Abstract
It is possible that the proton is stable while atomic hydrogen is not. This is the case in models with new particles carrying baryon number which are light enough to be stable themselves, but heavy enough so that proton decay is kinematically blocked. Models of new physics that explain the neutron lifetime anomaly generically have this feature, allowing for atomic hydrogen to decay through electron capture on a proton. We calculate the radiative hydrogen decay rate involving the emission of a few hundred keV photon, which makes this process experimentally detectable. In particular, we show that the low energy part of the Borexino spectrum is sensitive to radiative hydrogen decay, and turn this into a limit on the hydrogen lifetime of order or stronger. For models where the neutron mixes with a dark baryon, , this limits the mixing angle to roughly , restricting the branching to , over a wide range of parameter space.
1. Introduction
The stability of matter can be viewed as a consequence of the conservation of baryon number, B. In the Standard Model (SM), B is an accidental symmetry: a charge carried by quarks (conventionally normalized to ), the conservation of which is not imposed by hand but rather results, at the renormalizable level, given the choice of the SM fermion gauge charges. In the effective field theory describing hadrons, there is no good argument why the operator , with the positron, which would mediate proton decay should be absent. In the context of the SM involving elementary quarks, q, and leptons, l, their gauge couplings dictate that the lowest dimensional interaction that can give rise to this effective operator is dimension-6, , and can therefore be highly suppressed, explaining the apparent stability of the proton (see, e.g., Ref. [1]). In the effective field theory language, this means that the proton is the lightest particle carrying nonzero B ( in the conventional normalization), which is conserved (to at least very good approximation) and, thus, the proton is (at least very nearly) stable.
The current constraints on proton decay are somewhat model-dependent, reflecting the experimental capability of detecting the potential final states. The large majority of the considered proton decay modes produce a positron at the end of the decay chain, so that the total energy released in such process, Q, is close to the proton mass, although some can be carried away by neutrinos. For the flagship decay mode, , one can set a very stringent bound, [2]. The limit benefits from the very distinct signature of this decay in the Super-Kamiokande detector with little background and high efficiency. Somewhat less stringent limits are set by “disappearing” nucleons in the SNO [3] and KamLAND experiments [4]. These dark decays may include modes. The sensitivity to such decay modes comes from detecting the visible energy (e.g., photons) emitted in the process of filling the nucleon vacancy in C and O left by the vanished nucleon, so that the visible Q is on the order of a few MeV.
In this work, we will consider some aspects of nucleon decay when Q is generally smaller than the nucleon binding energy inside a nucleus. Such decays often result when considering new states with masses close to the nucleon mass scale, which has received considerable attention in recent years. As the simplest example that illustrates the idea underlying our work, consider a toy model involving a dark scalar that couples to the proton and electron,
where is some coupling constant. Depending on the mass of , one can have proton decay, atomic hydrogen decay, or both:
If the scalar mass is in the range , proton decay is not allowed, avoiding the extremely strong bound on the proton lifetime, but the hydrogen atom can decay with the rate
where is the value of the electron wavefunction at the location of the proton and is the mass of hydrogen. This decay of hydrogen involves the emission of a photon with energy of several hundred which can be efficiently searched for using the Borexino detector where the threshold is close to . In particular, the search for the charge-violating decay mode, [5], can be directly recast as a constraint on the hydrogen lifetime in model (1) of roughly . One should note that within this toy model the limits are very strong because decay here must be accompanied by the emission of a photon. In other models, the leading mode can be fully invisible, with the subdominant radiative mode involving a photon suppressed by and an additional phase space factor.
We will also focus on a more motivated scenario than this simple toy model, in which the neutron mixes with a neutral dark fermion, . Like the proton’s coupling to the electron, since the neutron is a composite state carrying , n- mixing also occurs at dimension-6 through the operator , hence we can justifiably view the mixing as a small parameter. If is a Dirac fermion, one can assign it . Curiously, if is in the range (note the range for above), and the proton are stable for the same reason: the conservation of B [6]. Since is neutral and stable, it can be considered as a viable dark matter candidate [7]. The similarity of the and n mass could result from an underlying mirror symmetry [8,9,10,11] or be argued for by anthropic reasoning related to the need for dark matter [6]. Furthermore, if , then a new neutron decay mode opens up, , which has been suggested as the solution to the discrepancy between measurements of the neutron lifetime using the “bottle” and “beam” methods [12], also known as the “neutron lifetime anomaly.” However, decays have been directly searched for and not seen at the level required to explain the discrepancy for [13]. We note that this solution to the lifetime anomaly may be in tension with measured neutron decay angular correlations [14,15]. There are also strong limits from the existence of heavy neutron stars [16,17,18]. Extensions of the model leave open the possibility of maintaining the dark particle solution to the neutron lifetime anomaly (see, e.g., [19,20,21,22,23]).
In addition to n decay, hydrogen decay to can occur in this model [24] in precisely the mass range where is stable (and thus a potential dark matter candidate), with a radiative branching including a photon of . In this article, we will show that data from Borexino can be used to set a stronger limit on the model than the direct search for over a large range of parameter space where is destabilized via H.
2. Hydrogen Decay
We now discuss hydrogen decay in the scenario where the neutron mixes with a new state as well as in a general effective field theory treatment.
The Lagrangian describing the mixing of the neutron with a Dirac fermion carrying is
plus terms responsible for weak and electromagnetic interactions of neutrons. The mixing strength is empirically required to be small, . This mass matrix of Equation (3) is diagonalized by taking , with the mixing angle given by with .
In this model, to ensure the stability of the proton, . Kinematically forbidding the decay increases the lower bound on by to [6] while forbidding the decay to two particles requires [25]. If , the dark baryon is itself stable and thus a potential dark matter candidate [6,12].
For , this model leads to a new decay channel for the neutron, , with branching ratio
which, as mentioned above, was proposed as an explanation of the neutron lifetime anomaly [12]. For dark baryon masses between and , the direct search for [13] limits its branching ratio to .
If , as pointed out in Ref. [24], atomic hydrogen can decay through electron capture, . The hydrogen decay rate in the presence of n- mixing is
where is the nuclear axial vector coupling and here . For and , the hydrogen lifetime is longer than the age of the Universe and results in a final state that does not interact strongly with normal matter and thus is seemingly difficult to probe.
In addition to the fully invisible final state, there is a subdominant radiative decay mode, , shown in Figure 1, which produces a photon with energy which can be observed. The radiative branching fraction in this model as a function of the photon energy is
This is peaked at . The total radiative branching fraction is
Figure 1.
Radiative hydrogen decay in the neutron mixing model. A similar diagram can be drawn in the toy model and EFT we consider where we replace and with or ℓ and b, respectively.
Other models with sub-GeV states carrying B and lepton number, L, can lead to the decay of hydrogen. Such models have often been considered in the context of asymmetric dark matter (see, e.g., [26,27,28,29,30,31,32,33]). As mentioned above, in the toy model of Equation (1), if , then proceeds emitting a monochromatic photon of energy .
We also consider a simple setup involving two exotic, light neutral fermions, ℓ and b, carrying and , respectively. These can interact with the electron and proton through a dimension-6 operator. For simplicity, we consider the scalar-scalar operator,
Of course, depending on the UV completion, other Lorentz structures are possible. Also depending on the UV completions are the strengths of the operators that could induce related processes such as neutron decay. For instance, given the scalar in Equation (1), one might expect to exist, while could exist in the EFT. These operators are necessarily generated in the presence of (1) and (8) at loop level, but because of the model dependence of their strengths, we do not discuss them further.
As in the neutron-mixing model, the stability of Be (and the proton) is ensured if . If , occurs through (8). We assume that , ℓ, and b are either stable on the scale of the Borexino experiment or that they decay into dark sector states so that they do not leave any other visible signature. If or is zero, then the rate for this decay is parametrically the same as in Equation (5). When and are comparable, the rate scales differently with Q. Taking for definiteness, the decay rate is
Note that if we write the operator in Equation (8) at the quark level as a dimension-9 operator with scale , so that corresponds to .
For the radiative branching ratio is the same as in the neutron-mixing case in (6) while for it is simply half that. Given the similarity of the rates to the neutron-mixing case, we will not consider these points in parameter space further, noting that limits can simply be translated from the neutron-mixing case.
For equal masses, , the photon spectrum in radiative decay is slightly harder than in neutron mixing, peaked at ,
We now move on to discuss the experimental signature of these scenarios from radiative hydrogen decay.
3. Decays at Borexino
The Borexino solar neutrino experiment contains a large amount of radio-pure organic scintillator, and thus hydrogen atoms, in a low-background environment. Its extreme radio-purity allows the threshold for the detection of electromagnetic energy depositions to be reduced down to set by the C background. It is therefore the most promising experiment to search for the radiative decay of hydrogen. The fiducial volume of Borexino is of pseudocumene which is about 10% hydrogen by weight. This means that, in the neutron-mixing model, the total radiative hydrogen decay rate at Borexino is about
where the last factor,
represents the reduction in the probability of finding the electron at the location of the proton in the molecular state from that in atomic hydrogen. We somewhat conservatively normalize this to ; note that the value of in simple hydrocarbons, e.g., methane [34,35,36], can be slightly larger than this.
In the scalar toy model, since the radiative mode is the leading decay mode and the photon is emitted monochromatically, it is more physically meaningful to parameterize the number of radiative decays simply by the lifetime than by . The number of events expected at Borexino is then
For the effective operator of (8) with , the total photon production rate is roughly
Given that the total rate of electromagnetic energy deposition seen at Borexino above is about , these rough estimates make it clear observable event rates are possible for in neutron-mixing, in the toy model of (1), and in (8) as long as Q is larger than .
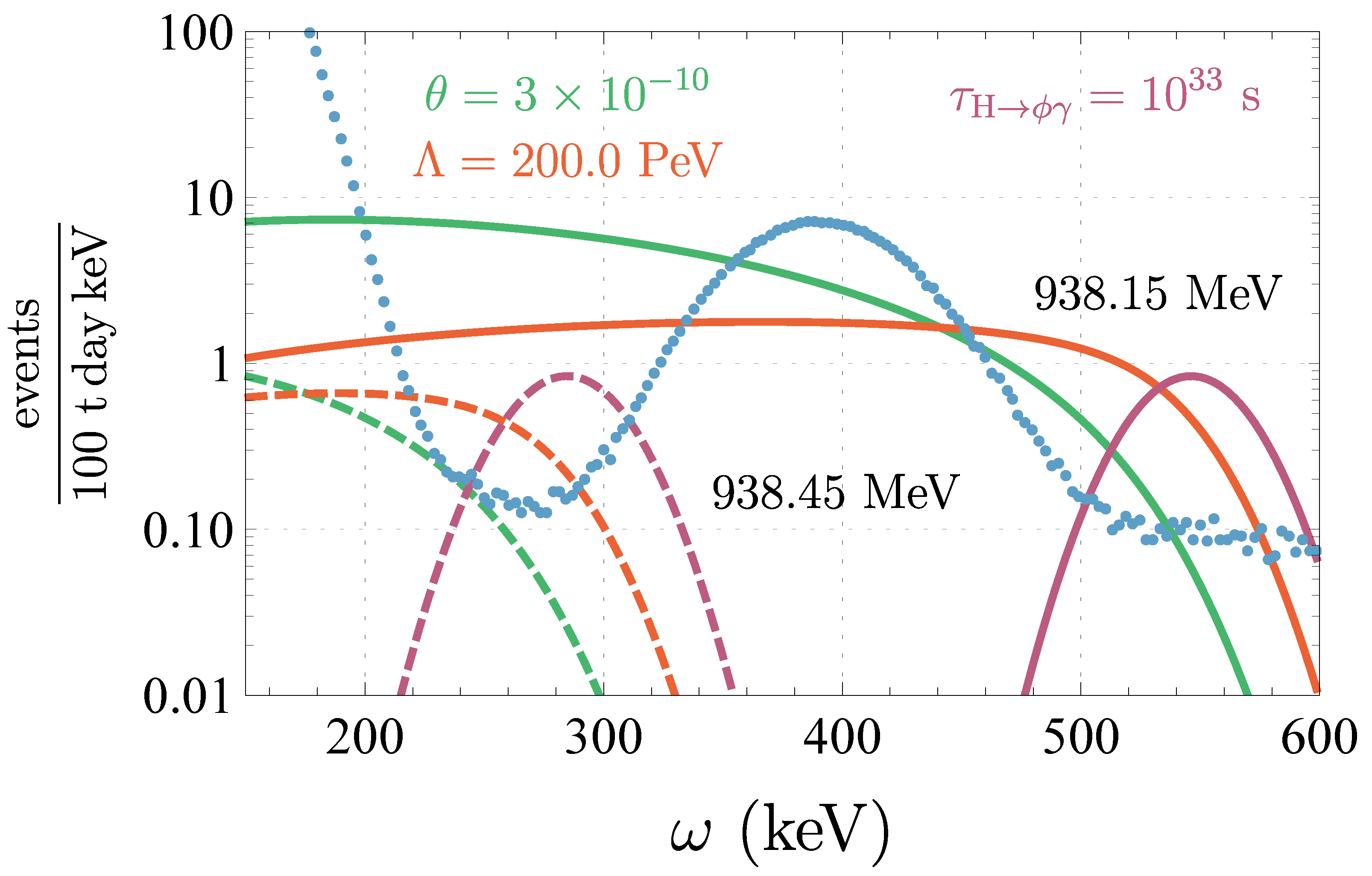
In Figure 2, we show the photon spectra at Borexino in the neutron-mixing model, the EFT with and the toy model of Equation (1) for and along with the Borexino data of Ref. [5]. We fix , , and in the three models, respectively. To mock up the detector response to photons described in [5], we assume that the photon energies are quenched by a factor of and smeared according to a Gaussian with a full width at half maximum of , and we take a detection efficiency of 25% (matching the injected monochromatic photon signal in Ref. [5]). We set 10% by weight of the detector to be composed of hydrogen and take the square of the molecular electron wavefunction at the proton to be reduced from the atomic value by the factor .
Figure 2.
Data from Borexino [5] (blue points) along with the photon spectra from radiative hydrogen decay in neutron-mixing (green) with , in the EFT with (red) and , and in the toy model (purple) with . We have chosen (solid curves) and (dashed curves). See text for details about the modeling of the detector response.
Given the agreement of the Borexino data with expectations of solar neutrinos and backgrounds from radioactivity, we can use these data to determine limits on the allowed values of in neutron-mixing, (equivalently just ) in the toy model of Equation (1), or in the EFT of Equation (8). To do so, we fit the measured spectrum with background components from solar neutrinos, decays of , , and , as well as from pileup. As in [5], we require that the solar neutrino and rates agree with independent determinations within errors and allow the and contributions to float. We then add in signal for a fixed , , (with efficiency, energy quenching and smearing, and molecular electron wavefunction as described above) and determine the value of , , or at which , corresponding to a 90% C. L. upper limit. To validate our procedure, we verify that we obtain a similar limit on the injection of monochromatic photons from decay, as in [5].
We express the upper limits on the number of events as lower limits on the lifetime in each of these three scenarios, which we show in Figure 3. The solid lines show the 90% C. L. lower limits from the fit procedure described above for the neutron-mixing (green), toy (purple), and EFT (red) scenarios. The dashed lines are conservative limits on the lifetime that come from requiring that the number of signal events with or not exceed the total number measured in this range for neutron-mixing (green) and the EFT (red). We also show our estimate of the 90% C. L. lower limit that applies to the neutron-mixing scenario from the direct search for in Ref. [13], assuming no other exotic decay modes of the neutron. Note that the weakening of the limit on the toy model for comes from our not using data with .
Figure 3.
Our 90% C. L. lower limits on the free hydrogen lifetime labeled by the final state in radiative decay. We show the limit in the EFT with (solid red), the neutron-mixing case (solid green), and the toy model of Equation (1) (solid purple) as functions of . The dashed curves show conservative limits derived from simply requiring the number of signal events with , not exceed the observed number. We also show the inferred limit on the neutron-mixing model from the lack of observation of decays in Ref. [13] (solid blue). The red shaded region is where is unstable and in the gray shaded region hydrogen is stable.
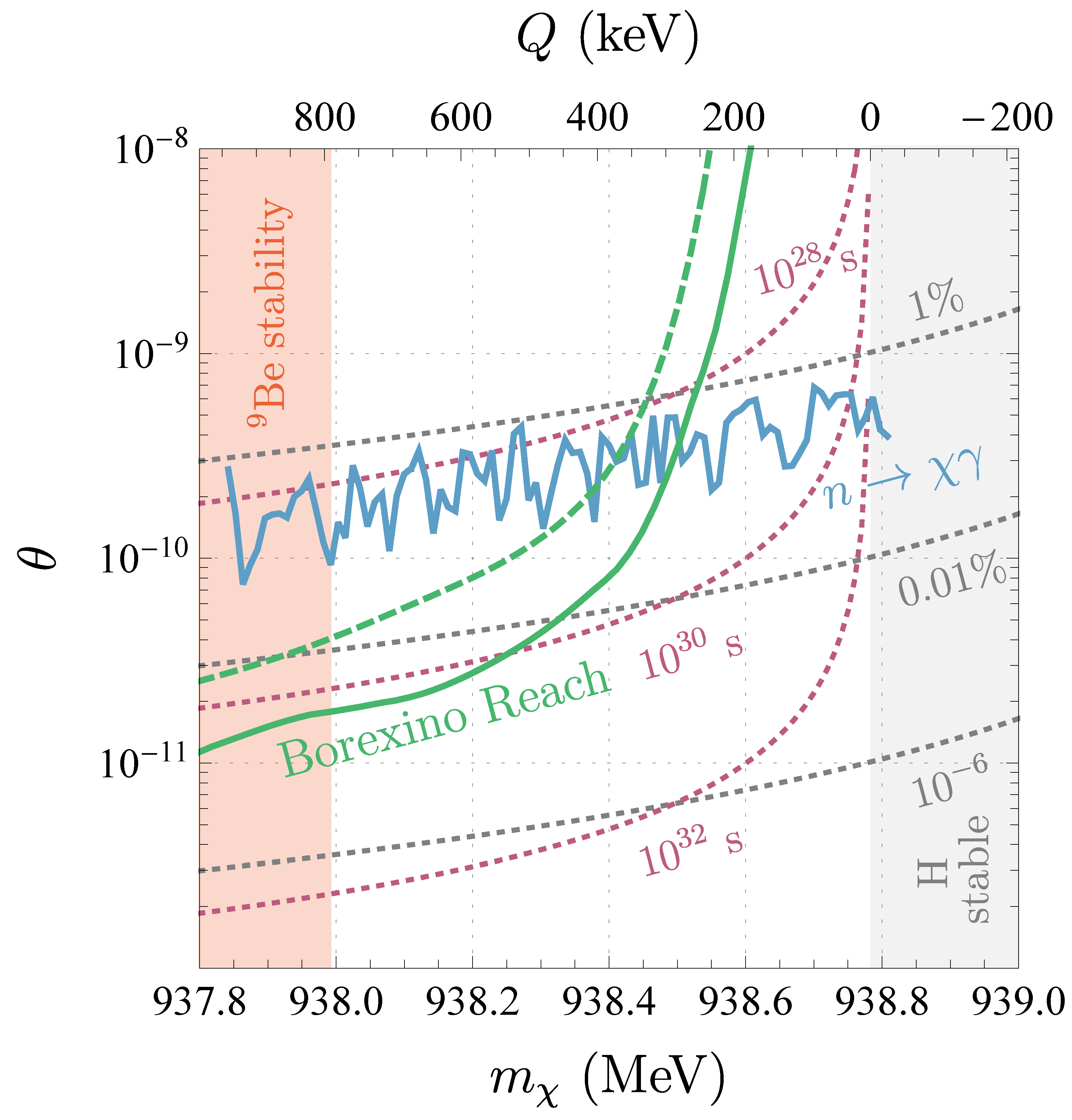
In addition, we show our upper limit on in the neutron-mixing model in Figure 4. The solid and dashed curves are computed as in Figure 3 and our estimate of the 90% C. L. upper limit on from Ref. [13] is also shown.
Figure 4.
The 90% C. L. upper limit on as a function of in the neutron-mixing model from Borexino data [5] (solid green) along with a simple conservative limit as described in Figure 3 (dashed green). Our estimate of the 90% C. L. upper limit on from the search for (assuming no other exotic neutron decay mode) from [13] is shown for comparison (solid blue). The dashed gray contours show branching ratios of 1%, 0.01%, and and the dashed purple contours indicate atomic hydrogen lifetimes of , , and . The red region below is ruled out by the stability of and in the gray area above , hydrogen does not decay.
As can be seen in Figure 3 and Figure 4, the Borexino data can probe and as large as ∼100– in the EFT. The limits are stronger in the EFT than for neutron-mixing since the photon spectrum is slightly harder (for ), which moves the signal out from under the background into a region with fewer events.
We briefly mention other possible probes of hydrogen stability for keV. In the range of ∼30–200 keV, meaningful limits can be set from the studies of the C signal from the precursor of the Borexino experiment [37]. Conservatively requiring that radiative decays not exceed the C measured decay rate, we arrive at
In principle, further studies of C-poor hydrocarbon radioactivity could set limits on H decays in the remaining window for Q down to a few keV. Alternative probes are provided by cosmology, where the injection of energy due to radiative H decays would alter the pattern of cosmic microwave background angular anisotropies. Adopting the results of Ref. [38], one can arrive at sensitivity to at the level of , which is not competitive in strength with limits derived in this paper.
4. Conclusions
There has been a large amount of recent interest in models involving new states with masses close to the proton and neutron; strong motivations come from the neutron lifetime anomaly and dark matter. While the proton (and ) lifetime has long been appreciated as a constraint on models of new physics, the fact that neutral hydrogen can decay in such scenarios has not received as much attention. The typical final state for hydrogen decay in such a model is fully invisible which makes it difficult to test. We have shown in this letter that nontrivial constraints can arise from the subdominant radiative decay mode where a photon is also emitted when comparing against data collected at Borexino. This could provide a direct test of scenarios where the neutron mixes with a dark state without the nuclear physics complications that have to be confronted when searching for it in the decay of heavier nuclei, such as [25,39,40].
In addition, we have also shown limits on more general models, the toy model in Equation (1) and dimension-6 EFT in Equation (8), that can give rise to the decay of hydrogen. In the former, the constraints are quite strong since the leading decay mode involves a photon, while in the latter, the limits are comparable to those in the neutron-mixing model since the radiative mode occurs with branching fraction . In all cases, the limits on the lifetime attained here are far stronger than those that come from cosmological observations. It would be worthwhile to estimate the limits on that could be extracted at future experiments, possibly with other organic scintillators or by doping sensitive detectors with hydrogen-containing compounds.
It is amusing that the stability of the proton and atomic hydrogen can be decoupled from one another. The Borexino bounds that we have derived set important constraints for models that are motivated to explain the neutron lifetime anomaly and explain the existence of dark matter. Furthermore, beyond these particular applications, it is interesting on general grounds to quantitatively address the stability of neutral hydrogen itself, which is, after all, the dominant form of atomic matter in our universe.
Author Contributions
D.M. and M.P. contributed equally to all aspects of this research. All authors have read and agreed to the published version of the manuscript.
Funding
This research was funded in part by NSERC Discovery Grant SAPIN-2019-00042 and U.S. Department of Energy Grant No. DE-SC0011842.
Acknowledgments
We thank Pietro Giampa, David Morrissey, and Nirmal Raj for helpful discussions and Christopher Morris for guidance on Ref. [13]. D. M. is supported by a Discovery Grant from the Natural Sciences and Engineering Research Council of Canada (NSERC). TRIUMF receives funding through a contribution agreement with the National Research Council of Canada (NRC).
Conflicts of Interest
The authors declare no conflict of interest.
References
- Zee, A. Gravity and its Mysteries: Some Thoughts and Speculations. In Proceedings of the Statistical Physics, High Energy, Condensed Matter and Mathematical Physics, Proceedings of the Conference in Honor of C N Yang’s 85th Birthday, Singapore, 31 October–3 November 2007; World Scientific: Singapore, 2008; pp. 131–146. [Google Scholar] [CrossRef]
- Abe, K.; Bronner, C.; Pronost, G.; Hayato, Y.; Ikeda, M.; Iyogi, K.; Kameda, J.; Kato, Y.; Kishimoto, Y.; Marti, L. et al. [The Super-Kamiokande Collaboration] Search for nucleon decay into charged antilepton plus meson in 0.316 megaton·years exposure of the Super-Kamiokande water Cherenkov detector. Phys. Rev. 2017, D96, 012003. [Google Scholar] [CrossRef]
- Ahmed, S.N.; Anthony, A.E.; Beier, E.W.; Bellerive, A.; Biller, S.D.; Boger, J.; Boulay, M.G.; Bowler, M.G.; Bowles, T.J.; Brice, S.J. et al. [SNO Collaboration] Constraints on nucleon decay via ‘invisible’ modes from the Sudbury Neutrino Observatory. Phys. Rev. Lett. 2004, 92, 102004. [Google Scholar] [CrossRef] [PubMed]
- Araki, T.; Enomoto, S.; Furuno, K.; Gando, Y.; Ichimura, K.; Ikeda, H.; Inoue, K.; Kishimoto, Y.; Koga, M.; Koseki, Y. et al. [KamLAND Collaboration] Search for the invisible decay of neutrons with KamLAND. Phys. Rev. Lett. 2006, 96, 101802. [Google Scholar] [CrossRef]
- Agostini, M.; Appel, S.; Bellini, G.; Benziger, J.; Bick, D.; Bonfini, G.; Bravo, D.; Caccianiga, B.; Calaprice, F.; Caminata, A. et al. [Borexino Collaboration] A test of electric charge conservation with Borexino. Phys. Rev. Lett. 2015, 115, 231802. [Google Scholar] [CrossRef] [PubMed]
- McKeen, D.; Nelson, A.E. CP Violating Baryon Oscillations. Phys. Rev. 2016, D94, 076002. [Google Scholar] [CrossRef]
- Karananas, G.K.; Kassiteridis, A. Small-scale structure from neutron dark decay. JCAP 2018, 1809, 036. [Google Scholar] [CrossRef]
- Berezhiani, Z. Mirror world and its cosmological consequences. Int. J. Mod. Phys. 2004, A19, 3775–3806. [Google Scholar] [CrossRef]
- Berezhiani, Z.; Bento, L. Neutron—Mirror neutron oscillations: How fast might they be? Phys. Rev. Lett. 2006, 96, 081801. [Google Scholar] [CrossRef]
- Berezhiani, Z. Through the Looking-Glass: Alice’s Adventures in Mirror World; World Scientific: Singapore, 2005; pp. 2147–2195. [Google Scholar] [CrossRef]
- Berezhiani, Z. Neutron–antineutron oscillation and baryonic majoron: Low scale spontaneous baryon violation. Eur. Phys. J. 2016, C76, 705. [Google Scholar] [CrossRef]
- Fornal, B.; Grinstein, B. Dark Matter Interpretation of the Neutron Decay Anomaly. Phys. Rev. Lett. 2018, 120, 191801. [Google Scholar] [CrossRef]
- Tang, Z.; Blatnik, M.; Broussard, L.J.; Choi, J.H.; Clayton, S.M.; Cude-Woods, C.; Currie, S.; Fellers, D.E.; Fries, E.M.; Geltenbort, P.; et al. Search for the Neutron Decay n→ X+γ where X is a dark matter particle. Phys. Rev. Lett. 2018, 121, 022505. [Google Scholar] [CrossRef]
- Czarnecki, A.; Marciano, W.J.; Sirlin, A. Neutron Lifetime and Axial Coupling Connection. Phys. Rev. Lett. 2018, 120, 202002. [Google Scholar] [CrossRef] [PubMed]
- Dubbers, D.; Saul, H.; Markisch, B.; Soldner, T.; Abele, H. Exotic decay channels are not the cause of the neutron lifetime anomaly. Phys. Lett. 2019, B791, 6–10. [Google Scholar] [CrossRef]
- McKeen, D.; Nelson, A.E.; Reddy, S.; Zhou, D. Neutron stars exclude light dark baryons. Phys. Rev. Lett. 2018, 121, 061802. [Google Scholar] [CrossRef]
- Baym, G.; Beck, D.H.; Geltenbort, P.; Shelton, J. Testing dark decays of baryons in neutron stars. Phys. Rev. Lett. 2018, 121, 061801. [Google Scholar] [CrossRef]
- Motta, T.F.; Guichon, P.A.M.; Thomas, A.W. Implications of Neutron Star Properties for the Existence of Light Dark Matter. J. Phys. 2018, G45, 05LT01. [Google Scholar] [CrossRef]
- Cline, J.M.; Cornell, J.M. Dark decay of the neutron. JHEP 2018, 7, 081. [Google Scholar] [CrossRef]
- Ivanov, A.N.; Hollwieser, R.; Troitskaya, N.I.; Wellenzohn, M.; Berdnikov, Y.A. Neutron Dark Matter Decays. arXiv 2018, arXiv:1806.10107. [Google Scholar]
- Berezhiani, Z. Neutron lifetime puzzle and neutron–mirror neutron oscillation. Eur. Phys. J. 2019, C79, 484. [Google Scholar] [CrossRef]
- Bringmann, T.; Cline, J.M.; Cornell, J.M. Baryogenesis from neutron-dark matter oscillations. Phys. Rev. 2019, D99, 035024. [Google Scholar] [CrossRef]
- Grinstein, B.; Kouvaris, C.; Nielsen, N.G. Neutron Star Stability in Light of the Neutron Decay Anomaly. Phys. Rev. Lett. 2019, 123, 091601. [Google Scholar] [CrossRef]
- Berezhiani, Z. Neutron lifetime and dark decay of the neutron and hydrogen. arXiv 2018, arXiv:1812.11089. [Google Scholar] [CrossRef]
- Pfützner, M.; Riisager, K. Examining the possibility to observe neutron dark decay in nuclei. Phys. Rev. 2018, C97, 042501. [Google Scholar] [CrossRef]
- Kaplan, D.B. A Single explanation for both the baryon and dark matter densities. Phys. Rev. Lett. 1992, 68, 741–743. [Google Scholar] [CrossRef]
- Kitano, R.; Low, I. Dark matter from baryon asymmetry. Phys. Rev. 2005, D71, 023510. [Google Scholar] [CrossRef]
- Kaplan, D.E.; Luty, M.A.; Zurek, K.M. Asymmetric Dark Matter. Phys. Rev. 2009, D79, 115016. [Google Scholar] [CrossRef]
- An, H.; Chen, S.L.; Mohapatra, R.N.; Zhang, Y. Leptogenesis as a Common Origin for Matter and Dark Matter. JHEP 2010, 3, 124. [Google Scholar] [CrossRef]
- Shelton, J.; Zurek, K.M. Darkogenesis: A baryon asymmetry from the dark matter sector. Phys. Rev. 2010, D82, 123512. [Google Scholar] [CrossRef]
- Davoudiasl, H.; Morrissey, D.E.; Sigurdson, K.; Tulin, S. Hylogenesis: A Unified Origin for Baryonic Visible Matter and Antibaryonic Dark Matter. Phys. Rev. Lett. 2010, 105, 211304. [Google Scholar] [CrossRef] [PubMed]
- Falkowski, A.; Ruderman, J.T.; Volansky, T. Asymmetric Dark Matter from Leptogenesis. JHEP 2011, 5, 106. [Google Scholar] [CrossRef]
- Allahverdi, R.; Dev, P.S.B.; Dutta, B. A simple testable model of baryon number violation: Baryogenesis, dark matter, neutron–antineutron oscillation and collider signals. Phys. Lett. 2018, B779, 262–268. [Google Scholar] [CrossRef]
- Nesbet, R.K. Ground State Electronic Wave Function of Methane. J. Chem. Phys. 1960, 32, 1114–1122. [Google Scholar] [CrossRef]
- Sinai, J.J. Electronic Wavefunction for the Ground State of Methane. J. Chem. Phys. 1963, 39, 1575–1577. [Google Scholar] [CrossRef]
- Kohda, S.; Katagiri, S. Bond Orbital Calculations on the Methane and Silane Molecules. Bull. Chem. Soc. Jpn. 1973, 46, 1428–1432. [Google Scholar] [CrossRef]
- Alimonti, G.; Angloher, G.; Arpesella, C.; Balata, M.; Bellini, G.; Benziger, J.; Borexino Collaboration. Measurement of the C-14 abundance in a low-background liquid scintillator. Phys. Lett. 1998, B422, 349–358. [Google Scholar] [CrossRef]
- Slatyer, T.R.; Wu, C.L. General Constraints on Dark Matter Decay from the Cosmic Microwave Background. Phys. Rev. 2017, D95, 23010. [Google Scholar] [CrossRef]
- Ejiri, H.; Vergados, J.D. Neutron disappearance inside the nucleus. J. Phys. 2019, G46, 25104. [Google Scholar] [CrossRef]
- Keung, W.Y.; Marfatia, D.; Tseng, P.Y. Annihilation signatures of neutron dark decay models in neutron oscillation and proton decay searches. JHEP 2019, 9, 53. [Google Scholar] [CrossRef]
Disclaimer/Publisher’s Note: The statements, opinions and data contained in all publications are solely those of the individual author(s) and contributor(s) and not of MDPI and/or the editor(s). MDPI and/or the editor(s) disclaim responsibility for any injury to people or property resulting from any ideas, methods, instructions or products referred to in the content. |
© 2023 by the authors. Licensee MDPI, Basel, Switzerland. This article is an open access article distributed under the terms and conditions of the Creative Commons Attribution (CC BY) license (https://creativecommons.org/licenses/by/4.0/).



