Inhomogeneous Jets from Neutron Star Mergers: One Jet to Rule Them All
Abstract
1. Introduction
2. Method
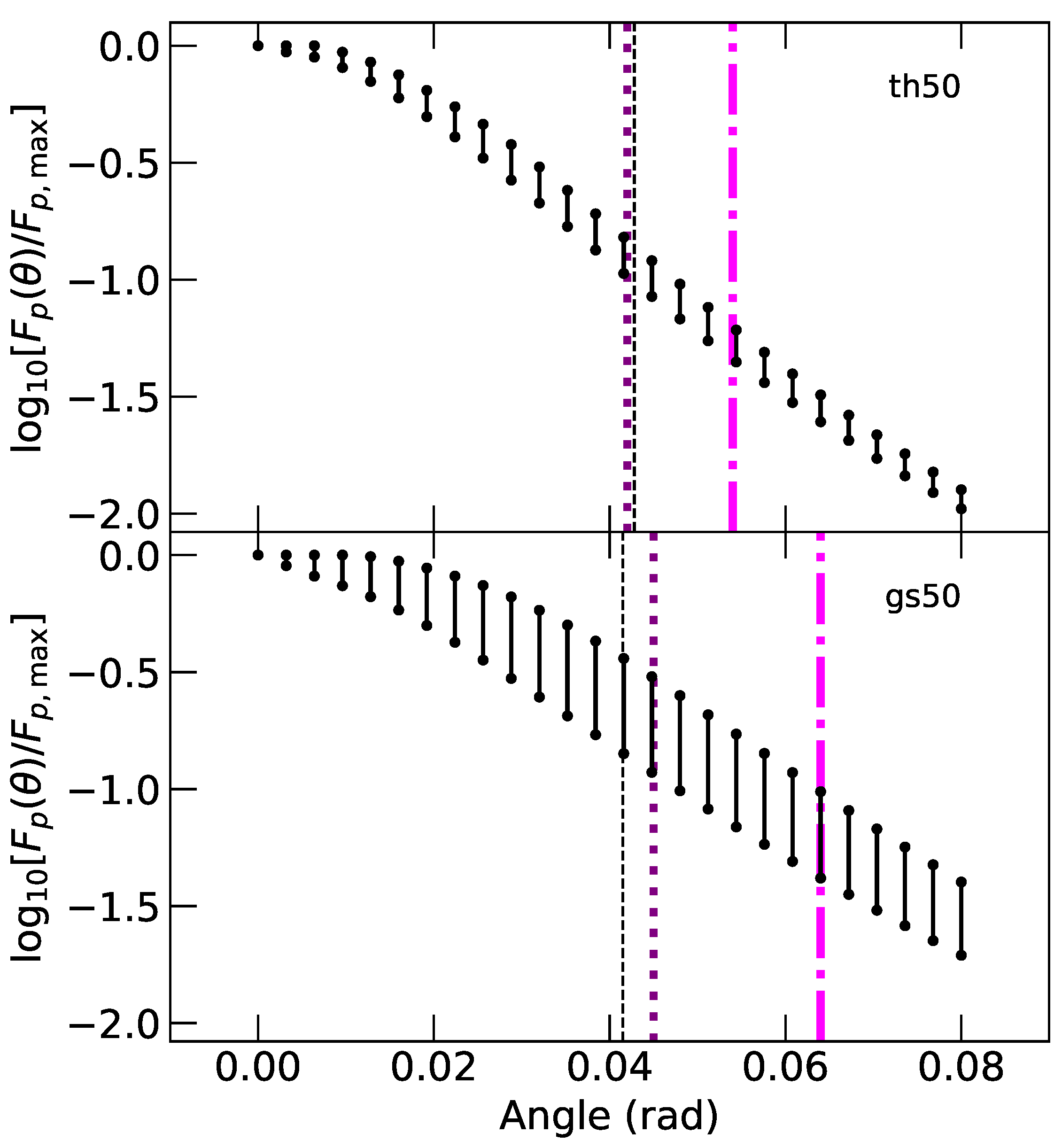
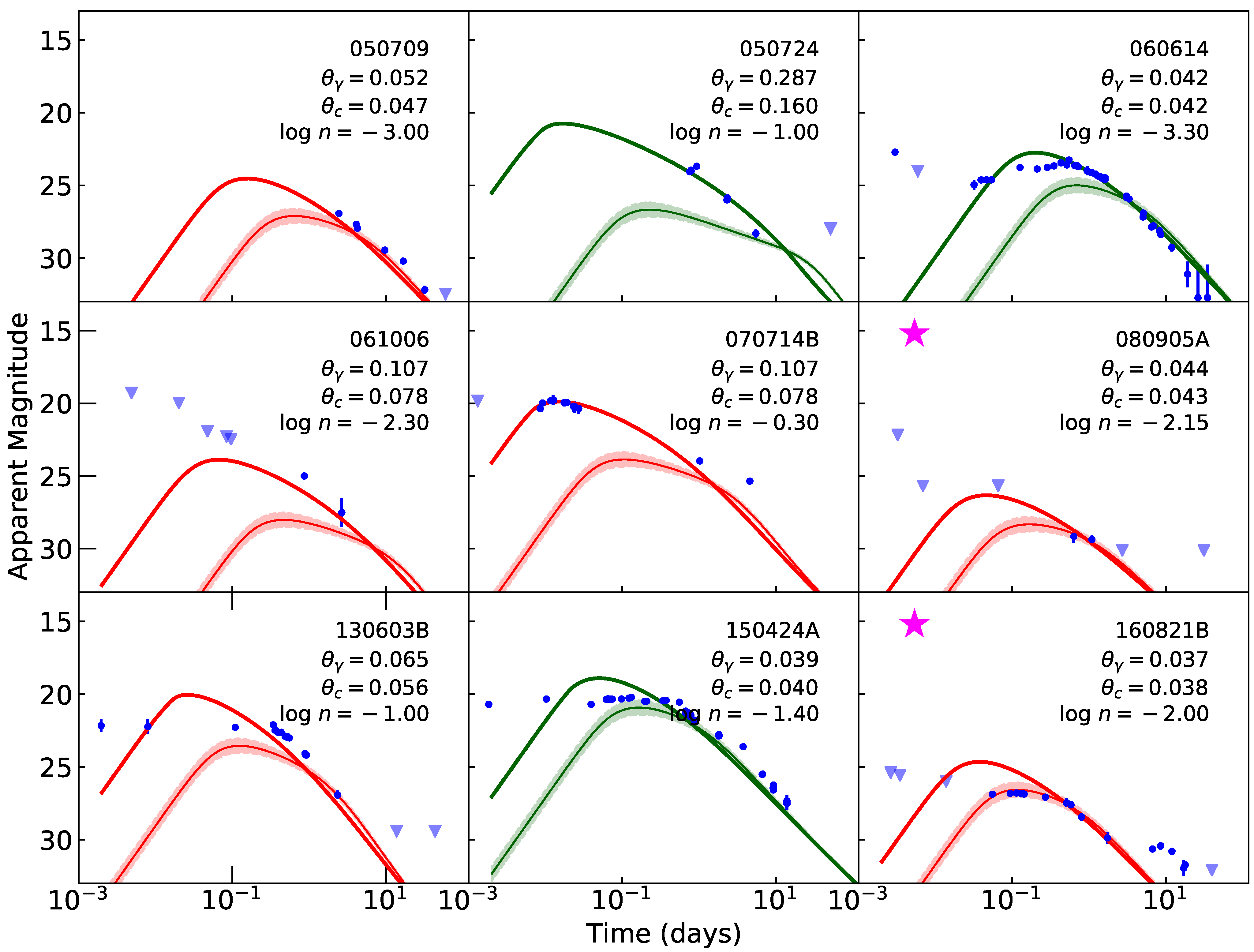
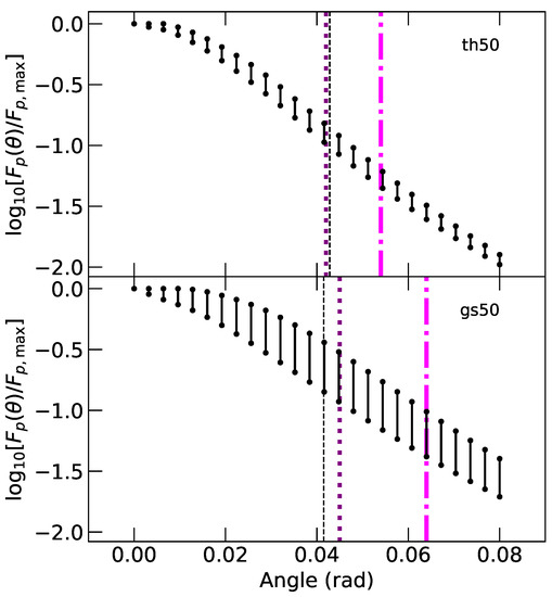
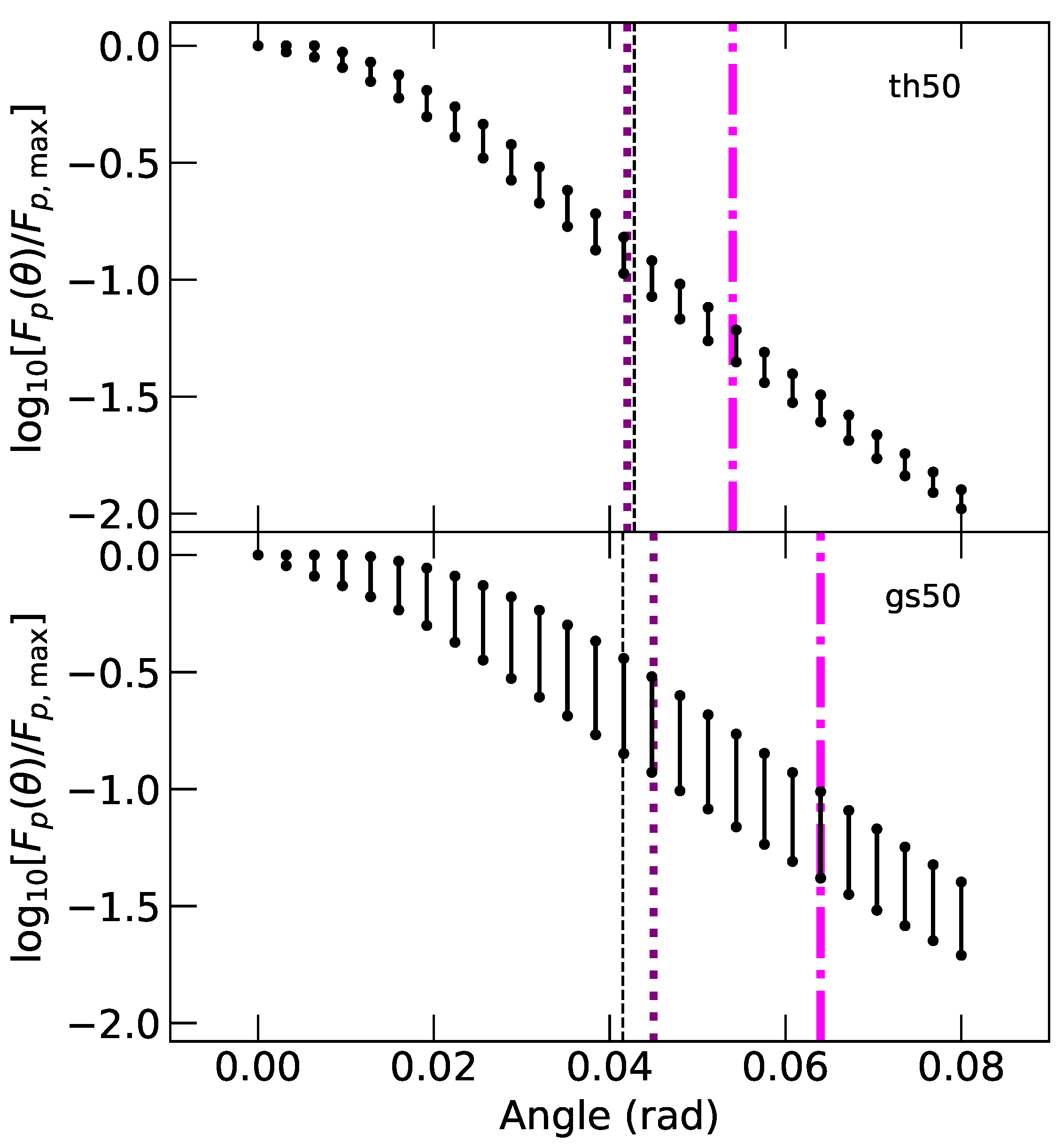
3. Results
4. Discussion
Comparison to Sources with Kilonova Candidates
5. Conclusions
- Variation in peak afterglow flux density due to rotation, < dex.
- Variation in peak afterglow flux density due to inclination (polar orientation), < dex.
- An order of magnitude spread in jet kinetic energy distribution when inferred from the peak afterglow, where the -ray efficiency of the GRB emission is fixed.
Author Contributions
Funding
Institutional Review Board Statement
Informed Consent Statement
Data Availability Statement
Acknowledgments
Conflicts of Interest
Abbreviation
| GRB | Gamma-ray Burst |
| 1 | As the jet energy depends on the accreted mass, the magnetic field strength, and the efficiency of converted energy from accretion into jet power, the true limits on a population of jets from mergers of neutron stars, when considering the observed distribution of neutron star masses and field strengths, may well be broader. |
| 2 | The wide angle cut-off in energy for the simulation profiles is a result of the radial averaging process where we only sample components with . The contribution to the observable afterglow from wider, lower energy and regions is negligible, see Nativi et al. [16] for details. |
| 3 | For an aligned observer, , the GRB duration is equivalent to the engine duration; for our simulation this is s |
| 4 | |
| 5 | The opening angle inferred via the jet-break time of a GRB afterglow typically assumes that the observer is on the jet central axis. More detailed studies of the GRB population indicate that the typical inclination for an observed GRB is of the jet’s effective opening angle, in our notation, [58]. This suggests that the jet opening angle for GRBs are typically smaller by a factor than the simple estimates [36]. |
| 6 | A sophisticated fit to these data sets would require the inclusion of reverse shock emission, refreshed shock or energy injection, plus a kilonova contribution. This is beyond the scope of this work, however, using the literature values of the index p, should ensure that our approximate lightcurve models are consistent with any X-ray afterglow flux for individual bursts. Other works have focused on fitting afterglow and kilonova models to data, e.g., [64]. |
| 7 | |
| 8 |
References
- Nakar, E. Short-hard gamma-ray bursts. Phys. Rep. 2007, 442, 166–236. [Google Scholar] [CrossRef]
- Berger, E. Short-Duration Gamma-Ray Bursts. ARA&A 2014, 52, 43–105. [Google Scholar] [CrossRef]
- D’Avanzo, P. Short gamma-ray bursts: A review. J. High Energy Astrophys. 2015, 7, 73–80. [Google Scholar] [CrossRef]
- Shapiro, S.L. Black holes, disks, and jets following binary mergers and stellar collapse: The narrow range of electromagnetic luminosities and accretion rates. Phys. Rev. D 2017, 95, 101303. [Google Scholar] [CrossRef] [PubMed]
- Fryer, C.L.; Lloyd-Ronning, N.; Wollaeger, R.; Wiggins, B.; Miller, J.; Dolence, J.; Ryan, B.; Fields, C.E. Understanding the engines and progenitors of gamma-ray bursts. Eur. Phys. J. A 2019, 55, 132. [Google Scholar] [CrossRef]
- Fong, W.; Berger, E.; Margutti, R.; Zauderer, B.A. A Decade of Short-duration Gamma-Ray Burst Broadband Afterglows: Energetics, Circumburst Densities, and Jet Opening Angles. Astrophys. J. 2015, 815, 102. [Google Scholar] [CrossRef]
- O’Connor, B.; Beniamini, P.; Kouveliotou, C. Constraints on the circumburst environments of short gamma-ray bursts. Mon. Not. R. Astron. Soc. 2020, 495, 4782–4799. [Google Scholar] [CrossRef]
- Aloy, M.A.; Janka, H.T.; Müller, E. Relativistic outflows from remnants of compact object mergers and their viability for short gamma-ray bursts. Astron. Astrophys. 2005, 436, 273–311. [Google Scholar] [CrossRef]
- Nagakura, H.; Hotokezaka, K.; Sekiguchi, Y.; Shibata, M.; Ioka, K. Jet Collimation in the Ejecta of Double Neutron Star Mergers: A New Canonical Picture of Short Gamma-Ray Bursts. Astrophys. J. Lett. 2014, 784, L28. [Google Scholar] [CrossRef]
- Duffell, P.C.; Quataert, E.; MacFadyen, A.I. A Narrow Short-duration GRB Jet from a Wide Central Engine. Astrophys. J. 2015, 813, 64. [Google Scholar] [CrossRef]
- Murguia-Berthier, A.; Ramirez-Ruiz, E.; Montes, G.; De Colle, F.; Rezzolla, L.; Rosswog, S.; Takami, K.; Perego, A.; Lee, W.H. The Properties of Short Gamma-Ray Burst Jets Triggered by Neutron Star Mergers. Astrophys. J. Lett. 2017, 835, L34. [Google Scholar] [CrossRef]
- Xie, X.; Zrake, J.; MacFadyen, A. Numerical Simulations of the Jet Dynamics and Synchrotron Radiation of Binary Neutron Star Merger Event GW170817/GRB 170817A. Astrophys. J. 2018, 863, 58. [Google Scholar] [CrossRef]
- Geng, J.J.; Zhang, B.; Kölligan, A.; Kuiper, R.; Huang, Y.F. Propagation of a Short GRB Jet in the Ejecta: Jet Launching Delay Time, Jet Structure, and GW170817/GRB 170817A. Astrophys. J. Lett. 2019, 877, L40. [Google Scholar] [CrossRef]
- Nathanail, A.; Gill, R.; Porth, O.; Fromm, C.M.; Rezzolla, L. 3D magnetized jet break-out from neutron-star binary merger ejecta: Afterglow emission from the jet and the ejecta. Mon. Not. R. Astron. Soc. 2021, 502, 1843–1855. [Google Scholar] [CrossRef]
- Nativi, L.; Bulla, M.; Rosswog, S.; Lundman, C.; Kowal, G.; Gizzi, D.; Lamb, G.P.; Perego, A. Can jets make the radioactively powered emission from neutron star mergers bluer? Mon. Not. R. Astron. Soc. 2021, 500, 1772–1783. [Google Scholar] [CrossRef]
- Nativi, L.; Lamb, G.P.; Rosswog, S.; Lundman, C.; Kowal, G. Are interactions with neutron star merger winds shaping the jets? Mon. Not. R. Astron. Soc. 2022, 509, 903–913. [Google Scholar] [CrossRef]
- Pavan, A.; Ciolfi, R.; Kalinani, J.V.; Mignone, A. Short gamma-ray burst jet propagation in binary neutron star merger environments. Mon. Not. R. Astron. Soc. 2021, 506, 3483–3498. [Google Scholar] [CrossRef]
- Urrutia, G.; De Colle, F.; Murguia-Berthier, A.; Ramirez-Ruiz, E. What determines the structure of short gamma-ray burst jets? Mon. Not. R. Astron. Soc. 2021, 503, 4363–4371. [Google Scholar] [CrossRef]
- Bromberg, O.; Nakar, E.; Piran, T.; Sari, R. The Propagation of Relativistic Jets in External Media. Astrophys. J. 2011, 740, 100. [Google Scholar] [CrossRef]
- Gottlieb, O.; Nakar, E. Jet propagation in expanding media. arXiv 2021, arXiv:2106.03860. [Google Scholar]
- Salafia, O.S.; Barbieri, C.; Ascenzi, S.; Toffano, M. Gamma-ray burst jet propagation, development of angular structure, and the luminosity function. Astron. Astrophys. 2020, 636, A105. [Google Scholar] [CrossRef]
- Hamidani, H.; Ioka, K. Jet propagation in expanding medium for gamma-ray bursts. Mon. Not. R. Astron. Soc. 2021, 500, 627–642. [Google Scholar] [CrossRef]
- Matsumoto, J.; Masada, Y. Propagation, cocoon formation, and resultant destabilization of relativistic jets. Mon. Not. R. Astron. Soc. 2019, 490, 4271–4280. [Google Scholar] [CrossRef]
- Lipunov, V.M.; Postnov, K.A.; Prokhorov, M.E. Gamma-Ray Bursts as Standard-Energy Explosions. Astron. Rep. 2001, 45, 236–240. [Google Scholar] [CrossRef]
- Rossi, E.; Lazzati, D.; Rees, M.J. Afterglow light curves, viewing angle and the jet structure of γ-ray bursts. Mon. Not. R. Astron. Soc. 2002, 332, 945–950. [Google Scholar] [CrossRef]
- Zhang, B.; Mészáros, P. Gamma-Ray Burst Beaming: A Universal Configuration with a Standard Energy Reservoir? Astrophys. J. 2002, 571, 876–879. [Google Scholar] [CrossRef]
- Lloyd-Ronning, N.M.; Dai, X.; Zhang, B. On the Structure of Quasi-universal Jets for Gamma-Ray Bursts. Astrophys. J. 2004, 601, 371–379. [Google Scholar] [CrossRef]
- Dai, X.; Zhang, B. A Global Test of a Quasi-universal Gamma-Ray Burst Jet Model through Monte Carlo Simulations. Astrophys. J. 2005, 621, 875–883. [Google Scholar] [CrossRef][Green Version]
- Lamb, D.Q.; Donaghy, T.Q.; Graziani, C. A Unified Jet Model of X-Ray Flashes, X-Ray-rich Gamma-Ray Bursts, and Gamma-Ray Bursts. I. Power-Law-shaped Universal and Top-Hat-shaped Variable Opening Angle Jet Models. Astrophys. J. 2005, 620, 355–378. [Google Scholar] [CrossRef]
- Pescalli, A.; Ghirlanda, G.; Salafia, O.S.; Ghisellini, G.; Nappo, F.; Salvaterra, R. Luminosity function and jet structure of Gamma-Ray Burst. Mon. Not. R. Astron. Soc. 2015, 447, 1911–1921. [Google Scholar] [CrossRef]
- Salafia, O.S.; Ghisellini, G.; Pescalli, A.; Ghirlanda, G.; Nappo, F. Structure of gamma-ray burst jets: Intrinsic versus apparent properties. Mon. Not. R. Astron. Soc. 2015, 450, 3549–3558. [Google Scholar] [CrossRef]
- Xie, X.; MacFadyen, A. Off-axis Synchrotron Light Curves from Full-time-domain Moving-mesh Simulations of Jets from Massive Stars. Astrophys. J. 2019, 880, 135. [Google Scholar] [CrossRef]
- Kumar, P.; Granot, J. The Evolution of a Structured Relativistic Jet and Gamma-Ray Burst Afterglow Light Curves. Astrophys. J. 2003, 591, 1075–1085. [Google Scholar] [CrossRef]
- Rossi, E.M.; Lazzati, D.; Salmonson, J.D.; Ghisellini, G. The polarization of afterglow emission reveals γ-ray bursts jet structure. Mon. Not. R. Astron. Soc. 2004, 354, 86–100. [Google Scholar] [CrossRef]
- Takami, K.; Yamazaki, R.; Sakamoto, T.; Sato, G. Probing the Structure of Gamma-Ray Burst Jets with the Steep Decay Phase of their Early X-Ray Afterglows. Astrophys. J. 2007, 663, 1118–1124. [Google Scholar] [CrossRef][Green Version]
- Lamb, G.P.; Kann, D.A.; Fernández, J.J.; Mandel, I.; Levan, A.J.; Tanvir, N.R. GRB jet structure and the jet break. Mon. Not. R. Astron. Soc. 2021, 506, 4163–4174. [Google Scholar] [CrossRef]
- Beniamini, P.; Nakar, E. Observational constraints on the structure of gamma-ray burst jets. Mon. Not. R. Astron. Soc. 2019, 482, 5430–5440. [Google Scholar] [CrossRef]
- Aksulu, M.D.; Wijers, R.A.M.J.; van Eerten, H.J.; van der Horst, A.J. Exploring the GRB population: Robust afterglow modelling. arXiv 2021, arXiv:2106.14921. [Google Scholar] [CrossRef]
- Lamb, G.P.; Kobayashi, S. Electromagnetic counterparts to structured jets from gravitational wave detected mergers. Mon. Not. R. Astron. Soc. 2017, 472, 4953–4964. [Google Scholar] [CrossRef]
- Lazzati, D.; Deich, A.; Morsony, B.J.; Workman, J.C. Off-axis emission of short γ-ray bursts and the detectability of electromagnetic counterparts of gravitational-wave-detected binary mergers. Mon. Not. R. Astron. Soc. 2017, 471, 1652–1661. [Google Scholar] [CrossRef]
- Perego, A.; Rosswog, S.; Cabezón, R.M.; Korobkin, O.; Käppeli, R.; Arcones, A.; Liebendörfer, M. Neutrino-driven winds from neutron star merger remnants. Mon. Not. R. Astron. Soc. 2014, 443, 3134–3156. [Google Scholar] [CrossRef]
- Rosswog, S.; Liebendörfer, M.; Thielemann, F.K.; Davies, M.B.; Benz, W.; Piran, T. Mass ejection in neutron star mergers. Astron. Astrophys. 1999, 341, 499–526. [Google Scholar]
- Hotokezaka, K.; Kiuchi, K.; Kyutoku, K.; Okawa, H.; Sekiguchi, Y.i.; Shibata, M.; Taniguchi, K. Mass ejection from the merger of binary neutron stars. Phys. Rev. D 2013, 87, 024001. [Google Scholar] [CrossRef]
- Beniamini, P.; Granot, J.; Gill, R. Afterglow light curves from misaligned structured jets. Mon. Not. R. Astron. Soc. 2020, 493, 3521–3534. [Google Scholar] [CrossRef]
- Lamb, G.P.; Mandel, I.; Resmi, L. Late-time evolution of afterglows from off-axis neutron star mergers. Mon. Not. R. Astron. Soc. 2018, 481, 2581–2589. [Google Scholar] [CrossRef]
- Ryan, G.; van Eerten, H.; Piro, L.; Troja, E. Gamma-Ray Burst Afterglows in the Multimessenger Era: Numerical Models and Closure Relations. Astrophys. J. 2020, 896, 166. [Google Scholar] [CrossRef]
- Wang, H.; Giannios, D. Multimessenger Parameter Estimation of GW170817: From Jet Structure to the Hubble Constant. Astrophys. J. 2021, 908, 200. [Google Scholar] [CrossRef]
- van Eerten, H.; MacFadyen, A. Gamma-Ray Burst Afterglow Light Curves from a Lorentz-boosted Simulation Frame and the Shape of the Jet Break. Astrophys. J. 2013, 767, 141. [Google Scholar] [CrossRef]
- Lithwick, Y.; Sari, R. Lower Limits on Lorentz Factors in Gamma-Ray Bursts. Astrophys. J. 2001, 555, 540–545. [Google Scholar] [CrossRef]
- Matsumoto, T.; Nakar, E.; Piran, T. Generalized compactness limit from an arbitrary viewing angle. Mon. Not. R. Astron. Soc. 2019, 486, 1563–1573. [Google Scholar] [CrossRef]
- Lamb, G.P.; Kobayashi, S. Low-Γ Jets from Compact Stellar Mergers: Candidate Electromagnetic Counterparts to Gravitational Wave Sources. Astrophys. J. 2016, 829, 112. [Google Scholar] [CrossRef]
- Sari, R.; Piran, T.; Narayan, R. Spectra and Light Curves of Gamma-Ray Burst Afterglows. Astrophys. J. Lett. 1998, 497, L17–L20. [Google Scholar] [CrossRef]
- Kann, D.A.; Klose, S.; Zhang, B.; Covino, S.; Butler, N.R.; Malesani, D.; Nakar, E.; Wilson, A.C.; Antonelli, L.A.; Chincarini, G.; et al. The Afterglows of Swift-era Gamma-Ray Bursts. II. Type I GRB versus Type II GRB Optical Afterglows. Astrophys. J. 2011, 734, 96. [Google Scholar] [CrossRef]
- Agüí Fernández, J.F.; Thöne, C.C.; Kann, D.A.; de Ugarte Postigo, A.; Selsing, J.; Schady, P.; Yates, R.M.; Greiner, J.; Oates, S.R.; Malesani, D.; et al. GRB 160410A: The first Chemical Study of the Interstellar Medium of a Short GRB. arXiv 2021, arXiv:2109.13838. [Google Scholar]
- Kobayashi, S.; Sari, R. Ultraefficient Internal Shocks. Astrophys. J. 2001, 551, 934–939. [Google Scholar] [CrossRef]
- Kobayashi, S.; Ryde, F.; MacFadyen, A. Luminosity and Variability of Collimated Gamma-Ray Bursts. Astrophys. J. 2002, 577, 302–310. [Google Scholar] [CrossRef]
- Gottlieb, O.; Levinson, A.; Nakar, E. High efficiency photospheric emission entailed by formation of a collimation shock in gamma-ray bursts. Mon. Not. R. Astron. Soc. 2019, 488, 1416–1426. [Google Scholar] [CrossRef]
- Ryan, G.; van Eerten, H.; MacFadyen, A.; Zhang, B.B. Gamma-Ray Bursts are Observed Off-axis. Astrophys. J. 2015, 799, 3. [Google Scholar] [CrossRef]
- Jin, Z.P.; Li, X.; Wang, H.; Wang, Y.Z.; He, H.N.; Yuan, Q.; Zhang, F.W.; Zou, Y.C.; Fan, Y.Z.; Wei, D.M. Short GRBs: Opening Angles, Local Neutron Star Merger Rate, and Off-axis Events for GRB/GW Association. Astrophys. J. 2018, 857, 128. [Google Scholar] [CrossRef]
- Lamb, G.P.; Tanvir, N.R.; Levan, A.J.; de Ugarte Postigo, A.; Kawaguchi, K.; Corsi, A.; Evans, P.A.; Gompertz, B.; Malesani, D.B.; Page, K.L.; et al. Short GRB 160821B: A Reverse Shock, a Refreshed Shock, and a Well-sampled Kilonova. Astrophys. J. 2019, 883, 48. [Google Scholar] [CrossRef]
- Preau, E.; Ioka, K.; Mészáros, P. Neutron conversion-diffusion: A new model for structured short gamma-ray burst jets compatible with GRB 170817. Mon. Not. R. Astron. Soc. 2021, 503, 2499–2513. [Google Scholar] [CrossRef]
- Gompertz, B.P.; Levan, A.J.; Tanvir, N.R.; Hjorth, J.; Covino, S.; Evans, P.A.; Fruchter, A.S.; González-Fernández, C.; Jin, Z.P.; Lyman, J.D.; et al. The Diversity of Kilonova Emission in Short Gamma-Ray Bursts. Astrophys. J. 2018, 860, 62. [Google Scholar] [CrossRef]
- Rossi, A.; Stratta, G.; Maiorano, E.; Spighi, D.; Masetti, N.; Palazzi, E.; Gardini, A.; Melandri, A.; Nicastro, L.; Pian, E.; et al. A comparison between short GRB afterglows and kilonova AT2017gfo: Shedding light on kilonovae properties. Mon. Not. R. Astron. Soc. 2020, 493, 3379–3397. [Google Scholar] [CrossRef]
- Ascenzi, S.; Coughlin, M.W.; Dietrich, T.; Foley, R.J.; Ramirez-Ruiz, E.; Piranomonte, S.; Mockler, B.; Murguia-Berthier, A.; Fryer, C.L.; Lloyd-Ronning, N.M.; et al. A luminosity distribution for kilonovae based on short gamma-ray burst afterglows. Mon. Not. R. Astron. Soc. 2019, 486, 672–690. [Google Scholar] [CrossRef]
- Kawaguchi, K.; Shibata, M.; Tanaka, M. Diversity of Kilonova Light Curves. Astrophys. J. 2020, 889, 171. [Google Scholar] [CrossRef]
- Hamidani, H.; Kiuchi, K.; Ioka, K. Jet propagation in neutron star mergers and GW170817. Mon. Not. R. Astron. Soc. 2020, 491, 3192–3216. [Google Scholar] [CrossRef]
- Jin, Z.P.; Hotokezaka, K.; Li, X.; Tanaka, M.; D’Avanzo, P.; Fan, Y.Z.; Covino, S.; Wei, D.M.; Piran, T. The Macronova in GRB 050709 and the GRB-macronova connection. Nat. Commun. 2016, 7, 12898. [Google Scholar] [CrossRef]
- Gao, H.; Zhang, B.; Lü, H.J.; Li, Y. Searching for Magnetar-powered Merger-novae from Short GRBS. Astrophys. J. 2017, 837, 50. [Google Scholar] [CrossRef]
- Jin, Z.P.; Li, X.; Cano, Z.; Covino, S.; Fan, Y.Z.; Wei, D.M. The Light Curve of the Macronova Associated with the Long-Short Burst GRB 060614. Astrophys. J. Lett. 2015, 811, L22. [Google Scholar] [CrossRef]
- Tanvir, N.R.; Levan, A.J.; Fruchter, A.S.; Hjorth, J.; Hounsell, R.A.; Wiersema, K.; Tunnicliffe, R.L. A ‘kilonova’ associated with the short-duration γ-ray burst GRB 130603B. Nature 2013, 500, 547–549. [Google Scholar] [CrossRef]
- Troja, E.; Castro-Tirado, A.J.; Becerra González, J.; Hu, Y.; Ryan, G.S.; Cenko, S.B.; Ricci, R.; Novara, G.; Sánchez-Rámirez, R.; Acosta-Pulido, J.A.; et al. The afterglow and kilonova of the short GRB 160821B. Mon. Not. R. Astron. Soc. 2019, 489, 2104–2116. [Google Scholar] [CrossRef]
- Troja, E.; Ryan, G.; Piro, L.; van Eerten, H.; Cenko, S.B.; Yoon, Y.; Lee, S.K.; Im, M.; Sakamoto, T.; Gatkine, P.; et al. A luminous blue kilonova and an off-axis jet from a compact binary merger at z = 0.1341. Nat. Commun. 2018, 9, 4089. [Google Scholar] [CrossRef] [PubMed]
- Fong, W.; Margutti, R.; Chornock, R.; Berger, E.; Shappee, B.J.; Levan, A.J.; Tanvir, N.R.; Smith, N.; Milne, P.A.; Laskar, T.; et al. The Afterglow and Early-type Host Galaxy of the Short GRB 150101B at z = 0.1343. Astrophys. J. 2016, 833, 151. [Google Scholar] [CrossRef]
- Fong, W.; Laskar, T.; Rastinejad, J.; Escorial, A.R.; Schroeder, G.; Barnes, J.; Kilpatrick, C.D.; Paterson, K.; Berger, E.; Metzger, B.D.; et al. The Broadband Counterpart of the Short GRB 200522A at z = 0.5536: A Luminous Kilonova or a Collimated Outflow with a Reverse Shock? Astrophys. J. 2021, 906, 127. [Google Scholar] [CrossRef]
- Gal-Yam, A.; Fox, D.B.; Price, P.A.; Ofek, E.O.; Davis, M.R.; Leonard, D.C.; Soderberg, A.M.; Schmidt, B.P.; Lewis, K.M.; Peterson, B.A.; et al. A novel explosive process is required for the γ-ray burst GRB 060614. Nature 2006, 444, 1053–1055. [Google Scholar] [CrossRef]
- Gehrels, N.; Norris, J.P.; Barthelmy, S.D.; Granot, J.; Kaneko, Y.; Kouveliotou, C.; Markwardt, C.B.; Mészáros, P.; Nakar, E.; Nousek, J.A.; et al. A new γ-ray burst classification scheme from GRB060614. Nature 2006, 444, 1044–1046. [Google Scholar] [CrossRef]
- Perley, D.A.; Metzger, B.D.; Granot, J.; Butler, N.R.; Sakamoto, T.; Ramirez-Ruiz, E.; Levan, A.J.; Bloom, J.S.; Miller, A.A.; Bunker, A.; et al. GRB 080503: Implications of a Naked Short Gamma-Ray Burst Dominated by Extended Emission. Astrophys. J. 2009, 696, 1871–1885. [Google Scholar] [CrossRef]
- Knust, F.; Greiner, J.; van Eerten, H.J.; Schady, P.; Kann, D.A.; Chen, T.W.; Delvaux, C.; Graham, J.F.; Klose, S.; Krühler, T.; et al. Long optical plateau in the afterglow of the short GRB 150424A with extended emission. Evidence for energy injection by a magnetar? Astron. Astrophys. 2017, 607, A84. [Google Scholar] [CrossRef]
- Gompertz, B.P.; Levan, A.J.; Tanvir, N.R. A Search for Neutron Star-Black Hole Binary Mergers in the Short Gamma-Ray Burst Population. Astrophys. J. 2020, 895, 58. [Google Scholar] [CrossRef]
- Takahashi, K.; Ioka, K. Diverse jet structures consistent with the off-axis afterglow of GRB 170817A. Mon. Not. R. Astron. Soc. 2021, 501, 5746–5756. [Google Scholar] [CrossRef]
- Lamb, G.P.; Levan, A.J.; Tanvir, N.R. GRB 170817A as a Refreshed Shock Afterglow Viewed Off-axis. Astrophys. J. 2020, 899, 105. [Google Scholar] [CrossRef]
- Salafia, O.S.; Ghirlanda, G.; Ascenzi, S.; Ghisellini, G. On-axis view of GRB 170817A. Astron. Astrophys.Astron. Astrophys. 2019, 628, A18. [Google Scholar] [CrossRef]
- Fong, W.; Blanchard, P.K.; Alexander, K.D.; Strader, J.; Margutti, R.; Hajela, A.; Villar, V.A.; Wu, Y.; Ye, C.S.; Berger, E.; et al. The Optical Afterglow of GW170817: An Off-axis Structured Jet and Deep Constraints on a Globular Cluster Origin. Astrophys. J. Lett. 2019, 883, L1. [Google Scholar] [CrossRef]
- Mogushi, K.; Cavaglià, M.; Siellez, K. Jet Geometry and Rate Estimate of Coincident Gamma-Ray Burst and Gravitational-wave Observations. Astrophys. J. 2019, 880, 55. [Google Scholar] [CrossRef]
- Tan, W.W.; Yu, Y.W. The Jet Structure and the Intrinsic Luminosity Function of Short Gamma-Ray Bursts. Astrophys. J. 2020, 902, 83. [Google Scholar] [CrossRef]








| Model | (rad) | (log erg sr−1) | a | b | |||
|---|---|---|---|---|---|---|---|
| th50 | |||||||
| gs50 | |||||||
| Averaged |
| GRB | Ref. | p | Ref. | ||||
|---|---|---|---|---|---|---|---|
| 050709 | 0.05 | [64,67] | 2.31 | [6] | 0.047 | 1.29 | −3.00 |
| 050724 | 0.001 | [68] | 2.29 | [6] | 0.160 | 0.11 | −1.00 |
| 060614 | 0.077, 0.1 | [64,67] | 2.40 | [69] | 0.042 | 1.69 | −3.30 |
| 061006 | 0.01 | [68] | 2.39 | [6] | 0.078 | 0.48 | −2.30 |
| 070714B | 0.01 | [68] | 2.30 | [6] | 0.078 | 0.48 | −0.30 |
| 080905A * | 0.007 | [64] | 2.06 | [6] | 0.043 | 0.16 | −2.15 |
| 130603B | 0.03, 0.01–0.1, 0.075 | [64,67,70] | 2.70 | [6] | 0.056 | 0.94 | −1.00 |
| 150424A | 0.1 | [64] | 2.30 | [64] | 0.040 | 1.86 | −1.40 |
| 160821B * | 0.01, 0.17, <0.006 | [60,64,71] | 2.30 | [60] | 0.038 | 0.20 | −2.00 |
| 150101B | >0.02, >0.1, 0.037 | [64,72,73] | – | – | – | – | – |
| 200522A | 0.1 | [74] | – | – | – | – | – |
Publisher’s Note: MDPI stays neutral with regard to jurisdictional claims in published maps and institutional affiliations. |
© 2022 by the authors. Licensee MDPI, Basel, Switzerland. This article is an open access article distributed under the terms and conditions of the Creative Commons Attribution (CC BY) license (https://creativecommons.org/licenses/by/4.0/).
Share and Cite
Lamb, G.P.; Nativi, L.; Rosswog, S.; Kann, D.A.; Levan, A.; Lundman, C.; Tanvir, N. Inhomogeneous Jets from Neutron Star Mergers: One Jet to Rule Them All. Universe 2022, 8, 612. https://doi.org/10.3390/universe8120612
Lamb GP, Nativi L, Rosswog S, Kann DA, Levan A, Lundman C, Tanvir N. Inhomogeneous Jets from Neutron Star Mergers: One Jet to Rule Them All. Universe. 2022; 8(12):612. https://doi.org/10.3390/universe8120612
Chicago/Turabian StyleLamb, Gavin P., Lorenzo Nativi, Stephan Rosswog, D. Alexander Kann, Andrew Levan, Christoffer Lundman, and Nial Tanvir. 2022. "Inhomogeneous Jets from Neutron Star Mergers: One Jet to Rule Them All" Universe 8, no. 12: 612. https://doi.org/10.3390/universe8120612
APA StyleLamb, G. P., Nativi, L., Rosswog, S., Kann, D. A., Levan, A., Lundman, C., & Tanvir, N. (2022). Inhomogeneous Jets from Neutron Star Mergers: One Jet to Rule Them All. Universe, 8(12), 612. https://doi.org/10.3390/universe8120612

