No Intrinsic Decoherence of Inflationary Cosmological Perturbations †
Abstract
1. Introduction
1.1. Gravitational and Quantum Field Perturbations—Some Clarifying Remarks
1.1.1. Which Quantities in Cosmological Perturbations Are Intrinsically Quantum?
1.1.2. Tensor Perturbations: Gravitational Waves. Quantized Tensor Perturbations: Gravitons
1.1.3. Perturbations: Deterministic Variables. Fluctuations: Stochastic Variables
1.2. Model Studies, Key Findings and Organization
- Such a Wigner function does not correspond to a physical state
- (a)
- it violates the bound of the Wigner function when ,
- (b)
- if the system started in a pure state, the final state is no longer pure even though the evolution is unitary,
- (c)
- the purity of the state is greater than unity,
- (d)
- this implies that the corresponding density matrix has negative eigenvalues,
- The Robertson-Schrödinger uncertainty relation for a pure state is violated,
- The commutator of the canonical operator, like , at different times becomes commutative,
- The equal-time commutation relation of the canonical variables vanishes so the canonical pair commutes.
2. Decoherence in Cosmology: Highlights of Past Four Decades
Background (5 Stages) and Methodology (4 Veins)
3. Quantum States in a Closed System Do Not Turn Classical
3.1. Heisenberg Equation
3.2. Gaussian Pure State
3.3. Wigner Function and Density Matrix Elements
4. Quantum Mechanical Examples
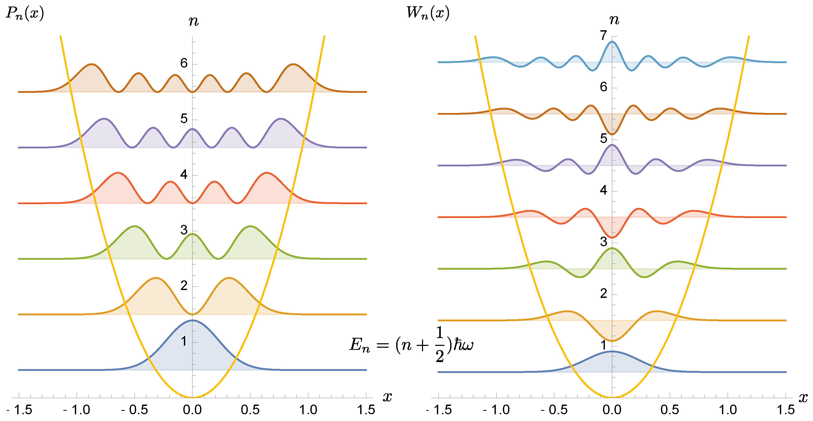
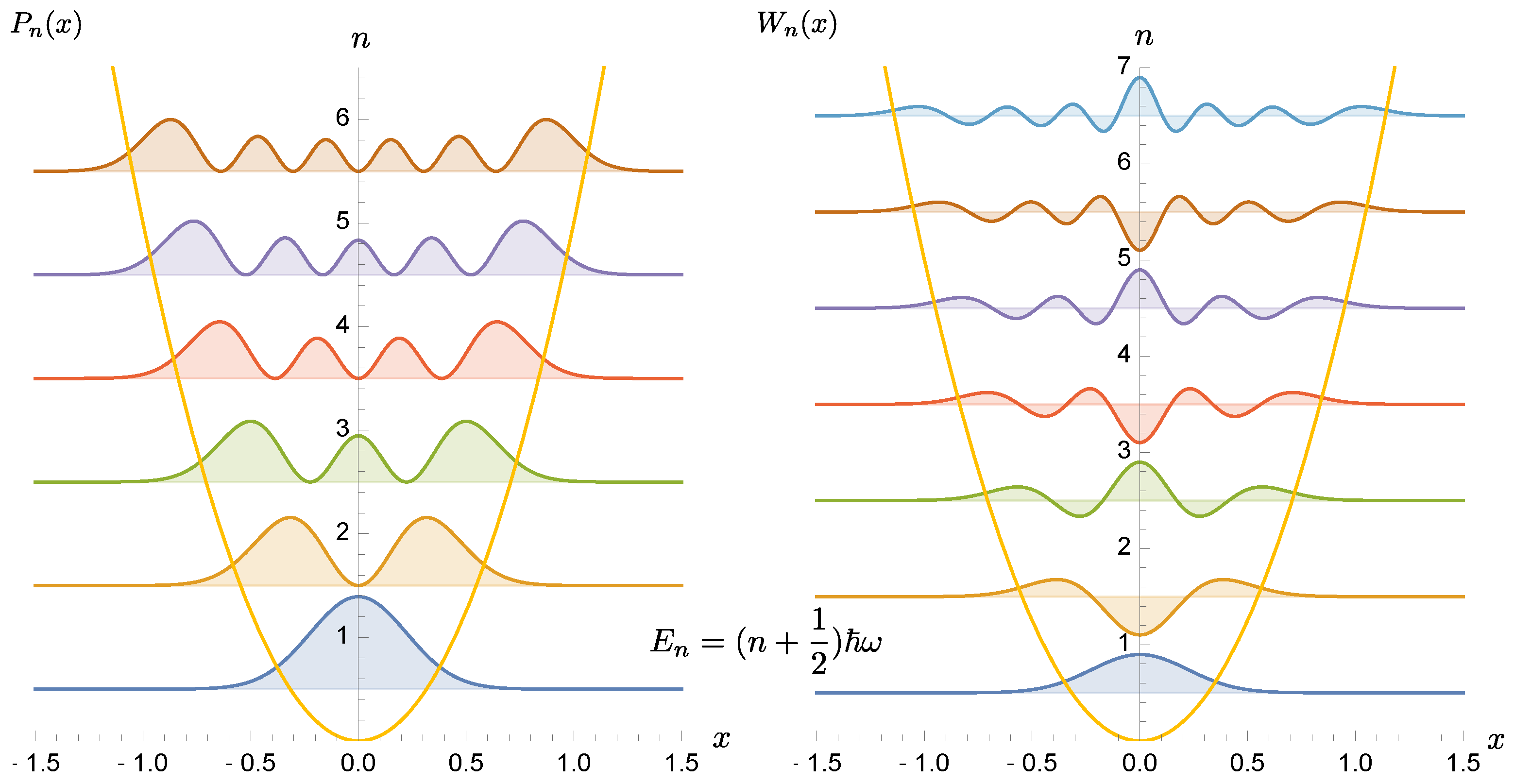
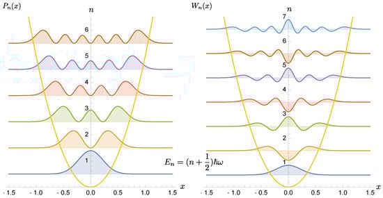
4.1. Harmonic Oscillator: Semiclassical Limit
4.2. Free Particle
4.3. Inverted Linear Oscillator
5. Inflation Field
5.1. Canonical Variables Remain Noncommutating
5.2. Particle Creation: Numbers and Coherence
5.3. Entanglement: An Indelible Signifier of Quantumness
6. Conclusions
Author Contributions
Funding
Conflicts of Interest
Appendix A. Preservation of the Uncertainty Function under Squeeze Transformation
Appendix B. Semiclassical Limit of the Harmonic Oscillator
| 1 | Here, the center of attention is the quantum perturbations of the inflation field, that is, (see next subsection); the mean field is governed by a potential which engineers the inflationary dynamics, such as ‘slow-roll’, etc. |
| 2 | There is plenty of truth in the idiom,“truth is always simple, but simplicity is not always the truth”. |
| 3 | The background field is often assumed to be classical, but this needs to be proven rather than assumed to be automatically valid. The regarded as a mean field keeps its quantum nature. (The difference between a mean field and a classical field is explained in, e.g., [38].) One can show how readily the mean field is decohered by its quantum fluctuations, such as treated in [25]. |
| 4 | Note gravitational waves are weak metric perturbations. Gravitons are quantized short wavelength linear perturbations off of a smooth spacetime manifold, in the nature of collective excitations. Gravitons are governed by general relativity, a low energy theory for the macroscopic structure of spacetime, a far cry from quantum gravity, defined as theories for the microscopic structures of spacetime functional at the Planck scale [42] |
| 5 | Despite the similarity in form with the bilinear type of coupling between a quantum Brownian oscillator interacting with a bath of many modes, when two fields are bilinearly coupling, only one mode of the system field interacts with one mode of the bath field, the physics is totally different. It is like two equal subsystems interacting. One would not see dissipation or decoherence; the energy and phase information only pass from one to another back and forth. A large number of modes in the bath is needed to see dissipation and decoherence in the system. |
| 6 | For a pure state , the density matrix operator is . We thus have . In addition, any pure Gaussian state can be reached from the vacuum state by a suitable unitary transformation. Since the vacuum has minimal uncertainty, that is, and since the unitary transformation preserve the Robertson-Schrödinger uncertainty principle, the resulting pure Gaussian state then has . |
| 7 | Although in [32], the authors did not explicitly write the Wigner function into a form proportional to a delta function for the free particle case, their Equation (63) and Figure 1 served the same end. Besides, the Wigner function of the cosmological perturbations in their Equation (29) takes the delta-function form. They obtained their Equations (15) and (16) by keeping only the dominant contributions. According to the analysis in our Section 3 these results in [32] are thus problematic. |
| 8 | |
| 9 | Or instead of representation, we may use the representation,
|
| 10 | |
| 11 | For example, in [1], the Wigner funciton of the cosmological perturbations in its Equation (46) is written into a delta function form, and when only the leading term of what is resulting in its Equation (51) is kept, the conclusion of ‘decoherence without decoherence’ is conveniently yet haphazardly drawn. |
References
- Polarski, D.; Starobinsky, A.A. Semiclassicality and decoherence of cosmological perturbations. Class. Quant. Grav. 1996, 13, 377. [Google Scholar] [CrossRef]
- Griffiths, R.B. Consistent histories and the interpretation of quantum mechanics. J. Stat. Phys. 1984, 36, 219. [Google Scholar] [CrossRef]
- Griffiths, R.B. Consistent Quantum Theory; Cambridge University Press: Cambridge, UK, 2002. [Google Scholar]
- Omnes, R. Logical reformulation of quantum mechanics, I. Foundations. J. Stat. Phys. 1998, 53, 893. [Google Scholar] [CrossRef]
- Omnes, R. Consistent interpretations of quantum mechanics. Rev. Mod. Phys. 1992, 339, 64. [Google Scholar] [CrossRef]
- Omnes, R. The Interpretation of Quantum Mechanics; Princeton University Press: Princeton, NJ, USA, 2018. [Google Scholar]
- Gell-Mann, M.; Hartle, J.B. Quantum mechanics in the light of quantum cosmology. In Complexity, Entropy, and the Physics of Information; Zurek, W.H., Ed.; Westview Press: Boulder, CO, USA, 1990. [Google Scholar]
- Hartle, J.B. The quantum mechanics of cosmology. In Quantum Cosmology and Baby Universes; World Scientific: Singapore, 1990. [Google Scholar]
- Gell-Mann, M.; Hartle, J.B. Classical equations for quantum systems. Phys. Rev. D 1993, 47, 3345. [Google Scholar] [CrossRef] [PubMed]
- Joos, E.; Zeh, H.D.; Kiefer, C.; Giulini, D.J.; Kupsch, J.; Stamatescu, I.O. Decoherence and the Appearance of a Classical World in Quantum Theory; Springer: Berlin/Heidelberg, Germany, 2013. [Google Scholar]
- Schlosshauer, M. Decoherence, the measurement problem, and interpretations of quantum mechanics. Rev. Mod. Phys. 2004, 76, 1267. [Google Scholar] [CrossRef]
- Schlosshauer, M. Quantum decoherence. Phys. Rep. 2019, 831, 1. [Google Scholar] [CrossRef]
- Zurek, W.H. Environment-induced superselection rules. Phys. Rev. D 1982, 26, 1862. [Google Scholar] [CrossRef]
- Joos, E.; Zeh, H.D. The emergence of classical properties through interaction with the environment. Z. Phys. B 1985, 59, 223. [Google Scholar] [CrossRef]
- Halliwell, J.J. Decoherence in quantum cosmology. Phys. Rev. D 1989, 39, 2912. [Google Scholar] [CrossRef]
- Hartle, J.B. The quantum mechanics of closed systems. In Directions in General Relativity, Vol. 1; Hu, B.L., Ryan, M.P., Vishveswara, C.V., Eds.; Cambridge University Press: Cambridge, UK, 1956. [Google Scholar]
- Hartle, J.B. The reduction of the state vector and limitations on measurement in the quantum mechanics of closed systems. In Directions in General Relativity, Vol. 2; Hu, B.L., Jacobson, T.A., Eds.; Cambridge University Press: Cambridge, UK, 1956. [Google Scholar]
- Breuer, H.P.; Petruccione, F. The Theory of Open Quantum Systems, 2nd ed.; Oxford University Press: Oxford, UK, 2007. [Google Scholar]
- Rivas, A.; Huelga, S.F. Open Quantum Systems: An Introduction; Springer: Berlin/Heidelberg, Germany, 2012. [Google Scholar]
- De Vega, I.; Alonso, D. Dynamics of non-Markovian open quantum systems. Rev. Mod. Phys. 2017, 89, 015001. [Google Scholar] [CrossRef]
- Rammer, J. Quantum Field Theory of Non-Equilibrium States; Cambridge University Press: Cambridge, UK, 2009. [Google Scholar]
- Kamenev, A. Field Theory of Non-Equilibrium Systems; Cambridge University Press: Cambridge, UK, 2011. [Google Scholar]
- Weiss, U. Quantum Dissipative Systems, 4th ed.; World Scientific: Singapore, 2012. [Google Scholar]
- Calzetta, E.A.; Hu, B.L. Nonequilibrium Quantum Field Theory; Cambridge University Press: Cambridge, UK, 2008. [Google Scholar]
- Calzetta, E.A.; Hu, B.L. Quantum fluctuations, decoherence of the mean field, and structure formation in the early universe. Phys. Rev. D 1995, 52, 6770. [Google Scholar] [CrossRef]
- Lombardo, F.C.; Mazzitelli, F.D. Coarse graining and decoherence in quantum field theory. Phys. Rev. D 1996, 53, 2001. [Google Scholar] [CrossRef]
- Lombardo, F.C.; Nacir, D.L. Decoherence during inflation: The generation of classical inhomogeneities. Phys. Rev. D 2005, 72, 063506. [Google Scholar] [CrossRef]
- Brahma, R.; Alaryani, O.; Brandenberger, R.H. Entanglement entropy of cosmological perturbations. Phys. Rev. D 2020, 102, 043529. [Google Scholar] [CrossRef]
- Nelson, E. Quantum decoherence during inflation from gravitational nonlinearities. JCAP 2016, 3, 022. [Google Scholar] [CrossRef]
- Hollowood, T.J.; McDonald, J.I. Decoherence, discord, and the quantum master equation for cosmological perturbations. Phys. Rev. D 2017, 95, 103521. [Google Scholar] [CrossRef]
- Hsiang, J.-T.; Hu, B.L. Intrinsic entropy of squeezed quantum fields and nonequilibrium quantum dynamics of cosmological perturbations. Entropy 2021, 23, 1544. [Google Scholar] [CrossRef] [PubMed]
- Kiefer, C.; Polarski, D. Emergence of classicality for primordial fluctuations: Concepts and analogies. Ann. Phys. 1998, 3, 137. [Google Scholar] [CrossRef]
- Guth, A.H.; Pi, S.-Y. Quantum mechanics of the scalar field in the new inflationary universe. Phys. Rev. D 1985, 32, 1899. [Google Scholar] [CrossRef]
- Lifshitz, E.M. On the gravitational stability of the expanding universe. J. Phys. 1946, 10, 116. [Google Scholar]
- Lifshitz, E.M.; Khalatnikov, I.M. Investigations in relativistic cosmology. Adv. Phys. 1963, 12, 185. [Google Scholar] [CrossRef]
- Hawking, S.W. Perturbations of an expanding universe. Astrophys. J. 1966, 145, 544. [Google Scholar] [CrossRef]
- Bardeen, J.M. Gauge invariant cosmological perturbations. Phys. Rev. D 1980, 22, 1882. [Google Scholar] [CrossRef]
- Chou, C.-H.; Hu, B.L.; Subasi, Y. Macroscopic quantum phenomena from the large N perspective. J. Phys. Conf. Ser. 2011, 306, 012002. [Google Scholar] [CrossRef]
- Anastopoulos, C.; Hu, B.L. Comment on “A spin entanglement witness for quantum gravity” and on “Gravitationally induced entanglement between two massive particles is sufficient evidence of quantum effects in gravity?”. arXiv 2018, arXiv:1804.11315. [Google Scholar]
- Anastopoulos, C.; Hu, B.L. Quantum superposition of two gravitational cat states. Class. Quant. Grav. 2020, 37, 235012. [Google Scholar] [CrossRef]
- Weinberg, S. Cosmology; Oxford University Press: Oxford, UK, 2008. [Google Scholar]
- Hu, B.L. Emergent/quantum gravity: Macro/micro structures of spacetime. J. Phys. Conf. Ser. 2009, 174, 012015. [Google Scholar] [CrossRef]
- Grishchuk, L.P. Amplification of gravitational waves in an isotropic universe. Zhurnal Eksp. Teor. Fiz. 1974, 67, 825. [Google Scholar]
- Ford, L.H.; Parker, L. Quantized gravitational wave perturbations in Robertson-Walker universes. Phys. Rev. D 1977, 16, 1601. [Google Scholar] [CrossRef]
- Parikh, M.; Wilczek, F.; Zahariade, G. The noise of gravitons. arXiv 2020, arXiv:2005.07211. [Google Scholar] [CrossRef]
- Kanno, S.; Soda, J.; Tokuda, J. Noise and decoherence induced by gravitons. Phys. Rev. D 2021, 103, 044017. [Google Scholar] [CrossRef]
- Cho, H.T.; Hu, B.L. Quantum noise of gravitons and stochastic force on geodesic separations. arXiv 2021, arXiv:2112.08174. [Google Scholar]
- Bassi, A.; Großardt, A.; Ulbricht, H. Gravitational Decoherence. Class. Quant. Grav. 2017, 34, 193002. [Google Scholar] [CrossRef]
- Anastopoulos, C.; Hu, B.L. Gravitational decoherence: A thematic overview. arXiv 2021, arXiv:2111.02462. [Google Scholar]
- Bao, N.; Chatwin-Davies, A.; Pollack, J.; Remmen, G.N. Cosmological decoherence from thermal gravitons. JHEP 2020, 8, 65. [Google Scholar] [CrossRef]
- Kiefer, C.; Polarski, D.; Starobinsky, A.A. Quantum-to-classical transition for fluctuations in the early universe. Int. J. Mod. Phys. D 1998, 7, 455. [Google Scholar] [CrossRef]
- Zurek, W.H. Preferred states, predictability, classicality and the environment-induced decoherence. Prog. Theor. Phys. 1993, 89, 281. [Google Scholar] [CrossRef]
- Caldeira, A.O.; Leggett, A.J. Path integral approach to quantum Brownian motion. Physica A 1983, 121, 587. [Google Scholar] [CrossRef]
- Starobinsky, A.A. Stochastic de Sitter (inflationary) stage in the early universe. In Field Theory, Quantum Gravity and Strings; Lecture Notes in Physics; Springer: Berlin/Heidelberg, Germany, 1986; Volume 246. [Google Scholar]
- Sakagami, M.A. Evolution from pure states into mixed states in de Sitter space. Prog. Theor. Phys. 1988, 79, 442. [Google Scholar] [CrossRef]
- Winitzki, S.; Vilenkin, A. Effective noise in a stochastic description of inflation. Phys. Rev. D 2000, 61, 084008. [Google Scholar] [CrossRef]
- Habib, S.; Laflamme, R. Wigner function and decoherence in quantum cosmology. Phys. Rev. D 1990, 42, 4056. [Google Scholar] [CrossRef]
- Kiefer, C. Interpretation of the decoherence functional in quantum cosmology. Class. Quant. Grav. 1991, 8, 379. [Google Scholar] [CrossRef]
- Singh, T.P.; Padmanabhan, T. Notes on semiclassical gravity. Ann. Phys. 1989, 196, 296. [Google Scholar] [CrossRef]
- Padmanabhan, T. Decoherence in the density matrix describing quantum three geometries and the emergence of classical space-time. Phys. Rev. D 1989, 39, 2924. [Google Scholar] [CrossRef]
- Padmanabhan, T.; Singh, T.P. On the semiclassical limit of the Wheeler–DeWitt equation. Class. Quant. Grav. 1997, 7, 411. [Google Scholar] [CrossRef]
- Paz, J.P.; Sinha, S. Decoherence and back reaction: The origin of the semiclassical Einstein equations. Phys. Rev. D 1991, 44, 1038. [Google Scholar] [CrossRef]
- Paz, J.P.; Sinha, S. Decoherence and back reaction in quantum cosmology: Multidimensional minisuperspace examples. Phys. Rev. D 1992, 45, 2823. [Google Scholar] [CrossRef] [PubMed]
- DeWitt, B.S. Quantum theory of gravity. 1. The canonical theory. Phys. Rev. 1967, 160, 1113. [Google Scholar] [CrossRef]
- Wheeler, J.A. Superspace and the nature of quantum geometrodynamics. In Batelles Rencontres; DeWitt, B.S., Wheeler, J.A., Eds.; Benjamin: New York, NY, USA, 1968. [Google Scholar]
- Misner, C.W. Minisuperspace. In Magic without Magic: John Archibald Wheeler; W. H. Freeman: San Francisco, CA, USA, 1972. [Google Scholar]
- Kiefer, C. Continuous measurement of mini-superspace variables by higher multipoles. Class. Quant. Grav. 1987, 4, 1369. [Google Scholar] [CrossRef]
- Hu, B.L.; Paz, J.P.; Sinha, S. Minisuperspace as a quantum open system. In Directions in General Relativity, Vol. 1; Hu, B.L., Ryan, M.P., Vishveswara, C.V., Eds.; Cambridge University Press: Cambridge, UK, 1956. [Google Scholar]
- Hartle, J.B. Spacetime quantum mechanics and the quantum mechanics of spacetime. In Gravitation and Quantizations; North-Holland: Amsterdam, The Netherlands, 1992. [Google Scholar]
- Hu, B.L.; Paz, J.P.; Zhang, Y. Quantum Brownian motion in a general environment: Exact master equation with nonlocal dissipation and colored noise. Phys. Rev. D 1992, 45, 2843. [Google Scholar] [CrossRef] [PubMed]
- Hu, B.L.; Paz, J.P.; Zhang, Y. Quantum Brownian motion in a general environment II. Nonlinear coupling and perturbative approach. Phys. Rev. D 1993, 47, 1576. [Google Scholar] [CrossRef] [PubMed]
- Paz, J.P.; Habib, S.; Zurek, W.H. Reduction of the wave packet: Preferred observable and decoherence time scale. Phys. Rev. D 1993, 47, 488. [Google Scholar] [CrossRef] [PubMed]
- Zurek, W.H.; Habib, S.; Paz, J.P. Coherent states via decoherence. Phys. Rev. Lett. 1993, 70, 1187. [Google Scholar] [CrossRef]
- Hu, B.L.; Zhang, Y. Squeezed states and uncertainty relation at finite temperature. Mod. Phys. Lett. A 1993, 8, 3575. [Google Scholar] [CrossRef]
- Hu, B.L.; Zhang, Y. Uncertainty relation for a quantum open system. Int. J. Mod. Phys. A 1995, 10, 4537. [Google Scholar] [CrossRef]
- Hu, B.L.; Matacz, A. Quantum Brownian motion in a bath of parametric oscillators: A model for system-field interactions. Phys. Rev. D 1994, 49, 6612. [Google Scholar] [CrossRef]
- Grishchuk, L.P.; Sidorov, Y.V. Squeezed quantum states of relic gravitons and primordial density fluctuations. Phys. Rev. D 1990, 42, 3413. [Google Scholar] [CrossRef]
- Hu, B.L.; Kang, G.; Matacz, A. Squeezed vacua and the quantum statistics of cosmological particle creation. Int. J. Mod. Phys. A 1994, 9, 991. [Google Scholar] [CrossRef]
- Prokopec, T. Entropy of the squeezed vacuum. Class. Quant. Grav. 1993, 10, 2295. [Google Scholar] [CrossRef]
- Albrecht, A.; Ferreira, P.; Joyce, M.; Prokopec, T. Inflation and squeezed quantum states. Phys. Rev. D 1994, 50, 4807. [Google Scholar] [CrossRef]
- Brandenberger, R.H.; Mukhanov, V.F.; Prokopec, T. Entropy of a classical stochastic field and cosmological perturbations. Phys. Rev. Lett. 1992, 69, 3606. [Google Scholar] [CrossRef]
- Brandenberger, R.H.; Prokopec, T.; Mukhanov, V.F. The entropy of the gravitational field. Phys. Rev. D 1993, 48, 2443. [Google Scholar] [CrossRef]
- Mukhanov, V.F.; Feldman, H.A.; Brandenberger, R.H. Theory of cosmological perturbations. Phys. Rep. 1992, 215, 203. [Google Scholar] [CrossRef]
- Brandenberger, R.H.; Laflamme, R.; Mijic, M. Classical perturbations from decoherence of quantum fluctuations in the inflationary universe. Mod. Phys. Lett. A 1990, 5, 2311. [Google Scholar] [CrossRef]
- Gasperini, M.; Giovannini, M. Entropy production in the cosmological amplification of the vacuum fluctuations. Phys. Lett. B 1993, 301, 334. [Google Scholar] [CrossRef]
- Gasperini, M.; Giovannini, M. Quantum squeezing and cosmological entropy production. Class. Quant. Grav. 1993, 10, L133. [Google Scholar] [CrossRef]
- Hu, B.L.; Paz, J.P.; Zhang, Y. Quantum origin of noise and fluctuations in cosmology. In The Origin of Structure in the Universe; Gunzig, E., Nardone, P., Eds.; NATO ASI Series; Kluwer: Dordrecht, The Netherlands, 1993. [Google Scholar]
- Cornwall, J.M.; Bruinsma, R. Quantum evolution of an unstable field in a de Sitter-space thermal bath. Phys. Rev. D 1988, 38, 3146. [Google Scholar] [CrossRef] [PubMed]
- Zhang, Y. Stochastic Properties of Interacting Quantum Fields. Ph.D. Thesis, University of Maryland, College Park, MD, USA, 1990. [Google Scholar]
- Hu, B.L. Quantum statistical field theory in gravitation and cosmology. In Thermal Field Theory, Proceedings of the Canadian Summer School for Theoretical Physics and the Third International Workshop on Thermal Field Theories and Applications, Banff, AL, Canada, 15–28 August 1993; Kobes, R., Kunstatter, G., Eds.; World Scientific: Singapore, 1994. [Google Scholar]
- Matacz, A. A new theory of stochastic inflation. Phys. Rev. D 1997, 55, 1860. [Google Scholar] [CrossRef]
- Hu, B.L. Coarse-graining and backreaction in inflationary and minisuperspace cosmology. In Relativity and Gravitation: Classical and Quantum; D’Olivio, J., Nahmad, E., Rosenbaum, M., Ryan, M.P., Urrutia, L.F., Eds.; World Scientific: Singapore, 1991. [Google Scholar]
- Johnson, P.R.; Hu, B.L. Stochastic theory of relativistic particles moving in a quantum field: I. Influence functional and Langevin equation. arXiv 2000, arXiv:quant-ph/0012137. [Google Scholar]
- Calzetta, E.A.; Hu, B.L.; Mazzitelli, F.D. Coarse-grained effective action and renormalization group theory in semiclassical gravity and cosmology. Phys. Rep. 2001, 352, 459. [Google Scholar] [CrossRef][Green Version]
- Schwinger, J.S. Brownian motion of a quantum oscillator. J. Math. Phys. 1961, 2, 407. [Google Scholar] [CrossRef]
- Keldysh, L. Diagram technique for nonequilibrium processes. Zhurnal Eksp. Teor. Fiz. 1964, 47, 1515. [Google Scholar]
- Chou, K.-C.; Su, Z.-B.; Hao, B.-L.; Yu, L. Equilibrium and non-equilibrium formalisms made unified. Phys. Rep. 1985, 118, 1. [Google Scholar] [CrossRef]
- Calzetta, E.; Hu, B.L. Nonequilibrium quantum fields: Closed-time-path effective action, Wigner function and Boltzmann equation. Phys. Rev. D 1988, 37, 2878. [Google Scholar] [CrossRef]
- Feynman, R.P.; Vernon, F.L. The theory of a general quantum system interacting with a linear dissipative system. Ann. Phys. 1963, 281, 547. [Google Scholar] [CrossRef]
- Grabert, H.; Schramm, P.; Ingold, G.L. Quantum Brownian motion: The functional integral approach. Phys. Rep. 1988, 168, 115. [Google Scholar] [CrossRef]
- Kiefer, C.; Lohmar, I.; Polarski, D.; Starobinsky, A.A. Pointer states for primordial fluctuations in inflationary cosmology. Class. Quant. Grav. 2007, 24, 1699. [Google Scholar] [CrossRef]
- Kiefer, C.; Polarski, D.; Starobinsky, A.A. Entropy of gravitons produced in the early universe. Phys. Rev. D 2000, 62, 043518. [Google Scholar] [CrossRef]
- Koks, D.; Matacz, A.; Hu, B.L. Entropy and uncertainty of squeezed quantum open systems. Phys. Rev. D 1997, 55, 5917. [Google Scholar] [CrossRef]
- Anderson, P.R.; Molina-Paris, C.; Mottola, E. Short distance and initial state effects in inflation: Stress tensor and decoherence. Phys. Rev. D 2005, 72, 043515. [Google Scholar] [CrossRef]
- Kluger, Y.; Mottola, E.; Eisenberg, J.M. Quantum Vlasov equation and its Markov limit. Phys. Rev. D 1998, 58, 125015. [Google Scholar] [CrossRef]
- Hu, B.L.; Pavon, D. Intrinsic measures of field entropy in cosmological particle creation. Phys. Lett. B 1986, 180, 329. [Google Scholar] [CrossRef]
- Martineau, P.; Brandenberger, R.H. The effects of gravitational back-reaction on cosmological perturbations. Phys. Rev. D 2005, 72, 023507. [Google Scholar] [CrossRef]
- Martineau, P. On the decoherence of primordial fluctuations during inflation. Class. Quant. Grav. 2007, 24, 5817. [Google Scholar] [CrossRef]
- Prokopec, T.; Rigopoulos, G.I. Decoherence from isocurvature perturbations in inflation. JCAP 2007, 11, 029. [Google Scholar] [CrossRef]
- Campo, D.; Parentani, R. Decoherence and entropy of primordial fluctuations. I. Formalism and interpretation. Phys. Rev. D 2008, 78, 065044. [Google Scholar] [CrossRef]
- Lin, S.-Y.; Chou, C.-H.; Hu, B.L. Quantum entanglement and entropy in particle creation. Phys. Rev. D 2010, 81, 084018. [Google Scholar] [CrossRef]
- Campo, D.; Parentani, R. Decoherence and entropy of primordial fluctuations. II. The entropy budget. Phys. Rev. D 2008, 78, 065045. [Google Scholar] [CrossRef]
- Boyanovsky, D. Effective field theory during in inflation: Reduced density matrix and its quantum master equation. Phys. Rev. D 2015, 92, 023527. [Google Scholar] [CrossRef]
- Calzetta, E.A.; Hu, B.L. Correlations, decoherence, dissipation, and noise in quantum field theory. arXiv 1995, arXiv:hep-th/9501040. [Google Scholar]
- Burgess, C.P.; Holman, R.; Tasinato, G.; Williams, M. EFT beyond the horizon: Stochastic inflation and how primordial quantum fluctuations go classical. JHEP 2015, 3, 90. [Google Scholar] [CrossRef]
- Shandera, S.; Agarwal, N.; Kamal, A. Open quantum cosmological system. Phys. Rev. D 2018, 98, 083535. [Google Scholar] [CrossRef]
- Hilley, M.; O’Connell, R.F.; Scully, M.O.; Wigner, E.P. Distribution functions in physics: Fundamentals. Phys. Rep. 1984, 106, 121. [Google Scholar] [CrossRef]
- Mückenheim, W.; Ludwig, G.; Dewdney, C.; Holland, P.R.; Kyprianidis, A.; Vigier, J.P.; Petroni, N.C.; Bartlett, M.S.; Jaynes, E.T. A review of extended probabilities. Phys. Rep. 1986, 133, 337. [Google Scholar] [CrossRef]
- Curtright, T.L.; Fairlie, D.B.; Zachos, C.K. A Concise Treatise on Quantum Mechanics in Phase Space; World Scientific: Singapore, 2014. [Google Scholar]
- Baker, G.A., Jr. Formulation of quantum mechanics based on the quasi-probability distribution induced on phase space. Phys. Rev. 1958, 109, 128. [Google Scholar] [CrossRef]
- Egusquiza, I.L.; Feinstein, A.; Sebastián, M.A.P.; Basagoiti, M.A.V. On the entropy and the density matrix of cosmological perturbations. Class. Quant. Grav. 1998, 15, 1927. [Google Scholar] [CrossRef]
- Kleppner, D.; Littman, M.G.; Zimmerman, M.L. Highly excited atoms. Sci. Am. 1981, 244, 130. [Google Scholar] [CrossRef]
- Gradshteyn, I.S.; Ryzhik, I.M. Table of Integrals, Series, and Products, 8th ed.; Academic Press: Waltham, MA, USA, 2015. [Google Scholar]
- Berry, M.V. Semi-classical mechanics in phase space: A study of Wigner’s function. Philos. Trans. R. Soc. 1977, A287, 237. [Google Scholar]
- Berry, M.V.; Mount, K.E. Semiclassical approximations in wave mechanics. Rep. Prog. Phys. 1972, 35, 315. [Google Scholar] [CrossRef]
- Truman, H.; Zhao, H.Z. Semi-classical limit of wave functions. Proc. Am. Math. Soc. 2000, 128, 1003. [Google Scholar] [CrossRef][Green Version]
- Hsiang, J.-T.; Hu, B.L. Fluctuation-dissipation relation for a quantum Brownian oscillator in a parametrically squeezed thermal field. Ann. Phys. 2021, 433, 168594. [Google Scholar] [CrossRef]
- Parker, L. Quantized fields and particle creation in expanding universes. I. Phys. Rev. 1969, 183, 1057. [Google Scholar] [CrossRef]
- Serafini, A.; Illuminati, F.; de Siena, S. Symplectic invariants, entropic measures and correlations of Gaussian states. J. Phys. B 2003, 37, L21. [Google Scholar] [CrossRef]
- Addesso, G.; Ragy, S.; Lee, A.R. Continuous variable quantum information: Gaussian states and beyond. Open Sys. Inf. Dyn. 2014, 21, 144001. [Google Scholar] [CrossRef]
- Martin, J.; Vennin, V. Quantum discord of cosmic inflation: Can we show that CMB anisotropies are of quantum-mechanical origin? Phys. Rev. D 2016, 93, 023505. [Google Scholar] [CrossRef]





Publisher’s Note: MDPI stays neutral with regard to jurisdictional claims in published maps and institutional affiliations. |
© 2022 by the authors. Licensee MDPI, Basel, Switzerland. This article is an open access article distributed under the terms and conditions of the Creative Commons Attribution (CC BY) license (https://creativecommons.org/licenses/by/4.0/).
Share and Cite
Hsiang, J.-T.; Hu, B.-L. No Intrinsic Decoherence of Inflationary Cosmological Perturbations. Universe 2022, 8, 27. https://doi.org/10.3390/universe8010027
Hsiang J-T, Hu B-L. No Intrinsic Decoherence of Inflationary Cosmological Perturbations. Universe. 2022; 8(1):27. https://doi.org/10.3390/universe8010027
Chicago/Turabian StyleHsiang, Jen-Tsung, and Bei-Lok Hu. 2022. "No Intrinsic Decoherence of Inflationary Cosmological Perturbations" Universe 8, no. 1: 27. https://doi.org/10.3390/universe8010027
APA StyleHsiang, J.-T., & Hu, B.-L. (2022). No Intrinsic Decoherence of Inflationary Cosmological Perturbations. Universe, 8(1), 27. https://doi.org/10.3390/universe8010027

