Abstract
The Kepler space telescope has detected a large number of variable stars. We summarize 2261 Scuti and hybrid variables in the literature, and perform time-frequency analysis on these variable stars. Two non-eclipsing binary systems, KIC 5080290 and KIC 5480114, are newly discovered. They both pass more detailed aperture photometry and bright star contamination checks. The results of the time-frequency analysis demonstrate that the companions are stellar objects with orbital periods of approximately 265 days and 445 days, respectively. The orbital parameters of the two systems and the lower mass limits of the companions are obtained. The primary stars of both systems are slightly evolved intermediate-mass stars. The detection of intermediate-mass binary stars is helpful to understand the formation and evolution mechanism of binary stars in this mass region.
1. Introduction
Pulsating variable stars have historically made important contributions to the development of astronomy. However, the ground-based observations are limited by the atmospheric seeing and diurnal effect. This affects the detection of high-frequency low-amplitude pulsating variable stars, such as Scuti variable stars.
Scuti variable stars are radial and non-radial pulsation variable stars with short periods and low amplitudes [1,2,3]. They are mainly located in the lower part of the instability strip crossing the main sequence zone on the Hertzsprung-Russell diagram. Their effective temperatures are usually higher than that of the sun, and the masses are between approximately 1.5 and 2.5 times of solar mass. Their low amplitudes and high pulsating frequencies make it difficult to obtain a complete frequency spectrum using ground-based observations. Sometimes ground observations can even mislead by introducing alias frequencies. With the development of space-based observations, astronomers now have much more discoveries and deeper studies on Scuti variable stars. This is due to the absence of the atmosphere in space, the continuous monitoring conditions and the steady pointing of the telescope.
Space telescopes have detected a large number of Scuti variable stars [4,5,6,7,8,9,10,11,12,13], such as MOST [14], Corot [15] and Kepler [16]. These observations reveal more details of Scuti variables, e.g., those with a large number of pulsation modes [17,18], long-term frequency or amplitude modulation [19], rotational splittings [20,21,22,23], and regular frequency spacings [24,25,26]. With these observations, it is therefore possible to apply statistical studies and physical analysis to Scuti variables. The empirical relationship between large separation and stellar mean density is obtained [27,28,29]. The physical parameters of the stellar core can be calculated [30,31]. The mode coupling mechanism is established [19,32,33]. It is also found that very regular high-frequency pulsation modes are related to young intermediate-mass stars [34].
Among these discoveries, detecting binary stars containing a Scuti variable is an important research field. It is still not well understood how binary stars in the intermediate-mass regime form [35]. It is therefore necessary to expand the number of such binary systems to study the formation scenario. The constant-amplitude pulsation modes of Scuti variables provide a new method for detection, namely the analysis of the light-travel time effect.
This method has been successfully applied to Scuti variables in Kepler’s field of view. Shibahashi & Kurtz [36] analysed the influence of the companion star on the frequency spectrum of the pulsating star, and gave the theoretical solution of the time-frequency analysis method. Murphy et al. [37] then demonstrated that this method is effective in detecting gravitational companions with known binary stars of Kepler. Since then, a series of papers have been published on the time-frequency analysis of Scuti variable’s pulsation modes, and discovered a lot of non-eclipsing binaries [35,38,39,40,41]. Statistical analysis was also performed for these binaries [35]. In addition, it is suggested that Scuti variables are the most suitable pulsating variables for detecting non-eclipsing binary stars based on a large number of simulations [42].
In this paper, we summarized a catalog containing Scuti and hybrid variables in the literature, and detected two new non-eclipsing binary star systems by calculating the time delay values of pulsation modes. Section 2 presents the default and custom aperture photometry for Kepler data, as well as the collected catalog of Scuti and hybrid variables. Section 3 describes the principle and the process of time-frequency analysis for light travel time. Section 4 presents the results and discussions. Finally, we give a brief summary in Section 5.
2. Observations
2.1. Kepler Data
We used the data from the Kepler space telescope for analysis. The data are suitable for detecting binary systems containing a pulsating variable star due to the high accuracy, long time span and continuous observation. Kepler was launched in 2009 and obtained more than four years of photometric data until 2013, when its two reaction wheels broke down. The pointing of Kepler was very steady, which contributed to a photometric precision of about 20 ppm for a Sun-like star of 12 mag with an integration time of 6.5 h. The typical pulsation amplitude of a Scuti variable is in the order of mmag [43], thus making it possible to be characterized via time-frequency analysis using Kepler 29.5-min long cadence data.
There are two main types of data for the Kepler space telescope. The first type is light curve data, including two subclasses: simple aperture photometry (SAP) and Pre-search Data Conditioning (PDC) flux. SAP flux is the raw photometry containing various kinds of noises. PDC flux has removed systematic effects by generating a cotrending basis vector set with a subset of quiet stars. The other type of data is Target Pixel File (TPF). It is a file containing the original CCD pixel observations centered on a single target star.
SAP data retain all the signatures of the original observation, including not only the real signal but also the instrumental noises. PDC data can be used directly in most cases, since most of the instrumental and observational noises have been corrected by the Kepler data processing pipeline. Occasionally, however, additional noises can be unexpectedly introduced to PDC data. The benefit of TPF data is that it is more free and flexible. Researchers can analyse the foreground or background sources of contamination for a specific target, and customize the photometric aperture to obtain a more accurate and precise light curve.
In our work, we used both PDC and TPF data. PDC data can be directly used for time-frequency analysis. In addition, aperture photometry was re-performed on our target stars. This is because sometimes the Kepler’s default aperture is not very accurate. The Photometric Analysis module of Kepler determines the optimal aperture by accreting pixels to maximize signal-to-noise ratio and minimize the transit noise metric Combined Differential Photometric Precision. Some pixels might be occasionally dominated by shot noise over signal. We therefore produce our own light curves to minimize noise based on the observed data. As shown in the left panel of Figure 1, some dark background pixels are assigned to the signal aperture, while some pixels containing starlight are not counted. We therefore adopted all pixels with flux higher than three standard deviations above the median brightness, which can better distinguish the target star from the background and include the starlight from the target star as much as possible to improve the observation accuracy, as shown in the right panel of Figure 1. Background subtraction has been performed.This research made use of Lightkurve, a Python package for Kepler and TESS data analysis [44]. All Kepler data can be downloaded from the Mikulski Archive for Space Telescopes database (MAST; https://archive.stsci.edu/kepler, accessed on 1 September 2022).
Figure 1.
Pixel data of KIC 5080290 in Quarter 1. The left and right panels illustrate the default aperture used by the Kepler pipeline and the custom aperture adopted in this paper, respectively. Photometric apertures are highlighted with red slashes. The black point is the target star KIC 5080290. The color bar representing stellar flux is on the right side of each panel.
2.2. Scuti and Hybrid Variables
Scuti and hybrid variables have been studied in batches in the literature. Grigahcène et al. [9] selected 118 Scuti and hybrid variables from 554 variables provided by the Kepler working group using Q0-Q1 data. Uytterhoeven et al. [12] used the first-year Kepler observations and found 377 Scuti and hybrid variables from 750 candidate A-F type stars in the Kepler Asteroseismic Science Operations Center (KASOC) database. Balona [5] performed their own corrections to Q0-Q12 SAP flux, and detected 1704 Scuti variables with stellar effective temperatures greater than 6500 K for all stars or greater than 5000 K for stars brighter than 12.5 magnitude. Note that although 5000 K is too low for a typical Scuti variable, there are still some cool variable stars that have frequency spectrum characteristics similar to those of Scuti variables. These variables are usually evolved from zero-age main-sequence and more metal-poor than the normal Scuti variables [45]. Bradley et al. [8] adopted stricter constrains on (6200–8200 K), (3.8–4.5), and Kepler magnitude (mainly between 14 and 15.5), which resulted in 84 Scuti candidates and 32 hybrid candidates. Bowman et al. [7] used all Kepler data (Q0–Q17) and found 983 Scuti and hybrid variables with K and amplitudes greater than 0.10 mmag. Murphy et al. [46] classified a sample of over 15,000 Kepler A and F stars, and obtained 1988 Scuti variables with temperatures between 6500 and 10,000 K. In addition, we also considered candidates from the KASOC database. Finally, we obtained a catalog of 2261 Scuti and hybrid variables by summarizing and merging targets in the above papers. The catalog can be downloaded from Github (https://github.com/ymnju/Delta-Scuti-and-Hybrid-Variables, accessed on 1 September 2022).
3. Time-Frequency Analysis
3.1. Light-Travel Time Effect
For a binary star system, the Doppler effect for light occurs when a star moves following Kepler motion with respect to the observer. The Doppler effect reflects the phase information of stellar motion, which involves orbit and mass information. The constant pulsation modes can play the role of a precise clock. The Kepler motion introduces the same Doppler shift to all the pulsation modes. It is therefore accessible to detect the gravitational companion by applying time-frequency analysis, and obtain the analytical solution including orbit and mass information by combining kinematic laws.
Compared with the radial velocity method, the light-travel time effect is suitable for longer orbital periods, because the longer the orbital period is, the larger the distance of the pulsating star relative to the barycenter. The light-travel time effect can be more obvious for larger semi-major axis. Another advantage of this method is that the orbital configuration of the companion star is not as strict as that of the eclipsing method, which requires an orbital inclination close to 90 degrees. The light-travel time method is effective as long as the star’s motion has a displacement along the line of sight.
For a binary star system with a pulsating variable, Kepler motion causes periodic and regular changes in the pulsation frequency. All the pulsation frequencies have the same time delay. Considering the light-travel time effect, the observed luminosity of the star can be expressed as [39]:
where and are the pulsation amplitude and phase of mode , respectively. The light-travel time effect introduces additional time delay
where are the orbital elements of the pulsating star, and c is the speed of light. The key step is to obtain the precise values of , and then inverse the binary orbital parameters according to Equation (2).
3.2. Data Processing Flow
Below we describe our data processing flow. First, we prepared the photometric data, excluding targets with insufficient data. When analysing each target star, we separated the light curve into segments to further remove long-term trends. The segmentation criterion is that there is an obvious gap between two adjacent data points. We considered first- to tenth-order polynomial fitting to detrend, and adopted the fitting results with the minimum chi-square. Actually, the final results demonstrate that usually the best fit was less than third order. An incorrect high-order fitting will introduce additional variability rather than remove it. At the same time of detrending, we also carried out flux normalization on the light curve.
Next, we performed frequency spectrum analysis on each light curve. We chose the Fast Fourier Transform (FFT) method to obtain the frequency spectrum, and then used the Discrete Fourier Transform DFT; [47] method to calculate the phase modulation for the pulsation frequency. We first obtained evenly spaced light curves by linear interpolation. To improve the resolution of the frequency spectrum, we also applied the time-domain zero padding method to the light curves. With the FFT frequency spectrum, we only considered frequencies that were greater than 5 day. Considering the super-Nyquist phenomenon [48], we also calculated the mirror frequency of each FFT peak with respect to the Nyquist frequency. The one with a higher amplitude was taken as the real pulsation signal. Note that when comparing the mirror peaks, we used DFT and only calculated the frequency range of day around the two mirror frequencies.
Once the true pulsation frequencies were obtained, time-frequency analysis was performed for each frequency using Equation (1). The light curve of the target star was divided into many segments, each spanning 10.01 or 20.01 days. Then, each segment was fitted independently. In the process of time-frequency analysis, the frequency was fixed, and the pulsating amplitude and time delay were the parameters to be fitted. Each parameter was set to a certain fitting range. For , the range was between and , so that satisfying . The Levenberg-Marquardt Least Squares method [49,50] was used for fitting. To obtain the best-fitting results, we randomly scattered the initial parameters within the allowable fitting range, and iteratively fitted each segment of the light curve for 50 times. The set of values with the smallest chi-square was taken as the optimal fitting result. The same data-processing flow was applied to each segment of the light curve for each frequency. Then, we obtained the time delay for each pulsation frequency of the star. The average time delay of all the stable frequencies was calculated as the real .
3.3. Orbit Inversion
According to Equation (2), the orbit parameters to be solved include the projected semimajor axis , the orbital eccentricity e, the orbital period P, the angle between the node and the periastron , and the reference epoch. We have considered a linear long-term trend caused by inaccurate pulsation in our fitting. These orbital parameters were solved by modifying an RV fitting code [51]. Similar to RV, the Light-travel time method cannot distinguish the mass of the companion star from the orbital inclination. We also used a mass function, as suggested by Murphy et al. [35], to describe the mass of the companion star. The mass function can be expressed as
where and are the mass of the target star and the invisible companion, respectively. Equation (3) has considered Kepler’s third law and the definition of the center of mass
The mass of the companion star satisfies
4. Results and Discussions
In Section 2.2, we have obtained a catalog of 2261 Scuti and hybrid variables. We then performed a time-frequency analysis on these variable stars according to the data processing flow, as described in Section 3.2. After excluding all confirmed binary stars, two newly discovered non-eclipsing systems, KIC 5080290 and 5480114, were obtained and the orbit inversion was performed using the package described in Section 3.3. We describe these two systems separately, as follows.
4.1. KIC 5080290
This target is relatively bright with a Kepler magnitude of 9.507. The Kepler space telescope, therefore, was able to obtain its accurate observations, with a very high signal-to-noise ratio frequency spectrum. According to Gaia’s observations, there is only one 19.5 magnitude star within a radius of 12 arcseconds (∼3 pixels) around KIC 5080290. Considering Kepler’s observation capabilities, it would be unlikely to detect pulsations from a 19-magnitude star. Therefore, the light curve of KIC 5080290 can be considered contamination-free. There is no transit in the star’s light curve. However, several flares were detected and considered to originate from KIC 5080290 [52]. Several transient brightenings can be observed in the light curve.
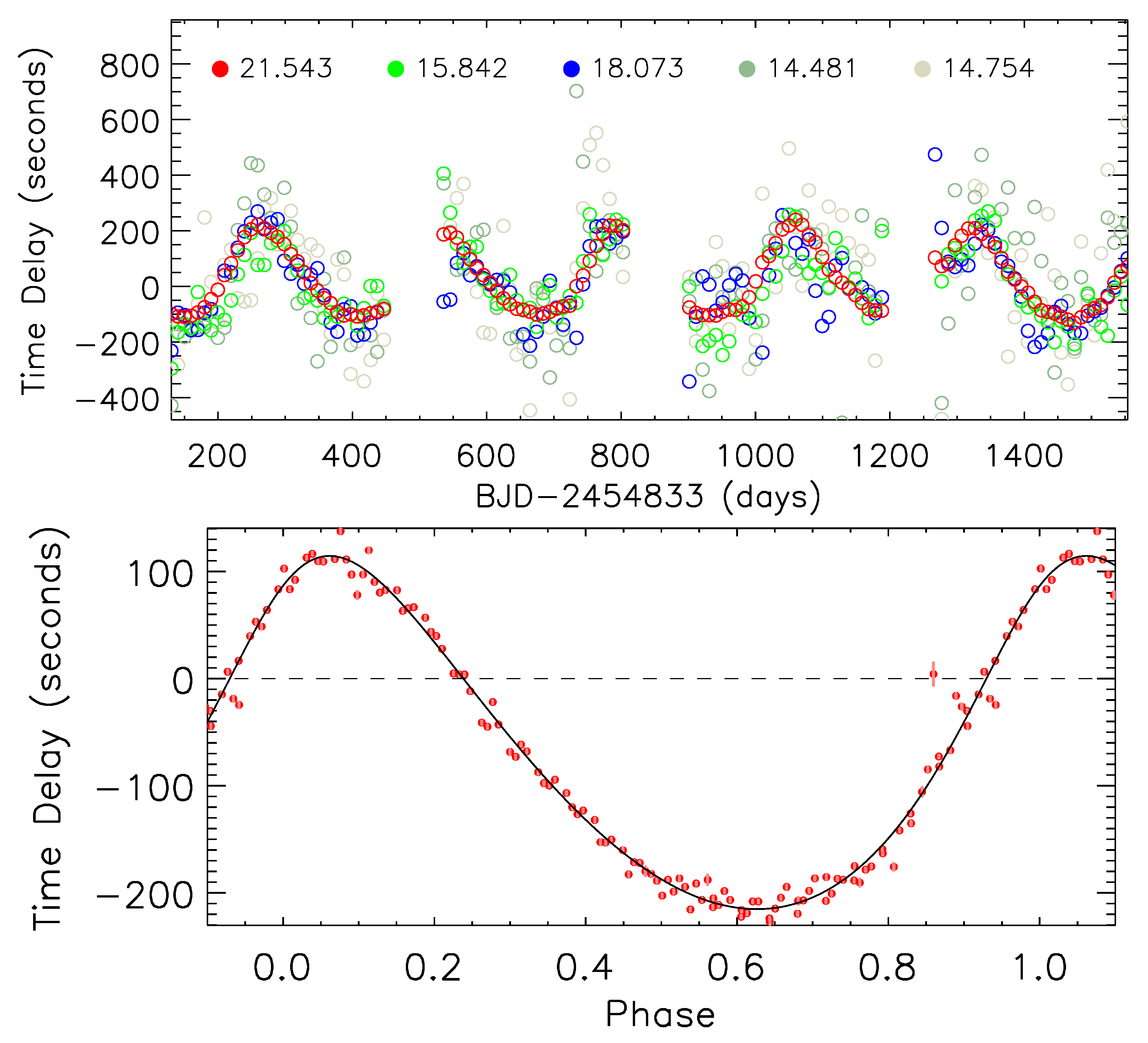
Uytterhoeven et al. [12] first found that KIC 5080290 has pulsation modes above 5 day and classified it as a candidate Scuti variable star. Even though the amplitude of its strongest pulsation mode is only 0.2 mmg, the stellar brightness still ensures a signal-to-noise ratio of greater than 200, as shown in Figure 2. There are five pulsation modes with frequencies larger than 5 day and signal-to-noise ratios greater than 10. All of these pulsations have consistent phase modulations as shown in the top panel of Figure 3, although the lower-amplitude results are more disperse. The time-frequency analysis of the strongest pulsation mode reveals an amplitude of ∼170 s in the time-delay curve. The large time delay indicates that the companion is a stellar object, and not a planet. The orbital period is approximately 265 days, which is far away from the false period (approximately 370 days) caused by Kepler’s revolution. The orbital eccentricity is and the mass function is . The primary star has a mass of and a radius of approximately , and tends to evolve slightly. Combing the mass of the primary star, the lower limit of the mass of the companion star is approximately 0.7 . The orbital parameters of KIC 5080290 are shown in Table 1.
Figure 2.
Normalized detrended light curve (top) and frequency spectrum (bottom) of KIC 5080290.
Figure 3.
Time delay analysis of KIC 5080290. Top: Time delay curves of the pulsation modes. Legends of different colors represent different pulsation frequencies, arranged from left to right by amplitude. Red color represents the strongest pulsation. Bottom: Phased time delay curve of the strongest pulsation. The red points with error bars are the time delay data. The black line is the fitting result.
Table 1.
Fitting parameters of KIC 5080290 and 5480114.
4.2. KIC 5480114
KIC 5480114, namely Gaia DR2 2075055312389338496, has a Kepler magnitude of 11.772. Within the radius of 12 arcseconds, there are two stars with magnitudes less than 20 in the Gaia band, as shown in Figure 4. They are Gaia DR2 2075055316701158016 of 16.258 mag and Gaia DR2 2075055312394212864 of 12.507 mag. The former star is only 1.6 percent as bright as the target source and the latter is 50 percent. Through frequency spectrum analysis at the pixel level, it can be confirmed that the pulsation signal is from KIC 5480114. As shown in Figure 5, the pixel where KIC 5480114 is located has the highest pulsation signal-to-noise ratio. Although serious contamination exists in aperture photometry, it does not affect the time-frequency analysis of the target star. The contamination from the two nearby stars only reduces the frequency amplitude, which is equivalent to increasing the uncertainties in the time-delay curve. KIC 5480114 also has several flares. In addition, although KIC 5480114 passes the auto-vetting transiting event criteria by the Kepler pipeline, it was found after examining the Validation Reports (https://exoplanetarchive.ipac.caltech.edu/data/KeplerData/005/005480/005480114/tcert/kplr005480114_q1_q17_dr25_obs_tcert.pdf, accessed on 1 September 2022) that the false transit alarm may be caused by stellar activity.
Figure 4.
Similar with Figure 1 but for KIC 5480114. The largest black point in the middle is the target star. KIC 5480114 has one bright neighbor on the left side, and two faint neighbors on the lower and upper right.
Figure 5.
Pixel-level frequency spectrum for KIC 5480114. The red box shows the position of the target star.
The amplitude of the strongest pulsation mode of KIC 5480114 is greater than 1 mmag, as shown in Figure 6, and the signal-to-noise ratio is over 400. KIC 5480114 has a mass of and a radius of approximately , and also tends to be slightly evolved. The ten strongest pulsations of KIC 5480114 were used for time-frequency analysis, as shown in Figure 7. All of the frequencies have consistent long-term variations caused by light travel. Two frequencies are also superimposed with the same short-period variations, which may be caused by mode coupling. After solving the orbit of KIC 5480114 using the strongest pulsation frequency, it is found that the amplitude of its time-delay curve is 214 s, and the orbital period is about 445 days, which indicates that the companion is a stellar object. All the orbital parameters of the system are shown in Table 1.
Figure 6.
Normalized detrended light curve (top) and frequency spectrum (bottom) of KIC 5480114.
Figure 7.
Similar with Figure 3 but for KIC 5480114.
KIC 5080290 and 5480114 has a temperature of K and K (https://exoplanetarchive.ipac.caltech.edu, accessed on 1 September 2022), respectively. They are both cooler than typical Scuti variables, and both have evolved a bit according to their masses and radii. There are two possibilities. One possibility is that the temperatures are incorrect. Although the two stars have passed through the instability zone, the pulsations deep within the envelope do not seem to have been completely dissipated once they reach the surface. In this case, the two target stars in this paper would be the coldest Scuti variables with companion stars, and such systems would provide new research samples for stellar modeling. Another possibility is that the Kepler website provides incorrect parameters for the two targets. On one hand, it is necessary to correct their KIC parameters with more accurate spectral observations, and to give precise limits on the companion objects. On the other hand, the wrong spectral temperature just indicates the presence of a companion object around the target star. The mixing of the two stars might mislead the spectral analysis. Therefore, the target sources in this paper, as well as those with low temperatures in our catalog, deserve further analysis.
5. Conclusions
Based on previous studies, we obtained a catalog containing 2261 Scuti and hybrid variables. After performing time-frequency analysis of pulsating variables in the catalog, and excluding confirmed binary star systems, we obtained two newly discovered non-eclipsing binary systems, namely KIC 5080290 and 5480114. Their orbital periods are both less than the observation span of Kepler, and almost all pulsation modes of each system show the same time delay. It therefore can be confirmed that the two systems are non-eclipsing binary systems. The observation span of Kepler covers several orbital periods, which is helpful to obtain relatively accurate orbital parameters. The results demonstrate that the companion stars of both systems are stellar objects.
The stable observation conditions of Kepler make it possible to accurately characterize the Scuti variable frequency spectrum, which fully demonstrates the necessity of space observation for the study of Scuti variables. After Kepler’s retirement, TESS became the successor to space time-domain astronomy, which is now conducting an all-sky survey. Although most of the stars have only approximately 27 days of observations under the TESS observation strategy, some regions still have up to a year of observations. A longer observation span can not only improve the accuracy of observations, but also facilitate the time-frequency analysis of Scuti variable pulsations. It is expected that TESS will also find plenty of new Scuti variable stars in its field of view. In addition, there are pulsations in Kepler Scuti variables that show longer periods of phase modulation. If combined with TESS observations, we believe some of these long-period non-eclipsing binaries could be further identified.
Funding
This research was funded by the National Natural Science Foundation of China (Grant No. 11803012, 11973028, 11933001).
Data Availability Statement
The data underlying this article were accessed from the Mikulski Archive for Space Telescopes (MAST): https://archive.stsci.edu/ (accessed on 11 November 2022). The derived data generated in this research will be shared on reasonable request to the corresponding author.
Acknowledgments
We appreciate the Kepler group for their contributions on data archive, and the Lightkurve Collaboration for their selfless dedication.
Conflicts of Interest
The authors declare no conflict of interest.
References
- Breger, M. Delta Scuti and related stars. Publ. Astron. Soc. Pac. 1979, 91, 5. [Google Scholar] [CrossRef]
- Breger, M. δ Scuti stars. Delta Scuti and Related Stars: Reference Handbook and Proceedings of the 6th Vienna Workshop in Astrophysics. Astron. Soc. Pac. Conf. Ser. 2000, 210, 3. Available online: https://www.aspbooks.org/a/volumes/article_details/?paper_id=20138 (accessed on 11 November 2022).
- Rodríguez, E.; López-González, M.J.; López de Coca, P. A revised catalogue of δ Sct stars. Astron. Astrophys. Suppl. Ser. 2000, 144, 469. [Google Scholar] [CrossRef]
- Antoci, V.; Cunha, M.S.; Bowman, D.M.; Murphy, S.J.; Kurtz, D.W.; Bedding, T.R.; Borre, C.C.; Christophe, S.; Daszyńska-Daszkiewicz, J.; Fox-Machado, L.; et al. The first view of δ Scuti and γ Doradus stars with the TESS mission. Mon. Not. R. Astron. Soc. 2019, 490, 4040. [Google Scholar] [CrossRef]
- Balona, L.A. Low frequencies in Kepler δ Scuti stars. Mon. Not. R. Astron. Soc. 2014, 437, 1476. [Google Scholar] [CrossRef]
- Balona, L.A.; Dziembowski, W.A. Kepler observations of δ Scuti stars. Mon. Not. R. Astron. Soc. 2011, 417, 591. [Google Scholar] [CrossRef]
- Bowman, D.M.; Kurtz, D.W.; Breger, M.; Murphy, S.J.; Holdsworth, D.L. Amplitude modulation in δ Sct stars: Statistics from an ensemble study of Kepler targets. Mon. Not. R. Astron. Soc. 2016, 460, 1970. [Google Scholar] [CrossRef]
- Bradley, P.A.; Guzik, J.A.; Miles, L.F.; Uytterhoeven, K.; Jackiewicz, J.; Kinemuchi, K. Results of a search for γ Dor and δ Sct stars with the Kepler spacecraft. Astron. J. 2015, 149, 68. [Google Scholar] [CrossRef]
- Grigahcène, A.; Antoci, V.; Balona, L.; Catanzaro, G.; Daszyńska-Daszkiewicz, J.; Guzik, J.A.; Handler, G.; Houdek, G.; Kurtz, D.W.; Marconi, M.; et al. Hybrid γ Doradus-δ Scuti pulsators: New insights into the physics of the oscillations from Kepler observations. Astrophys. J. Lett. 2010, 713, L192. [Google Scholar] [CrossRef]
- Paparó, M.; Kolláth, Z.; Shobbrook, R.R.; Matthews, J.M.; Antoci, V.; Benkő, J.M.; Park, N.-K.; Mirtorabi, M.T.; Luedeke, K.; Kusakin, A.; et al. The Delta Scuti star 38 Eri from the ground and from space. Mon. Not. R. Astron. Soc. 2018, 477, 4362. [Google Scholar] [CrossRef]
- Pribulla, T.; Rucinski, S.; Matthews, J.M.; Kallinger, T.; Kuschnig, R.; Rowe, J.F.; Guenther, D.B.; Moffat, A.F.J.; Sasselov, D.; Walker, G.A.H.; et al. MOST satellite photometry of stars in the M67 field: Eclipsing binaries, blue stragglers and δ Scuti variables. Mon. Not. R. Astron. Soc. 2008, 391, 343. [Google Scholar] [CrossRef]
- Uytterhoeven, K.; Moya, A.; Grigahcène, A.; Guzik, J.A.; Gutiérrez-Soto, J.; Smalley, B.; Handler, G.; Balona, L.A.; Niemczura, E.; Fox Machado, L.; et al. The Kepler characterization of the variability among A- and F-type stars I. General overview. Astron. Astrophys. 2011, 534, A125. [Google Scholar] [CrossRef]
- Zwintz, K.; Fossati, L.; Ryabchikova, T.; Guenther, D.; Aerts, C.; Barnes, T.G.; Themeßl, N.; Lorenz, D.; Cameron, C.; Kuschnig, R.; et al. Echography of young stars reveals their evolution. Science 2014, 345, 550. [Google Scholar] [CrossRef]
- Walker, G.; Matthews, J.; Kuschnig, R.; Ron, J.; Rucinski, S.; Pazder, J.; Burley, G.; Walker, A.; Skaret, K.; Zee, R.; et al. The MOST asteroseismology mission: Ultraprecise photometry from space. Publ. Astron. Soc. Pac. 2003, 115, 1023. [Google Scholar] [CrossRef]
- Auvergne, M.; Bodin, P.; Boisnard, L.; Buey, J.T.; Chaintreuil, S.; Epstein, G.; Jouret, M.; Lam-Trong, T.; Levacher, P.; Magnan, A.; et al. The CoRoT satellite in flight: Description and performance. Astron. Astrophys. 2009, 506, 411. [Google Scholar] [CrossRef]
- Borucki, W.J.; Koch, D.; Basri, G.; Batalha, N.M.; Brown, T.; Caldwell, D.A.; Caldwell, J.; Christensen-Dalsgaard, J.; Cochran, W.; DeVore, E.; et al. Kepler planet detection mission: Introduction and first results. Science 2010, 327, 977. [Google Scholar] [CrossRef] [PubMed]
- Chen, X.H.; Li, Y.; Lai, X.J.; Wu, T. Asteroseismology of the δ Scuti star HD 50844. Astron. Astrophys. 2016, 593, A69. [Google Scholar] [CrossRef][Green Version]
- Poretti, E.; Michel, E.; Garrido, R.; Lefèvre, L.; Mantegazza, L.; Rainer, M.; Rodríguez, E.; Uytterhoeven, K.; Amado, P.J.; Martín-Ruiz, S.; et al. HD 50844: A new look at δ Scuti stars from CoRoT space photometry. Astron. Astrophys. 2009, 506, 85. [Google Scholar] [CrossRef]
- Bowman, D.M. Amplitude Modulation and Energy Conservation of Pulsation Modes in Delta Scuti Stars. Ph.D. Thesis, University of Central Lancashire, Preston, UK, 2017. [Google Scholar]
- Guo, Z.; Fuller, J.; Shporer, A.; Li, G.; Hambleton, K.; Manuel, J.; Murphy, S.; Isaacson, H. KIC 4142768: An evolved Gamma Doradus/Delta Scuti hybrid pulsating eclipsing binary with tidally excited oscillations. Astrophys. J. 2019, 885, 46. [Google Scholar] [CrossRef]
- Kurtz, D.W.; Saio, H.; Takata, M.; Shibahashi, H.; Murphy, S.J.; Sekii, T. Asteroseismic measurement of surface-to-core rotation in a main-sequence A star, KIC 11145123. Mon. Not. R. Astron. Soc. 2014, 444, 102. [Google Scholar] [CrossRef]
- Saio, H.; Kurtz, D.W.; Takata, M.; Shibahashi, H.; Murphy, S.J.; Sekii, T.; Bedding, T.R. Asteroseismic measurement of slow, nearly uniform surface-to-core rotation in the main-sequence F star KIC 9244992. Mon. Not. R. Astron. Soc. 2015, 447, 3264. [Google Scholar] [CrossRef]
- Schmid, V.S.; Tkachenko, A.; Aerts, C.; Degroote, P.; Bloemen, S.; Murphy, S.J.; Van Reeth, T.; Pápics, P.I.; Bedding, T.R.; Keen, M.A.; et al. KIC 10080943: An eccentric binary system containing two pressure- and gravity-mode hybrid pulsators. Astron. Astrophys. 2015, 584, A35. [Google Scholar] [CrossRef]
- Ou, J.W.; Yang, M.; Zhou, J.L. EPIC 202843107: A close eclipsing binary containing a δ Scuti variable. Res. Astron. Astrophys. 2019, 19, 112. [Google Scholar] [CrossRef]
- Paparó, M.; Benkő, J.M.; Hareter, M.; Guzik, J.A. Unexpected series of regular frequency spacing of δ Scuti stars in the non-asymptotic regime. I. The methodology. Astrophys. J. 2016, 822, 100. [Google Scholar] [CrossRef]
- Paparó, M.; Benkő, J.M.; Hareter, M.; Guzik, J.A. Unexpected series of regular frequency spacing of δ Scuti stars in the non-asymptotic regime. II. Sample-echelle diagrams and rotation. Astrophys. J. Suppl. Ser. 2016, 224, 41. [Google Scholar] [CrossRef]
- García Hernández, A.; Suárez, J.C.; Moya, A.; Monteiro, M.J.P.F.G.; Guo, Z.; Reese, D.R.; Pascual-Granado, J.; Barceló Forteza, S.; Martín-Ruiz, S.; Garrido, R.; et al. Precise surface gravities of δ Scuti stars from asteroseismology. Mon. Not. R. Astron. Soc. 2017, 471, L140. [Google Scholar] [CrossRef]
- García Hernández, A.; Martín-Ruiz, S.; Monteiro, M.J.P.F.G.; Suárez, J.C.; Reese, D.R.; Pascual-Granado, J.; Garrido, R. Observational Δν-ρ Relation for δ Sct Stars using Eclipsing Binaries and Space Photometry. Astrophys. J. Lett. 2015, 811, L29. [Google Scholar] [CrossRef]
- Rodríguez-Martín, J.E.; García Hernández, A.; Suárez, J.C.; Rodón, J.R. Study of the low-order Δν-ρ relation for moderately rotating δ Scuti stars and its impact on their characterization. Mon. Not. R. Astron. Soc. 2020, 498, 1700. [Google Scholar] [CrossRef]
- Chen, X.; Li, Y.; Lin, G.; Chen, Y.; Guo, J. Exploring the helium core of the δ Scuti star COROT 102749568 with asteroseismology. Astrophys. J. 2017, 834, 146. [Google Scholar] [CrossRef]
- Chen, X.; Li, Y. Rotational splitting and asteroseismic modeling of the δ Scuti star EE Camelopardalis. Astrophys. J. 2017, 838, 31. [Google Scholar] [CrossRef]
- Barceló Forteza, S.; Michel, E.; Roca Cortés, T.; García, R.A. Evidence of amplitude modulation due to resonant mode coupling in the δ Scuti star KIC 5892969. Astron. Astrophys. 2015, 579, A133. [Google Scholar] [CrossRef]
- Breger, M.; Montgomery, M.H. Evidence of resonant mode coupling and the relationship between low and high frequencies in a rapidly rotating a star. Astrophys. J. 2014, 783, 89. [Google Scholar] [CrossRef]
- Bedding, T.R.; Murphy, S.J.; Hey, D.R.; Huber, D.; Li, T.; Smalley, B.; Stello, D.; White, T.R.; Ball, W.H.; Chaplin, W.J.; et al. Very regular high-frequency pulsation modes in young intermediate-mass stars. Nature 2020, 581, 147. [Google Scholar] [CrossRef] [PubMed]
- Murphy, S.J.; Moe, M.; Kurtz, D.W.; Bedding, T.R.; Shibahashi, H.; Boffin, H.M.J. Finding binaries from phase modulation of pulsating stars with Kepler: V. Orbital parameters, with eccentricity and mass-ratio distributions of 341 new binaries. Mon. Not. R. Astron. Soc. 2018, 474, 4322. [Google Scholar] [CrossRef]
- Shibahashi, H.; Kurtz, D.W. FM stars: A Fourier view of pulsating binary stars, a new technique for measuring radial velocities photometrically. Mon. Not. R. Astron. Soc. 2012, 422, 738. [Google Scholar] [CrossRef]
- Murphy, S.J.; Bedding, T.R.; Shibahashi, H.; Kurtz, D.W.; Kjeldsen, H. Finding binaries among Kepler pulsating stars from phase modulation of their pulsations. Mon. Not. R. Astron. Soc. 2014, 441, 2515. [Google Scholar] [CrossRef]
- Balona, L.A. Binary star detection using the time-delay method: Application to 34 Kepler objects of interest. Mon. Not. R. Astron. Soc. 2014, 443, 1946. [Google Scholar] [CrossRef]
- Murphy, S.J.; Shibahashi, H.; Bedding, T.R. Finding binaries from phase modulation of pulsating stars with Kepler—IV. Detection limits and radial velocity verification. Mon. Not. R. Astron. Soc. 2016, 461, 4215. [Google Scholar] [CrossRef]
- Murphy, S.J.; Barbara, N.H.; Hey, D.; Bedding, T.R.; Fulcher, B.D. Finding binaries from phase modulation of pulsating stars with Kepler—VI. Orbits for 10 new binaries with mischaracterized primaries. Mon. Not. R. Astron. Soc. 2020, 493, 5382. [Google Scholar] [CrossRef]
- Shibahashi, H.; Kurtz, D.W.; Murphy, S.J. FM stars II: A Fourier view of pulsating binary stars—Determining binary orbital parameters photometrically for highly eccentric cases. Mon. Not. R. Astron. Soc. 2015, 450, 3999. [Google Scholar] [CrossRef]
- Compton, D.L.; Bedding, T.R.; Murphy, S.J.; Stello, D. Binary star detectability in Kepler data from phase modulation of different types of oscillations. Mon. Not. R. Astron. Soc. 2016, 461, 1943. [Google Scholar] [CrossRef][Green Version]
- Bowman, D.M.; Kurtz, D.W. Characterizing the observational properties of δ Sct stars in the era of space photometry from the Kepler mission. Mon. Not. R. Astron. Soc. 2018, 476, 3169. [Google Scholar] [CrossRef]
- Cardoso, J.V.; Hedges, C.; Gully-Santiago, M.; Saunders, N.; Cody, A.M.; Barclay, T.; Hall, O.; Sagear, S.; Turtelboom, E.; et al.; Lightkurve Collaboration Lightkurve: Kepler and TESS time series analysis in Python. Astrophys. Source Code Libr. 2018, ascl:1812.013. [Google Scholar]
- Qian, S.B.; Li, L.J.; He, J.J.; Zhang, J.; Zhu, L.Y.; Han, Z.T. LAMOST views δ Scuti pulsating stars. Mon. Not. R. Astron. Soc. 2018, 475, 478. [Google Scholar] [CrossRef]
- Murphy, S.J.; Hey, D.; Van Reeth, T.; Timothy, R.B. Gaia-derived luminosities of Kepler A/F stars and the pulsator fraction across the δ Scuti instability strip. Mon. Not. R. Astron. Soc. 2019, 485, 2380. [Google Scholar] [CrossRef]
- Roberts, D.H.; Lehar, J.; Dreher, J.W. Time series analysis with CLEAN. I. Derivation of a spectrum. Astron. J. 1987, 93, 968. [Google Scholar] [CrossRef]
- Murphy, S.J.; Shibahashi, H.; Kurtz, D.W. Super-Nyquist asteroseismology with the Kepler Space Telescope. Mon. Not. R. Astron. Soc. 2013, 430, 2986. [Google Scholar] [CrossRef]
- Markwardt, C.B. Non-linear least-squares fitting in IDL with MPFIT. Astron. Data Anal. Softw. Syst. XVIII 2009, 411, 251. [Google Scholar]
- Moré, J.J. The Levenberg-Marquardt algorithm: Implementation and theory. In Lecture Notes in Mathematics; Springer: Berlin/Heidelberg, Germany, 1978; Volume 630, p. 105. [Google Scholar] [CrossRef]
- Wright, J.T.; Howard, A.W. Efficient fitting of multiplanet Keplerian models to radial velocity and astrometry data. Astrophys. J. Suppl. Ser. 2009, 182, 205. [Google Scholar] [CrossRef]
- Yang, H.; Liu, J. The flare catalog and the flare activity in the Kepler mission. Astrophys. J. Suppl. Ser. 2019, 241, 29. [Google Scholar] [CrossRef]
Publisher’s Note: MDPI stays neutral with regard to jurisdictional claims in published maps and institutional affiliations. |
© 2022 by the author. Licensee MDPI, Basel, Switzerland. This article is an open access article distributed under the terms and conditions of the Creative Commons Attribution (CC BY) license (https://creativecommons.org/licenses/by/4.0/).






