Abstract
This paper investigates the impact of bulk viscosity within the framework of  gravity. We consider a time-dependent viscosity model with a particular Hubble parameter expression. Here, we looked into the viability of well-motivated  gravity model, which takes the form , and has free parameters  and . The 46 observational Hubble data (OHD) in the range  were used to constrain the model parameters to achieve the solution. We have used the Markov Chain Monte Carlo (MCMC) method to estimate model parameters and observe that the model appears to be in good agreement with the observations. In addition, we evaluate the effective viscous equation of state parameter for the  model. We have examined the characteristics of different energy conditions for the stability analysis. The model is valid based on the positive behavior of null energy conditions (NEC), weak energy conditions (WEC), and dominant energy conditions (DEC); however, strong energy conditions (SEC) are in violation, suggesting that the universe is expanding faster. Our model was found in the quintom region. We also discussed how the tachyon scalar field corresponds to  gravity.
    PACS:
                J04.50.-h; 98.80.-k; 65.40.gd
            1. Introduction
Mathematical and theoretical aspects of cosmic physics have changed as a result of the cosmic microwave background radiation (CMBR), observations of supernovae of type Ia, and other discoveries; see references [,,,] for more information. As we know, the field of cosmology has given conclusive proof that the universe is expanding. Gravitational theories consistent with observations play a significant role in explaining the universe’s origin and the presence of relativistic star populations. The most prominent method for studying cosmic acceleration is the exposure of modified gravitational theories (MGTs) developed by modifying the Einstein–Hilbert (EH) action. Geometric constants, which modify the gravitational field equations, can be used to generate modified theories of gravity using the Einstein–Hilbert action [,]. This adds new dynamical degrees of freedom to the field equations, driving the dynamics and illuminating the observed phenomena [,,,,,].
In general relativity (GR), the Ricci scalar R of the Levi–Civita symmetric connection is the fundamental invariant. However, this is not the case in the Teleparallel Equivalent of General Relativity (TEGR), where the gravitational is determined by using the fundamental geometric invariant. The torsion scalar T is part of the action integral. It is defined by the antisymmetric connection of the non-holonomic basis, which is called the curvature-less Weitzenbock connection [,]. In literature, there are various modified theories influenced by teleparallelism that have yielded a variety of intriguing findings in cosmology and astrophysics [,] like  theory [,,],  theory [,,,],  theory [,,],  theory  [,,,,,],  theory [,],  theory [],  theory [],  theory [,,,],  theory [], etc. Recently, Mardan et al. [] have investigated the conformally flat spherically symmetric fluid distribution with a generalized polytropic equation of state in  gravity. Noureen et al. [] also developed a general framework to observe the instabilities in self-gravitating spherically symmetric through cracking with anisotropic inner matter configuration in  gravity. The impact of  gravity in the evolution of charged viscous fluids is studied by Noureen et al. [].
These days, The  theory of gravity has been thoroughly investigated. We are interested in the  theory, also known as the fourth-order teleparallel theory of gravity. The gravitational action integral is defined by an arbitrary function f of the torsion scalar T and the boundary term B, which is related to the torsion scalar and the Ricci scalar,  [,]. Shekh et al. [] have recently investigated the physical acceptability of FLRW universe filled with two fluids, first the pressureless matter and the second as different types of holographic dark energy in  gravity. The cosmography for high redshifts in  gravity has been discussed by Escamilla-Rivera et al. [] through the statistical performance of cosmological observations. In the present day, the generalization of the teleparallel theory has gained significant importance, which could provide alternative explanations for the acceleration of the cosmos. The fact that the invariance under local Lorentz transformations is broken is one of the most significant issues with the  theory of gravity. If there is no local Lorentz symmetry, then there is no way to fix any of the four components that make up the tetrad []. As we know, if the Lorentz invariance is lost, two different tetrads that have the same metric could give different field equations. In reference [], a new method was used to develop a new way to build a covariant formulation of f(T) gravity. The authors [] introduce new  gravity, which is more general, by adding a new Lagrangian function , which has a boundary term B that is related to the divergence of the torsion tensor. If we select the special form of -, this theory is the same as  gravity.
In cosmology, several investigations have been done in the framework of -gravity. In the literature [,,,,,], many cosmologist have discussed the exact and analytical cosmological solutions with an isotropic background, which are focused on the reconstruction of the cosmic history in the  theory. The presence of nonzero spatial curvature was recently considered in []. A new inhomogeneous precise solution was discovered in [], whereas [] examined the minisuperspace quantization in . The analysis of anisotropic solution in  is the most recent research, which is discussed in []. They observed that Kasner and Kasner-like solutions are asymptotic solutions for the field equations; however, the theory does not favor anisotropic exponential solutions.
In this context, bulk viscosity is an important part of cosmology for studying how the universe has changed over time because it tells us many interesting phenomena about how homogeneous cosmological models work. The measurement of a fluid’s resistance to flow is referred to as its viscosity. Viscosities can be divided into two categories: bulk viscosity and shear viscosity. Most of the time, bulk viscosity is related to an isotropic universe, while shear viscosity is related to an anisotropic universe. Bulk viscosity plays an important role in cosmic expansion and pressure. The concept of viscous dark energy (DE) models has been given in several ways to understand the development of the cosmos. Ren and Meng [] examined the development of the cosmos using a cosmological model with bulk viscosity. Tawfik and Harko [] investigated the phase transition of the viscous early universe. The concept of bulk viscosity has also been thoroughly researched in modified gravity. Sharif and Rani [] studied bulk viscosity in  theory, where “T is the torsion scalar”. In this theory, the authors [] investigated viscous and non-viscous holographic DE models. In this paper, we investigate the cosmological implications of the  gravity model with viscous fluid. This paper focuses on the effect of fluid viscosity in the -gravity model.
The manuscript is organized as follows: we have discussed the basic formalism of  gravity in Section 2. The cosmological model with observational constraint is discussed in Section 3. Dynamical parameters and their physical discussion for viscous fluid are mentioned in Section 4. The energy conditions are discussed in Section 5. We have discussed the  tachyon model in Section 6. Conclusions are mentioned in Section 7.
2. Basic Formalism of Gravity
The fundamental formalism of  gravity and its field equations [,] are introduced in this section. For the combination of  and  gravity, take into account the following action, which is  gravity [] as
      
      
        
      
      
      
      
    
      where  and  are a function of the torsion scalar T and the boundary term  in which . Here,  and  are the tetrad component’s matter action and determinant, respectively. The field equation can be defined by varying the action given in Equation (1) with respect to the tetrad.
      
      
        
      
      
      
      
    
      
        
      
      
      
      
    
      where  is the standard energy momentum tensor and . This work aims to establish several well-motivated  gravity models and confine them to flat FRW spacetime. The following metric describes this space-time in cartesian coordinates:
      
        
      
      
      
      
    
      where  represents the scale factor of the universe. In these coordinates, the tetrad field can be expressed as follows []:
      
        
      
      
      
      
    
The explicit torsion scalar for this spacetime is provided by
      
      
        
      
      
      
      
    
In contrast, the boundary term is provided by
      
      
        
      
      
      
      
    
The Ricci scalar and the torsion scalar are connected as
      
      
        
      
      
      
      
    
This shows how the concept of  gravity is a subset of  gravity, where
      
      
        
      
      
      
      
    
      which is only a tiny part of the models that can be made in  gravity. In addition, the contributions of the torsion scalar and the boundary term, which are of the second and fourth orders, respectively, can be viewed simply through the utilization of this particular tetrad. When the field equations for a universe, that is filled with a perfect fluid, are evaluated, the Friedmann result comes out [,] as:
      
        
      
      
      
      
    
      
        
      
      
      
      
    
      where  and p are, respectively, the energy density and pressure of the perfect fluid. The Friedmann equations show how a linear boundary contribution to the Lagrangian might function as a boundary term in Equations (9) and (10). Other contributions of B would nontrivially alter the dynamics of these equations at the same time.
Bulk Viscosity
The bulk viscosity in  gravity is described in this section. Another way to define bulk viscosity is to change the pressure (p) term by adding a dissipative term, , so that the effective pressure  is given by []:
      
        
      
      
      
      
    
Eckart [] introduced the effective pressure in thermodynamical systems for relativistic dissipative processes, where  signifies the dissipative process and equals . The bulk viscosity function is  here. Since bulk viscosity of the fluid was assumed, the energy-momentum tensor with the viscous term is defined [] as follows:
      
        
      
      
      
      
    
The four-velocity is  = (1, 0, 0, 0) and  for  and  for . As we know, the shear viscosity does not contribute to the energy-momentum tensor in the background of the FRW metric, but bulk viscosity appears as an effective pressure. By considering , the field Equations (9) and (10) can be written as:
      
        
      
      
      
      
    
      
        
      
      
      
      
    
        where the modified TEGR components are present in the effective fluid contributions as
        
      
        
      
      
      
      
    
      
        
      
      
      
      
    
        where ,  and , these are denote the multiple partial derivation with respect to T and B. The  and  are the components of the effective energy density and effective pressure, respectively, from  gravity, and these are representative of DE. The expressions of  and  that are shown in Equations (15) and (16) are slightly different from those that are shown in equations Equations (9) and (10) because the standard Friedmann equations are shown in Equations (13) and (14). As a result, we conclude that Equations (15) and (16) represent the density and pressure of dark energy for the  gravity model. For the purpose of discussion, we have assumed that the  gravity model of the form , where  and . The equation of state (EoS) parameter of a perfect fluid is proportional to the ratio of its pressure and density, whereas the EoS parameter of a viscous fluid is denoted by
        
      
        
      
      
      
      
    
The EoS parameter is an essential parameter of the universe. As we know, the equation of the state parameter is associated with energy density and pressure, which classifies the universe’s expansion. In the de Sitter universe, , we have , which behaves similarly to the cosmological constant.
3. Cosmological Model with Observational Constraints
A Hubble parameter H must be utilized to obtain an expanding universe model that agrees with observations. This model must start out decelerating and then accelerate through time. As a one-parameter function discussed in [], we look into the variation of the Hubble parameter H.
      
      
        
      
      
      
      
    
      where  and  both are constants in the expression. The value of q for the deceleration parameter is obtained as
      
      
        
      
      
      
      
    
In the context of Robertson-Walker space-time, Banerjee and Das [] also proposed a similar form of q. When , ,  for , and for , , we can see from (19). For , we assume that . As a result, the universe starts from the decelerating phase and then transitions to an accelerating one. This cosmological scenario provides a unified view of the expansion history of the evolving universe and is consistent with SNe Ia astronomical observations [,]. By using Equations (18) and (19), we obtained H as
      
      
        
      
      
      
      
    
Integrating Equation (18), we obtain
      
      
        
      
      
      
      
    
      where  is a constant of integration. Assuming  for , we obtain . Therefore,
      
      
        
      
      
      
      
    
The scale factor (a) and the redshift (z) [,,] are related in the following way:
      
        
      
      
      
      
    
As a result, the Hubble parameter for the redshift is as follows:
      
        
      
      
      
      
    
      where  presents the value of the Hubble parameter []. One of the most significant quantities in cosmology is the Hubble constant because it tells us how fast the universe is expanding, which may be used to calculate the age and history of the universe. The Hubble constant is defined as the unit of measurement, which is used for describing the expansion of the universe. Hubble’s constant H is 160 km/s per million-light-years. In astrophysics, gravitational redshift is denoted by a dimensionless quantity z (which is a function of the radius of compact star r) and is defined as follows:  = Observed wavelength/Actual wavelength, as such when , it exhibits a redshift effect, otherwise it is a blueshift. In a special case, a gravitational redshift is considered as a surface redshift at the surface of the star, i.e.,  and hence one obtains  (). In essence, a surface redshift of a star is then implying that it is nothing but a gravitational redshift on the surface only, however the redshift will now be dependent on the mass or more precisely density of the star, what is generally known as the surface gravity. As such, in the case of an astrophysical object, a gravitational redshift will be maximum on the surface and minimum at the center of a compact star. In this section, we present the observational data and statistical methodology used to constrain the model parameters of the derived universe (see Figure 1 and Figure 2). Here, we applied 46  observational data points ranges  see Table 1, which were obtained by using the Markov Chain Monte Carlo (MCMC) method. To determine the best-fitting values and limits for a fitted model, we use the  statistic [,]. According to 46 observational Hubble data (OHD), the estimated values of are  kms Mpc and . To limit the model’s parameters  and m, we defined  as
      
      
        
      
      
      
      
    
      where  denotes the theoretical values of  according to [], and  denotes errors in the observed values of ”. In Figure 1, the 1-dimensional marginalized distribution and 2-dimensional contours were obtained for our derived model with 68.3%, 95.4%, and 99.7% confidence levels, respectively.
 
      
    
    Figure 1.
      Error bar plot of  versus redshift z.
  
 
      
    
    Figure 2.
      One-dimensional and two-dimensional marginalized confidence regions (68%CL and 95% CL) for a,  obtained from the 46 OHD data for the  gravity model.
  
 
       
    
    Table 1.
    The behavior of Hubble parameter  with redshift.
  
4. Dynamical Parameters and Their Physical Discussion for Viscous Fluid
Many authors have considered different types of bulk viscous coefficients when analyzing the various cosmological models. The features of DE are examined in this article by accounting for the bulk viscosity coefficient with pressureless fluid [,,] as
      
      
        
      
      
      
      
    
      where , , and  are all positive coefficients.
The choice of this bulk viscosity is motivated by the fact that the phenomenon of viscosity is connected to the concepts of velocity and acceleration. We know that the specific form of viscosity cannot be determined. Here, we use a parameterized bulk viscosity, a linear combination of three factors, to discuss cosmological issues. The third term links bulk viscosity to the accelerated expansion of the universe, while the second term defines bulk viscosity proportionate to the Hubble parameter H. As a result, it is possible that the results of the linear combination of these two with the acceleration term () will be improved and yields a better result. Here, we consider the Hubble parameter, which is defined in [] to investigate the behavior of the effective EoS parameter () as follows:
      
        
      
      
      
      
    
Now, solving Equations (15) and (16) with the help of Equation (27), we obtained the density and pressure of  gravity as
      
      
        
      
      
      
      
    
      
        
      
      
      
      
    
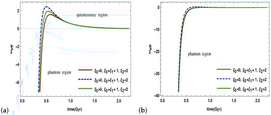
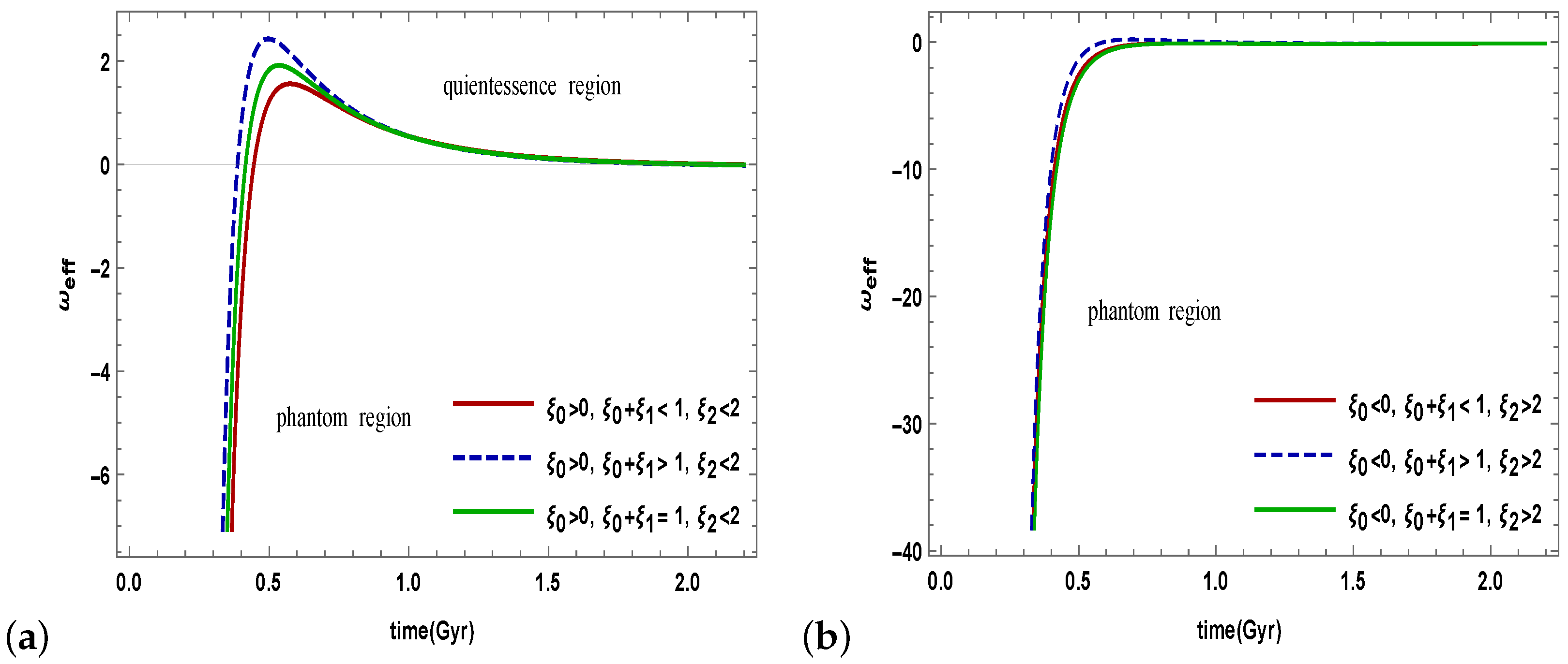
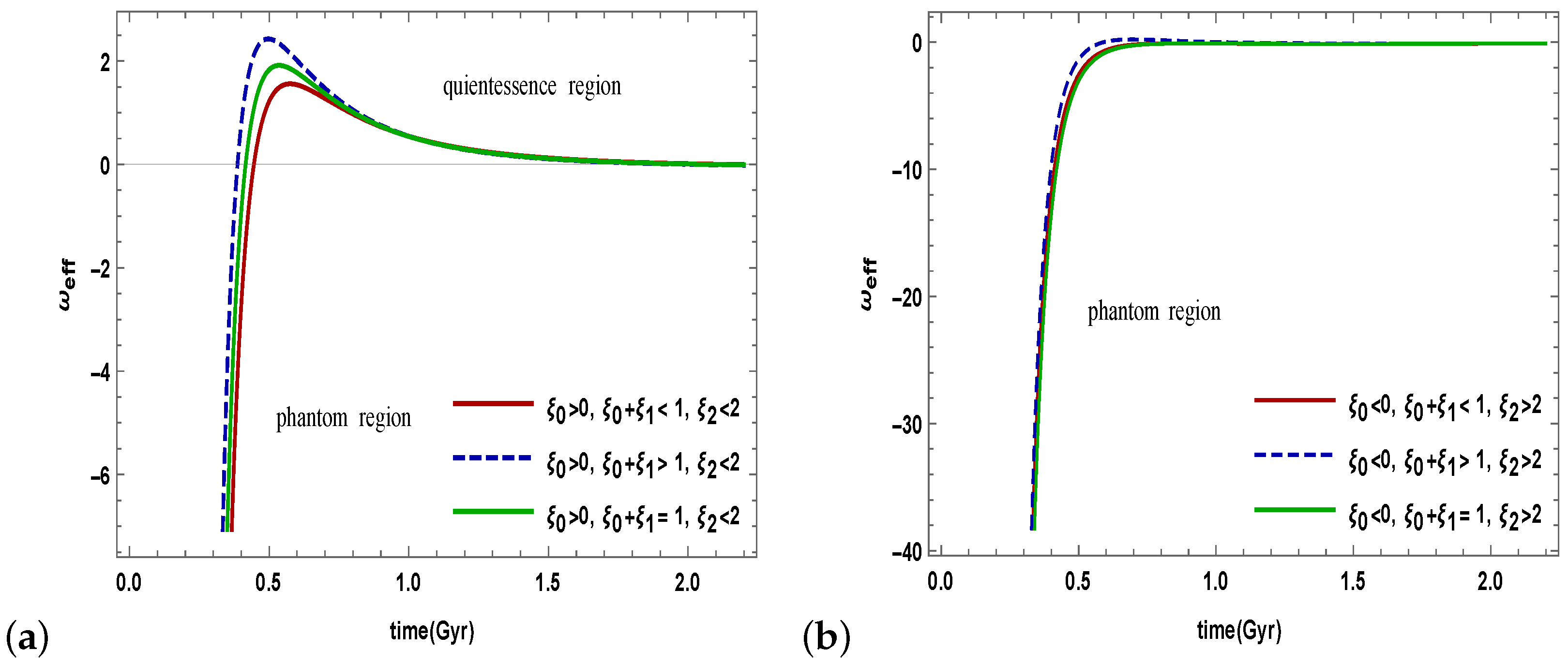
We have investigated the behavior of the EoS parameter  with cosmic time t for the limiting conditions of the viscosity parameters shown in Figure 3a,b. The EoS parameter appears to be negative in the beginning. Consequently, it moves from the negative region to the positive region. It has been observed that  has entered the positive region over time. The negative  is proposed as a constant vacuum energy density. It’s worth noting that  shows Pressureless Cold Matter (PCM),  represents Hot Matter,  is radiation,  is Hard Universe,  shows stiff fluid (SF),  is Ekpyrotic Matter (Ek-M),  stand for the Quintessence (Q) region and  stands for the Phantom (Ph) region, respectively. While  represents the cosmological constant ( CDM) and  is precluded by SN Ia perceptions (Supernovae Heritage Study, Gold example of Hubble Space Telescope) (see all details in Table 2). Subsequently, our derived model’s evolving range of  is supportive of the quintom region. In our derived model, the effective EoS parameter lies in the phantom region , crosses the cosmological constant and entered the quientences region for all the limiting conditions [] for the viscosity parameter, see Figure 3a. Similarly, Figure 3b lies in the phantom region if  is mentioned in Table 3. The effective EoS parameter is sensitive to the choice of parameter ,  and , at least at cosmic times spanning from the recent past to a late epoch. However, the presence of viscous co-efficient strongly affects the early time of evolution.
 
      
    
    Figure 3.
      The variation of EoS parameter versus time t for various limiting conditions of the bulk viscosity coefficients. (a)  > 0; (b)  < 0.
  
 
       
    
    Table 2.
    Existence of different substances according to EoS parameter.
  
 
       
    
    Table 3.
    The cosmological evolution and behavior of EoS parameter for the limiting case of .
  
5. Energy Condition
Energy conditions that assign the basic causal and geodesic structure of space-time should be put up against any alternative theory of gravity. The earliest energy conditions that were described in the literature are point-wise in nature; they limit the stress tensor’s ability to compress at every point in space. The four main conditions are the weak energy condition (WEC), the strong energy condition (SEC), the dominant energy condition (DEC) and the null energy condition (NEC).
In its physical form, the WEC requires that for every future-pointing timelike vector ,
      
      
        
      
      
      
      
    
The SEC imposes a bound on an expression,
      
      
        
      
      
      
      
    
      where we assume . The SEC is generally violated more easily than the WEC.
The physical form of the DEC can be written as
      
      
        
      
      
      
      
    
      for any two co-oriented time-like vectors  and . The DEC requires that the flux of energy-momentum measured by an observer is causal and in the direction of observer’s proper time.
The NEC is a variation of WEC, with the time-like vector replaced by a null vector 
      
        
      
      
      
      
    
The NEC is the weakest of the four main point-wise energy conditions. Please consult the references [,,] for more information on the distinction between these energy conditions and physical importance.
Energy conditions have a great utility in classical GR which discusses the singularity problems of space-time and explain the behavior of null, space-like, time-like, or light-like geodesics [,]. The origin of these energy conditions is independent of any theory of gravity and is purely geometrical in nature. These circumstances guarantee the application of the second law of thermodynamics, which states that as the universe expands more quickly, energy density reduces. The universe’s quickening expansion is also known as violation (SEC). The various energy states can often be explained using the following form:
- Null energy condition (NEC) if
- Weak energy conditions (WEC) if
- Strong energy conditions (SEC) if , ;
- Dominant energy conditions (DEC) if ,
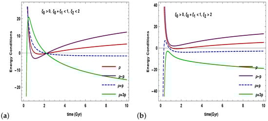
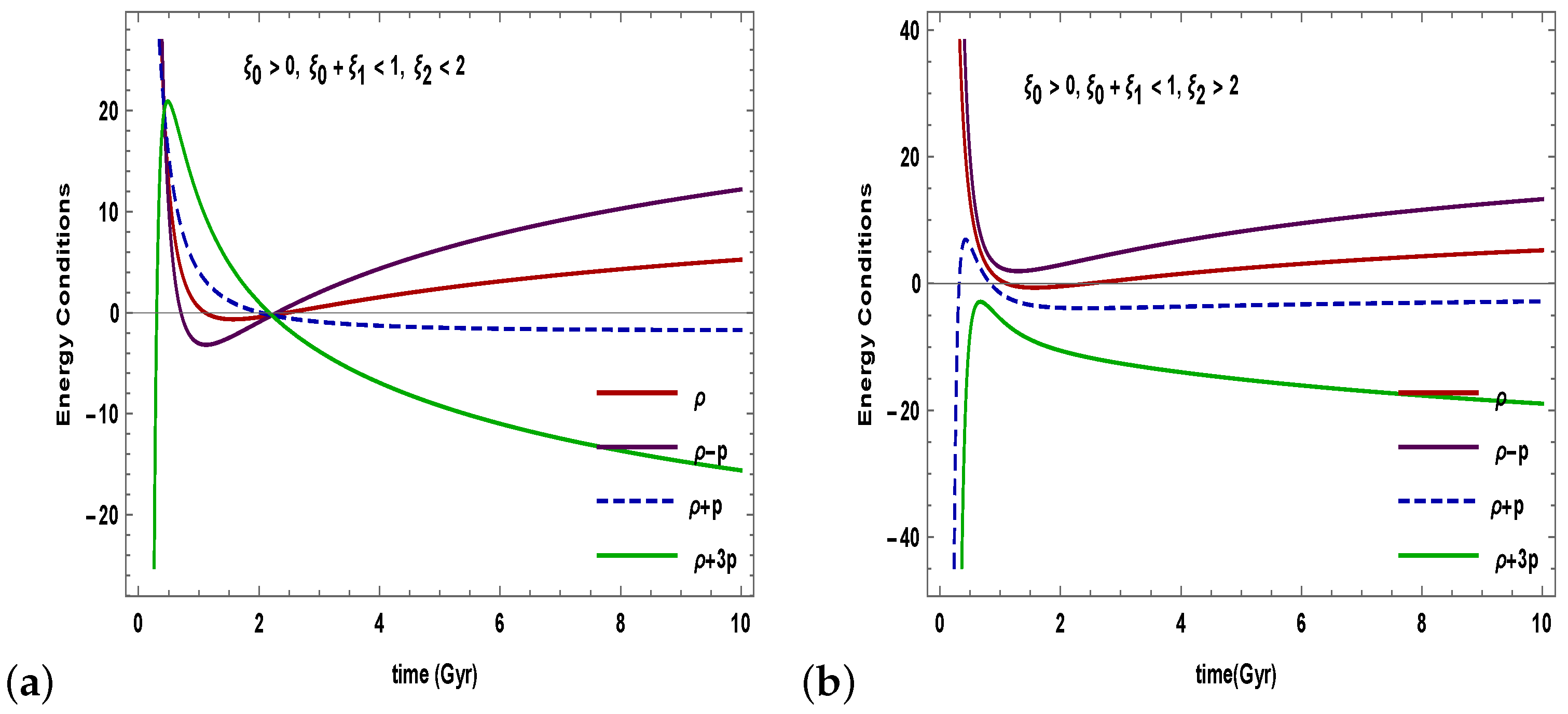
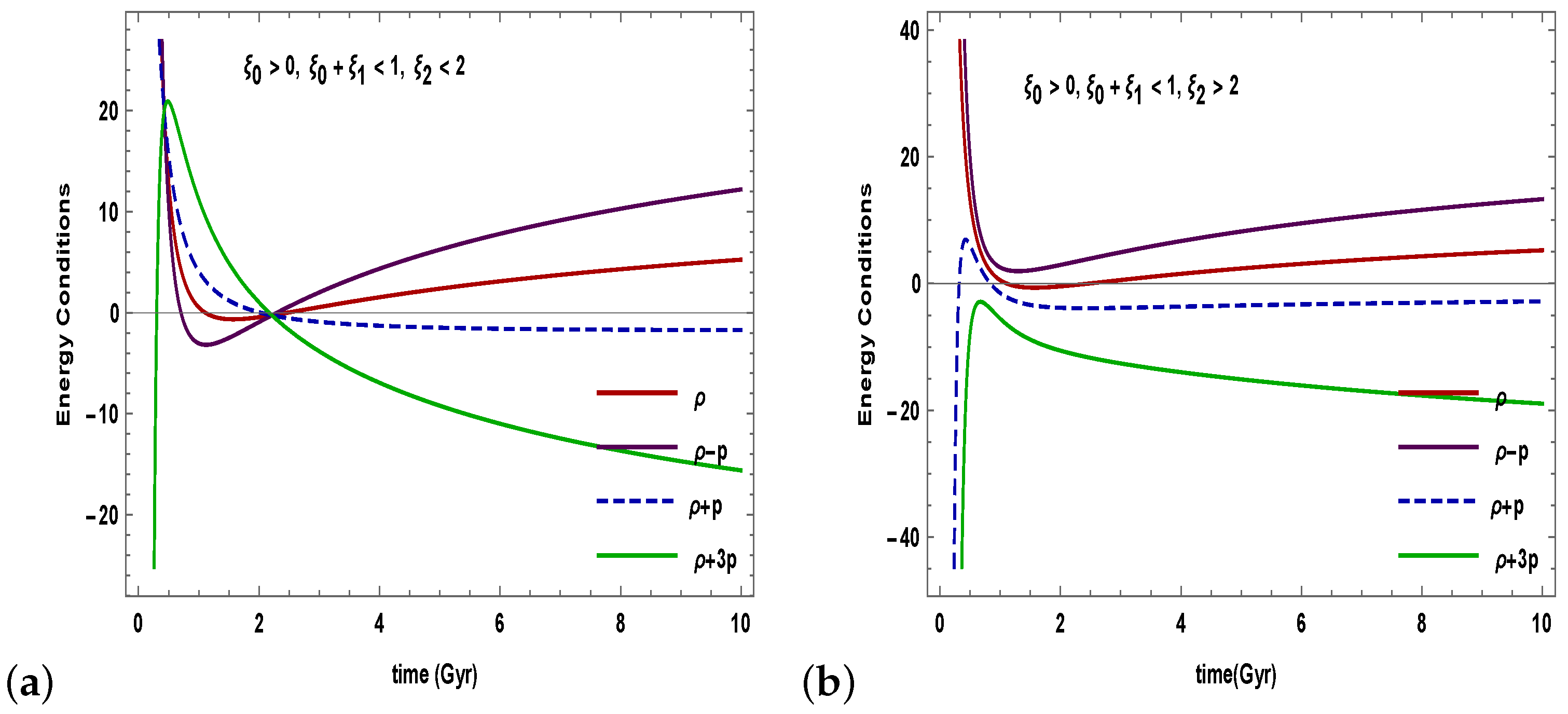
Figure 4 portrays the behavior of energy density versus time with the appropriate choice of viscous parameters as . Among all the energy conditions, the strong energy condition is in the limelight of discussion. According to the recent data on the accelerating Universe, the SEC must be violated on a cosmological scale []. The slight change in the values of  towards the negative side results in the SEC’s change. SEC violates more in the range mentioned above. We can notice this in Figure 4a,c,e for the limiting conditions of the viscosity parameter  NEC, WEC, and DEC do not violate, but SEC violates. Similarly, in Figure 4b,d,f, for , NEC is satisfied, but DEC and SEC are not satisfied.

 
      
    
    Figure 4.
      The variation of energy condition versus time t for various bulk viscosity coefficients.
  
6. Tachyon Model
Here, we investigate the correspondence of  gravity with the tachyon scalar field. The tachyon model, which emerged from string theory, has been proposed to account for the DE scenario []. The fact that a rolling tachyon interpolates the EoS value between −1 and 0 is an intriguing feature. The greatest contender for inflation at high energy is the tachyon model, as well. There have been numerous attempts to create trustworthy cosmological models using various self-interacting potentials, as noted in []. According to reference [], this scalar field has the following energy and pressure:
      
        
      
      
      
      
    
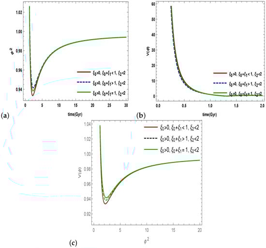
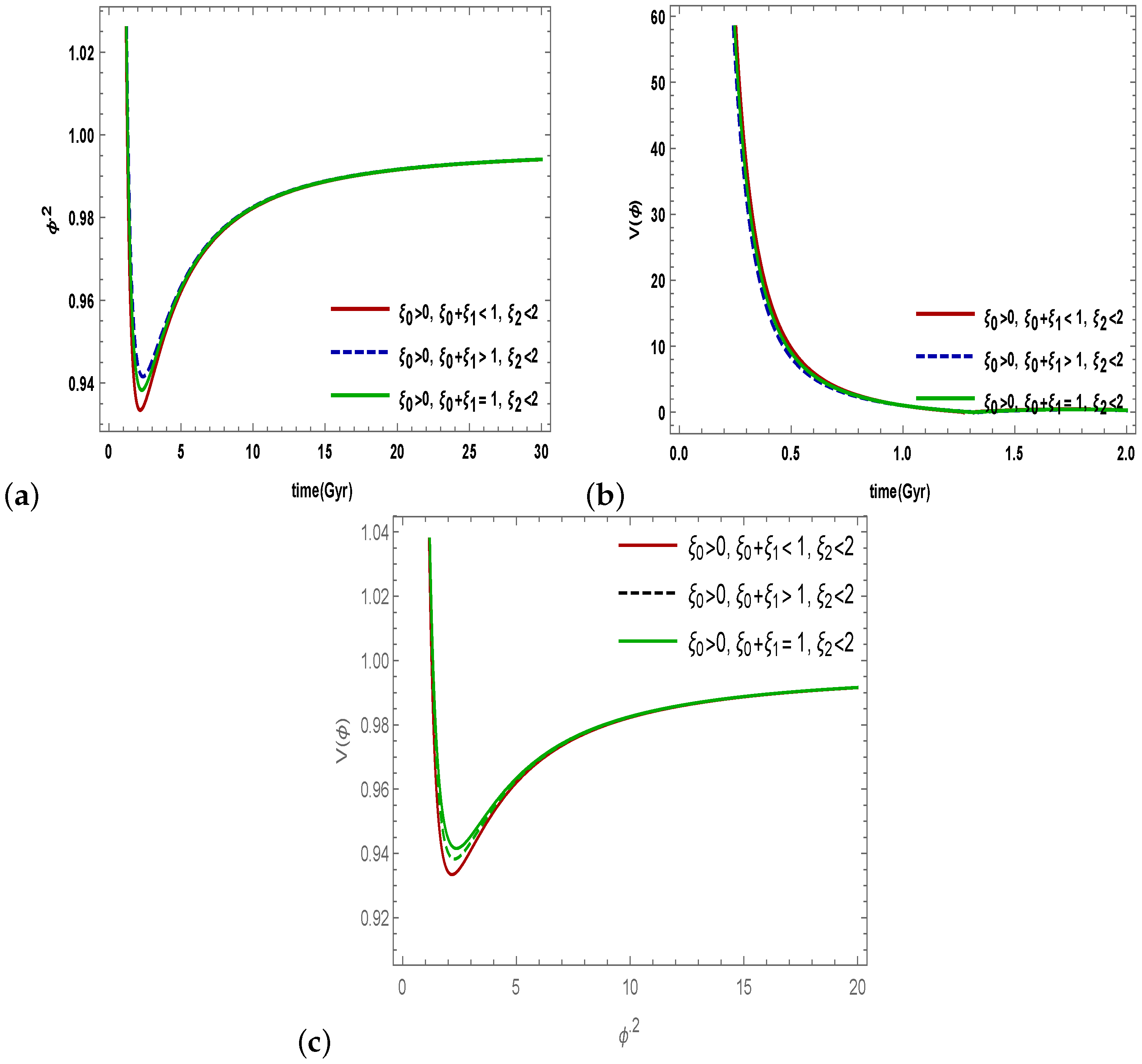
Now, solving Equations (28) and (29), we have obtained the density of scalar field  and potential of  gravity as , leading to the EoS parameter as;
      
      
        
      
      
      
      
    
      
        
      
      
      
      
    
      
        
      
      
      
      
    
In Figure 5, the evolution of the tachyon scalar field as a function of time indicates that the tachyon scalar field  increases with time and finally approaches a positive value (see Figure 5a). However, the kinetic energy ) of the tachyon potential decreases and will vanish in the future [] (Figure 5b).
 
      
    
    Figure 5.
      Correspondence of tachyon scalar field and potential versus t for various values of bulk viscosity coefficients.
  
We can also notice the potential decreases initially, but increases as the scalar field increases (Figure 5c). The corresponding potential function expresses decreasing but positive behavior with respect to t. Its decreasing behavior from maxima gives inverse proportionality to the scalar field for the later times. This type of behavior corresponds to scaling solutions in the brane-world cosmology.
7. Conclusions
Recently, teleparallel theories of gravity and their extensions have drawn a lot of attention in an effort to address a variety of cosmological issues. These theories are situated in a globally flat torsionally supported manifold. As we know, the GR has a teleparallel equivalent representation (TEGR) based on torsion (and tetrads) rather than curvature (and metric). From this perspective, many modified teleparallel ideas have been advanced. By changing the torsion scalar T in the action, the first one also referred to as  gravity naturally generalizes the TEGR action. This approach is comparable to  gravity’s metric equivalent. These two concepts have provided a very accurate description of the cosmic behavior of the cosmos. In order to unify both  and  gravity and to investigate the relations between these theories, a modified teleparallel theory of gravity called the  theory was devised, which, within some constraints, can recover either  or  gravity.
In this work, we have obtained the cosmological analysis for the teleparallel  theory of gravity for flat FRW space-time. To find the exact solution of the field equations, we considered the particular form of , which is proposed in []. We have estimated cosmological parameters and investigated the model’s physical and geometrical behavior.
This paper also explores the behavior of viscosity by considering dust matter in the background of  gravity. We have assumed the logarithm well-known  models to evaluate the cosmological parameters. Using 46 OHD points, we have calculated the cosmological parameter values of the resultant models in the present paper.
The main findings of our paper are as follows:
- Figure 3 shows the effective equation of state parameter involving the bulk viscous pressure . The evolutionary trajectory of the EoS parameter exhibits quintom-like behavior (transition from phantom to quintessence and evolution of the LCDM limit) for the limiting conditions of the viscosity parameter shown in (Figure 3a).
- We have seen that the viscous EoS parameter achieves a phantom-like universe for a particular choice of for shown in (Figure 3b). Thus, the viscous EoS parameter represents a DE-dominated universe for all the models depending upon model parameters. This behavior is compatible with the gravity model.
- Figure 4 shows the temporal evolution of the energy conditions. Keep in mind that to serve the late-time acceleration of the universe, the SEC has to violate. The SEC is the most discussed of all the energy conditions. According to recent findings from the speeding universe, the SEC must be violated on a cosmological scale. In our derived model, NEC, WEC, and DEC satisfy the criteria established from the Raychaudhuri equations. However, SEC is violated. As a consequence, our model is accurate and its solutions are physically feasible.
- Figure 5 depicts the correspondence between the scalar field and the gravity model. We have noticed that the scalar field increases and potential decreases as time increases. The corresponding potential function exhibits a positive but decreasing relationship with time. Later, the scalar field exhibits inverse proportionality to its decreasing behavior from its maximum. In the brane-world cosmology, this kind of behavior corresponds to scaling solutions.
Given the findings discussed above, we can anticipate that an extension in the form of  gravity could lead to exciting situations where we can consider how torsion and boundary terms mix with astrophysical evidence to shed light on the study of the late-time accelerating universe.
Author Contributions
The authors contributed equally in this work. All authors have read and agreed to the published version of the manuscript.
Funding
This research received no external funding.
Data Availability Statement
Not applicable.
Acknowledgments
Anirudh Pradhan and Archana Dixit thank the IUCAA, Pune, India for providing facilities under associateship programs. The authors also express their gratitude to the reviewers for valuable comments and suggestions that improved the paper in the present form.
Conflicts of Interest
The authors declare no conflict of interest.
References
- Perlmutter, S.; Aldering, G.; Goldhaber, G.; Knop, R.A.; Nugent, P.; Castro, P.G.; Deustua, S.; Fabbro, S.; Goobar, A.; Groom, D.E.; et al. Measurements of Ω and Λ from 42 high-redshift supernovae. Astrophys. J. 1999, 517, 565–586. [Google Scholar] [CrossRef]
- Riess, A.G.; Filippenko, A.V.; Challis, P.; Clocchiatti, A.; Diercks, A.; Garnavich, P.M.; Gilliland, R.L.; Hogan, C.J.; Jha, S.; Kirshner, R.P.; et al. Observational evidence from supernovae for an accelerating universe and a cosmological constant. Astron. J. 1998, 116, 1009–1038. [Google Scholar] [CrossRef]
- Ade, P.A.; Aghanim, N.; Ahmed, Z.; Aikin, R.W.; Alexander, K.D.; Arnaud, M.; Aumont, J.; Baccigalupi, C.; Banday, A.J.; Barkats, D.; et al. Joint analysis of BICEP2/Keck Array and Planck data. Phys. Rev. Lett. 2015, 114, 101301. [Google Scholar] [CrossRef] [PubMed]
- Ade, P.A.; Aghanim, N.; Arnaud, M.; Ashdown, M.; Aumont, J.; Baccigalupi, C.; Banday, A.J.; Barreiro, R.B.; Bartlett, J.G.; Bartolo, N.; et al. Planck 2015 results XIII. Cosmological parameters. Astron. Astrophys. 2016, 594, A13. [Google Scholar]
- Clifton, T.; Ferreira, P.G.; Padilla, A.; Skordis, C. Modified gravity and cosmology. Phys. Rep. 2012, 513, 1–189. [Google Scholar] [CrossRef]
- Nojiri, S.; Odintsov, S.D. Introduction to modified gravity and gravitational alternative for dark energy. Int. J. Geom. Methods Mod. 2007, 4, 115. [Google Scholar] [CrossRef]
- Starobinsky, A.A. A new type of isotropic cosmological models without singularity. Phys. Lett. B 1980, 91, 99. [Google Scholar] [CrossRef]
- Nojiri, S.; Odintsov, S.D. Unified cosmic history in modified gravity: From f(R) theory to Lorentz non-invariant models. Phys. Rep. 2011, 505, 59. [Google Scholar] [CrossRef]
- Glavan, D.; Lin, C. Einstein-Gauss-Bonnet gravity in four-dimensional spacetime. Phys. Rev. Lett. 2020, 124, 081301. [Google Scholar] [CrossRef]
- Harko, T.; Lobo, F.S.N.; Nojiri, S.; Odintsov, S.D. f(R,T) gravity. Phys. Rev. D 2011, 84, 024020. [Google Scholar] [CrossRef]
- Odintsov, S.D.; Oikonomou, V.K.; Fronimos, F.P. Rectifying Einstein-Gauss-Bonnet inflation in view of GW170817. Nucl. Phys. B 2020, 958, 115135. [Google Scholar] [CrossRef]
- Anagnostopoulos, F.K.; Basilakos, S.; Saridakis, E.N. Bayesian analysis of f(T) gravity using f σ 8 data. Phys. Rev. D 2019, 100, 083517. [Google Scholar] [CrossRef]
- Unzicker, A.; Case, T. Translation of Einstein’s attempt of a unified field theory with teleparallelism. arXiv 2005, arXiv:arXiv:physics/0503046. [Google Scholar]
- Hayashi, K.; Shirafuji, T. New general relativity. Phys. Rev. D 1979, 19, 3524. [Google Scholar] [CrossRef]
- Pradhan, A.; Dixit, A. Anisotropic MHRDE model in BD theory of gravitation. Int. J. Geom. Methods Mod. 2019, 16, 1950185. [Google Scholar] [CrossRef]
- Dixit, A.; Pradhan, A. Stability, dark energy parameterization and swampland aspect of Bianchi type-VIh cosmological models with f(R,T)-gravity. Int. J. Geom. Methods Mod. 2020, 17, 2050213. [Google Scholar] [CrossRef]
- Samanta, G.C.; Godani, N. Physical parameters for stable f(R) models. Indian J. Phys. 2021, 94, 1303. [Google Scholar] [CrossRef]
- Pradhan, A.; Maurya, D.C.; Dixit, A. Dark energy nature of viscus universe in f(R)-gravity with observational constraints. Int. J. Geom. Methods Mod. Phys. 2021, 18, 2150124. [Google Scholar] [CrossRef]
- Ferraro, R.; Fiorini, F. Modified teleparallel gravity: Inflation without an inflaton. Phys. Rev. D 2007, 75, 084031. [Google Scholar] [CrossRef]
- Bamba, K.; Geng, C.Q.; Lee, C.C.; Luo, L.W. Equation of state for dark energy in f(T) gravity. J. Cosmol. Astropart. Phys. 2011, 01, 021. [Google Scholar] [CrossRef]
- Golovnev, A.; Guzman, M.-J. Approaches to spherically symmetric solutions in f(T) gravity. Universe 2021, 7, 121. [Google Scholar] [CrossRef]
- Pfeifer, C.; Schuster, S. Static spherically symmetric blacl holes in week f(T)- gravity. Universe 2021, 7, 153. [Google Scholar] [CrossRef]
- Bahamonde, S.; Capozziello, S. Noether symmetry approach in f(T,B) teleparallel cosmology. Eur. Phys. J. C 2017, 77, 1–10. [Google Scholar] [CrossRef] [PubMed]
- Escamilla, C.R.; Said, J.L. Cosmological viable models in f(T,B) theory as solutions to the H0 tension. Class Quantum Gravi. 2020, 37, 165002. [Google Scholar] [CrossRef]
- Shekh, S.H.; Chirde, V.R.; Sahoo, P.K. Energy conditions of the f(T,B) gravity dark energy model with the validity of thermodynamics. Comm.Theor. Phys. 2020, 22, 085402. [Google Scholar] [CrossRef]
- Godani, N. Locally rotationally symmetric Bianchi type-II cosmological model in f(R,T) gravity. Ind. J. Phys. 2019, 93, 951. [Google Scholar] [CrossRef]
- Pradhan, A.; Garg, P.; Dixit, A. FRW cosmological models with cosmological constant in f(R,T) theory of gravity. Can. J. Phys. 2021, 99, 741. [Google Scholar] [CrossRef]
- Tiwari, R.K.; Beesham, A.; Mishra, S.; Dubey, V. Anisotropic cosmological model in a modified theory of gravitation. Universe 2021, 7, 226. [Google Scholar] [CrossRef]
- Bhardwaj, V.K.; Pradhan, A. Evaluation of cosmological models in f(R,T) gravity in different dark energy scenario. New Astron. 2022, 91, 101675. [Google Scholar] [CrossRef]
- Tangphati, T.; Hansraj, S.; Banerjee, A.; Pradhan, A. Quark stars in f(R,T) gravity with an interacting quark equation of state. Phys. Dark Univ. 2022, 35, 100990. [Google Scholar] [CrossRef]
- Pretel, J.M.Z.; Tangphati, T.; Banerjee, A.; Pradhan, A. Charged quark stars in f(R,T) gravity. Chin. Phys. C 2022, 46, 115103. [Google Scholar] [CrossRef]
- Pradhan, A.; Dixit, A. The model of the transit cosmology along with observational constraints in f(Q,T) gravity. Int. J. Geom. Methods Mod. 2021, 18, 2150159. [Google Scholar] [CrossRef]
- Godani, N.; Samanta, G.C. FRW cosmology in f(Q,T) gravity. Int. J. Geom. Methods Mod. 2021, 18, 2150134. [Google Scholar] [CrossRef]
- Nojiri, S.; Odintsov, S.D.; Tretyakov, P.V. From inflation to dark energy in the non-minimal modified gravity. Prog. Theor. Phys. Suppl. 2008, 172, 81. [Google Scholar] [CrossRef]
- Elizalde, E.; Myrzakulov, R.; Obukhov, V.V.; Saez-Gomez, D. ΛCDM epoch reconstruction from F(R,G) and modified Gauss-Bonnet gravities. Class. Quantum Gravity 2010, 27, 095007. [Google Scholar] [CrossRef]
- Banerjee, A.; Pradhan, A.; Tangphati, T.; Rahaman, F. Wormhole geometry in f(Q) gravity and the energy conditions. Eur. Phys. J. C 2021, 81, 10131. [Google Scholar] [CrossRef]
- Gupta, S.; Dixit, A.; Pradhan, A. Tsallis holographic dark energy scenario in viscous F(Q) gravity and techyan field. Int. J. Geom. Methods Mod. 2022. [Google Scholar] [CrossRef]
- Pradhan, A.; Dixit, A.; Maurya, D.C. Quintessence behaviour of an anisotropic bulk viscous cosmological model in modified f(Q) gravity. arXiv 2022, arXiv:2210.13730. [Google Scholar]
- Iosifidis, D.; Myrzakulov, N.; Myrzakulov, R. Metric-affine version of Myrzakulov F(R,T,Q,τ) gravity and cosmological applications. Universe 2021, 7, 262. [Google Scholar] [CrossRef]
- Mardan, S.A.; Amjad, A.; Noureen, I. Frameworks of generalized anisotropic conformally flat polytropes in f(R) gravity. Eur. Phys. J. C 2022, 82, 794. [Google Scholar] [CrossRef]
- Noureen, I.; Arshad, N.; Mardan, S.A. Development of local density perturbation scheme in f(R) gravity to identify cracking points. Eur. Phys. J. C 2022, 82, 621. [Google Scholar] [CrossRef]
- Noureen, I.; Haq, U.; Mardan, S.A. Impact of f(R,T) gravity in evolution of charged viscous fluids. Int. J. Mod. Phys. D 2021, 30, 2150027. [Google Scholar] [CrossRef]
- Franco, G.A.; E-Rivera, C.; Levi Said, J. Stability analysis for cosmological models in f(T,B) gravity. Eur. Phys. J. C 2020, 80, 1. [Google Scholar] [CrossRef]
- Paliathanasis, A. Anisotropic spacetimes in f(T,B) theory I: Bianchi I universe. Eur. Phys. J. C 2022, 137, 1. [Google Scholar] [CrossRef]
- Shekh, S.H.; Moraes, H.R.S.; Sahoo, P.K. Physical acceptability of the Renyi, Tsallis and Sharma-Mittal holographic dark energy models in the f(T,B) gravity under Hubble’s cutoff. Universe 2021, 7, 67. [Google Scholar] [CrossRef]
- Escamilla-Rivera, C.; Rave-franco, G.; Levi-Said, J. f(T,B) cosmography for high redshifts. Universe 2021, 7, 441. [Google Scholar] [CrossRef]
- Li, B.; Sotiriou, T.P.; Barrow, J.D. f(T) gravity and local Lorentz invariance. Phys. Rev. D 2011, 83, 064035. [Google Scholar] [CrossRef]
- Krssak, M.; Saridakis, E.N. The covariant formulation of f(T) gravity. Class. Quant. Grav. 2016, 33, 115009. [Google Scholar] [CrossRef]
- Paliathanasis, A. de Sitter and Scaling solutions in a higher-order modified teleparallel theory. JCAP 2017, 1708, 027. [Google Scholar] [CrossRef]
- Karpathopoulos, L.; Basilakos, S.; Leon, G.; Paliathanasis, A.; Tsamparlis, M. Cartan symmetries and global dynamical systems analysis in a higher-order modified teleparallel theory. Gen. Rel. Gravity 2018, 50, 79. [Google Scholar] [CrossRef]
- Caruana, M.; Farrugia, G.; Said, J.L. Cosmological bouncing solutions in f(T,B) gravity. Eur. Phys. J. C 2020, 80, 1. [Google Scholar] [CrossRef]
- Paliathanasis, A. Cosmological evolution and exact solutions in a fourth-order theory of gravity. Phys. Rev. D 2017, 95, 064062. [Google Scholar] [CrossRef]
- Paliathanasis, A.; Leon, G. Cosmological evolution in f(T,B) gravity. Eur. Phys. J. Plus 2021, 136, 1. [Google Scholar] [CrossRef]
- Rave-Franco, G.A.; Escamilla-Rivera, C.; Said, J.L. Dynamical complexity of the teleparallel gravity cosmology. Phys. Rev. D 2021, 103, 084017. [Google Scholar] [CrossRef]
- Paliathanasis, A.; Leon, G. f(T,B) gravity in a Friedmann-Lemaî tre-Robertson-Walker universe with nonzero spatial curvature. arXiv 2022, arXiv:2201.12189. [Google Scholar]
- Paliathanasis, A. Minisuperspace Quantization of f(T,B) Cosmology. Universe 2021, 7, 150. [Google Scholar] [CrossRef]
- Najera, S.; Aguilar, A.; Rave-Franco, G.A.; Escamilla-Rivera, C.; Sussman, R.A. Inhomogeneous solutions in f(T,B) gravity. Int. J. Geom. Methods Mod. 2022, 2240003. [Google Scholar] [CrossRef]
- Ren, J.; Meng, X.H. Cosmological model with viscosity media (dark fluid) described by an effective equation of state. Phys. Lett. B 2006, 633, 1. [Google Scholar] [CrossRef]
- Tawfik, A.; Harko, T. Quark-hadron phase transitions in the viscous early universe. Phys. Rev. D 2012, 85, 084032. [Google Scholar] [CrossRef]
- Sharif, M.; Rani, S. Viscous dark energy in f(T) gravity. Mod. Phys. Lett. A 2013, 28, 1350118. [Google Scholar] [CrossRef]
- Singh, C.P.; Kumar, P. Friedmann model with viscous cosmology in modified f(R,T) gravity theory. Eur. Phys. J. C 2014, 74, 3070. [Google Scholar] [CrossRef]
- Bahamonde, S.; Dialektopoulos, K.F.; Escamilla-Rivera, C.; Farrugia, G.; Gakis, V.; Hendry, M.; Hohmann, M.; Said, J.L.; Mifsud, J.; Di Valentino, E. Teleparallel gravity: From theory to cosmology. arXiv 2021, arXiv:2106.13793. [Google Scholar] [CrossRef] [PubMed]
- Bahamonte, S.; Boehmer, C.G.; Wight, M. Modified teleparallel theories of gravity. Phys. Rev. D 2015, 9, 104042. [Google Scholar] [CrossRef]
- Krssak, M.; Van Den Hoogen, R.J.; Pereira, J.G.; Bohmer, C.G.; Coley, A. Teleparallel theories of gravity: Illuminating a fully invariant approach. Class. Quantum Grav. 2019, 36, 183001. [Google Scholar] [CrossRef]
- Bahamonde, S.; Zubair, M.; Abbas, G. Thermodynamics and cosmological reconstruction in f(T,B) gravity. Phys. Dark Univ. 2018, 19, 78. [Google Scholar] [CrossRef]
- Zimdahl, W. Bulk viscous cosmology. Phys. Rev. D 1996, 53, 5483. [Google Scholar] [CrossRef]
- Eckart, C. The thermodynamics of irreversible processes. III. Relativistic theory of the simple fluid. Phys. Rev. 1940, 58, 919. [Google Scholar] [CrossRef]
- Singh, J.P. A cosmological model with both deceleration and acceleration. Astrophys. Space Sci. 2008, 318, 103. [Google Scholar] [CrossRef]
- Banerjee, N.; Das, S. Acceleration of the universe with a simple trigonometric potential. Gen. Relativ. Gravit. 2005, 37, 1695. [Google Scholar] [CrossRef]
- Riess, A.G.; Strolger, L.G.; Tonry, J.; Casertano, S.; Ferguson, H.C.; Mobasher, B.; Challis, P.; Filippenko, A.V.; Jha, S.; Li, W.; et al. Type Ia supernova discoveries at z≥1 from the Hubble Space Telescope: Evidence for past deceleration and constraints on dark energy evolution. Astrophys. J. 2005, 607, 665. [Google Scholar] [CrossRef]
- Tian, S. The relation between cosmological redshift and scale factor for photons. Astrophys. J. 2017, 846, 90. [Google Scholar] [CrossRef]
- Wojtak, R.; Prada, F. Testing of mapping between redshift and cosmic scale factor. Mon. Not. R. Astron. Soc. 2016, 458, 3331. [Google Scholar] [CrossRef]
- Gupta, R.P. SNe Ia redshift in a nonadiabatic universe. Universe 2018, 4, 104. [Google Scholar] [CrossRef]
- Nagpal, R.; Pacif, S.K.J.; Singh, J.K.; Bamba, K.; Beesham, A. Analysis with observational constraints in Λ-cosmology in f(R,T) gravity. Eur. Phys. J. C 2018, 78, 946. [Google Scholar] [CrossRef]
- Goswami, G.K.; Pradhan, A.; Beesham, A. Friedmann-Robertson-Walker accelerating Universe with interactive dark energy. Pramana 2019, 93, 1. [Google Scholar] [CrossRef]
- Yadav, A.K.; Alshehri, A.M.; Ahmad, N.; Goswami, G.K.; Kumar, M. Transitioning universe with hybrid scalar field in Bianchi I space-time. Phys. Dark Univ. 2021, 31, 100738. [Google Scholar] [CrossRef]
- Macaulay, E.; Nichol, R.C.; Bacon, D.; Brout, D.; Davis, T.M.; Zhang, B.; Bassett, B.A.; Scolnic, D.; Möller, A.; D’Andrea, C.B.; et al. First cosmological results using Type Ia supernovae from the dark energy survey: Measurement of the Hubble constant. Mon. Not. R. Astron. Soc. 2019, 486, 2184–2196. [Google Scholar] [CrossRef]
- Moresco, M.; Pozzetti, L.; Cimatti, A.; Jimenez, R.; Maraston, C.; Verde, L.; Thomas, D.; Citro, A.; Tojeiro, R.; Wilkinson, D. A 6 % measurement of the Hubble parameter at z∼0.45: Direct evidence of the epoch of cosmic re-acceleration. J. Cosmol. Astropart. Phys. 2016, 2016, 014. [Google Scholar] [CrossRef]
- Zhang, C.; Zhang, H.; Yuan, S.; Liu, S.; Zhang, T.J.; Sun, Y.C. Four new observational H(z) data from luminous red galaxies in the Sloan Digital Sky Survey data release seven. Res. Astron. Astrophys. 2014, 14, 1221. [Google Scholar] [CrossRef]
- Stern, D.; Jimenez, R.; Verde, L.; Kamionkowski, M.; Stanford, S.A. Cosmic chronometers: Constraining the equation of state of dark energy I: H (z) measurements. J. Cosmol. Astropart. Phys. 2010, 2010, 008. [Google Scholar] [CrossRef]
- Simon, J.; Verde, L.; Jimenez, R. Constraints on the redshift dependence of the dark energy potential. Phys. Rev. D 2005, 71, 123001. [Google Scholar] [CrossRef]
- Alam, S.; Ata, M.; Bailey, S.; Beutler, F.; Bizyaev, D.; Blazek, J.A.; Bolton, A.S.; Brownstein, J.R.; Burden, A.; Chuang, C.H.; et al. The clustering of galaxies in the completed SDSS-III Baryon Oscillation Spectroscopic Survey: Cosmological analysis of the DR12 galaxy sample. Mon. Not. R. Astron. Soc. 2016, 470, 2617–2652. [Google Scholar] [CrossRef]
- Anderson, L.; Aubourg, E.; Bailey, S.; Beutler, F.; Bhardwaj, V.; Blanton, M.; Bolton, A.S.; Brinkmann, J.; Brownstein, J.R.; Burden, A.; et al. The clustering of galaxies in the SDSS-III Baryon Oscillation Spectroscopic Survey: Baryon acoustic oscillations in the Data Releases 10 and 11 Galaxy samples. Mon. Not. R. Astron. Soc. 2014, 441, 24–62. [Google Scholar] [CrossRef]
- Moresco, M.; Cimatti, A.; Jimenez, R.; Pozzetti, L.; Zamorani, G.; Bolzonella, M.; Dunlop, J.; Lamareille, F.; Mignoli, M.; Pearce, H.; et al. Improved constraints on the expansion rate of the Universe up to z∼1.1 from the spectroscopic evolution of cosmic chronometers. J. Cosmol. Astropart. Phys. 2012, 2012, 006. [Google Scholar] [CrossRef]
- Blake, C.; Brough, S.; Colless, M.; Contreras, C.; Couch, W.; Croom, S.; Croton, D.; Davis, T.M.; Drinkwater, M.J.; Forster, K.; et al. The Wiggle Z Dark Energy Survey: Joint measurements of the expansion and growth history at z<1. Mon. Not. R. Astron. Soc. 2012, 425, 405–414. [Google Scholar]
- Gaztanaga, E.; Cabre, A.; Hui, L. Clustering of luminous red galaxies IV. Baryon acoustic peak in the line-of-sight direction and a direct measurement of H(z). Mon. Not. R. Astron. Soc. 2009, 399, 1663–1680. [Google Scholar] [CrossRef]
- Chuang, D.H.; Wang, Y. Modelling the anisotropic two-point galaxy correlation function on small scales and single-probe measurements of H(z), DA(z) and f(z) 8 (z) from the Sloan Digital Sky Survey DR7 luminous red galaxies. Mon. Not. R. Astron. Soc. 2013, 435, 255. [Google Scholar] [CrossRef]
- Moresco, M. Raising the bar: New constraints on the Hubble parameter with cosmic chronometers at z∼2. Mon. Not. R. Astron. Soc. 2015, 450, L16. [Google Scholar] [CrossRef]
- Delubac, T.; Rich, J.; Bailey, S.; Font-Ribera, A.; Kirkby, D.; Le Goff, J.M.; Pieri, M.M.; Slosar, A.; Aubourg, E.; Bautista, J.E.; et al. Baryon acoustic oscillations in the Lyα forest of BOSS quasars. Astron Astrophys. 2013, 552, A96. [Google Scholar]
- Delubac, T.; Bautista, J.E.; Rich, J.; Kirkby, D.; Bailey, S.; Font-Ribera, A.; Slosar, A.; Lee, K.G.; Pieri, M.M.; Hamilton, J.C.; et al. Baryon acoustic oscillations in the Lyα forest of BOSS DR11 quasars. Astron Astrophys. 2015, 584, A59. [Google Scholar] [CrossRef]
- Ratsimbazafy, A.L.; Loubser, S.I.; Crawford, S.M.; Cress, C.M.; Bassett, B.A.; Nichol, R.C.; Vaisanen, P. Age-dating luminous red galaxies observed with the Southern African Large Telescope. Mon. Not. R. Astron. Soc. 2017, 467, 3239–3254. [Google Scholar] [CrossRef]
- Font-Ribera, A.; Kirkby, D.; Miralda-Escude, J.; Ross, N.P.; Slosar, A.; Rich, J.; Aubourg, E.; Bailey, S.; Bhardwaj, V.; Bautista, J.; et al. Quasar-Lyman α forest cross-correlation from BOSS DR11: Baryon Acoustic Oscillations. J. Cosmol. Astropart. Phys. 2014, 2014(05), 027. [Google Scholar] [CrossRef]
- Hu, M.G.; Meng, X.H. Bulk viscous cosmology: Statefinder and entropy. Phys. Lett. B 2006, 635, 186. [Google Scholar] [CrossRef]
- Meng, X.H.; Ren, J.; Hu, M.G. Friedmann cosmology with a generalized equation of state and bulk viscosity. Commun. Theor. Phys. 2007, 47, 379. [Google Scholar]
- Mostafapoor, N.; Gron, O. Viscous Λ CDM universe models. Astrophys. Space Sci. 2011, 333, 357. [Google Scholar] [CrossRef]
- Nojiri, S.; Odintsov, S.D. Future evolution and finite-time singularities in f(R) gravity unifying inflation and cosmic acceleration. Phys. Rev. D 2008, 78, 046006. [Google Scholar] [CrossRef]
- Solanki, R.; Pacif, J.K.S.; Parida, A.; Sahoo, P.K. Cosmic acceleration with bulk viscosity in modified f(Q) gravity. Phys. Dark Univ. 2021, 32, 100820. [Google Scholar] [CrossRef]
- Capozziello, S.; Nojiri, S.; Odintsov, S.D. The role of energy conditions in f(R) cosmology. Phys. Lett. B 2018, 781, 99. [Google Scholar] [CrossRef]
- Martin-Morunoa, P.; Visserb, M. Classical and semi-classical energy conditions. arXiv 2017, arXiv:1702.05915. [Google Scholar]
- Kontou, E.-A.; Sanders, K. Energy conditions in general relativity and quantum field theory. Class. Quant. Grav. 2020, 37, 193001. [Google Scholar] [CrossRef]
- Santos, J.; Alcaniz, J.S.; Reboucas, M.J.; Carvalho, F.C. Energy conditions in f(R,T) gravity. Phys. Rev. D 2007, 76, 083513. [Google Scholar] [CrossRef]
- Carroll, S. Spacetime and Geometry. In An Introduction to General Relativity; Addison Wesley: Boston, MA, USA, 2004. [Google Scholar]
- Copeland, E.J.; Sami, M.; Tsujikawa, S. Dynamics of dark energy. Int. J. Mod. Phys. D 2006, 15, 1753. [Google Scholar] [CrossRef]
- Mazumdar, A.; Panda, S.; Perez-Lorenzana, A. Assisted inflation via tachyon condensation. Nucl. Phys. B 2001, 614, 101. [Google Scholar] [CrossRef]
- Salako, I.G.; Jawad, A.; Moradpour, H. Cosmological implications of scalar field dark energy models in f(T,τ) gravity. Int. J. Geom. Methods Mod. 2018, 15, 1850063. [Google Scholar] [CrossRef]
| Publisher’s Note: MDPI stays neutral with regard to jurisdictional claims in published maps and institutional affiliations. | 
© 2022 by the authors. Licensee MDPI, Basel, Switzerland. This article is an open access article distributed under the terms and conditions of the Creative Commons Attribution (CC BY) license (https://creativecommons.org/licenses/by/4.0/).
