Two Sides of the Same Coin: Sterile Neutrinos and Dark Radiation, Status and Perspectives
Abstract
1. Introduction
2. Light Sterile Neutrinos
2.1. Status of Oscillation Searches
- Electron (anti)neutrino disappearance ( DIS) includes probes at reactors and Gallium experiments. The reactor antineutrino anomaly (RAA) [48] has been discovered in 2011, and it is related to the fact that observed reactor rates are smaller than the predicted ones. Neutrino disappearance due to active-sterile oscillations has been proposed as a possible explanation to the anomaly. The current status of the RAA has been recently summarized in [49], where the authors have shown that the anomaly disappears if one considers recent calculations of the reactor antineutrino flux [50,51]. The indications in favour of active-sterile neutrino oscillations, however, are also investigated using “model-independent” studies, which observe the reactor antineutrino flux at different distances in order to constrain the effect of oscillations separately from that of the absolute flux normalization and shape. The current combined preference in favour of a sterile neutrino from such probes is currently below for a mass splitting eV and mixing angle (upper limit at ) [52], if one ignores the debated results by Neutrino-4 [53] (see also [54,55,56]). Concerning Gallium, the original anomaly was discovered by Gallex and SAGE, and was quantified to be around [57]. The significance decreases a bit when computed according to more recent cross-section estimates [58], but it is revived by the very recent BEST results [59]. Notice that the best-fit parameters preferred by the Gallium anomaly are in tension with the RAA best fit [49].
- Muon (anti)neutrino disappearance ( DIS) probes involve atmospheric or accelerator neutrinos. In the former category, we mainly find IceCube [60,61,62], which in the most recent data release points out a weak preference in favour of active-sterile oscillations over the standard three-neutrino case, with eV. Accelerator experiments include MINOS/MINOS+ [63,64], which provides the strongest bounds ( at ) within the DIS channel for a wide range of mass splittings, and NOA, which recently published the first constraints on active-sterile mixing from a long-baseline (LBL) experiment [65]. Although current probes cannot reach the required precision, future LBL experiments will be crucial to study the effect of the two additional Dirac CP phases associated with the and matrix elements [66].
- Appearance (APP) experiments, finally, test the presence of electron (anti)neutrinos in a beam of muon (anti)neutrinos produced at accelerators. The first anomalous appearance of events was observed by LSND [67], with a significance of approximately . The presence of an anomaly was later confirmed at almost by MiniBooNE [68], whose best-fit results are however in tension with those from ICARUS [69] and OPERA [70]. The combination of these experiments indicates a preferred region with effective mixing angles and mass splittings , at . The very recent results [71,72] published by MicroBooNE [73], however, exclude the presence of an electron neutrino excess at low energies, by discarding the possibility that the MiniBooNE excess is due to single-photon events at 95% CL [71], while at the same time ruling out electrons as the sole source of the excess at more than 97% confidence [72]. MicroBooNE also reports that its measurements are inconsistent with a interpretation of the MiniBooNE excess, that however remains unexplained.
2.2. Status from Other Terrestrial Probes
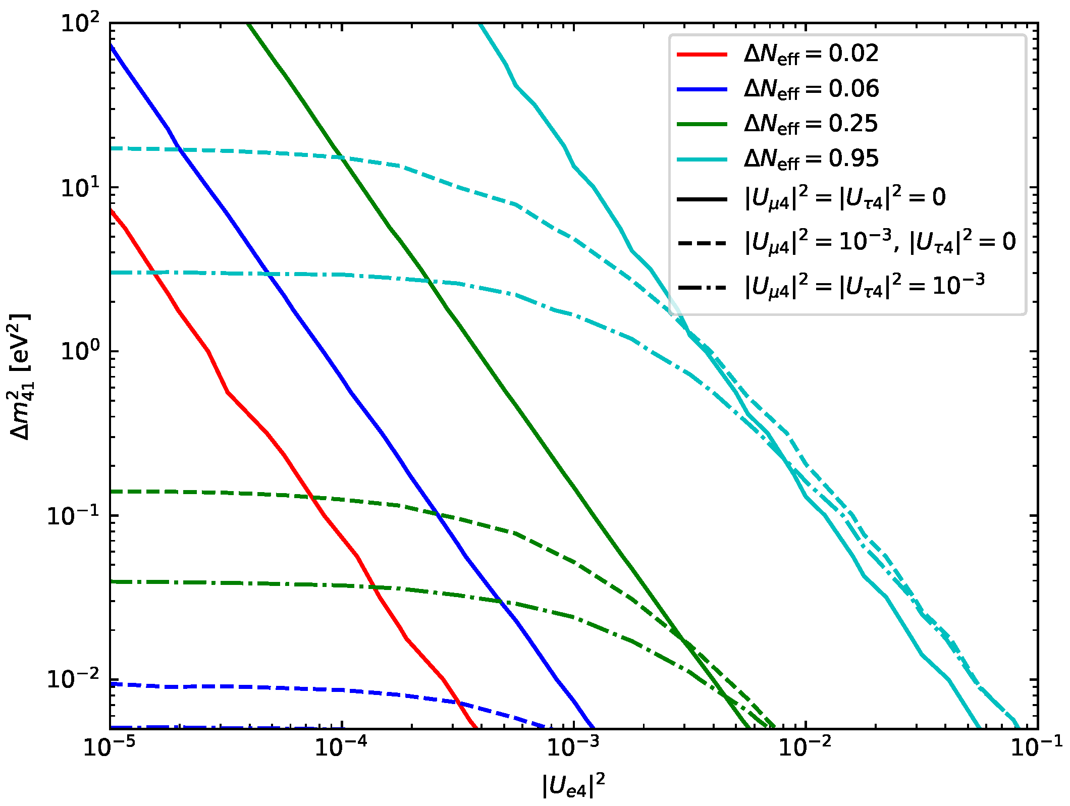
2.3. Cosmological Constraints
3. Neutrino Nonstandard Interactions
4. Interacting Dark Radiation
5. Conclusions
Author Contributions
Funding
Institutional Review Board Statement
Informed Consent Statement
Data Availability Statement
Conflicts of Interest
| 1 | The case of axions or axion-like particles (ALPs) will not be discussed in this review. Indeed, axions or ALPs are more frequently considered as possible dark matter candidates [20,21,22], while they contribute to dark radiation only if produced in thermal processes (see, e.g., [23,24,25,26,27,28,29,30] and references therein). |
| 2 | |
| 3 | The tension refers to the ∼ deviation between CMB observations and weak gravitational lensing data on the clustering of matter at scales of h/Mpc [142]. |
| 4 |
References
- Aghanim, N.; Akrami, Y.; Arroja, F.; Ashdown, M.; Aumont, J.; Baccigalupi, C.; Ballardini, M.; Banday, A.J.; Barreiro, R.B.; Bartolo, N.; et al. Planck 2018 results. I. Overview and the cosmological legacy of Planck. Astron. Astrophys. 2020, 641, A1. [Google Scholar] [CrossRef]
- Bergstrom, L. Dark Matter Evidence, Particle Physics Candidates and Detection Methods. Annalen Phys. 2012, 524, 479–496. [Google Scholar] [CrossRef]
- Bertone, G.; Hooper, D. History of dark matter. Rev. Mod. Phys. 2018, 90, 045002. [Google Scholar] [CrossRef]
- de Swart, J.; Bertone, G.; van Dongen, J. How Dark Matter Came to Matter. Nat. Astron. 2017, 1, 59. [Google Scholar] [CrossRef]
- Luminet, J.P. The Dark Matter Enigma. arXiv 2021, arXiv:2101.10127. [Google Scholar] [CrossRef]
- Copeland, E.J.; Sami, M.; Tsujikawa, S. Dynamics of dark energy. Int. J. Mod. Phys. 2006, D15, 1753–1936. [Google Scholar] [CrossRef]
- Sola, J. Cosmological constant vis-a-vis dynamical vacuum: Bold challenging the ΛCDM. Int. J. Mod. Phys. 2016, A31, 1630035. [Google Scholar] [CrossRef]
- Huterer, D.; Shafer, D.L. Dark energy two decades after: Observables, probes, consistency tests. Rep. Prog. Phys. 2018, 81, 016901. [Google Scholar] [CrossRef] [PubMed]
- Lahav, O. 100 years of the Cosmological Constant: What is next? arXiv 2017, arXiv:1704.00069. [Google Scholar]
- Novosyadlyj, B. Century of Λ. Eur. Phys. J. H 2018, 43, 267–280. [Google Scholar] [CrossRef]
- O’Raifeartaigh, C.; O’Keeffe, M.; Nahm, W.; Mitton, S. One Hundred Years of the Cosmological Constant: From ’Superfluous Stunt’ to Dark Energy. Eur. Phys. J. H 2018, 43, 73–117. [Google Scholar] [CrossRef]
- Froustey, J.; Pitrou, C.; Volpe, M.C. Neutrino decoupling including flavour oscillations and primordial nucleosynthesis. J. Cosmol. Astropart. Phys. 2020, 12, 015. [Google Scholar] [CrossRef]
- Akita, K.; Yamaguchi, M. A precision calculation of relic neutrino decoupling. J. Cosmol. Astropart. Phys. 2020, 8, 012. [Google Scholar] [CrossRef]
- Bennett, J.J.; Buldgen, G.; de Salas, P.F.; Drewes, M.; Gariazzo, S.; Pastor, S.; Wong, Y.Y.Y. Towards a precision calculation of Neff in the Standard Model II: Neutrino decoupling in the presence of flavour oscillations and finite-temperature QED. J. Cosmol. Astropart. Phys. 2021, 4, 073. [Google Scholar] [CrossRef]
- Hansen, R.S.; Shalgar, S.; Tamborra, I. Neutrino flavor mixing breaks isotropy in the early universe. J. Cosmol. Astropart. Phys. 2021, 7, 017. [Google Scholar] [CrossRef]
- Froustey, J.; Pitrou, C. Primordial neutrino asymmetry evolution with full mean-field effects and collisions. arXiv 2021, arXiv:2110.11889. [Google Scholar]
- Luo, X.; Rodejohann, W.; Xu, X.J. Dirac neutrinos and Neff. Part II. The freeze-in case. J. Cosmol. Astropart. Phys. 2021, 3, 082. [Google Scholar] [CrossRef]
- Du, Y.; Yu, J.H. Neutrino non-standard interactions meet precision measurements of Neff. J. High Energy Phys. 2021, 5, 058. [Google Scholar] [CrossRef]
- de Salas, P.F.; Gariazzo, S.; Martínez-Miravé, P.; Pastor, S.; Tórtola, M. Cosmological radiation density with non-standard neutrino-electron interactions. Phys. Lett. B 2021, 820, 136508. [Google Scholar] [CrossRef]
- Kawasaki, M.; Nakayama, K. Axions: Theory and Cosmological Role. Ann. Rev. Nucl. Part. Sci. 2013, 63, 69–95. [Google Scholar] [CrossRef]
- Marsh, D.J.E. Axion Cosmology. Phys. Rep. 2016, 643, 1–79. [Google Scholar] [CrossRef]
- Dentler, M.; Marsh, D.J.E.; Hložek, R.; Laguë, A.; Rogers, K.K.; Grin, D. Fuzzy Dark Matter and the Dark Energy Survey Year 1 Data. arXiv 2021, arXiv:2111.01199. [Google Scholar]
- Archidiacono, M.; Hannestad, S.; Mirizzi, A.; Raffelt, G.; Wong, Y.Y.Y. Axion hot dark matter bounds after Planck. J. Cosmol. Astropart. Phys. 2013, 10, 020. [Google Scholar] [CrossRef]
- Archidiacono, M.; Basse, T.; Hamann, J.; Hannestad, S.; Raffelt, G.; Wong, Y.Y.Y. Future cosmological sensitivity for hot dark matter axions. J. Cosmol. Astropart. Phys. 2015, 5, 050. [Google Scholar] [CrossRef]
- Di Valentino, E.; Giusarma, E.; Lattanzi, M.; Mena, O.; Melchiorri, A.; Silk, J. Cosmological Axion and neutrino mass constraints from Planck 2015 temperature and polarization data. Phys. Lett. B 2016, 752, 182–185. [Google Scholar] [CrossRef]
- Di Valentino, E.; Gariazzo, S.; Giusarma, E.; Mena, O. Robustness of cosmological axion mass limits. Phys. Rev. D 2015, 91, 123505. [Google Scholar] [CrossRef]
- Di Valentino, E.; Gariazzo, S.; Gerbino, M.; Giusarma, E.; Mena, O. Dark Radiation and Inflationary Freedom after Planck 2015. Phys. Rev. D 2016, 93, 083523. [Google Scholar] [CrossRef]
- Mazumdar, A.; Qutub, S.; Saikawa, K. Nonthermal axion dark radiation and constraints. Phys. Rev. D 2016, 94, 065030. [Google Scholar] [CrossRef]
- Carenza, P.; Lattanzi, M.; Mirizzi, A.; Forastieri, F. Thermal axions with multi-eV masses are possible in low-reheating scenarios. J. Cosmol. Astropart. Phys. 2021, 7, 031. [Google Scholar] [CrossRef]
- Giarè, W.; Renzi, F.; Melchiorri, A.; Mena, O.; Di Valentino, E. Cosmological forecasts on thermal axions, relic neutrinos and light elements. arXiv 2021, arXiv:2110.00340. [Google Scholar] [CrossRef]
- Gariazzo, S.; Giunti, C.; Laveder, M.; Li, Y.F.; Zavanin, E.M. Light sterile neutrinos. J. Phys. G 2016, 43, 033001. [Google Scholar] [CrossRef]
- Giunti, C.; Lasserre, T. eV-scale Sterile Neutrinos. Ann. Rev. Nucl. Part. Sci. 2019, 69, 163–190. [Google Scholar] [CrossRef]
- Diaz, A.; Argüelles, C.; Collin, G.; Conrad, J.; Shaevitz, M. Where Are We With Light Sterile Neutrinos? Phys. Rep. 2020, 884, 1–59. [Google Scholar] [CrossRef]
- Böser, S.; Buck, C.; Giunti, C.; Lesgourgues, J.; Ludhova, L.; Mertens, S.; Schukraft, A.; Wurm, M. Status of Light Sterile Neutrino Searches. Prog. Part. Nucl. Phys. 2020, 111, 103736. [Google Scholar] [CrossRef]
- Dasgupta, B.; Kopp, J. Sterile Neutrinos. Phys. Rep. 2021, 928, 63. [Google Scholar] [CrossRef]
- Gariazzo, S. Light Sterile Neutrinos. arXiv 2021, arXiv:2110.09876. [Google Scholar] [CrossRef]
- Riess, A.G.; Yuan, W.; Macri, L.M.; Scolnic, D.; Brout, D.; Casertano, S.; Jones, D.O.; Murakami, Y.; Breuval, L.; Brink, T.G.; et al. A Comprehensive Measurement of the Local Value of the Hubble Constant with 1 km/s/Mpc Uncertainty from the Hubble Space Telescope and the SH0ES Team. arXiv 2021, arXiv:2112.04510. [Google Scholar]
- Riess, A.G.; Casertano, S.; Yuan, W.; Bowers, J.B.; Macri, L.; Zinn, J.C.; Scolnic, D. Cosmic Distances Calibrated to 1% Precision with Gaia EDR3 Parallaxes and Hubble Space Telescope Photometry of 75 Milky Way Cepheids Confirm Tension with ΛCDM. Astrophys. J. Lett. 2021, 908, L6. [Google Scholar] [CrossRef]
- Heo, J.H.; Kim, C.S. Light Dark Matter and Dark Radiation. J. Korean Phys. Soc. 2016, 68, 715–721. [Google Scholar] [CrossRef][Green Version]
- Ko, P.; Tang, Y. Residual Non-Abelian Dark Matter and Dark Radiation. Phys. Lett. 2017, B768, 12–17. [Google Scholar] [CrossRef]
- Bringmann, T.; Kahlhoefer, F.; Schmidt-Hoberg, K.; Walia, P. Converting non-relativistic dark matter to radiation. Phys. Rev. D 2018, 98, 023543. [Google Scholar] [CrossRef]
- Masina, I. Dark matter and dark radiation from evaporating primordial black holes. Eur. Phys. J. Plus 2020, 135, 552. [Google Scholar] [CrossRef]
- Krnjaic, G. Dark Radiation from Inflationary Fluctuations. Phys. Rev. 2021, D103, 123507. [Google Scholar] [CrossRef]
- Giovanetti, C.; Lisanti, M.; Liu, H.; Ruderman, J.T. Joint CMB and BBN Constraints on Light Dark Sectors with Dark Radiation. arXiv 2021, arXiv:2109.03246. [Google Scholar]
- Aloni, D.; Berlin, A.; Joseph, M.; Schmaltz, M.; Weiner, N. A Step in Understanding the Hubble Tension. arXiv 2021, arXiv:2111.00014. [Google Scholar]
- Niedermann, F.; Sloth, M.S. Hot New Early Dark Energy: Towards a Unified Dark Sector of Neutrinos, Dark Energy and Dark Matter. arXiv 2021, arXiv:2112.00759. [Google Scholar]
- Niedermann, F.; Sloth, M.S. Hot New Early Dark Energy. arXiv 2021, arXiv:2112.00770. [Google Scholar] [CrossRef]
- Mention, G.; Fechner, M.; Lasserre, T.; Mueller, T.A.; Lhuillier, D.; Cribier, M.; Letourneau, A. The Reactor Antineutrino Anomaly. Phys. Rev. D 2011, 83, 073006. [Google Scholar] [CrossRef]
- Giunti, C.; Li, Y.; Ternes, C.; Xin, Z. Reactor antineutrino anomaly in light of recent flux model refinements. arXiv 2021, arXiv:2110.06820. [Google Scholar]
- Estienne, M.; Fallot, M.; Algora, A.; Briz-Monago, J.; Bui, V.M.; Cormon, S.; Gelletly, W.; Giot, L.; Guadilla, V.; Jordan, D.; et al. Updated Summation Model: An Improved Agreement with the Daya Bay Antineutrino Fluxes. Phys. Rev. Lett. 2019, 123, 022502. [Google Scholar] [CrossRef] [PubMed]
- Kopeikin, V.; Skorokhvatov, M.; Titov, O. Reevaluating reactor antineutrino spectra with new measurements of the ratio between U235 and Pu239 β spectra. Phys. Rev. D 2021, 104, L071301. [Google Scholar] [CrossRef]
- Giunti, C. Statistical Significance of Reactor Antineutrino Active-Sterile Oscillations. Phys. Rev. D 2020, 101, 095025. [Google Scholar] [CrossRef]
- Serebrov, A.P.; Samoilov, R.M.; Ivochkin, V.G.; Fomin, A.K.; Zinoviev, V.G.; Neustroev, P.V.; Golovtsov, V.L.; Volkov, S.S.; Chernyj, A.V.; Zherebtso, O.M.; et al. Search for sterile neutrinos with the Neutrino-4 experiment and measurement results. Phys. Rev. D 2021, 104, 032003. [Google Scholar] [CrossRef]
- Almazán, H.; Andriamirado, M.; Balantekin, A.B.; Band, H.R.; Bass, C.D.; Bergeron, D.E.; Berish, D.; Bonhomme, A.; Bowden, N.S.; Brodsky, J.P.; et al. Note on arXiv:2005.05301, “Preparation of the Neutrino-4 experiment on search for sterile neutrino and the obtained results of measurements”. arXiv 2020, arXiv:2006.13147. [Google Scholar]
- Serebrov, A.; Samoilov, R. A Comment on the note arXiv:2006.13147 on arXiv:2005.05301, “Preparation of the Neutrino-4 experiment on search for sterile neutrino and the obtained results of measurements”. arXiv 2020, arXiv:2006.13639. [Google Scholar]
- Giunti, C.; Li, Y.; Ternes, C.; Zhang, Y. Neutrino-4 anomaly: Oscillations or fluctuations? Phys. Lett. B 2021, 816, 136214. [Google Scholar] [CrossRef]
- Giunti, C.; Laveder, M. Statistical Significance of the Gallium Anomaly. Phys. Rev. C 2011, 83, 065504. [Google Scholar] [CrossRef]
- Kostensalo, J.; Suhonen, J.; Giunti, C.; Srivastava, P.C. The gallium anomaly revisited. Phys. Lett. 2019, B795, 542–547. [Google Scholar] [CrossRef]
- Barinov, V.V.; Cleveland, B.T.; Danshin, S.N.; Ejiri, H.; Elliott, S.R.; Frekers, D.; Gavrin, V.N.; Gorbachev, V.V.; Gorbunov, D.S.; Haxton, W.C.; et al. Results from the Baksan Experiment on Sterile Transitions (BEST). arXiv 2021, arXiv:2109.11482. [Google Scholar]
- Aartsen, M.G.; Abraham, K.; Ackermann, M.; Adams, J.; Aguilar, J.A.; Ahlers, M.; Ahrens, M.; Altmann, D.; Andeen, K.; Anderson, T.; et al. Searches for Sterile Neutrinos with the IceCube Detector. Phys. Rev. Lett. 2016, 117, 071801. [Google Scholar] [CrossRef] [PubMed]
- Aartsen, M.G.; Ackermann, M.; Adams, J.; Aguilar, J.A.; Ahlers, M.; Ahrens, M.; Al Samarai, I.; Altmann, D.; Andeen, K.; Anderson, T.; et al. Search for sterile neutrino mixing using three years of IceCube DeepCore data. Phys. Rev. D 2017, 95, 112002. [Google Scholar] [CrossRef]
- Aartsen, M.G.; Abbasi, R.; Ackermann, M.; Adams, J.; Aguilar, J.A.; Ahlers, M.; Ahrens, M.; Alispach, C.; Amin, N.M.; Andeen, K.; et al. eV-Scale Sterile Neutrino Search Using Eight Years of Atmospheric Muon Neutrino Data from the IceCube Neutrino Observatory. Phys. Rev. Lett. 2020, 125, 141801. [Google Scholar] [CrossRef] [PubMed]
- Adamson, P.; Anghel, I.; Aurisano, A.; Barr, G.; Bishai, M.; Blake, A.; Bock, G.J.; Bogert, D.; Cao, S.V.; Carroll, T.J.; et al. Search for Sterile Neutrinos Mixing with Muon Neutrinos in MINOS. Phys. Rev. Lett. 2016, 117, 151803. [Google Scholar] [CrossRef] [PubMed]
- Adamson, P.; Anghel, I.; Aurisano, A.; Barr, G.; Bishai, M.; Blake, A.; Bock, G.J.; Bogert, D.; Cao, S.V.; Carroll, T.J.; et al. Search for sterile neutrinos in MINOS and MINOS+ using a two-detector fit. Phys. Rev. Lett. 2019, 122, 091803. [Google Scholar] [CrossRef] [PubMed]
- Acero, M.A.; Adamson, P.; Aliaga, L.; Anfimov, N.; Antoshkin, A.; Arrieta-Diaz, E.; Asquith, L.; Aurisano, A.; Back, A.; Backhouse, C.; et al. Search for active-sterile antineutrino mixing using neutral-current interactions with the NOvA experiment. arXiv 2021, arXiv:2106.04673. [Google Scholar] [CrossRef] [PubMed]
- Palazzo, A. Exploring Light Sterile Neutrinos at Long Baseline Experiments: A Review. Universe 2020, 6, 41. [Google Scholar] [CrossRef]
- Aguilar, A.; Auerbach, L.B.; Burman, R.L.; Caldwell, D.O.; Church, E.D.; Cochran, A.K.; Donahue, J.B.; Fazely, A.; Garvey, G.T.; Gunasingha, R.M.; et al. Evidence for neutrino oscillations from the observation of appearance in a beam. Phys. Rev. D 2001, 64, 112007. [Google Scholar] [CrossRef]
- Aguilar-Arevalo, A.A.; Brown, B.C.; Conrad, J.M.; Dharmapalan, R.; Diaz, A.; Djurcic, Z.; Finley, D.A.; Ford, R.; Garvey, G.T.; Gollapinni, S.; et al. Updated MiniBooNE neutrino oscillation results with increased data and new background studies. Phys. Rev. D 2021, 103, 052002. [Google Scholar] [CrossRef]
- Antonello, M.; Baibussinov, B.; Benetti, P.; Boffelli, F.; Bubak, A.; Calligarich, E.; Canci, N.; Centro, S.; Cesana, A.; Cieslik, K.; et al. Search for anomalies in the νe appearance from a νμ beam. Eur. Phys. J. C 2013, 73, 2599. [Google Scholar] [CrossRef]
- Agafonova, N.; Aleksandrov, A.; Anokhina, A.; Aoki, S.; Ariga, A.; Ariga, T.; Bertolin, A.; Bozza, C.; Brugnera, R.; Buonaura, A. Final results of the search for νμ→νe oscillations with the OPERA detector in the CNGS beam. J. High Energy Phys. 2018, 6, 151. [Google Scholar] [CrossRef]
- Abratenko, P.; An, R.; Anthony, J.; Arellano, L.; Asaadi, J.; Ashkenazi, A.; Balasubramanian, S.; Baller, B.; Barnes, C.; Barr, G.; et al. Search for Neutrino-Induced Neutral Current Δ Radiative Decay in MicroBooNE and a First Test of the MiniBooNE Low Energy Excess Under a Single-Photon Hypothesis. arXiv 2021, arXiv:2110.00409. [Google Scholar]
- Abratenko, P.; An, R.; Anthony, J.; Arellano, L.; Asaadi, J.; Ashkenazi, A.; Balasubramanian, S.; Baller, B.; Barnes, C.; Barr, G.; et al. Search for an Excess of Electron Neutrino Interactions in MicroBooNE Using Multiple Final State Topologies. arXiv 2021, arXiv:2110.14054. [Google Scholar]
- Acciarri, R.; Adams, C.; An, R.; Aparicio, A.; Aponte, S.; Asaadi, J.; Auger, M.; Ayoub, N.; Bagby, L.; Baller, B.; et al. Design and Construction of the MicroBooNE Detector. J. Instrum. 2017, 12, P02017. [Google Scholar] [CrossRef]
- Gariazzo, S.; Giunti, C.; Laveder, M.; Li, Y.F. Updated Global 3+1 Analysis of Short-BaseLine Neutrino Oscillations. J. High Energy Phys. 2017, 6, 135. [Google Scholar] [CrossRef]
- Dentler, M.; Hernández-Cabezudo, Á.; Kopp, J.; Machado, P.A.N.; Maltoni, M.; Martinez-Soler, I.; Schwetz, T. Updated Global Analysis of Neutrino Oscillations in the Presence of eV-Scale Sterile Neutrinos. J. High Energy Phys. 2018, 8, 010. [Google Scholar] [CrossRef]
- Shrock, R. New Tests For, and Bounds On, Neutrino Masses and Lepton Mixing. Phys. Lett. B 1980, 96, 159–164. [Google Scholar] [CrossRef]
- Aker, M.; Altenmueller, K.; Beglarian, A.; Behrens, J.; Berlev, A.; Besserer, U.; Bieringer, B.; Blaum, K.; Block, F.; Bornschein, B.; et al. Bound on 3+1 Active-Sterile Neutrino Mixing from the First Four-Week Science Run of KATRIN. Phys. Rev. Lett. 2021, 126, 091803. [Google Scholar] [CrossRef] [PubMed]
- Aker, M.; Beglarian, A.; Behrens, J.; Berlev, A.; Besserer, U.; Bieringer, B.; Block, F.; Bornschein, B.; Bornschein, L.; Böttcher, M.; et al. First direct neutrino-mass measurement with sub-eV sensitivity. arXiv 2021, arXiv:2105.08533. [Google Scholar]
- Giunti, C.; Li, Y.; Zhang, Y. KATRIN bound on 3+1 active-sterile neutrino mixing and the reactor antineutrino anomaly. J. High Energy Phys. 2020, 5, 061. [Google Scholar] [CrossRef]
- Giunti, C.; Zavanin, E.M. Predictions for Neutrinoless Double-Beta Decay in the 3+1 Sterile Neutrino Scenario. J. High Energy Phys. 2015, 7, 171. [Google Scholar] [CrossRef]
- Giunti, C. Light sterile neutrinos and neutrinoless double-beta decay. In Proceedings of the Matrix Elements for the Double beta decay Experiments (MEDEX’17), Prague, Czech Republic, 29 May–2 June 2017; Volume 1894, p. 020009. [Google Scholar] [CrossRef]
- Huang, G.; Zhou, S. Impact of an eV-mass sterile neutrino on the neutrinoless double-beta decays: A Bayesian analysis. Nucl. Phys. 2019, B945, 114691. [Google Scholar] [CrossRef]
- Dolinski, M.J.; Poon, A.W.; Rodejohann, W. Neutrinoless Double-Beta Decay: Status and Prospects. Ann. Rev. Nucl. Part. Sci. 2019, 69, 219–251. [Google Scholar] [CrossRef]
- Hagstotz, S.; de Salas, P.F.; Gariazzo, S.; Gerbino, M.; Lattanzi, M.; Vagnozzi, S.; Freese, K.; Pastor, S. Bounds on light sterile neutrino mass and mixing from cosmology and laboratory searches. arXiv 2020, arXiv:2003.02289. [Google Scholar] [CrossRef]
- Di Luzio, L.; Giannotti, M.; Nardi, E.; Visinelli, L. The landscape of QCD axion models. Phys. Rep. 2020, 870, 1–117. [Google Scholar] [CrossRef]
- Alonso-Álvarez, G.; Cline, J.M. Sterile neutrino dark matter catalyzed by a very light dark photon. J. Cosmol. Astropart. Phys. 2021, 10, 041. [Google Scholar] [CrossRef]
- Buckley, M.R.; Zavala, J.; Cyr-Racine, F.Y.; Sigurdson, K.; Vogelsberger, M. Scattering, Damping, and Acoustic Oscillations: Simulating the Structure of Dark Matter Halos with Relativistic Force Carriers. Phys. Rev. D 2014, 90, 043524. [Google Scholar] [CrossRef]
- Feng, J.L.; Tu, H.; Yu, H.B. Thermal Relics in Hidden Sectors. J. Cosmol. Astropart. Phys. 2008, 10, 043. [Google Scholar] [CrossRef]
- Gariazzo, S.; de Salas, P.F.; Pastor, S. Thermalisation of sterile neutrinos in the early Universe in the 3+1 scheme with full mixing matrix. J. Cosmol. Astropart. Phys. 2019, 7, 014. [Google Scholar] [CrossRef]
- Dodelson, S.; Widrow, L.M. Sterile-neutrinos as dark matter. Phys. Rev. Lett. 1994, 72, 17–20. [Google Scholar] [CrossRef] [PubMed]
- Hannestad, S.; Tamborra, I.; Tram, T. Thermalisation of light sterile neutrinos in the early universe. J. Cosmol. Astropart. Phys. 2012, 7, 025. [Google Scholar] [CrossRef]
- Calabrese, E.; Hlozek, R.A.; Battaglia, N.; Battistelli, E.S.; Bond, J.R.; Chluba, J.; Crichton, D.; Das, S.; Devlin, M.J.; Dunkley, J.; et al. Cosmological parameters from pre-planck cosmic microwave background measurements. Phys. Rev. D 2013, 87, 103012. [Google Scholar] [CrossRef]
- Riemer-Sorensen, S.; Parkinson, D.; Davis, T.M. What is half a neutrino? Reviewing cosmological constraints on neutrinos and dark radiation. Publ. Astron. Soc. Austral. 2013, 30, e029. [Google Scholar] [CrossRef]
- Archidiacono, M.; Calabrese, E.; Melchiorri, A. The Case for Dark Radiation. Phys. Rev. D 2011, 84, 123008. [Google Scholar] [CrossRef]
- Aghanim, N.; Akrami, Y.; Ashdown, M.; Aumont, J.; Baccigalupi, C.; Ballardini, M.; Banday, A.J.; Barreiro, R.B.; Bartolo, N.; Basak, S.; et al. Planck 2018 results. VI. Cosmological parameters. Astron. Astrophys. 2020, 641, A6, Erratum in Astron. Astrophys. 2021, 652, C4. [Google Scholar]
- Palanque-Delabrouille, N.; Yèche, C.; Schöneberg, N.; Lesgourgues, J.; Walther, M.; Chabanier, S.; Armengaud, E. Hints, neutrino bounds and WDM constraints from SDSS DR14 Lyman-α and Planck full-survey data. J. Cosmol. Astropart. Phys. 2020, 4, 038. [Google Scholar] [CrossRef]
- Di Valentino, E.; Gariazzo, S.; Mena, O. Most constraining cosmological neutrino mass bounds. Phys. Rev. D 2021, 104, 083504. [Google Scholar] [CrossRef]
- Archidiacono, M.; Brinckmann, T.; Lesgourgues, J.; Poulin, V. Physical effects involved in the measurements of neutrino masses with future cosmological data. J. Cosmol. Astropart. Phys. 2017, 2, 052. [Google Scholar] [CrossRef]
- Saviano, N.; Mirizzi, A.; Pisanti, O.; Serpico, P.D.; Mangano, G.; Miele, G. Multi-momentum and multi-flavour active-sterile neutrino oscillations in the early universe: Role of neutrino asymmetries and effects on nucleosynthesis. Phys. Rev. D 2013, 87, 073006. [Google Scholar] [CrossRef]
- Mirizzi, A.; Mangano, G.; Saviano, N.; Borriello, E.; Giunti, C.; Miele, G.; Pisanti, O. The strongest bounds on active-sterile neutrino mixing after Planck data. Phys. Lett. B 2013, 726, 8–14. [Google Scholar] [CrossRef][Green Version]
- Gelmini, G.; Palomares-Ruiz, S.; Pascoli, S. Low reheating temperature and the visible sterile neutrino. Phys. Rev. Lett. 2004, 93, 081302. [Google Scholar] [CrossRef] [PubMed]
- Gelmini, G.; Osoba, E.; Palomares-Ruiz, S.; Pascoli, S. MeV sterile neutrinos in low reheating temperature cosmological scenarios. J. Cosmol. Astropart. Phys. 2008, 10, 029. [Google Scholar] [CrossRef]
- de Salas, P.F.; Lattanzi, M.; Mangano, G.; Miele, G.; Pastor, S.; Pisanti, O. Bounds on very low reheating scenarios after Planck. Phys. Rev. D 2015, 92, 123534. [Google Scholar] [CrossRef]
- Beacom, J.F.; Bell, N.F.; Dodelson, S. Neutrinoless universe. Phys. Rev. Lett. 2004, 93, 121302. [Google Scholar] [CrossRef] [PubMed]
- Archidiacono, M.; Hannestad, S. Updated constraints on non-standard neutrino interactions from Planck. J. Cosmol. Astropart. Phys. 2014, 7, 046. [Google Scholar] [CrossRef]
- Cyr-Racine, F.Y.; Sigurdson, K. Limits on Neutrino-Neutrino Scattering in the Early Universe. Phys. Rev. D 2014, 90, 123533. [Google Scholar] [CrossRef]
- Hannestad, S.; Hansen, R.S.; Tram, T. How Self-Interactions can Reconcile Sterile Neutrinos with Cosmology. Phys. Rev. Lett. 2014, 112, 031802. [Google Scholar] [CrossRef] [PubMed]
- Dasgupta, B.; Kopp, J. Cosmologically Safe eV-Scale Sterile Neutrinos and Improved Dark Matter Structure. Phys. Rev. Lett. 2014, 112, 031803. [Google Scholar] [CrossRef] [PubMed]
- Archidiacono, M.; Hannestad, S.; Hansen, R.S.; Tram, T. Cosmology with self-interacting sterile neutrinos and dark matter—A pseudoscalar model. Phys. Rev. D 2015, 91, 065021. [Google Scholar] [CrossRef]
- Chu, X.; Dasgupta, B.; Dentler, M.; Kopp, J.; Saviano, N. Sterile neutrinos with secret interactions—Cosmological discord? J. Cosmol. Astropart. Phys. 2018, 11, 049. [Google Scholar] [CrossRef]
- Mirizzi, A.; Mangano, G.; Pisanti, O.; Saviano, N. Collisional production of sterile neutrinos via secret interactions and cosmological implications. Phys. Rev. D 2015, 91, 025019. [Google Scholar] [CrossRef]
- Archidiacono, M.; Gariazzo, S.; Giunti, C.; Hannestad, S.; Tram, T. Sterile neutrino self-interactions: H0 tension and short-baseline anomalies. J. Cosmol. Astropart. Phys. 2020, 12, 029. [Google Scholar] [CrossRef]
- Brinckmann, T.; Chang, J.H.; LoVerde, M. Self-interacting neutrinos, the Hubble parameter tension, and the cosmic microwave background. Phys. Rev. D 2021, 104, 063523. [Google Scholar] [CrossRef]
- Blinov, N.; Marques-Tavares, G. Interacting radiation after Planck and its implications for the Hubble Tension. J. Cosmol. Astropart. Phys. 2020, 9, 029. [Google Scholar] [CrossRef]
- Das, A.; Ghosh, S. Flavor-specific interaction favors strong neutrino self-coupling in the early universe. J. Cosmol. Astropart. Phys. 2021, 7, 038. [Google Scholar] [CrossRef]
- Ghosh, S.; Khatri, R.; Roy, T.S. Can dark neutrino interactions phase out the Hubble tension? Phys. Rev. D 2020, 102, 123544. [Google Scholar] [CrossRef]
- Kreisch, C.D.; Cyr-Racine, F.Y.; Doré, O. Neutrino puzzle: Anomalies, interactions, and cosmological tensions. Phys. Rev. D 2020, 101, 123505. [Google Scholar] [CrossRef]
- Blinov, N.; Kelly, K.J.; Krnjaic, G.Z.; McDermott, S.D. Constraining the Self-Interacting Neutrino Interpretation of the Hubble Tension. Phys. Rev. Lett. 2019, 123, 191102. [Google Scholar] [CrossRef] [PubMed]
- Archidiacono, M.; Gariazzo, S.; Giunti, C.; Hannestad, S.; Hansen, R.; Laveder, M.; Tram, T. Pseudoscalar—Sterile neutrino interactions: Reconciling the cosmos with neutrino oscillations. J. Cosmol. Astropart. Phys. 2016, 8, 067. [Google Scholar] [CrossRef]
- Freedman, W.L. Measurements of the Hubble Constant: Tensions in Perspective. Astrophys. J. 2021, 919, 16. [Google Scholar] [CrossRef]
- Khalifeh, A.R.; Jimenez, R. Using Neutrino Oscillations to Measure H0. arXiv 2021, arXiv:2111.15249. [Google Scholar] [CrossRef]
- Shah, P.; Lemos, P.; Lahav, O. A buyer’s guide to the Hubble Constant. arXiv 2021, arXiv:2109.01161. [Google Scholar] [CrossRef]
- Efstathiou, G. To H0 or not to H0? Mon. Not. R. Astron. Soc. 2021, 505, 3866–3872. [Google Scholar] [CrossRef]
- Schöneberg, N.; Franco Abellán, G.; Pérez Sánchez, A.; Witte, S.J.; Poulin, V.; Lesgourgues, J. The H0 Olympics: A fair ranking of proposed models. arXiv 2021, arXiv:2107.10291. [Google Scholar]
- Dainotti, M.G.; De Simone, B.; Schiavone, T.; Montani, G.; Rinaldi, E.; Lambiase, G. On the Hubble constant tension in the SNe Ia Pantheon sample. Astrophys. J. 2021, 912, 150. [Google Scholar] [CrossRef]
- Di Valentino, E.; Mena, O.; Pan, S.; Visinelli, L.; Yang, W.; Melchiorri, A.; Mota, D.F.; Riess, A.G.; Silk, J. In the realm of the Hubble tension—A review of solutions. Class. Quant. Grav. 2021, 38, 153001. [Google Scholar] [CrossRef]
- Riess, A.G. The Expansion of the Universe is Faster than Expected. Nat. Rev. Phys. 2019, 2, 10–12. [Google Scholar] [CrossRef]
- Verde, L.; Treu, T.; Riess, A.G. Tensions between the Early and the Late Universe. Nat. Astron. 2019, 3, 891. [Google Scholar] [CrossRef]
- Knox, L.; Millea, M. Hubble constant hunter’s guide. Phys. Rev. D 2020, 101, 043533. [Google Scholar] [CrossRef]
- Bashinsky, S.; Seljak, U. Neutrino perturbations in CMB anisotropy and matter clustering. Phys. Rev. D 2004, 69, 083002. [Google Scholar] [CrossRef]
- Roy Choudhury, S.; Hannestad, S.; Tram, T. Updated constraints on massive neutrino self-interactions from cosmology in light of the H0 tension. J. Cosmol. Astropart. Phys. 2021, 3, 084. [Google Scholar] [CrossRef]
- Corona, M.A.; Murgia, R.; Cadeddu, M.; Archidiacono, M.; Gariazzo, S.; Giunti, C.; Hannestad, S. Pseudoscalar sterile neutrino self-interactions in light of Planck, SPT and ACT data. arXiv 2021, arXiv:2112.00037. [Google Scholar]
- Laureijs, R.; Amiaux, J.; Arduini, S.; Auguères, J.-L.; Brinchmann, J.; Cole, R.; Cropper, M.; Dabin, C.; Duvet, L.; Ealet, A.; et al. Euclid Definition Study Report. arXiv 2011, arXiv:1110.3193. [Google Scholar]
- Abell, P.A.; Allison, J.; Anderson, S.F.; Andrew, J.R.; Angel, J.R.P.; Armus, L.; Arnett, D.; Asztalos, S.J.; Axelrod, T.S.; Bailey, S.; et al. LSST Science Book, Version 2.0. arXiv 2009, arXiv:0912.0201. [Google Scholar]
- Abazajian, K.N.; Adshead, P.; Ahmed, Z.; Allen, S.W.; Alonso, D.; Arnold, K.S.; Baccigalupi, C.; Bartlett, J.G.; Battaglia, N.; Benson, B.A.; et al. CMB-S4 Science Book, First Edition. arXiv 2016, arXiv:1610.02743. [Google Scholar]
- Park, M.; Kreisch, C.D.; Dunkley, J.; Hadzhiyska, B.; Cyr-Racine, F.Y. ΛCDM or self-interacting neutrinos: How CMB data can tell the two models apart. Phys. Rev. D 2019, 100, 063524. [Google Scholar] [CrossRef]
- Sprenger, T.; Archidiacono, M.; Brinckmann, T.; Clesse, S.; Lesgourgues, J. Cosmology in the era of Euclid and the Square Kilometre Array. J. Cosmol. Astropart. Phys. 2019, 2, 047. [Google Scholar] [CrossRef]
- Baumann, D.; Green, D.; Wallisch, B. Searching for light relics with large-scale structure. J. Cosmol. Astropart. Phys. 2018, 8, 029. [Google Scholar] [CrossRef]
- Brinckmann, T.; Hooper, D.C.; Archidiacono, M.; Lesgourgues, J.; Sprenger, T. The promising future of a robust cosmological neutrino mass measurement. J. Cosmol. Astropart. Phys. 2019, 1, 059. [Google Scholar] [CrossRef]
- Castorina, E.; Foreman, S.; Karagiannis, D.; Liu, A.; Masui, K.W.; Meerburg, P.D.; Newburgh, L.B.; O’Connor, P.; Obuljen, A.; Padmanabhan, H.; et al. Packed Ultra-wideband Mapping Array (PUMA): Astro2020 RFI Response. arXiv 2020, arXiv:2002.05072. [Google Scholar]
- Sailer, N.; Castorina, E.; Ferraro, S.; White, M. Cosmology at high redshift—A probe of fundamental physics. arXiv 2021, arXiv:2106.09713. [Google Scholar] [CrossRef]
- Lemos, P.; Raveri, M.; Campos, A.; Park, Y.; Chang, C.; Weaverdyck, N.; Huterer, D.; Liddle, A.R.; Blazek, J.; Cawthon, R.; et al. Assessing tension metrics with dark energy survey and Planck data. Mon. Not. R. Astron. Soc. 2021, 505, 6179–6194. [Google Scholar] [CrossRef]
- Bullock, J.S.; Boylan-Kolchin, M. Small-Scale Challenges to the ΛCDM Paradigm. Ann. Rev. Astron. Astrophys. 2017, 55, 343–387. [Google Scholar] [CrossRef]
- Burger, J.D.; Zavala, J. SN-driven mechanism of cusp-core transformation: An appraisal. arXiv 2021, arXiv:2103.01231. [Google Scholar] [CrossRef]
- Governato, F.; Zolotov, A.; Pontzen, A.; Christensen, C.; Oh, S.H.; Brooks, A.M.; Quinn, T.; Shen, S.; Wadsley, J. Cuspy No More: How Outflows Affect the Central Dark Matter and Baryon Distribution in Lambda CDM Galaxies. Mon. Not. R. Astron. Soc. 2012, 422, 1231–1240. [Google Scholar] [CrossRef]
- Zolotov, A.; Brooks, A.M.; Willman, B.; Governato, F.; Pontzen, A.; Christensen, C.; Dekel, A.; Quinn, T.; Shen, S.; Wadsley, J. Baryons Matter: Why Luminous Satellite Galaxies Have Reduced Central Masses. Astrophys. J. 2012, 761, 71. [Google Scholar] [CrossRef]
- Oman, K.A.; Navarro, J.F.; Fattahi, A.; Frenk, C.S.; Sawala, T.; White, S.D.M.; Bower, R.; Crain, R.A.; Furlong, M.; Schaller, M.; et al. The unexpected diversity of dwarf galaxy rotation curves. Mon. Not. R. Astron. Soc. 2015, 452, 3650–3665. [Google Scholar] [CrossRef]
- Cyr-Racine, F.Y.; de Putter, R.; Raccanelli, A.; Sigurdson, K. Constraints on Large-Scale Dark Acoustic Oscillations from Cosmology. Phys. Rev. D 2014, 89, 063517. [Google Scholar] [CrossRef]
- Chu, X.; Dasgupta, B. Dark Radiation Alleviates Problems with Dark Matter Halos. Phys. Rev. Lett. 2014, 113, 161301. [Google Scholar] [CrossRef] [PubMed]
- Buen-Abad, M.A.; Marques-Tavares, G.; Schmaltz, M. Non-Abelian dark matter and dark radiation. Phys. Rev. D 2015, 92, 023531. [Google Scholar] [CrossRef]
- Lesgourgues, J.; Marques-Tavares, G.; Schmaltz, M. Evidence for dark matter interactions in cosmological precision data? J. Cosmol. Astropart. Phys. 2016, 2, 037. [Google Scholar] [CrossRef]
- Cyr-Racine, F.Y.; Sigurdson, K.; Zavala, J.; Bringmann, T.; Vogelsberger, M.; Pfrommer, C. ETHOS—An effective theory of structure formation: From dark particle physics to the matter distribution of the Universe. Phys. Rev. D 2016, 93, 123527. [Google Scholar] [CrossRef]
- Schewtschenko, J.A.; Baugh, C.M.; Wilkinson, R.J.; Bœhm, C.; Pascoli, S.; Sawala, T. Dark matter–radiation interactions: The structure of Milky Way satellite galaxies. Mon. Not. R. Astron. Soc. 2016, 461, 2282–2287. [Google Scholar] [CrossRef]
- Krall, R.; Cyr-Racine, F.Y.; Dvorkin, C. Wandering in the Lyman-alpha Forest: A Study of Dark Matter-Dark Radiation Interactions. J. Cosmol. Astropart. Phys. 2017, 9, 003. [Google Scholar] [CrossRef]
- Archidiacono, M.; Bohr, S.; Hannestad, S.; Jørgensen, J.H.; Lesgourgues, J. Linear scale bounds on dark matter–dark radiation interactions and connection with the small scale crisis of cold dark matter. J. Cosmol. Astropart. Phys. 2017, 11, 010. [Google Scholar] [CrossRef][Green Version]
- Buen-Abad, M.A.; Schmaltz, M.; Lesgourgues, J.; Brinckmann, T. Interacting Dark Sector and Precision Cosmology. J. Cosmol. Astropart. Phys. 2018, 1, 008. [Google Scholar] [CrossRef]
- Archidiacono, M.; Hooper, D.C.; Murgia, R.; Bohr, S.; Lesgourgues, J.; Viel, M. Constraining Dark Matter-Dark Radiation interactions with CMB, BAO, and Lyman-α. J. Cosmol. Astropart. Phys. 2019, 10, 055. [Google Scholar] [CrossRef]
- Becker, N.; Hooper, D.C.; Kahlhoefer, F.; Lesgourgues, J.; Schöneberg, N. Cosmological constraints on multi-interacting dark matter. J. Cosmol. Astropart. Phys. 2021, 2, 019. [Google Scholar] [CrossRef]
- Bohr, S.; Zavala, J.; Cyr-Racine, F.Y.; Vogelsberger, M.; Bringmann, T.; Pfrommer, C. ETHOS—An effective parametrization and classification for structure formation: The non-linear regime at z ≳ 5. Mon. Not. R. Astron. Soc. 2020, 498, 3403–3419. [Google Scholar] [CrossRef]
- Diacoumis, J.A.D.; Wong, Y.Y.Y. On the prior dependence of cosmological constraints on some dark matter interactions. J. Cosmol. Astropart. Phys. 2019, 5, 025. [Google Scholar] [CrossRef]






Publisher’s Note: MDPI stays neutral with regard to jurisdictional claims in published maps and institutional affiliations. |
© 2022 by the authors. Licensee MDPI, Basel, Switzerland. This article is an open access article distributed under the terms and conditions of the Creative Commons Attribution (CC BY) license (https://creativecommons.org/licenses/by/4.0/).
Share and Cite
Archidiacono, M.; Gariazzo, S. Two Sides of the Same Coin: Sterile Neutrinos and Dark Radiation, Status and Perspectives. Universe 2022, 8, 175. https://doi.org/10.3390/universe8030175
Archidiacono M, Gariazzo S. Two Sides of the Same Coin: Sterile Neutrinos and Dark Radiation, Status and Perspectives. Universe. 2022; 8(3):175. https://doi.org/10.3390/universe8030175
Chicago/Turabian StyleArchidiacono, Maria, and Stefano Gariazzo. 2022. "Two Sides of the Same Coin: Sterile Neutrinos and Dark Radiation, Status and Perspectives" Universe 8, no. 3: 175. https://doi.org/10.3390/universe8030175
APA StyleArchidiacono, M., & Gariazzo, S. (2022). Two Sides of the Same Coin: Sterile Neutrinos and Dark Radiation, Status and Perspectives. Universe, 8(3), 175. https://doi.org/10.3390/universe8030175

