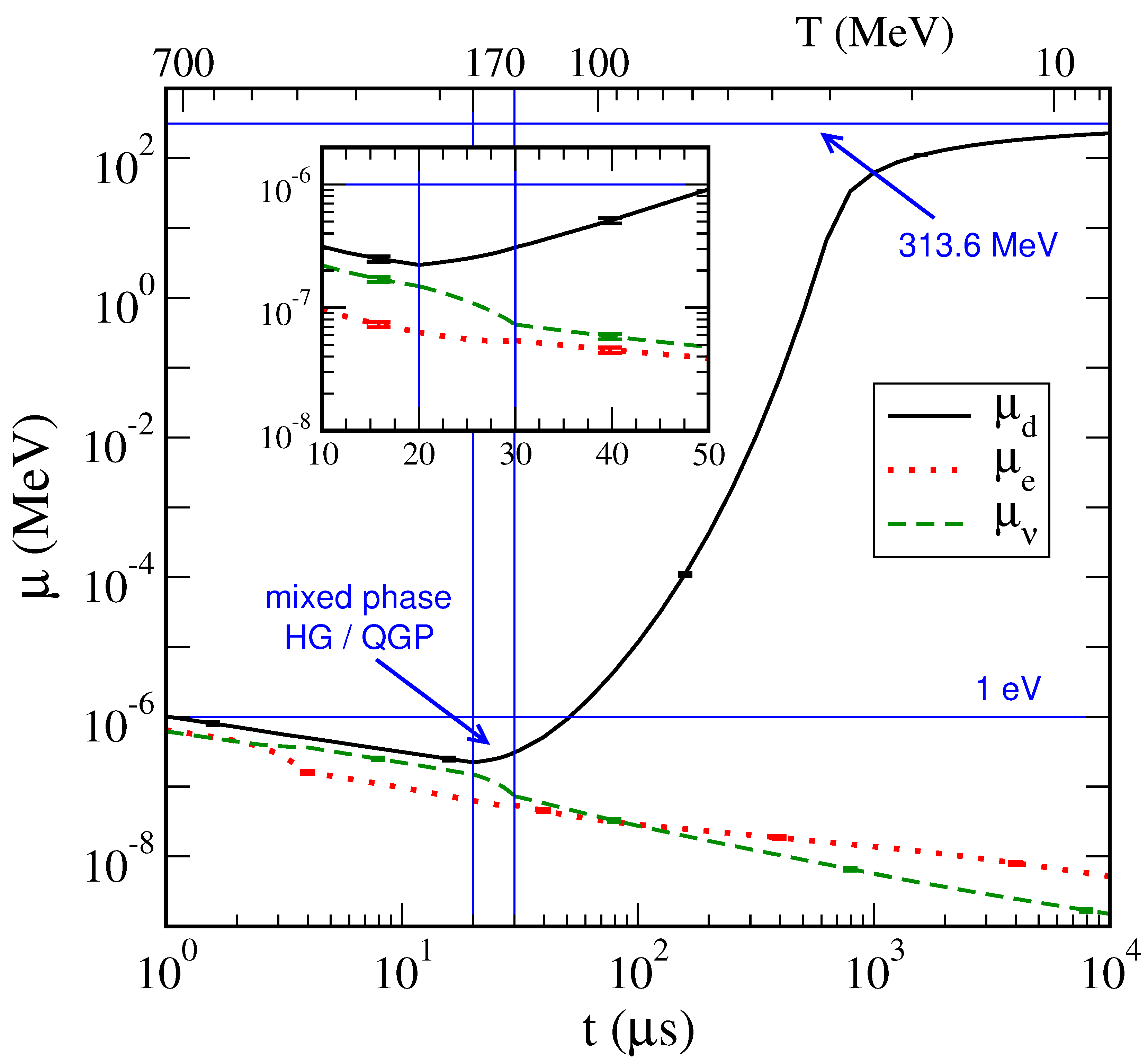
- Hadronic epoch: Around the hadronization temperature , a phase transformation occurred forcing the strongly interacting particles such as quarks and gluons to condense into confined states [22]. It is here where matter as we know it today forms and the Universe becomes hadronic-matter dominated. In the temperature range the Universe is rich in physics phenomena involving strange mesons and (anti)baryons including (anti)hyperon abundances [23,24].
- Lepton-photon epoch: For temperature , the Universe contained relativistic electrons, positrons, photons, and three species of (anti)neutrinos. Muons vanish partway through this temperature scale. In this range, neutrinos were still coupled to the charged leptons via the weak interaction [25,26]. During this time the expansion of the Universe is controlled by leptons and photons almost on equal footing.
- Final antimatter epoch: After neutrinos decoupled and become free-streaming, referred to as neutrino freeze-out, from the cosmic plasma at , the cosmic plasma was dominated by electrons, positrons, and photons. We have shown in [27] that this plasma existed until such that BBN occurred within a rich electron-positron plasma. This is the last time the Universe will contain a significant fraction of its content in antimatter.
- Moving towards a matter dominated Universe: The final major plasma stage in the Universe began after the annihilation of the majority of pairs leaving behind a residual amount of electrons determined by the baryon asymmetry in the Universe and charge conservation. The Universe was still opaque to photons at this point and remained so until the recombination period at starting the era of observational cosmology with the CMB. This final epoch of the primordial Universe will not be described in detail here, but is well covered in [28].

1.3. The Lambda-CDM Universe
2. QGP Epoch
2.1. Conservation Laws in QGP
- Electric charge neutrality , given bywhere is the charge and is the numerical density of each species f. Q is a conserved quantity in the Standard Model under global symmetry. This is summed is over all particles present in the QGP epoch.
- Baryon number and lepton number neutrality , given bywhere and are the lepton and baryon number for the given species f. This condition is phenomenologically motivated by baryogenesis and is exactly conserved in the Standard Model under global symmetry. We note many Beyond-Standard-Model (BSM) models also retain this as an exact symmetry though Majorana neutrinos do not.
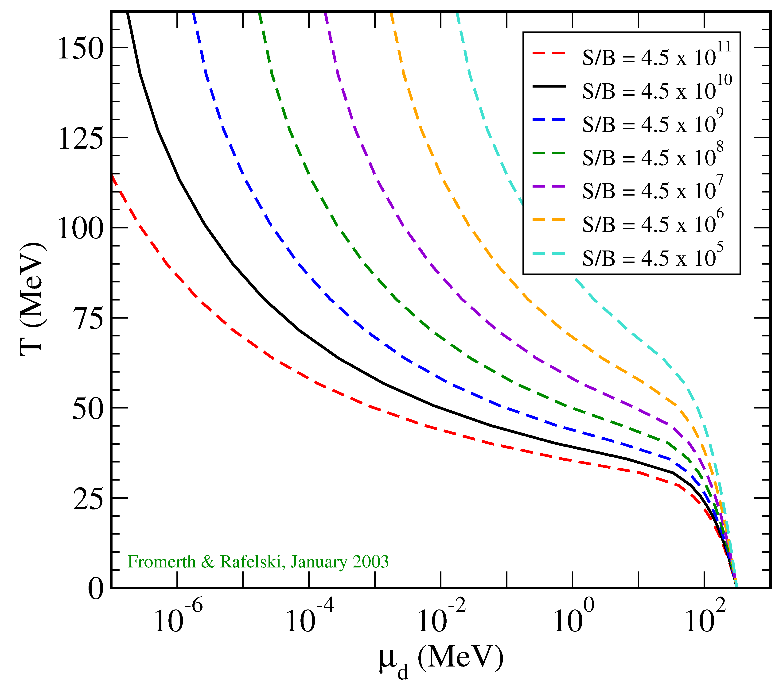
- The entropy-per-baryon density ratio is a constant and can be written aswhere is the entropy density of given species f. As the expanding Universe remains in thermal equilibrium, the entropy is conserved within a co-moving volume. The baryon number within a co-moving volume is also conserved. As both quantities dilute with within a normal volume, the ratio of the two is constant. This constraint does not become broken until spatial inhomogeneities from gravitational attraction becomes significant, leading to increases in local entropy.
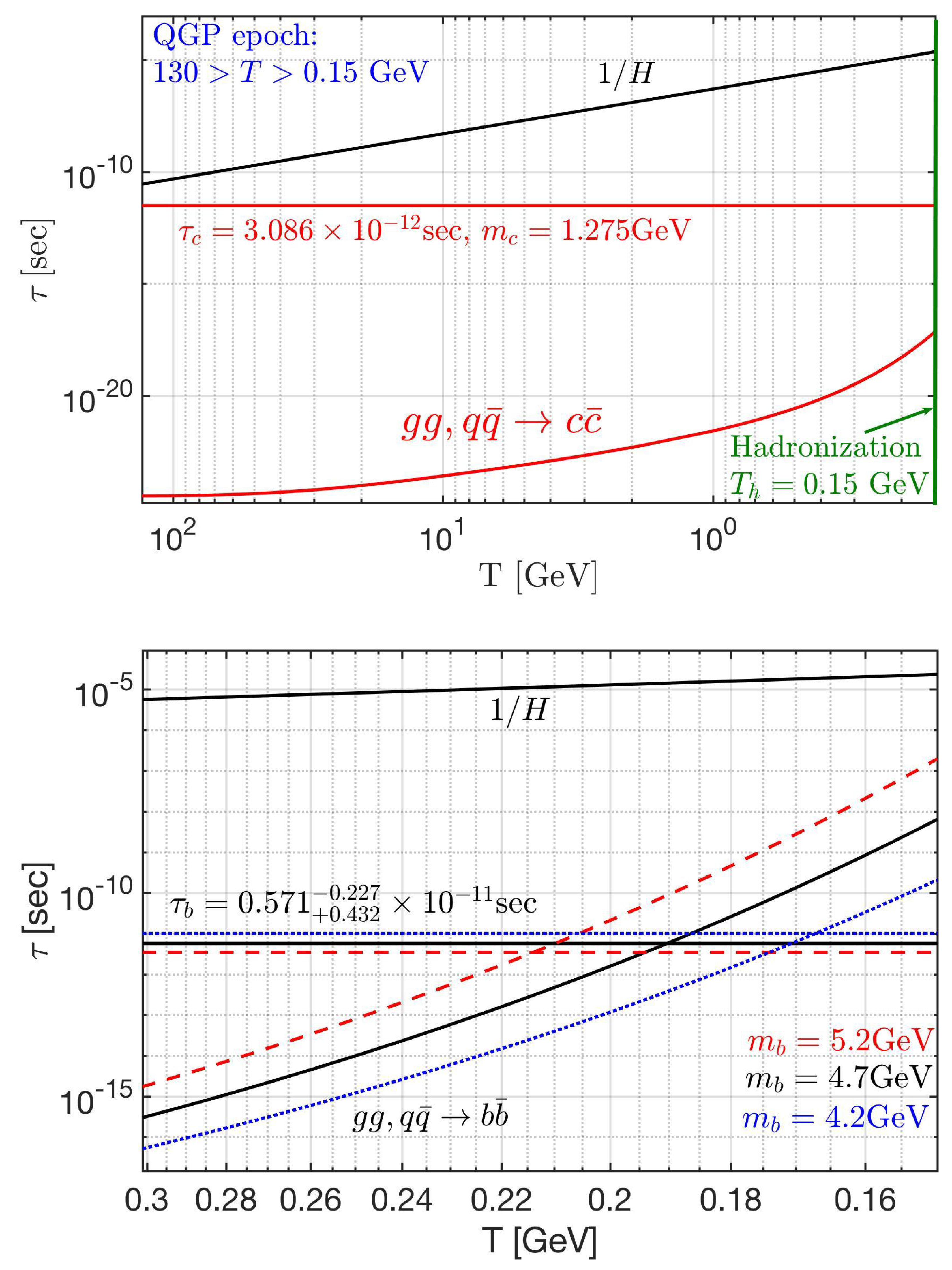
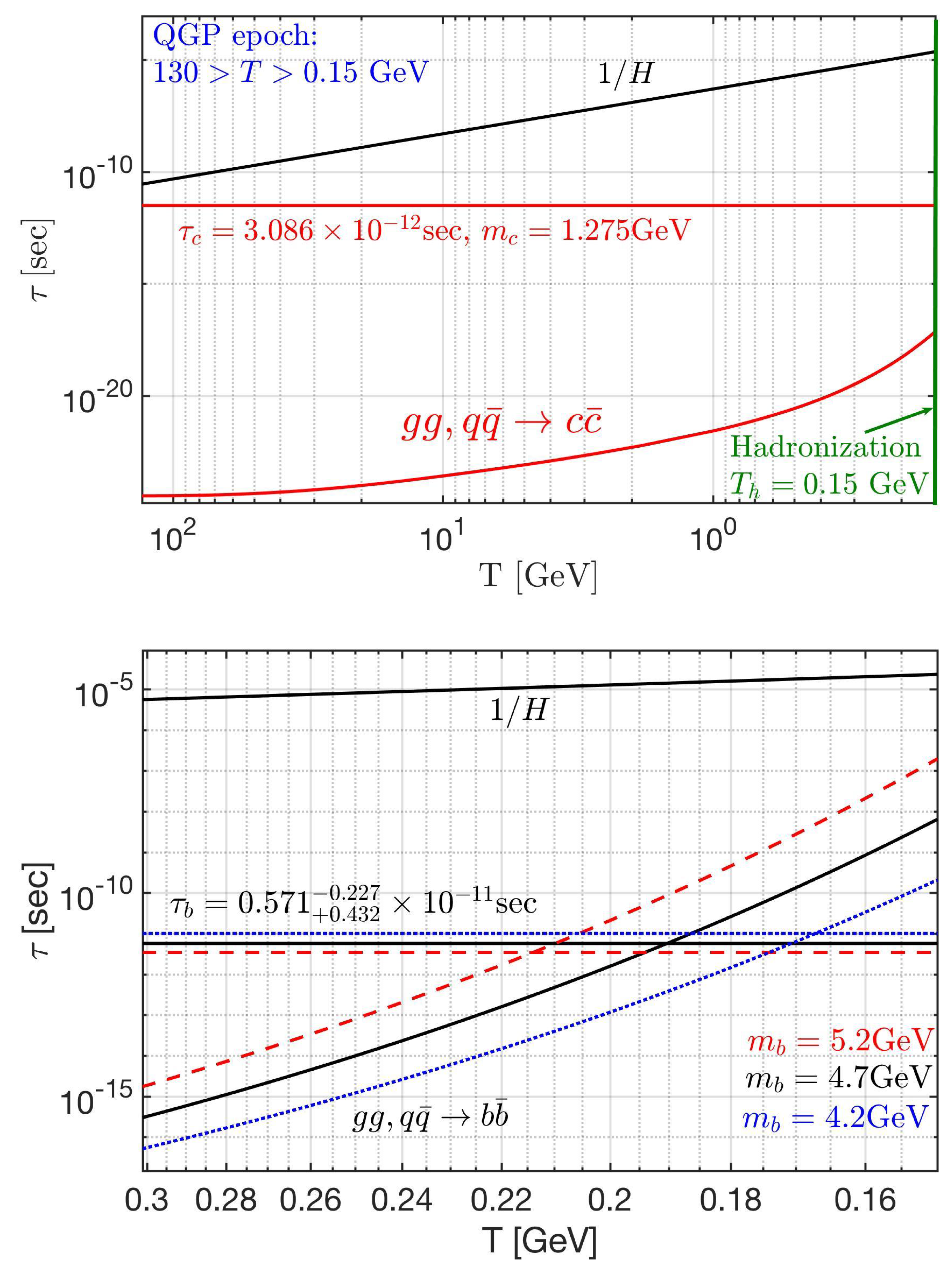
2.2. Heavy Flavor: Bottom and Charm in QGP
3. Hadronic Epoch
3.1. The Formation of Matter
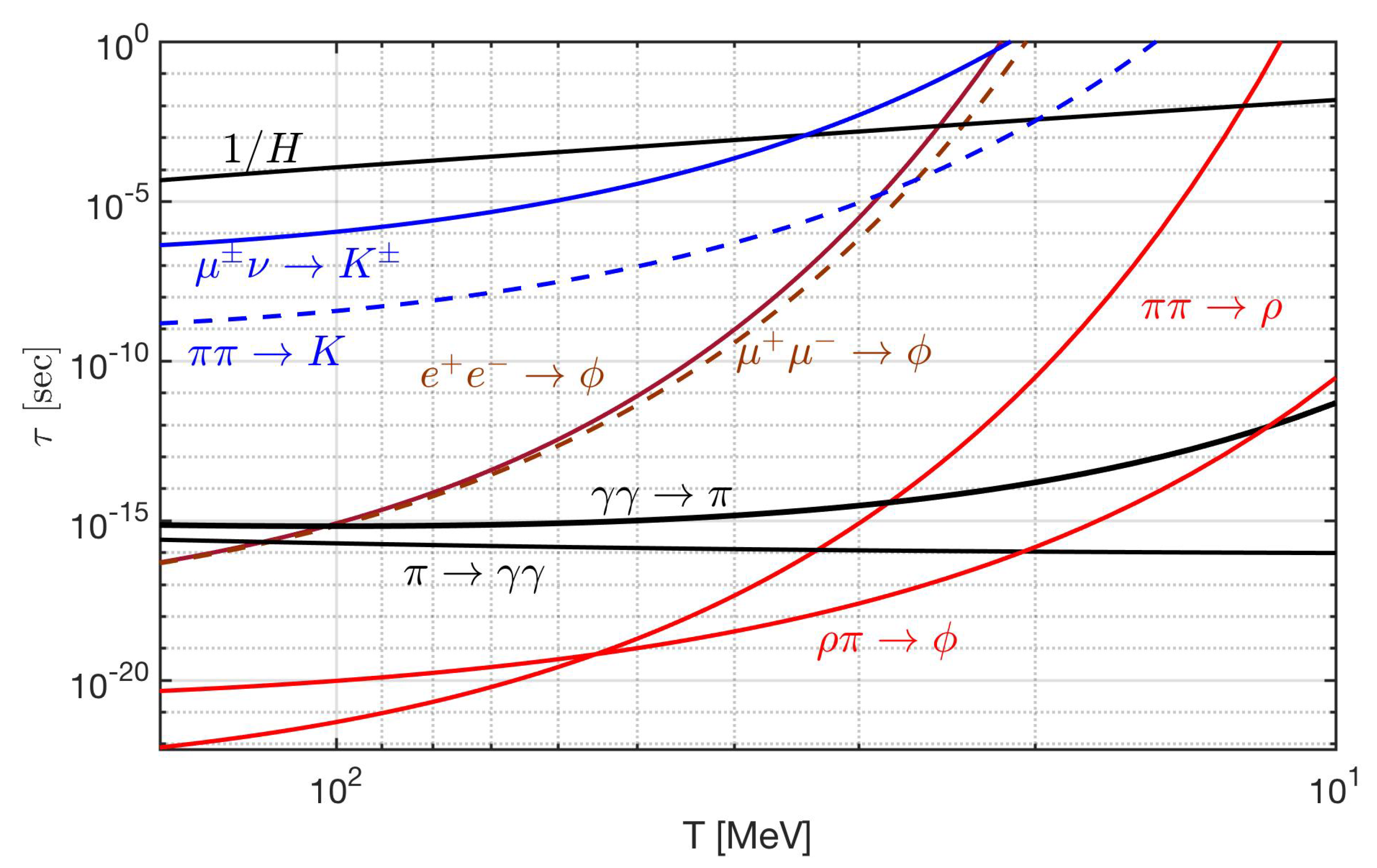
3.2. Strangeness Abundance
- Strangeness in the mesons
- Strangeness in the (anti)hyperons
3.3. Pion Abundance
4. Leptonic Epoch
4.1. Thermal Degrees of Freedom
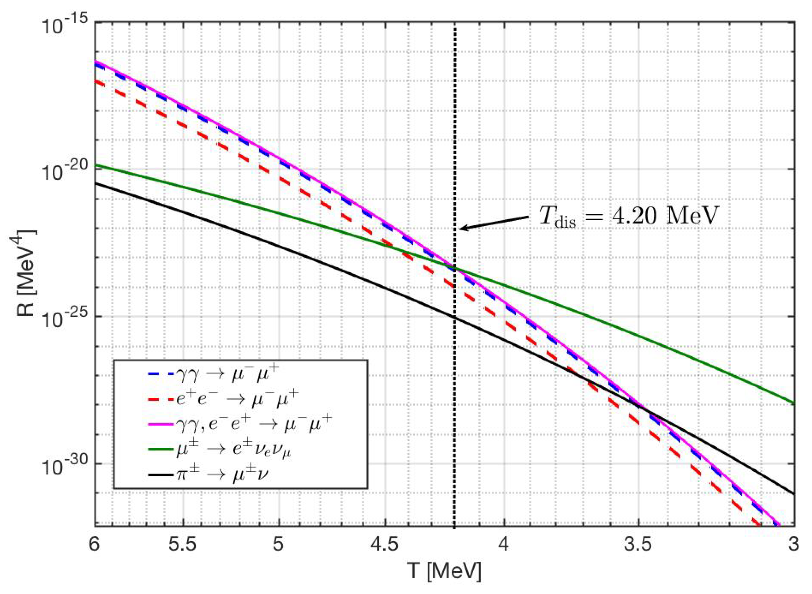
4.2. Muon Abundance
4.3. Neutrino Masses and Oscillation
4.4. Neutrino Freeze-Out
4.5. Effective Number of Neutrinos
5. Electron-Positron Epoch
5.1. The Last Bastion of Antimatter
5.2. Cosmic Magnetism
5.3. Landau Eigen-Energies in Cosmology
5.4. Electron-Positron Statistical Physics
5.5. Charge Neutrality and Chemical Potential
5.6. Magnetization of the Electron-Positron Plasma
- The aligned polarized gas is described by and . The magnetization of this contribution is therefore
- The spin anti-aligned gas has effective masses , and . This yields a magnetization contribution of
6. Looking in the Cosmic Rear-View Mirror
- Strangeness abundance, present beyond the loss of the antibaryons at .
- Pions, which are equilibrated via photon production long after the other hadrons disappear; these lightest hadrons are also dominating the Universe baryon abundance down to .
- Muons, disappearing at around , the condition when their decay rate outpaces their production rate.
- The study of matter baryogenesis in the context of bottom quarks chemical non-equilibrium persistence near to QGP hadronization;
- The impact of relatively dense plasma on BBN processes;
- Exploration of spatial inhomogeneities in dense plasma and eventual large scale structure formation and related spontaneous self magnetization process.
- Appearance of a significant positron abundance at keV creates interest in understanding astrophysical object with core temperatures at, and beyond, this super-hot value; the high positron content enables in case of instability a rapid gamma ray formation akin to GRB events.
Author Contributions
Funding
Data Availability Statement
Acknowledgments



Conflicts of Interest
References
- Fang, L.; Ruffini, R. (Eds.) Cosmology of the Early Universe. In Advanced Series in Astrophysics and Cosmology; World Scientific: Singapore, 1984; Volume 1. [Google Scholar]
- Fang, L.; Ruffini, R. (Eds.) Galaxies, Quasars, and Cosmology. In Advanced Series in Astrophysics and Cosmology; World Scientific: Singapore, 1985; Volume 2. [Google Scholar]
- Fang, L.; Ruffini, R. (Eds.) Quantum cosmology. In Advanced Series in Astrophysics and Cosmology; World Scientific: Singapore, 1987; Volume 3. [Google Scholar]
- Ruffini, R.; Bianco, C.L.; Chardonnet, P.; Fraschetti, F.; Xue, S.S. On the interpretation of the burst structure of grbs. Astrophys. J. Lett. 2001, 555, L113–L116. [astro-ph/0106532]. [CrossRef]
- Aksenov, A.G.; Bianco, C.L.; Ruffini, R.; Vereshchagin, G.V. GRBs and the thermalization process of electron-positron plasmas. AIP Conf. Proc. 2008, 1000, 309–312. [arXiv:astro-ph/0804.2807]. [CrossRef]
- Aksenov, A.G.; Ruffini, R.; Vereshchagin, G.V. Pair plasma relaxation time scales. Phys. Rev. E 2010, 81, 046401. [arXiv:astroph.HE/1003.5616]. [CrossRef] [PubMed]
- Ruffini, R.; Vereshchagin, G. Electron-positron plasma in GRBs and in cosmology. Nuovo Cim. C 2013, 036, 255–266. [arXiv:astroph.CO/1205.3512]. [CrossRef]
- Ruffini, R.; Vitagliano, L.; Xue, S.S. Electron-positron-photon plasma around a collapsing star. In Proceedings of the 10th Marcel Grossmann Meeting on Recent Developments in Theoretical and Experimental General Relativity, Gravitation and Relativistic Field Theories (MG X MMIII), Rio de Janeiro, Brazil, 20–26 July 2003; pp. 295–302. [astro-ph/0304306]. [CrossRef]
- Ruffini, R.; Vereshchagin, G.; Xue, S.S. Electron-positron pairs in physics and astrophysics: From heavy nuclei to black holes. Phys. Rept. 2010, 487, 1–140. [arXiv:astro-ph.HE/0910.0974]. [CrossRef]
- Ruffini, R.; Salmonson, J.D.; Wilson, J.R.; Xue, S.S. On the pair-electromagnetic pulse from an electromagnetic black hole surrounded by a baryonic remnant. Astron. Astrophys. 2000, 359, 855. [astro-ph/0004257].
- Han, W.B.; Ruffini, R.; Xue, S.S. Electron and positron pair production of compact stars. Phys. Rev. D 2012, 86, 84004. [arXiv:astro-ph.HE/1110.0700]. [CrossRef]
- Belvedere, R.; Pugliese, D.; Rueda, J.A.; Ruffini, R.; Xue, S.S. Neutron star equilibrium configurations within a fully relativistic theory with strong, weak, electromagnetic, and gravitational interactions. Nucl. Phys. A 2012, 883, 1–24. [arXiv:astroph.SR/1202.6500]. [CrossRef]
- Rafelski, J. Melting Hadrons, Boiling Quarks. Eur. Phys. J. A 2015, 51, 114. [arXiv:nucl-th/1508.03260]. [CrossRef]
- Sakharov, A.D. Violation of CP Invariance, C asymmetry, and baryon asymmetry of the universe. Pisma Zh. Eksp. Teor. Fiz. 1967, 5, 32–35. [Google Scholar] [CrossRef]
- Sakharov, A.D. Baryon asymmetry of the universe. Sov. Phys. Uspekhi 1991, 34, 417–421. [Google Scholar] [CrossRef]
- Cohen, A.G.; De Rujula, A.; Glashow, S.L. A Matter-antimatter universe? Astrophys. J. 1998, 495, 539–549. [astro-ph/9707087]. [CrossRef]
- Khlopov, M.Y.; Rubin, S.G.; Sakharov, A.S. Possible origin of antimatter regions in the baryon dominated universe. Phys. Rev. D 2000, 62, 083505. [hep-ph/0003285]. [CrossRef]
- Blinnikov, S.I.; Dolgov, A.D.; Postnov, K.A. Antimatter and antistars in the universe and in the Galaxy. Phys. Rev. D 2015, 92, 023516. [arXiv:astro-ph.HE/1409.5736]. [CrossRef]
- Khlopov, M.Y.; Lecian, O.M. The Formalism of Milky-Way Antimatter-Domains Evolution. Galaxies 2023, 11, 50. [Google Scholar] [CrossRef]
- Affleck, I.; Dine, M. A New Mechanism for Baryogenesis. Nucl. Phys. B 1985, 249, 361–380. [Google Scholar] [CrossRef]
- Rubakov, V.A.; Shaposhnikov, M.E. Electroweak baryon number nonconservation in the early universe and in high-energy collisions. Usp. Fiz. Nauk 1996, 166, 493–537. [hep-ph/9603208]. [CrossRef]
- Letessier, J.; Rafelski, J. Hadron production and phase changes in relativistic heavy ion collisions. Eur. Phys. J. A 2008, 35, 221–242. [nucl-th/0504028]. [CrossRef]
- Fromerth, M.J.; Kuznetsova, I.; Labun, L.; Letessier, J.; Rafelski, J. From Quark-Gluon Universe to Neutrino Decoupling: 200 < T < 2MeV. Acta Phys. Polon. B 2012, 43, 2261–2284. [arXiv:nucl-th/1211.4297]. [CrossRef]
- Yang, C.T.; Rafelski, J. Cosmological strangeness abundance. Phys. Lett. B 2022, 827, 136944. [arXiv:hep-ph/2108.01752]. [CrossRef]
- Birrell, J.; Yang, C.T.; Chen, P.; Rafelski, J. Relic neutrinos: Physically consistent treatment of effective number of neutrinos and neutrino mass. Phys. Rev. D 2014, 89, 23008. [arXiv:astro-ph.CO/1212.6943]. [CrossRef]
- Birrell, J. Non-Equilibrium Aspects of Relic Neutrinos: From Freeze-out to the Present Day. Ph.D. Thesis, University of Arizona, Tucson, AZ, USA, 2014. [arXiv:nucl-th/1409.4500].
- Grayson, C.; Yang, C.T.; Rafelski, J. Electron-Positron Plasma in the BBN epoch. 2023; in preparation. [Google Scholar]
- Aghanim, N.; Akrami, Y.; Ashdown,, M.; Aumont, J.; Baccigalupi, C.; Ballardini, M.; Banday, A.J.; Barreiro, R.B.; Bartolo, N.; Basak, S.; et al. Planck 2018 results. VI. Cosmological parameters. Astron. Astrophys. 2021, 641, A6. [arXiv:astro-ph.CO/1807.06209]. [CrossRef]
- Rafelski, J.; Birrell, J. Traveling Through the Universe: Back in Time to the Quark-Gluon Plasma Era. J. Phys. Conf. Ser. 2014, 509, 012014. [arXiv:nucl-th/1311.0075]. [CrossRef]
- Wantz, O.; Shellard, E.P.S. Axion Cosmology Revisited. Phys. Rev. D 2010, 82, 123508. [arXiv:astro-ph.CO/0910.1066]. [CrossRef]
- Kronfeld, A.S. Lattice Gauge Theory and the Origin of Mass. In 100 Years of Subatomic Physics; World Scientific: Singapore, 2013; pp. 493–518. [arXiv:physics.hist-ph/1209.3468]. [CrossRef]
- D’Elia, M.; Mariti, M.; Negro, F. Susceptibility of the QCD vacuum to CP-odd electromagnetic background fields. Phys. Rev. Lett. 2013, 110, 082002. [arXiv:hep-lat/1209.0722]. [CrossRef] [PubMed]
- Bonati, C.; Cossu, G.; D’Elia, M.; Mariti, M.; Negro, F. Effective θ term by CP-odd electromagnetic background fields. PoS 2014, LATTICE2013, 360. [arXiv:hep-lat/1312.2805]. [CrossRef]
- Borsanyi, S. Thermodynamics of the QCD transition from lattice. Nucl. Phys. A 2013, 904–905, 270c–277c. [arXiv:heplat/1210.6901]. [CrossRef]
- Borsanyi, S.; Fodor, Z.; Hoelbling, C.; Katz, S.D.; Krieg, S.; Szabo, K.K. Full result for the QCD equation of state with 2 + 1 flavors. Phys. Lett. B 2014, 730, 99–104. [arXiv:hep-lat/1309.5258]. [CrossRef]
- Bernstein, J. Kinetic Theory in the Expanding Universe; Cambridge Monographs on Mathematical Physics, Cambridge University Press: Cambridge, UK, 1988. [Google Scholar] [CrossRef]
- Philipsen, O. The QCD equation of state from the lattice. Prog. Part. Nucl. Phys. 2013, 70, 55–107. [arXiv:hep-lat/1207.5999]. [CrossRef]
- Mangano, G.; Miele, G.; Pastor, S.; Pinto, T.; Pisanti, O.; Serpico, P.D. Relic neutrino decoupling including flavor oscillations. Nucl. Phys. B 2005, 729, 221–234. [hep-ph/0506164]. [CrossRef]
- Fornengo, N.; Kim, C.W.; Song, J. Finite temperature effects on the neutrino decoupling in the early universe. Phys. Rev. D 1997, 56, 5123–5134. [hep-ph/9702324]. [CrossRef]
- Mangano, G.; Miele, G.; Pastor, S.; Peloso, M. A Precision calculation of the effective number of cosmological neutrinos. Phys. Lett. B 2002, 534, 8–16. [astro-ph/0111408]. [CrossRef]
- Planck Collaboration. Planck 2013 results. XVI. Cosmological parameters. Astron. Astrophys. 2014, 571, A16. [arXiv:astroph.CO/1303.5076]. [CrossRef]
- Planck Collaboration. Planck 2015 results. XIII. Cosmological parameters. Astron. Astrophys. 2016, 594, A13. [arXiv:astroph.CO/1502.01589]. [CrossRef]
- Caldwell, R.R.; Kamionkowski, M.; Weinberg, N.N. Phantom energy and cosmic doomsday. Phys. Rev. Lett. 2003, 91, 071301. [astro-ph/0302506]. [CrossRef]
- Bilic, N.; Tupper, G.B.; Viollier, R.D. Unification of dark matter and dark energy: The Inhomogeneous Chaplygin gas. Phys. Lett. B 2002, 535, 17–21. [astro-ph/0111325]. [CrossRef]
- Benevento, G.; Hu, W.; Raveri, M. Can Late Dark Energy Transitions Raise the Hubble constant? Phys. Rev. D 2020, 101, 103517. [arXiv:astro-ph.CO/2002.11707]. [CrossRef]
- Perivolaropoulos, L.; Skara, F. Challenges for ΛCDM: An update. New Astron. Rev. 2022, 95, 101659. [arXiv:astroph.CO/2105.05208]. [CrossRef]
- Di Valentino, E.; Mena, O.; Pan, S.; Visinelli, L.; Yang, W.; Melchiorri, A.; Mota, D.F.; Riess, A.G.; Silk, J. In the realm of the Hubble tension—A review of solutions. Class. Quant. Grav. 2021, 38, 153001. [arXiv:astro-ph.CO/2103.01183]. [CrossRef]
- Aluri, P.K.; Cea, P.; Chingangbam, P.; Chu, M.C.; Clowes, R.G.; Hutsemekers, D.; Kochappan, J.P.; Lopez, A.M.; Liu, L.; Liu, L.; et al. Is the observable Universe consistent with the cosmological principle? Class. Quant. Grav. 2023, 40, 094001. [arXiv:astro-ph.CO/2207.05765]. [CrossRef]
- Yan, H.; Ma, Z.; Ling, C.; Cheng, C.; Huang, J.S. First Batch of z ≈ 11–20 Candidate Objects Revealed by the James Webb Space Telescope Early Release Observations on SMACS 0723-73. Astrophys. J. Lett. 2023, 942, L9. [arXiv:astro-ph.GA/2207.11558]. [CrossRef]
- Weinberg, S. Gravitation and Cosmology: Principles and Applications of the General Theory of Relativity; John Wiley and Sons: New York, NY, USA, 1972. [Google Scholar]
- Castellani, V.; Degl’Innocenti, S.; Fiorentini, G.; Lissia, M.; Ricci, B. Solar neutrinos: Beyond standard solar models. Phys. Rept. 1997, 281, 309–398. [astro-ph/9606180]. [CrossRef]
- Rafelski, J.; Letessier, J.; Torrieri, G. Strange hadrons and their resonances: A Diagnostic tool of QGP freezeout dynamics. Phys. Rev. C 2002, 64, 054907. [Google Scholar] [CrossRef]
- Ollitrault, J.Y. Anisotropy as a signature of transverse collective flow. Phys. Rev. D 1992, 46, 229–245. [Google Scholar] [CrossRef] [PubMed]
- Petrán, M.; Letessier, J.; Petráček, V.; Rafelski, J. Hadron production and quark-gluon plasma hadronization in Pb-Pb collisions at sNN=2.76 TeV. Phys. Rev. C 2013, 88, 034907. [arXiv:hep-ph/1303.2098]. [CrossRef]
- Ryu, S.; Paquet, J.F.; Shen, C.; Denicol, G.S.; Schenke, B.; Jeon, S.; Gale, C. Importance of the Bulk Viscosity of QCD in Ultrarelativistic Heavy-Ion Collisions. Phys. Rev. Lett. 2015, 115, 132301. [arXiv:nucl-th/1502.01675]. [CrossRef]
- Rafelski, J. Formation and Observables of the Quark-Gluon Plasma. Phys. Rept. 1982, 88, 331. [Google Scholar]
- Rafelski, J.; Schnabel, A. Quark-Gluon Plasma in Nuclear Collisions at 200-GeV/A. Phys. Lett. B 1988, 207, 6–10. [Google Scholar] [CrossRef]
- Letessier, J.; Rafelski, J. Hadrons and Quark–Gluon Plasma; Cambridge Monographs on Particle Physics, Nuclear Physics and Cosmology; Cambridge University Press: Cambridge, UK, 2023. [Google Scholar] [CrossRef]
- Bazavov, A.; Bhattacharya, T.; DeTar, C.; Ding, H.-T.; Gottlieb, S.; Gupta, R.; Hegde, P.; Heller, U.; Karsch, F.; Laermann, E.; et al. Equation of state in (2 + 1)-flavor QCD. Phys. Rev. D 2014, 90, 094503. [arXiv:hep-lat/1407.6387]. [CrossRef]
- Jacak, B.V.; Muller, B. The exploration of hot nuclear matter. Science 2012, 337, 310–314. [Google Scholar] [CrossRef]
- Fromerth, M.J.; Rafelski, J. Hadronization of the Quark Universe; University of Arizona: Tucson, AZ, USA, 2005; [astro-ph/0211346].
- Rafelski, J. Discovery of Quark-Gluon-Plasma: Strangeness Diaries. Eur. Phys. J. ST 2020, 229, 1–140. [arXiv:hep-ph/1911.00831]. [CrossRef]
- Yang, C.T.; Rafelski, J. Possibility of bottom-catalyzed matter genesis near to primordial QGP hadronization. arXiv 2023, arXiv:2004.06771. [arXiv:hep-ph/2004.06771].
- Roberts, C.D. On Mass and Matter. AAPPS Bull. 2021, 31, 6. [arXiv:hep-ph/2101.08340]. [CrossRef]
- Roberts, C.D. Origin of the Proton Mass. EPJ Web Conf. 2023, 282, 01006. [arXiv:hep-ph/2211.09905]. [CrossRef]
- Hagedorn, R. How We Got to QCD Matter from the Hadron Side: 1984. Lect. Notes Phys. 1985, 221, 53–76. [Google Scholar] [CrossRef]
- Fromerth, M.J.; Rafelski, J. Limit on CPT violating quark anti-quark mass difference from the neutral kaon system. Acta Phys. Polon. B 2003, 34, 4151–4156. [hep-ph/0211362].
- Tanabashi, M. et al. (Particle Data Group) Review of Particle Physics. Phys. Rev. D 2018, 98, 030001. [Google Scholar] [CrossRef]
- Kolb, E.W.; Turner, M.S. The Early Universe; CRC Press: Boca Raton, FL, USA, 1990. [Google Scholar]
- Kuznetsova, I.; Habs, D.; Rafelski, J. Pion and muon production in e−, e+, gamma plasma. Phys. Rev. D 2008, 78, 014027. [arXiv:hep-ph/0803.1588]. [CrossRef]
- Kuznetsova, I.; Rafelski, J. Unstable Hadrons in Hot Hadron Gas in Laboratory and in the Early Universe. Phys. Rev. C 2010, 82, 035203. [arXiv:hep-th/1002.0375]. [CrossRef]
- Rafelski, J.; Yang, C.T. The muon abundance in the primordial Universe. Acta Phys. Polon. B 2021, 52, 277. [arXiv:hepph/2103.07812]. [CrossRef]
- Kuznetsova, I. Particle Production in Matter at Extreme Conditions. Master’s Thesis, The University of Arizona, Tucson, AZ, USA, 2009. [arXiv:hep-th/0909.0524].
- Kopp, J.; Maltoni, M.; Schwetz, T. Are There Sterile Neutrinos at the eV Scale? Phys. Rev. Lett. 2011, 107, 091801. [arXiv:hepph/1103.4570]. [CrossRef]
- Hamann, J.; Hannestad, S.; Raffelt, G.G.; Wong, Y.Y.Y. Sterile neutrinos with eV masses in cosmology: How disfavoured exactly? J. Cosmol. Astropart. Phys. 2011, 9, 34. [arXiv:astro-ph.CO/1108.4136]. [CrossRef]
- Kopp, J.; Machado, P.A.N.; Maltoni, M.; Schwetz, T. Sterile Neutrino Oscillations: The Global Picture. J. High Energy Phys. 2013, 5, 50. [arXiv:hep-ph/1303.3011]. [CrossRef]
- Lello, L.; Boyanovsky, D. Cosmological Implications of Light Sterile Neutrinos produced after the QCD Phase Transition. Phys. Rev. D 2015, 91, 063502. [arXiv:astro-ph.CO/1411.2690]. [CrossRef]
- Birrell, J.; Rafelski, J. Proposal for Resonant Detection of Relic Massive Neutrinos. Eur. Phys. J. C 2015, 75, 91. [arXiv:hepph/1402.3409]. [CrossRef]
- Weinberg, S. Goldstone Bosons as Fractional Cosmic Neutrinos. Phys. Rev. Lett. 2013, 110, 241301. [arXiv:astro-ph.CO/1305.1971]. [CrossRef] [PubMed]
- Giusarma, E.; Di Valentino, E.; Lattanzi, M.; Melchiorri, A.; Mena, O. Relic Neutrinos, thermal axions and cosmology in early 2014. Phys. Rev. D 2014, 90, 043507. [arXiv:astro-ph.CO/1403.4852]. [CrossRef]
- Fukuda, Y.; Hayakawa, T.; Ichihara, E.; Inoue, K.; Ishihara, K.; Ishino, H.; Itow, Y.; Kajita, T.; Kameda, J.; Kasuga, S.; et al. Evidence for oscillation of atmospheric neutrinos. Phys. Rev. Lett. 1998, 81, 1562–1567. [hep-ex/9807003]. [CrossRef]
- Eguchi, K.; Enomoto, S.; Furuno, K.; Goldman, J.; Hanada, H.; Ikeda, H.; Ikeda, K.; Inoue, K.; Ishihara, K.; Itoh, W.; et al. First results from KamLAND: Evidence for reactor antineutrino disappearance. Phys. Rev. Lett. 2003, 90, 21802. [hep-ex/0212021]. [CrossRef] [PubMed]
- Fogli, G.L.; Lisi, E.; Marrone, A.; Palazzo, A. Global analysis of three-flavor neutrino masses and mixings. Prog. Part. Nucl. Phys. 2006, 57, 742–795. [hep-ph/0506083]. [CrossRef]
- Giunti, C.; Studenikin, A. Neutrino electromagnetic interactions: A window to new physics. Rev. Mod. Phys. 2015, 87, 531. [arXiv:hep-ph/1403.6344]. [CrossRef]
- Fritzsch, H.; Xing, Z.Z. Mass and flavor mixing schemes of quarks and leptons. Prog. Part. Nucl. Phys. 2000, 45, 1–81. [hep-ph/9912358]. [CrossRef]
- Giunti, C.; Kim, C.W. Fundamentals of Neutrino Physics and Astrophysics; Oxford University Press: Oxford, UK, 2007. [Google Scholar]
- Fritzsch, H. Neutrino Masses and Flavor Mixing. Mod. Phys. Lett. A 2015, 30, 1530012. [arXiv:hep-ph/1503.01857]. [CrossRef]
- Dolinski, M.J.; Poon, A.W.P.; Rodejohann, W. Neutrinoless Double-Beta Decay: Status and Prospects. Ann. Rev. Nucl. Part. Sci. 2019, 69, 219–251. [arXiv:nucl-ex/1902.04097]. [CrossRef]
- Arkani-Hamed, N.; Dimopoulos, S.; Dvali, G.R.; March-Russell, J. Neutrino masses from large extra dimensions. Phys. Rev. D 2001, 65, 024032. [hep-ph/9811448]. [CrossRef]
- Ellis, J.R.; Lola, S. Can neutrinos be degenerate in mass? Phys. Lett. B 1999, 458, 310–321. [hep-ph/9904279]. [CrossRef]
- Casas, J.A.; Ibarra, A. Oscillating neutrinos and μ→e,γ. Nucl. Phys. B 2001, 618, 171–204. [hep-ph/0103065]. [CrossRef]
- King, S.F.; Luhn, C. Neutrino Mass and Mixing with Discrete Symmetry. Rept. Prog. Phys. 2013, 76, 56201. [arXiv:hepph/1301.1340]. [CrossRef]
- Fernandez-Martinez, E.; Hernandez-Garcia, J.; Lopez-Pavon, J. Global constraints on heavy neutrino mixing. J. High Energy Phys. 2016, 8, 33. [arXiv:hep-ph/1605.08774]. [CrossRef]
- Pascoli, S.; Petcov, S.T.; Riotto, A. Leptogenesis and Low Energy CP Violation in Neutrino Physics. Nucl. Phys. B 2007, 774, 1–52. [hep-ph/0611338]. [CrossRef]
- Schwartz, M.D. Quantum Field Theory and the Standard Model; Cambridge University Press: Cambridge, UK, 2014. [Google Scholar]
- Particle Data Group. Review of Particle Physics. Prog. Theor. Exp. Phys. 2022, 2022, 083C01. [Google Scholar] [CrossRef]
- Avignone, F.T., III; Elliott, S.R.; Engel, J. Double Beta Decay, Majorana Neutrinos, and Neutrino Mass. Rev. Mod. Phys. 2008, 80, 481–516. [arXiv:nucl-ex/0708.1033]. [CrossRef]
- Esteban, I.; Gonzalez-Garcia, M.C.; Maltoni, M.; Schwetz, T.; Zhou, A. The fate of hints: Updated global analysis of three-flavor neutrino oscillations. J. High Energy Phys. 2020, 9, 178. [arXiv:hep-ph/2007.14792]. [CrossRef]
- Alvarez-Ruso, L.; Sajjad Athar, M.; Barbaro, M.B.; Cherdack, D.; Christy, M.E.; Coloma, P.; Donnelly, T.W.; Dytman, S.; de Gouvea, A.; Hill, R.J.; et al. NuSTEC White Paper: Status and challenges of neutrino–nucleus scattering. Prog. Part. Nucl. Phys. 2018, 100, 1–68. [arXiv:hep-ph/1706.03621]. [CrossRef]
- Abi, B.; Acciarri, R.; Acero, M.A.; Adamov, G.; Adams, D.; Adinolfi, M.; Ahmad, Z.; Ahmed, J.; Alion, T.; Monsalve, S.A.; et al. Deep Underground Neutrino Experiment (DUNE), Far Detector Technical Design Report, Volume II: DUNE Physics. arXiv 2002, arXiv:2002.03005. [arXiv:hep-ex/2002.03005].
- Morgan, J.A. Cosmological upper limit to neutrino magnetic moments. Phys. Lett. B 1981, 102, 247–250. [Google Scholar] [CrossRef]
- Fukugita, M.; Yazaki, S. Reexamination of Astrophysical and Cosmological Constraints on the Magnetic Moment of Neutrinos. Phys. Rev. D 1987, 36, 3817. [Google Scholar] [CrossRef] [PubMed]
- Vogel, P.; Engel, J. Neutrino Electromagnetic Form-Factors. Phys. Rev. D 1989, 39, 3378. [Google Scholar] [CrossRef]
- Elmfors, P.; Enqvist, K.; Raffelt, G.; Sigl, G. Neutrinos with magnetic moment: Depolarization rate in plasma. Nucl. Phys. B 1997, 503, 3–23. [hep-ph/9703214]. [CrossRef]
- Giunti, C.; Studenikin, A. Neutrino electromagnetic properties. Phys. Atom. Nucl. 2009, 72, 2089–2125. [arXiv:hep-ph/0812.3646]. [CrossRef]
- Canas, B.C.; Miranda, O.G.; Parada, A.; Tortola, M.; Valle, J.W.F. Updating neutrino magnetic moment constraints. Phys. Lett. B 2016, 753, 191–198. [arXiv:hep-ph/1510.01684]. [CrossRef]
- Choquet-Bruhat, Y. General Relativity and the Einstein Equations; Oxford University Press: Oxford, UK, 2008. [Google Scholar]
- Birrell, J.; Wilkening, J.; Rafelski, J. Boltzmann Equation Solver Adapted to Emergent Chemical Non-equilibrium. J. Comput. Phys. 2015, 281, 896–916. [arXiv:math.NA/1403.2019]. [CrossRef]
- Birrell, J.; Yang, C.T.; Rafelski, J. Relic Neutrino Freeze-out: Dependence on Natural Constants. Nucl. Phys. B 2014, 890, 481–517. [arXiv:nucl-th/1406.1759]. [CrossRef]
- Dreiner, H.K.; Hanussek, M.; Kim, J.S.; Sarkar, S. Gravitino cosmology with a very light neutralino. Phys. Rev. D 2012, 85, 65027. [arXiv:hep-ph/1111.5715]. [CrossRef]
- Boehm, C.; Dolan, M.J.; McCabe, C. Increasing Neff with particles in thermal equilibrium with neutrinos. J. Cosmol. Astropart. Phys. 2012, 12, 27. [arXiv:astro-ph.CO/1207.0497]. [CrossRef]
- Blennow, M.; Fernandez-Martinez, E.; Mena, O.; Redondo, J.; Serra, P. Asymmetric Dark Matter and Dark Radiation. J. Cosmol. Astropart. Phys. 2012, 7, 22. [arXiv:hep-ph/1203.5803]. [CrossRef]
- Dicus, D.A.; Kolb, E.W.; Gleeson, A.M.; Sudarshan, E.C.G.; Teplitz, V.L.; Turner, M.S. Primordial Nucleosynthesis Including Radiative, Coulomb, and Finite Temperature Corrections to Weak Rates. Phys. Rev. D 1982, 26, 2694. [Google Scholar] [CrossRef]
- Heckler, A.F. Astrophysical applications of quantum corrections to the equation of state of a plasma. Phys. Rev. D 1994, 49, 611–617. [Google Scholar] [CrossRef]
- Mangano, G.; Miele, G.; Pastor, S.; Pinto, T.; Pisanti, O.; Serpico, P.D. Effects of non-standard neutrino-electron interactions on relic neutrino decoupling. Nucl. Phys. B 2006, 756, 100–116. [hep-ph/0607267]. [CrossRef]
- Anchordoqui, L.A.; Goldberg, H. Neutrino cosmology after WMAP 7-Year data and LHC first Z’ bounds. Phys. Rev. Lett. 2012, 108, 81805. [arXiv:hep-ph/1111.7264]. [CrossRef] [PubMed]
- Abazajian, K.N.; Acero, M.A.; Agarwalla, S.K.; Aguilar-Arevalo, A.A.; Albright, C.H.; Antusch, S.; Arguelles, C.A.; Balantekin, A.B.; Barenboim, G.; Barger, V.; et al. Light Sterile Neutrinos: A White Paper. arXiv 2012, arXiv:1204.5379. [arXiv:hep-ph/1204.5379].
- Anchordoqui, L.A.; Goldberg, H.; Steigman, G. Right-Handed Neutrinos as the Dark Radiation: Status and Forecasts for the LHC. Phys. Lett. B 2013, 718, 1162–1165. [arXiv:hep-ph/1211.0186]. [CrossRef]
- Steigman, G. Equivalent Neutrinos, Light WIMPs, and the Chimera of Dark Radiation. Phys. Rev. D 2013, 87, 103517. [arXiv:astro-ph.CO/1303.0049]. [CrossRef]
- Birrell, J.; Rafelski, J. Quark–gluon plasma as the possible source of cosmological dark radiation. Phys. Lett. B 2015, 741, 77–81. [arXiv:nucl-th/1404.6005]. [CrossRef]
- Barenboim, G.; Kinney, W.H.; Park, W.I. Resurrection of large lepton number asymmetries from neutrino flavor oscillations. Phys. Rev. D 2017, 95, 43506. [arXiv:hep-ph/1609.01584]. [CrossRef]
- Barenboim, G.; Park, W.I. A full picture of large lepton number asymmetries of the Universe. J. Cosmol. Astropart. Phys. 2017, 4, 48. [arXiv:hepph/1703.08258]. [CrossRef]
- Yang, C.T.; Birrell, J.; Rafelski, J. Lepton Number and Expansion of the Universe. arXiv 2018, arXiv:1812.05157. [arXiv:hep-ph/1812.05157].
- Pitrou, C.; Coc, A.; Uzan, J.P.; Vangioni, E. Precision big bang nucleosynthesis with improved Helium-4 predictions. Phys. Rept. 2018, 754, 1–66. [arXiv:astro-ph.CO/1801.08023]. [CrossRef]
- Wang, B.; Bertulani, C.A.; Balantekin, A.B. Electron screening and its effects on Big-Bang nucleosynthesis. Phys. Rev. C 2011, 83, 18801. [arXiv:astro-ph.CO/1010.1565]. [CrossRef]
- Hwang, E.; Jang, D.; Park, K.; Kusakabe, M.; Kajino, T.; Balantekin, A.B.; Maruyama, T.; Ryu, C.M.; Cheoun, M.K. Dynamical screening effects on big bang nucleosynthesis. J. Cosmol. Astropart. Phys. 2021, 11, 17. [arXiv:nucl-th/2102.09801]. [CrossRef]
- Bahcall, J.N.; Pinsonneault, M.H.; Basu, S. Solar models: Current epoch and time dependences, neutrinos, and helioseismological properties. Astrophys. J. 2001, 555, 990–1012. [astro-ph/0010346]. [CrossRef]
- Kronberg, P.P. Extragalactic magnetic fields. Rept. Prog. Phys. 1994, 57, 325–382. [Google Scholar] [CrossRef]
- Anchordoqui, L.A.; Goldberg, H. A Lower bound on the local extragalactic magnetic field. Phys. Rev. D 2002, 65, 21302. [hep-ph/0106217]. [CrossRef]
- Widrow, L.M. Origin of galactic and extragalactic magnetic fields. Rev. Mod. Phys. 2002, 74, 775–823. [astro-ph/0207240]. [CrossRef]
- Neronov, A.; Vovk, I. Evidence for strong extragalactic magnetic fields from Fermi observations of TeV blazars. Science 2010, 328, 73–75. [arXiv:astro-ph.HE/1006.3504]. [CrossRef] [PubMed]
- Widrow, L.M.; Ryu, D.; Schleicher, D.R.G.; Subramanian, K.; Tsagas, C.G.; Treumann, R.A. The First Magnetic Fields. Space Sci. Rev. 2012, 166, 37–70. [arXiv:astro-ph.CO/1109.4052]. [CrossRef]
- Vazza, F.; Locatelli, N.; Rajpurohit, K.; Banfi, S.; Dominguez-Fernandez, P.; Wittor, D.; Angelinelli, M.; Inchingolo, G.; Brienza, M.; Hackstein, S.; et al. Magnetogenesis and the Cosmic Web: A Joint Challenge for Radio Observations and Numerical Simulations. Galaxies 2021, 9, 109. [arXiv:astro-ph.CO/2111.09129]. [CrossRef]
- Berezhiani, V.; Tsintsadze, L.; Shukla, P. Influence of electron-positron pairs on the wakefields in plasmas. Phys. Scr. 1992, 46, 55. [Google Scholar] [CrossRef]
- Berezhiani, V.; Mahajan, S. Large relativistic density pulses in electron-positron-ion plasmas. Phys. Rev. E 1995, 52, 1968. [Google Scholar] [CrossRef]
- Schlickeiser, R.; Kolberg, U.; Yoon, P.H. Primordial Plasma Fuctuations. I. Magnetization of the Early Universe by Dark Aperiodic Fluctuations in the Past Myon and Prior Electron–Positron Annihilation Epoch. Astrophys. J. 2018, 857, 29. [Google Scholar] [CrossRef]
- Melrose, D. Quantum Plasmadynamics: Magnetized Plasmas; Springer: Berlin/Heidelberg, Germany, 2013. [Google Scholar] [CrossRef]
- Rafelski, J.; Formanek, M.; Steinmetz, A. Relativistic Dynamics of Point Magnetic Moment. Eur. Phys. J. C 2018, 78, 6. [arXiv:physics.class-ph/1712.01825]. [CrossRef]
- Formanek, M.; Evans, S.; Rafelski, J.; Steinmetz, A.; Yang, C.T. Strong fields and neutral particle magnetic moment dynamics. Plasma Phys. Control. Fusion 2018, 60, 74006. [arXiv:hep-ph/1712.07698]. [CrossRef]
- Formanek, M.; Steinmetz, A.; Rafelski, J. Radiation reaction friction: Resistive material medium. Phys. Rev. D 2020, 102, 56015. [arXiv:hep-ph/2004.09634]. [CrossRef]
- Formanek, M.; Steinmetz, A.; Rafelski, J. Motion of classical charged particles with magnetic moment in external plane-wave electromagnetic fields. Phys. Rev. A 2021, 103, 52218. [arXiv:physics.class-ph/2103.02594]. [CrossRef]
- Thaller, B. The Dirac Equation; Springer Science & Business Media: Berlin/Heidelberg, Germany, 2013. [Google Scholar]
- Strickland, M.; Dexheimer, V.; Menezes, D.P. Bulk Properties of a Fermi Gas in a Magnetic Field. Phys. Rev. D 2012, 86, 125032. [arXiv:nucl-th/1209.3276]. [CrossRef]
- Steinmetz, A.; Formanek, M.; Rafelski, J. Magnetic Dipole Moment in Relativistic Quantum Mechanics. Eur. Phys. J. A 2019, 55, 40. [arXiv:hep-ph/1811.06233]. [CrossRef]
- Rafelski, J.; Evans, S.; Labun, L. Study of QED singular properties for variable gyromagnetic ratio g≃2. Phys. Rev. D 2023, 107, 76002. [arXiv:hep-th/2212.13165]. [CrossRef]
- Elze, H.T.; Greiner, W.; Rafelski, J. The relativistic ideal Fermi gas revisited. J. Phys. G 1980, 6, L149–L153. [Google Scholar] [CrossRef]
- Borsanyi, S.; Fodor, Z.; Guenther, J.; Kampert, K.-H.; Katz, S.D.; Kawanai, T.; Kovacs, T.G.; Mages, S.W.; Pasztor, A.; Pittler, F.; et al. Calculation of the axion mass based on high-temperature lattice quantum chromodynamics. Nature 2016, 539, 69–71. [arXiv:hep-lat/1606.07494]. [CrossRef] [PubMed]
- Rafelski, J. Connecting QGP-Heavy Ion Physics to the Early Universe. Nucl. Phys. B Proc. Suppl. 2013, 243–244, 155–162. [arXiv:astro-ph.CO/1306.2471]. [CrossRef]
- Aksenov, A.G.; Ruffini, R.; Vereshchagin, G.V. Thermalization of electron-positron-photon plasmas with an application to GRB. AIP Conf. Proc. 2008, 966, 191–196. [Google Scholar] [CrossRef]
- Burns, E.; Svinkin, D.; Fenimore, E.; Kann, D.A.; Fernandez, J.F.A.; Frederiks, D.; Hamburg, R.; Lesage, S.; Temiraev, Y.; Tsvetkova, A.; et al. GRB 221009A: The BOAT. Astrophys. J. Lett. 2023, 946, L31. [arXiv:astro-ph.HE/2302.14037]. [CrossRef]
- Levan, A.J.; Lamb, G.P.; Schneider, B.; Hjorth, J.; Zafar, T.; Postigo, A.D.; Sargent, B.; Mullally, S.E.; Izzo, L.; D’Avanzo, P.; et al. The First JWST Spectrum of a GRB Afterglow: No Bright Supernova in Observations of the Brightest GRB of all Time, GRB 221009A. Astrophys. J. Lett. 2023, 946, L28. [arXiv:astro-ph.HE/2302.07761]. [CrossRef]
- Davis, M.; Efstathiou, G.; Frenk, C.S.; White, S.D.M. The Evolution of Large Scale Structure in a Universe Dominated by Cold Dark Matter. Astrophys. J. 1985, 292, 371–394. [Google Scholar] [CrossRef]
- Navarro, J.F.; Frenk, C.S.; White, S.D.M. The Structure of cold dark matter halos. Astrophys. J. 1996, 462, 563–575. [astroph/9508025]. [CrossRef]
- Moore, B.; Ghigna, S.; Governato, F.; Lake, G.; Quinn, T.R.; Stadel, J.; Tozzi, P. Dark matter substructure within galactic halos. Astrophys. J. Lett. 1999, 524, L19–L22. [astro-ph/9907411]. [CrossRef]
- Springel, V.; White, S.D.M.; Jenkins, A.; Frenk, C.S.; Yoshida, N.; Gao, L.; Navarro, J.; Thacker, R.; Croton, D.; Helly, J.; et al. Simulating the joint evolution of quasars, galaxies and their large-scale distribution. Nature 2005, 435, 629–636. [astro-ph/0504097]. [CrossRef] [PubMed]
- Arbey, A.; Mahmoudi, F. Dark matter and the early Universe: A review. Prog. Part. Nucl. Phys. 2021, 119, 103865. [arXiv:hepph/2104.11488]. [CrossRef]
- Planck Collaboration. Planck 2018 results. I. Overview and the cosmological legacy of Planck. Astron. Astrophys. 2020, 641, A1. [arXiv:astro-ph.CO/1807.06205]. [CrossRef]
- Steigman, G. Primordial Nucleosynthesis in the Precision Cosmology Era. Ann. Rev. Nucl. Part. Sci. 2007, 57, 463–491. [arXiv:astro-ph/0712.1100]. [CrossRef]
- Cyburt, R.H.; Fields, B.D.; Olive, K.A.; Yeh, T.H. Big Bang Nucleosynthesis: 2015. Rev. Mod. Phys. 2016, 88, 015004. [arXiv:astroph.CO/1505.01076]. [CrossRef]
- Kuzmin, V.A.; Rubakov, V.A.; Shaposhnikov, M.E. On the Anomalous Electroweak Baryon Number Nonconservation in the Early Universe. Phys. Lett. B 1985, 155, 36. [Google Scholar] [CrossRef]
- Canetti, L.; Drewes, M.; Shaposhnikov, M. Matter and Antimatter in the Universe. New J. Phys. 2012, 14, 95012. [arXiv:hepph/1204.4186]. [CrossRef]
- Bertone, G.; Hooper, D.; Silk, J. Particle dark matter: Evidence, candidates and constraints. Phys. Rept. 2005, 405, 279–390. [hep-ph/0404175]. [CrossRef]
- Peccei, R.D. The Strong CP problem and axions. Lect. Notes Phys. 2008, 741, 3–17. [hep-ph/0607268]. [CrossRef]
- Baumann, D. Inflation. In Proceedings of the Theoretical Advanced Study Institute in Elementary Particle Physics: Physics of the Large and the Small, Boulder, CO, USA, 1–26 June 2009; pp. 523–686. [arXiv:hep-th/0907.5424]. [CrossRef]
- Allahverdi, R.; Amin, M.A.; Berlin, A.; Bernal, N.; Byrnes, C.T.; Delos, M.S.; Erickcek, A.L.; Escudero, M.; Figueroa, D.G.; Freese, K.; et al. The First Three Seconds: A Review of Possible Expansion Histories of the Early Universe. Open J. Astrophys. 2021, 4, 1. [arXiv:astro-ph.CO/2006.16182]. [CrossRef]





















| Reactions | Freeze-Out Temperature (MeV) | (MeV) |
|---|---|---|
| MeV | MeV | |
| MeV | MeV | |
| MeV | MeV | |
| MeV | MeV | |
| MeV | MeV |
Disclaimer/Publisher’s Note: The statements, opinions and data contained in all publications are solely those of the individual author(s) and contributor(s) and not of MDPI and/or the editor(s). MDPI and/or the editor(s) disclaim responsibility for any injury to people or property resulting from any ideas, methods, instructions or products referred to in the content. |
© 2023 by the authors. Licensee MDPI, Basel, Switzerland. This article is an open access article distributed under the terms and conditions of the Creative Commons Attribution (CC BY) license (https://creativecommons.org/licenses/by/4.0/).
Share and Cite
Rafelski, J.; Birrell, J.; Steinmetz, A.; Yang, C.T. A Short Survey of Matter-Antimatter Evolution in the Primordial Universe. Universe 2023, 9, 309. https://doi.org/10.3390/universe9070309
Rafelski J, Birrell J, Steinmetz A, Yang CT. A Short Survey of Matter-Antimatter Evolution in the Primordial Universe. Universe. 2023; 9(7):309. https://doi.org/10.3390/universe9070309
Chicago/Turabian StyleRafelski, Johann, Jeremiah Birrell, Andrew Steinmetz, and Cheng Tao Yang. 2023. "A Short Survey of Matter-Antimatter Evolution in the Primordial Universe" Universe 9, no. 7: 309. https://doi.org/10.3390/universe9070309
APA StyleRafelski, J., Birrell, J., Steinmetz, A., & Yang, C. T. (2023). A Short Survey of Matter-Antimatter Evolution in the Primordial Universe. Universe, 9(7), 309. https://doi.org/10.3390/universe9070309

