Higher-Dimensional Regular Reissner–Nordström Black Holes Associated with Linear Electrodynamics
Abstract
:1. Introduction
- String theory [21], the candidate to unify all fundamental interactions, is established in higher-dimensional spacetimes.
- The AdS/CFT correspondence [22] relates quantum gravity theories in the n-dimensional spacetime to gauge field theories in the -dimensional spacetime, which is the most successful realization of the holographic principle.
- Large extra dimensions might provide [23] a possibility to detect non-perturbative gravitational objects, such as black holes and branes in TeV scale, in the future colliders.
2. General Formulation
2.1. General Higher-Dimensional Nonsingular Metrics
- (i)
- (ii)
- (except at ), which gives [28] the reason for the “anisotropic fluid” interpretation, and near the center, indicating that the source is exactly in a de Sitter vacuum state.
- (iii)
- and , as most of the regular black hole models meet, lead to the satisfaction of WEC but usually local violation of SEC.2
2.2. New Interpretation of Matter Source Associated with Linear Electrodynamics
2.3. Boundary Conditions
3. Regular Tangherlini–RN Black Holes under the New Interpretation of Matter Source
3.1. Tangherlini–RN Solutions with Electromagnetic Field
3.1.1. Case I
3.1.2. Case II
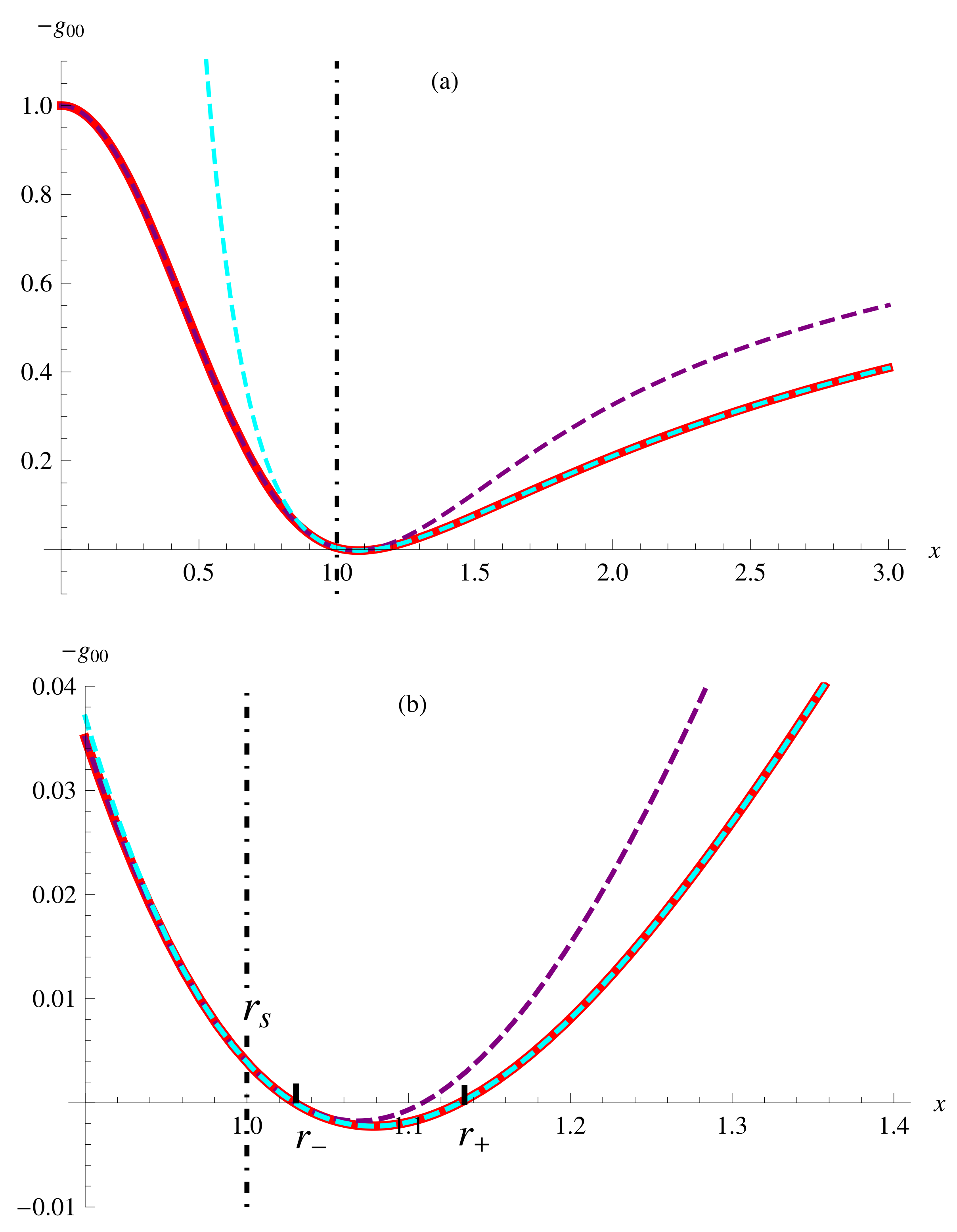
- shows that the boundary is hidden behind the inner horizon
- shows that the boundary is not hidden behind the inner horizon but the event horizon7
- or shows that the boundary coincides with one of the horizons
3.1.3. Case III
- (i)
- The charged perfect fluid with positive metric function is hidden inside the inner horizon of the RN metric when the inequality, , is satisfied in the 4-dimensional spacetime.
- (ii)
- The charged perfect fluid with one root of within and negative boundary metric function is hidden inside the event horizon but not the inner horizon of the RN metric when the inequality, , is satisfied in all dimensions.
- (iii)
- The charged perfect fluid takes a vanishing boundary metric function when is satisfied, specifically, the boundary coincides with the inner horizon of the RN metric at as the only root of , and with the event horizon in the other dimensions as the second root.
3.2. Stability of the Boundary
4. Summary
- (i)
- If the hoop conjecture is satisfied (), such a distribution would form a black hole.
- (ii)
- The boundary hides behind or lies at the inner horizon only if , or else the inner horizon does not exist.
- (iii)
- No horizons are formed by if the interior metric function stands within the whole region of ; otherwise, horizons would exist.
- (i)
- The matter source with positive metric function hides inside the inner horizon, and no horizons form in the 4-dimensional spacetime.
- (ii)
- The matter source with negative at the boundary hides inside the event horizon, but not inside the inner horizon, and one horizon forms in all the dimensional spacetimes.
- (iii)
- The matter source with a vanishing at the boundary has only one horizon that coincides with the inner horizon in the 4-dimensional spacetime, and it has two horizons, of which the second one coincides with the event horizon in the other dimensional spacetimes.
Author Contributions
Funding
Acknowledgments
Conflicts of Interest
| 1 | As was denoted in ref. [20], the charged perfect fluid sphere, or a charged perfect fluid in short, means the perfect fluid together with the electromagnetic field. |
| 2 | For the energy-momentum tensor in Equation (3), the weak energy condition (WEC) requires , , and ; the strong energy condition (SEC) requires , , and . |
| 3 | |
| 4 | For the noncommutative Schwarzschild black hole, the mass distribution is Gaussian; see Equation (35). The total amount of this mass parameter is given by , and the condition that the black hole can be formed is that the average radius of the mass distribution should not be less than the horizon of the hole. |
| 5 | In the 4-dimensional spacetime, has been considered. |
| 6 | In the particular situation of the extremal black hole at , the classification is still effective as long as the additional condition is considered in the subcases. |
| 7 | To avoid ambiguities, the inner horizon and event horizon specially refer to the two roots of in the present paper, and . As to the roots of , we call them the “-horizons” that are not larger than . |
| 8 | In Section 3.1, we have obtained the range of for the 4-dimensional black hole with time-like boundary, . It is actually equivalent to the range of the interior parameter, . |
| 9 |
References
- Hawking, S.W.; Penrose, R. The singularities of gravitational collapse and cosmology. Proc. Soc. Lond. 1970, 314, 529. [Google Scholar]
- Hawking, S.W.; Ellis, G.F.R. The Large Scale Structure of Spacetime; Cambridge University Press: Cambridge, UK, 1973. [Google Scholar]
- Sakharov, A.D. Initial stage of an expanding universe and appearance of a nonuniform distribution of matter. Sov. Phys. JETP 1966, 22, 241. [Google Scholar]
- Gliner, E.B. Algebraic properties of the energy momentum tensor and vacuum-like states of matter. Sov. Phys. JETP 1966, 22, 378. [Google Scholar]
- Bardeen, J.M. Non-singular general-relativistic gravitational collapse. In Proceedings of the of International Conference GR, USSR, 9–13 September 1968; Volume 5, p. 174. [Google Scholar]
- Ayón-Beato, E.; García, A. The Bardeen model as a nonlinear magnetic monopole. Phys. Lett. B 2000, 493, 149. [Google Scholar] [CrossRef] [Green Version]
- Dymnikova, I. Vacuum nonsingular black hole. Gen. Rel. Grav. 1992, 24, 235. [Google Scholar] [CrossRef]
- Hayward, S.A. Formation and evaporation of nonsingular black holes. Phys. Rev. Lett. 2006, 96, 031103. [Google Scholar] [CrossRef] [Green Version]
- Miao, Y.-G.; Wu, Y.-M. Thermodynamics of the Schwarzschild-AdS black hole with a minimal length. Adv. High Energy Phys. 2017, 2017, 1095217. [Google Scholar] [CrossRef]
- Nicolini, P.; Smailagic, A.; Spallucci, E. Noncommutative geometry inspired Schwarzschild black hole. Phys. Lett. B 2006, 632, 547. [Google Scholar] [CrossRef] [Green Version]
- Nicolini, P. Noncommutative black holes, the final appeal to quantum gravity: A review. Int. J. Mod. Phys. A 2009, 24, 1229. [Google Scholar] [CrossRef]
- Spallucci, E.; Smailagic, A.; Nicolini, P. Non-commutative geometry inspired higher-dimensional charged black holes. Phys. Lett. B 2009, 670, 449. [Google Scholar] [CrossRef] [Green Version]
- Balart, L.; Vagenas, E.C. Regular black holes with a nonlinear electrodynamics source. Phys. Rev. D 2014, 90, 124045. [Google Scholar] [CrossRef] [Green Version]
- He, Y.; Ma, M.-S. (2+1)-dimensional regular black holes with nonlinear electrodynamics sources. Phys. Lett. B 2017, 774, 229. [Google Scholar] [CrossRef]
- Frolov, V.P.; Markov, M.A.; Mukhanov, V.F. Black holes as possible sources of semiclosed worlds. Phys. Rev. D 1990, 41, 383. [Google Scholar] [CrossRef] [PubMed]
- Balbinot, R.; Poisson, E. Stability of the Schwarzschild-de Sitter model. Phys. Rev. D 1990, 41, 395. [Google Scholar] [CrossRef] [PubMed]
- Barrabe's, C.; Israel, W. Thin shells in general relativity and cosmology: The lightlike limit. Phys. Rev. D 1991, 43, 1129. [Google Scholar] [CrossRef] [PubMed]
- Lemos, J.P.S.; Zanchin, V.T. Regular black holes: Electrically charged solutions, Reissner-Nordström outside a de Sitter core. Phys. Rev. D 2011, 83, 124005. [Google Scholar] [CrossRef] [Green Version]
- Uchikata, N.; Yoshida, S.; Futamase, T. New solutions of charged regular black holes and their stability. Phys. Rev. D 2012, 86, 084025. [Google Scholar] [CrossRef] [Green Version]
- de Leon, J.P. Regular Reissner-Nordström black hole solutions from linear electrodynamics. Phys. Rev. D 2017, 95, 124015. [Google Scholar] [CrossRef]
- Polchinski, J. String Theory; Cambridge University Press: Cambridge, UK, 1998. [Google Scholar]
- Aharony, O.; Gubser, S.S.; Maldacena, J.M.; Ooguri, H.; Oz, Y. Large N field theories, string theory and gravity. Phys. Rep. 2000, 323, 183. [Google Scholar] [CrossRef] [Green Version]
- Cavaglia, M. Black hole and brane production in TeV gravity: A review. Int. J. Mod. Phys. A 2003, 18, 1843. [Google Scholar] [CrossRef] [Green Version]
- Park, M.-I. Smeared hair and black holes in three-dimensional de Sitter spacetime. Phys. Rev. D 2009, 80, 084026. [Google Scholar] [CrossRef] [Green Version]
- Villhauer, E. Noncommutative black holes at the LHC. Phys. Conf. Ser. 2017, 942, 012019. [Google Scholar] [CrossRef]
- Rizzo, T.G. Noncommutative inspired black holes in extra dimensions. J. High Energy Phys. 2006, 09, 021. [Google Scholar] [CrossRef]
- Miao, Y.-G.; Xu, Z.-M. Thermodynamics of noncommutative high-dimensional AdS black holes with non-Gaussian smeared matter distributions. Eur. Phys. J. C 2016, 76, 217. [Google Scholar] [CrossRef] [Green Version]
- Boonserm, P.; Ngampitipan, T.; Visser, M. Mimicking static anisotropic fluid spheres in general relativity. Int. J. Mod. Phys. D 2016, 25, 1650019. [Google Scholar] [CrossRef] [Green Version]
- Tangherlini, F.R. Schwarzschild field in n dimensions and the dimensionality of space problem. Nuovo C. 1936, 27, 636. [Google Scholar] [CrossRef]
- Smailagic, A.; Spallucci, E. Thermodynamical phases of a regular SAdS black hole. Int. J. Mod. Phys. D 2013, 22, 1350010. [Google Scholar] [CrossRef] [Green Version]
- Kim, W.; Son, E.J.; Yoon, M. Thermodynamic similarity between the noncommutative Schwarzschild black hole and the Reissner-Nordström black hole. J. High Energy Phys. 2008, 0804, 042. [Google Scholar] [CrossRef]
- Thorne, K.S. Nonspherical gravitional collopse: A short review. In Magic without Magic; Klauder, J.R., Ed.; W.H. Freeman: San Francisco, CA, USA, 1972; p. 231. [Google Scholar]
- Hod, S. Bekenstein’s generalized second law of thermodynamics: The role of the hoop conjecture. Phys. Lett. B 2015, 751, 241. [Google Scholar] [CrossRef] [Green Version]
- Ansoldi, S.; Nicolini, P.; Smailagic, A.; Spallucci, E. Non-commutative geometry inspired charged black holes. Phys. Lett. B 2006, 645, 261. [Google Scholar] [CrossRef] [Green Version]
- Israel, W. Singular hypersurfaces and thin shells in general relativity. Nuovo C. B 1966, 44, 1–14, Erratum in Nuovo C. B 1967, 48, 229ߝ463. [Google Scholar] [CrossRef] [Green Version]
- Poisson, E.; Israel, W. Internal structure of black holes. Phys. Rev. D 1990, 41, 1796. [Google Scholar] [CrossRef] [PubMed]
- Gao, S.J.; Lemos, J.P.S. Collapsing and static thin massive charged dust shells in a Reissner-Nordström black hole background in higher dimensions. Int. J. Mod. Phys. A 2008, 23, 2943. [Google Scholar] [CrossRef] [Green Version]




| Restrictions | Dimensions of Spacetime | |||||||
|---|---|---|---|---|---|---|---|---|
| 4 | 5 | 6 | 7 | 8 | 9 | 10 | 11 | |
| 0.03979 | 0.05305 | 0.05968 | 0.06366 | 0.06631 | 0.06820 | 0.06963 | 0.07074 | |
| 0.03955 | 0.04882 | 0.04574 | 0.03980 | 0.03369 | 0.02818 | 0.02345 | 0.01947 | |
| 0.04290 | 0.03807 | 0.03084 | 0.02469 | 0.01980 | 0.01596 | 0.01292 | 0.01052 | |
| 0.03955 | 0.05458 | 0.07090 | 0.09662 | 0.1384 | 0.2065 | 0.3187 | 0.5053 | |
| 1.905 | 3.051 | 3.053 | |||
| 1.908 | 3.054 | 3.057 | |||
| 1.911 | 3.056 | 3.062 | |||
| 1.914 | 3.058 | 3.067 |
Publisher’s Note: MDPI stays neutral with regard to jurisdictional claims in published maps and institutional affiliations. |
© 2022 by the authors. Licensee MDPI, Basel, Switzerland. This article is an open access article distributed under the terms and conditions of the Creative Commons Attribution (CC BY) license (https://creativecommons.org/licenses/by/4.0/).
Share and Cite
Wu, Y.-M.; Miao, Y.-G. Higher-Dimensional Regular Reissner–Nordström Black Holes Associated with Linear Electrodynamics. Universe 2022, 8, 43. https://doi.org/10.3390/universe8010043
Wu Y-M, Miao Y-G. Higher-Dimensional Regular Reissner–Nordström Black Holes Associated with Linear Electrodynamics. Universe. 2022; 8(1):43. https://doi.org/10.3390/universe8010043
Chicago/Turabian StyleWu, Yu-Mei, and Yan-Gang Miao. 2022. "Higher-Dimensional Regular Reissner–Nordström Black Holes Associated with Linear Electrodynamics" Universe 8, no. 1: 43. https://doi.org/10.3390/universe8010043
APA StyleWu, Y.-M., & Miao, Y.-G. (2022). Higher-Dimensional Regular Reissner–Nordström Black Holes Associated with Linear Electrodynamics. Universe, 8(1), 43. https://doi.org/10.3390/universe8010043

