Dynamic Aether as a Trigger for Spontaneous Spinorization in Early Universe
Abstract
:1. Introduction
2. The Formalism
2.1. Lagrangian of the Einstein–Dirac-Aether Theory
2.2. Basic Assumptions and Auxiliary Definitions
2.2.1. Fock–Ivanenko Connection, Tetrad Four-Vectors, Spinor Scalar S, and Pseudoscalar P
2.2.2. Decomposition of the Covariant Derivative of the Aether Velocity Four-Vector
2.3. Master Equations
2.3.1. Master Equations for the Aether Velocity
2.3.2. Master Equations for the Spinor Field
2.3.3. Master Equations for the Gravity Field
3. Cosmological Application
3.1. Geometrical Aspects of the Model
3.2. Reduced Evolutionary Equation for the Spinor Field
3.3. Evolution of the Spinor Invariants
- When K is positive, i.e., , the parametrization of the relationship (54) iswhere and are real functions.
- When , we deal with the parametrization
4. Modeling of the Interaction Term
4.1. Solutions for the First Interval
4.2. Solutions for the Second Interval
4.2.1. Hypothesis of Self-Similarity
4.2.2. Linear Function Describing Self-Similarity
4.2.3. The First Special Submodel
4.2.4. The Second Special Submodel
4.3. On the Solutions for the Third Interval
5. Discussion and Conclusions
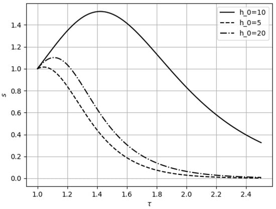
5.1. The Role of Guiding Model Parameters
5.2. The Role of the Effective Spinor Mass
5.3. On the Maximal Spinor Particle Number Density
5.4. What Is the Energy Source for the Spontaneous Spinorization?
5.5. What Do We Think about the Problem of the Lorentz Symmetry Violation in the Context of the Presented Theory?
5.6. Outlook
Author Contributions
Funding
Data Availability Statement
Acknowledgments
Conflicts of Interest
References
- Damour, T.; Esposito-Farèse, G. Tensor-scalar gravity and binary-pulsars experiments. Phys. Rev. D 1996, 54, 1474. [Google Scholar] [CrossRef]
- Salgado, M.; Sudarsky, D.; Nucamendi, U. On spontaneous scalarization. Phys. Rev. D 1998, 58, 124003. [Google Scholar] [CrossRef]
- Chen, P.; Suyama, T.; Yokoyama, J. Spontaneous scalarization: Asymmetron as dark matter. Phys. Rev. D 2015, 92, 124016. [Google Scholar] [CrossRef]
- Ramazanoglu, F.M.; Pretorius, F. Spontaneous scalarization with massive fields. Phys. Rev. D 2016, 93, 064005. [Google Scholar] [CrossRef]
- Ikeda, T.; Nakamura, T.; Minamitsuji, M. Spontaneous scalarization of charged black holes in the scalar-vector-tensor theory. Phys. Rev. D 2019, 100, 104014. [Google Scholar] [CrossRef]
- Ventagli, G.; Lehebel, A.; Sotiriou, T.P. The onset of spontaneous scalarization in generalised scalar-tensor theories. Phys. Rev. D 2020, 102, 024050. [Google Scholar] [CrossRef]
- Brihaye, Y.; Capobianco, R.; Hartmann, B. Spontaneous scalarization of self-gravitating magnetic fields. Phys. Rev. D 2021, 103, 124020. [Google Scholar] [CrossRef]
- Zhao, J.; Freire, P.C.C.; Kramer, M.; Shao, L.; Wex, N. Closing a spontaneous-scalarization window with binary pulsars. Class. Quantum Grav. 2022, 39, 11LT01. [Google Scholar] [CrossRef]
- Wong, L.K.; Herdeiro, C.A.R.; Radu, E. Constraining spontaneous black hole scalarization in scalar-tensor-Gauss-Bonnet theories with current gravitational-wave data. Phys. Rev. D 2022, 106, 024008. [Google Scholar] [CrossRef]
- Lai, M.Y.; Myung, Y.S.; Yue, R.H.; Zou, D.C. Spin-charge induced spontaneous scalarization of Kerr-Newman black holes. Phys. Rev. D 2022, 106, 084043. [Google Scholar] [CrossRef]
- Nakarachinda, R.; Panpanich, S.; Tsujikawa, S.; Wongjun, P. Cosmology in theories with spontaneous scalarization of neutron stars. Phys. Rev. D 2023, 107, 043512. [Google Scholar] [CrossRef]
- Zhang, S.J.; Wang, B.; Papantonopoulos, E.; Wang, A. Magnetic-induced spontaneous scalarization in dynamcial Chern-Simons gravity. Eur. Phys. J. C 2023, 83, 97. [Google Scholar] [CrossRef]
- Annulli, L.; Herdeiro, C.A.R. Non-linear tides and Gauss-Bonnet scalarization. Phys. Lett. B 2023, 845, 138137. [Google Scholar] [CrossRef]
- Ramazanoglu, F.M. Spontaneous growth of vector fields in gravity. Phys. Rev. D 2017, 96, 064009. [Google Scholar] [CrossRef]
- Annulli, L.; Cardoso, V.; Gualtieri, L. Electromagnetism and hidden vector fields in modified gravity theories: Spontaneous and induced vectorization. Phys. Rev. D 2019, 99, 044038. [Google Scholar] [CrossRef]
- Minamitsuji, M. Spontaneous vectorization in the presence of vector field coupling to matter. Phys. Rev. D 2020, 101, 104044. [Google Scholar] [CrossRef]
- Ramazanoglu, F.M. Spontaneous tensorization from curvature coupling and beyond. Phys. Rev. D 2019, 99, 084015. [Google Scholar] [CrossRef]
- Ramazanoglu, F.M. Spontaneous growth of spinor fields in gravity. Phys. Rev. D 2018, 98, 044011. [Google Scholar] [CrossRef]
- Minamitsuji, M. Stealth spontaneous spinorization of relativistic stars. Phys. Rev. D 2020, 102, 044048. [Google Scholar] [CrossRef]
- Balakin, A.B.; Kiselev, G.B. Spontaneous color polarization as a modus originis of the dynamic aether. Universe 2020, 6, 95. [Google Scholar] [CrossRef]
- Balakin, A.B.; Kiselev, G.B. Einstein-Yang-Mills-aether theory with nonlinear axion field: Decay of color aether and the axionic dark matter production. Symmetry 2022, 14, 1621. [Google Scholar] [CrossRef]
- Ramazanoglu, F.M. Spontaneous growth of gauge fields in gravity through the Higgs mechanism. Phys. Rev. D 2018, 98, 044013. [Google Scholar] [CrossRef]
- Jacobson, T.; Mattingly, D. Gravity with a dynamical preferred frame. Phys. Rev. D 2001, 64, 024028. [Google Scholar] [CrossRef]
- Jacobson, T.; Mattingly, D. Einstein-aether waves. Phys. Rev. D 2004, 70, 024003. [Google Scholar] [CrossRef]
- Heinicke, C.; Baekler, P.; Hehl, F.W. Einstein-aether theory, violation of Lorentz invariance, and metric-affine gravity. Phys. Rev. D 2005, 72, 025012. [Google Scholar] [CrossRef]
- Jacobson, T. Einstein-aether gravity: A status report. In Proceedings of the Workshop on from Quantum to Emergent Gravity: Theory and Phenomenology (QG-Ph), Trieste, Italy, 11–15 June 2007; p. 20. [Google Scholar]
- Eling, C.; Jacobson, T.; Miller, M.C. Neutron stars in Einstein-aether theory. Phys. Rev. D 2007, 76, 042003. [Google Scholar] [CrossRef]
- Barausse, E.; Jacobson, T.; Sotiriou, T.P. Black holes in Einstein-aether and Horava-Lifshitz gravity. Phys. Rev. D 2011, 83, 124043. [Google Scholar] [CrossRef]
- Nojiri, S.; Odintsov, S.D. Unified cosmic history in modified gravity: From F(R) theory to Lorentz non-invariant models. Phys. Rept. 2011, 505, 59. [Google Scholar] [CrossRef]
- Nojiri, S.; Odintsov, S.D.; Oikonomou, V.K. Modified gravity theories on a nutshell: Inflation, bounce and late-time evolution. Phys. Rept. 2017, 692, 1. [Google Scholar] [CrossRef]
- Will, C.M.; Nordtvedt, K. Conservation laws and preferred frames in relativistic gravity. I. Preferred-frame theories and an extended PPN formalism. Astrophys. J. 1972, 177, 757. [Google Scholar] [CrossRef]
- Nordtvedt, K.; Will, C.M. Conservation laws and preferred frames in relativistic gravity. II. Experimental evidence to rule out preferred-frame theories of gravity. Astrophys. J. 1972, 177, 775–792. [Google Scholar] [CrossRef]
- Liberati, S. Lorentz breaking effective field theory and observational tests. Lect. Notes Phys. 2013, 870, 297. [Google Scholar]
- Kostelecky, A.; Mewes, M. Electrodynamics with Lorentz-violating operators of arbitrary dimension. Phys. Rev. D 2009, 80, 015020. [Google Scholar] [CrossRef]
- Fock, V.; Iwanenko, D. Geometrie quantique lineaire et deplacement parallele. Compt. Rend. Acad. Sci. 1929, 188, 1470. [Google Scholar]
- Volkov, M.S.; Gal’tsov, D.V. Gravitating non-Abelian solitons and black holes with Yang-Mills fields. Phys. Rept. 1999, 319, 1. [Google Scholar] [CrossRef]
- Balakin, A.B. Extended Einstein-Maxwell model. Gravit. Cosmol. 2007, 13, 163. [Google Scholar]
- Abbott, B.P.; Abbott, R.; Abbott, T.D.; Acernese, F.; Ackley, K.; Adams, C.; Adams, T.; Addesso, P.; Adhikari, R.X.; Adya, V.B. [LIGO Scientific Collaboration; Virgo Collaboration; Fermi Gamma-Ray Burst Monitor; INTEGRAL]. Gravitational waves and gamma-rays from a binary neutron star merger: GW170817 and GRB 170817A. APJ Lett. 2017, 848, L13. [Google Scholar] [CrossRef]
- Elliott, J.W.; Moore, G.D.; Stoica, H. Constraining the new aether: Gravitational Cherenkov radiation. J. High Energy Phys. 2005, 0508, 066. [Google Scholar] [CrossRef]
- Kostelecky, A.; Tasson, J.D. Constraints on Lorentz violation from gravitational Cherenkov radiation. Phys. Lett. B 2015, 749, 551. [Google Scholar] [CrossRef]
- Oost, J.; Mukohyama, S.; Wang, A. Constraints on Einstein-aether theory after GW170817. Phys. Rev. D 2018, 97, 124023. [Google Scholar] [CrossRef]
- Trinh, D.; Pace, F.; Battye, R.A.; Bolliet, B. Cosmologically viable generalized Einstein-Aether theories. Phys. Rev. D 2019, 99, 043515. [Google Scholar]
- Balakin, A.B.; Shakirzyanov, A.F. Axionic extension of the Einstein-aether theory: How does dynamic aether regulate the state of axionic dark matter? Phys. Dark Univ. 2019, 24, 100283. [Google Scholar] [CrossRef]
- Saha, B.; Shikin, G.N. Nonlinear spinor field in Bianchi type-I universe filled with perfect fluid: Exact self-consistent solutions. J. Math. Phys. 1997, 38, 5305. [Google Scholar] [CrossRef]
- Saha, B. Spinor field in Bianchi type-I universe: Regular solutions. Phys. Rev. D 2001, 64, 123501. [Google Scholar] [CrossRef]
- Saha, B. Nonlinear spinor field in cosmology. Phys. Rev. D 2004, 69, 124006. [Google Scholar] [CrossRef]
- Bronnikov, K.A.; Rybakov, Y.P.; Saha, B. Spinor fields in spherical symmetry. Einstein-Dirac and other space-times. Eur. Phys. J. Plus 2020, 135, 124. [Google Scholar] [CrossRef]
- Saha, B.; Boyadjiev, T. Bianchi type I cosmology with scalar and spinor fields. Phys. Rev. D 2004, 69, 124010. [Google Scholar] [CrossRef]
- Balakin, A.B.; Efremova, A.O. Interaction of the axionic dark matter, dynamic aether, spinor and gravity fields as an origin of oscillations of the fermion effective mass. Eur. Phys. J. C 2021, 81, 674. [Google Scholar] [CrossRef]




Disclaimer/Publisher’s Note: The statements, opinions and data contained in all publications are solely those of the individual author(s) and contributor(s) and not of MDPI and/or the editor(s). MDPI and/or the editor(s) disclaim responsibility for any injury to people or property resulting from any ideas, methods, instructions or products referred to in the content. |
© 2023 by the authors. Licensee MDPI, Basel, Switzerland. This article is an open access article distributed under the terms and conditions of the Creative Commons Attribution (CC BY) license (https://creativecommons.org/licenses/by/4.0/).
Share and Cite
Balakin, A.; Efremova, A. Dynamic Aether as a Trigger for Spontaneous Spinorization in Early Universe. Universe 2023, 9, 481. https://doi.org/10.3390/universe9110481
Balakin A, Efremova A. Dynamic Aether as a Trigger for Spontaneous Spinorization in Early Universe. Universe. 2023; 9(11):481. https://doi.org/10.3390/universe9110481
Chicago/Turabian StyleBalakin, Alexander, and Anna Efremova. 2023. "Dynamic Aether as a Trigger for Spontaneous Spinorization in Early Universe" Universe 9, no. 11: 481. https://doi.org/10.3390/universe9110481
APA StyleBalakin, A., & Efremova, A. (2023). Dynamic Aether as a Trigger for Spontaneous Spinorization in Early Universe. Universe, 9(11), 481. https://doi.org/10.3390/universe9110481

