Transport Coefficients of Hyperonic Neutron Star Cores
Abstract
1. Introduction
2. Transport Coefficients
3. Brueckner–Hartree–Fock Approach of Hypernuclear Matter
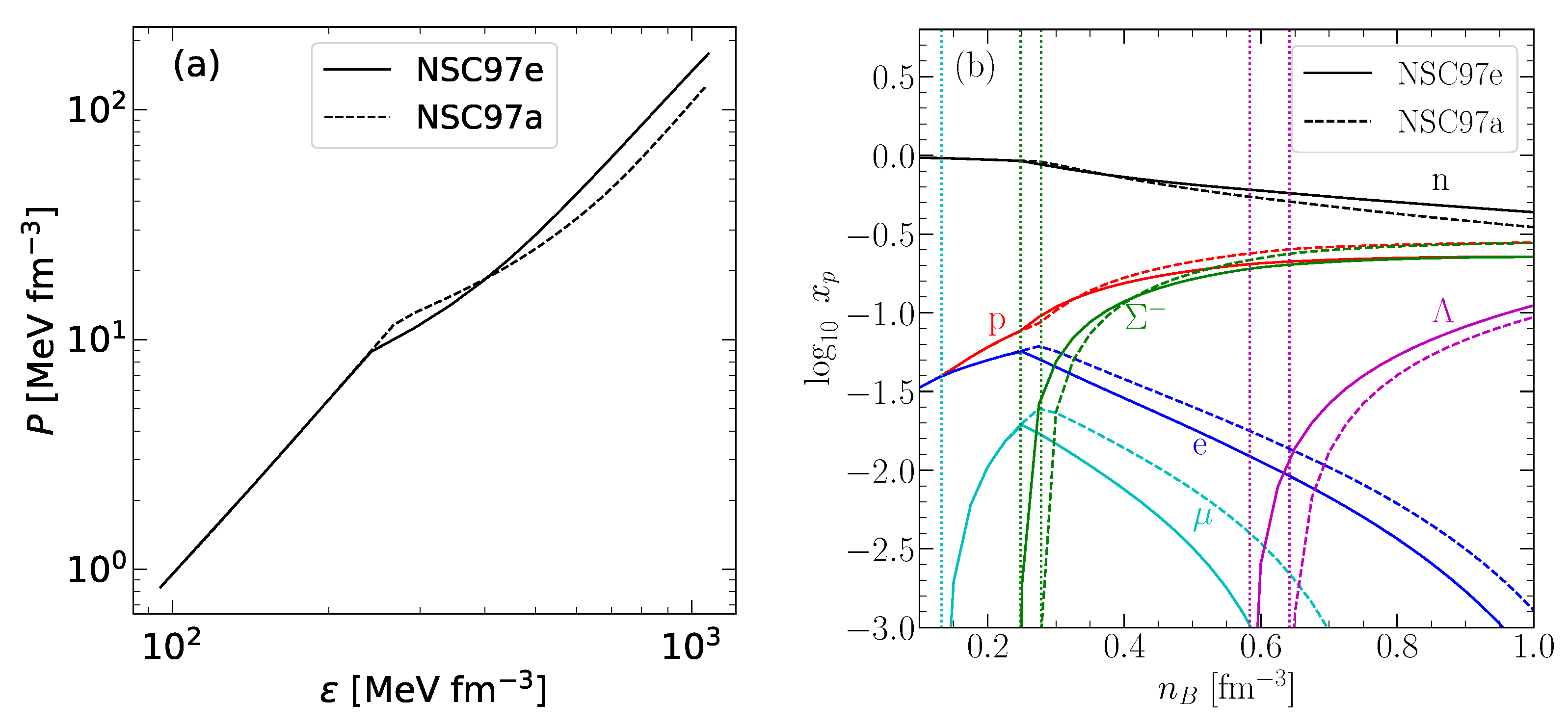
4. Results and Discussion
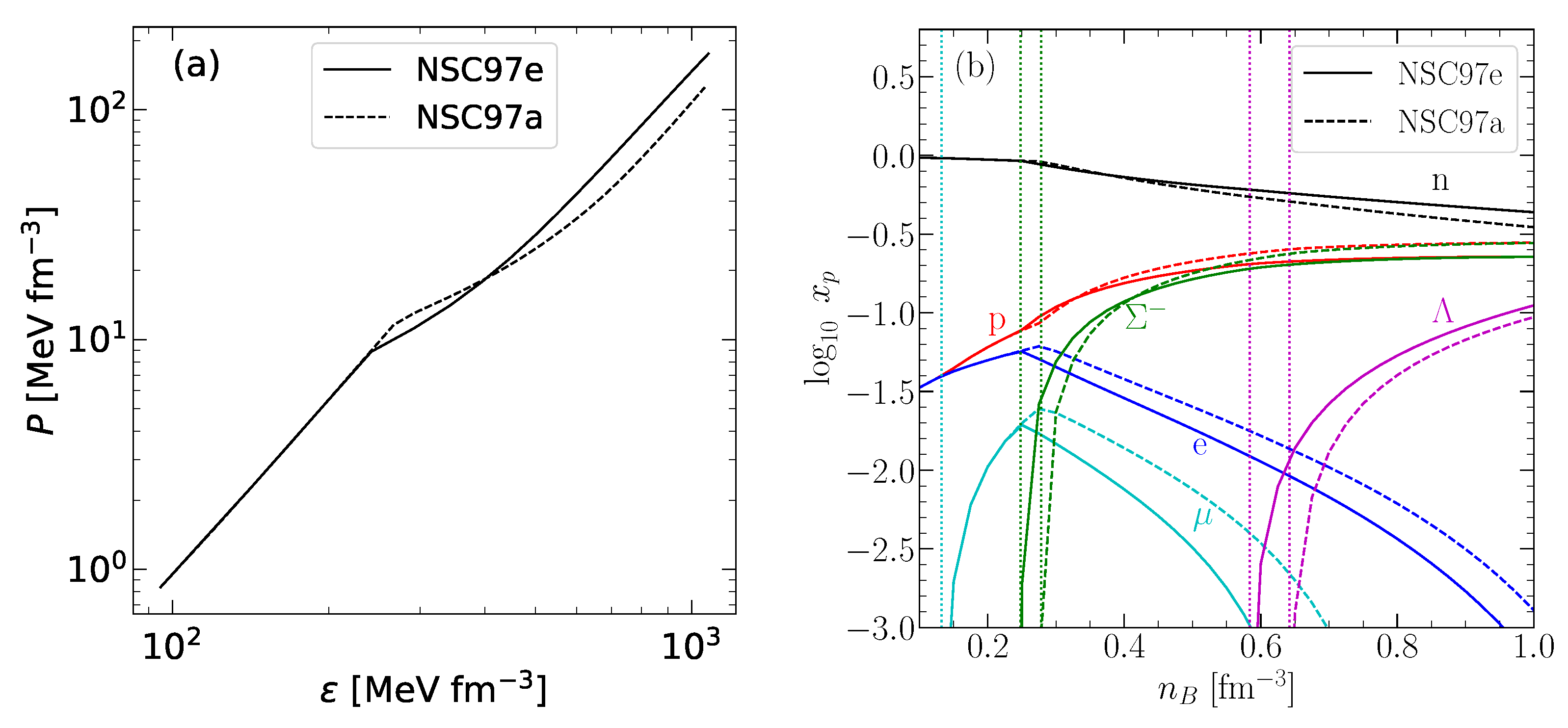
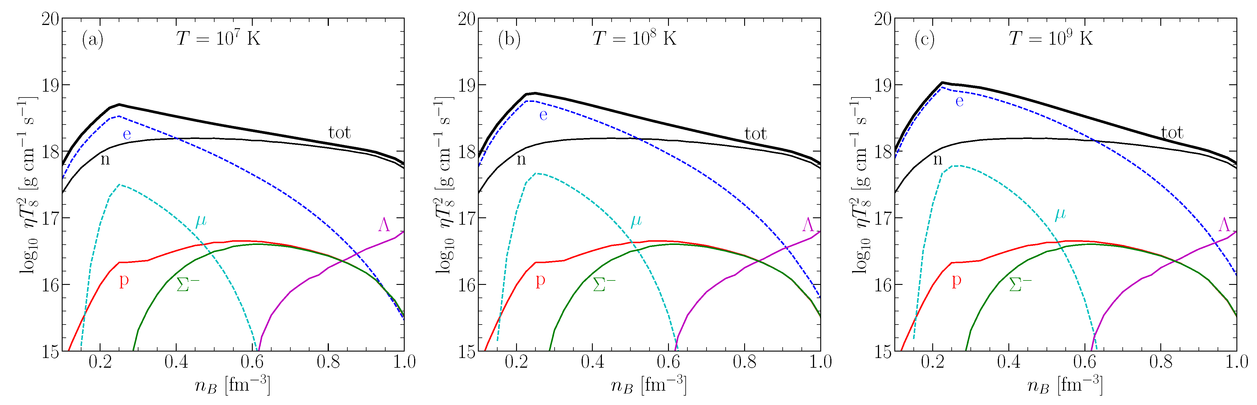
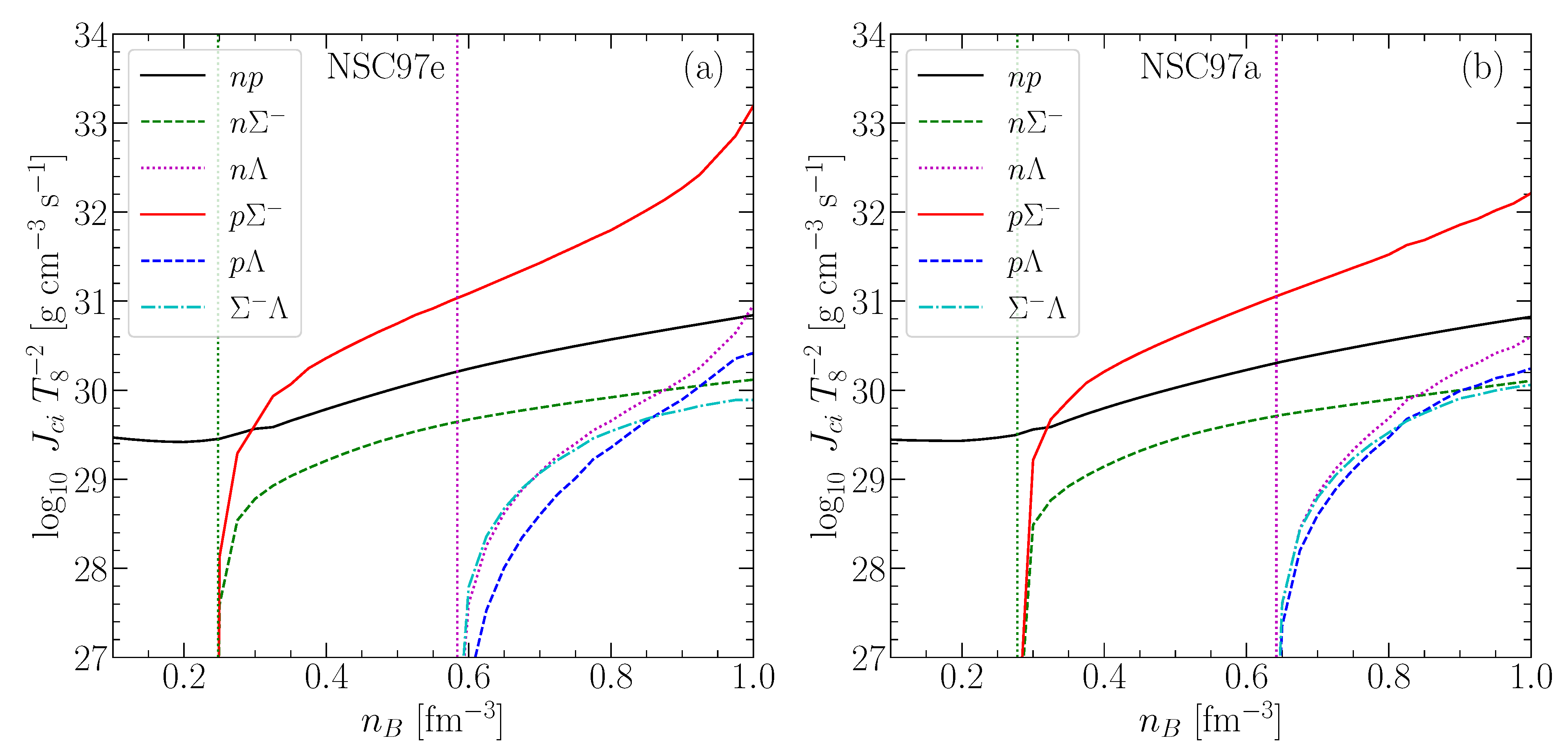
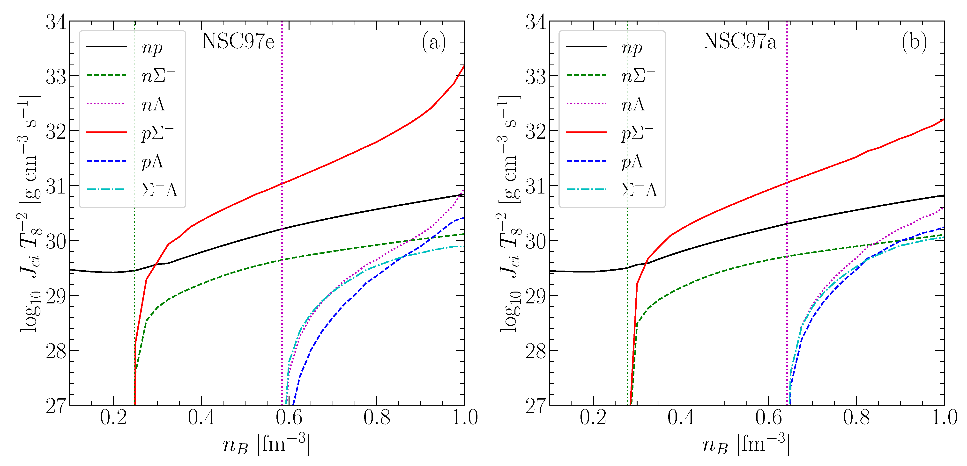
4.1. Transport Matrices and Mean Free Paths
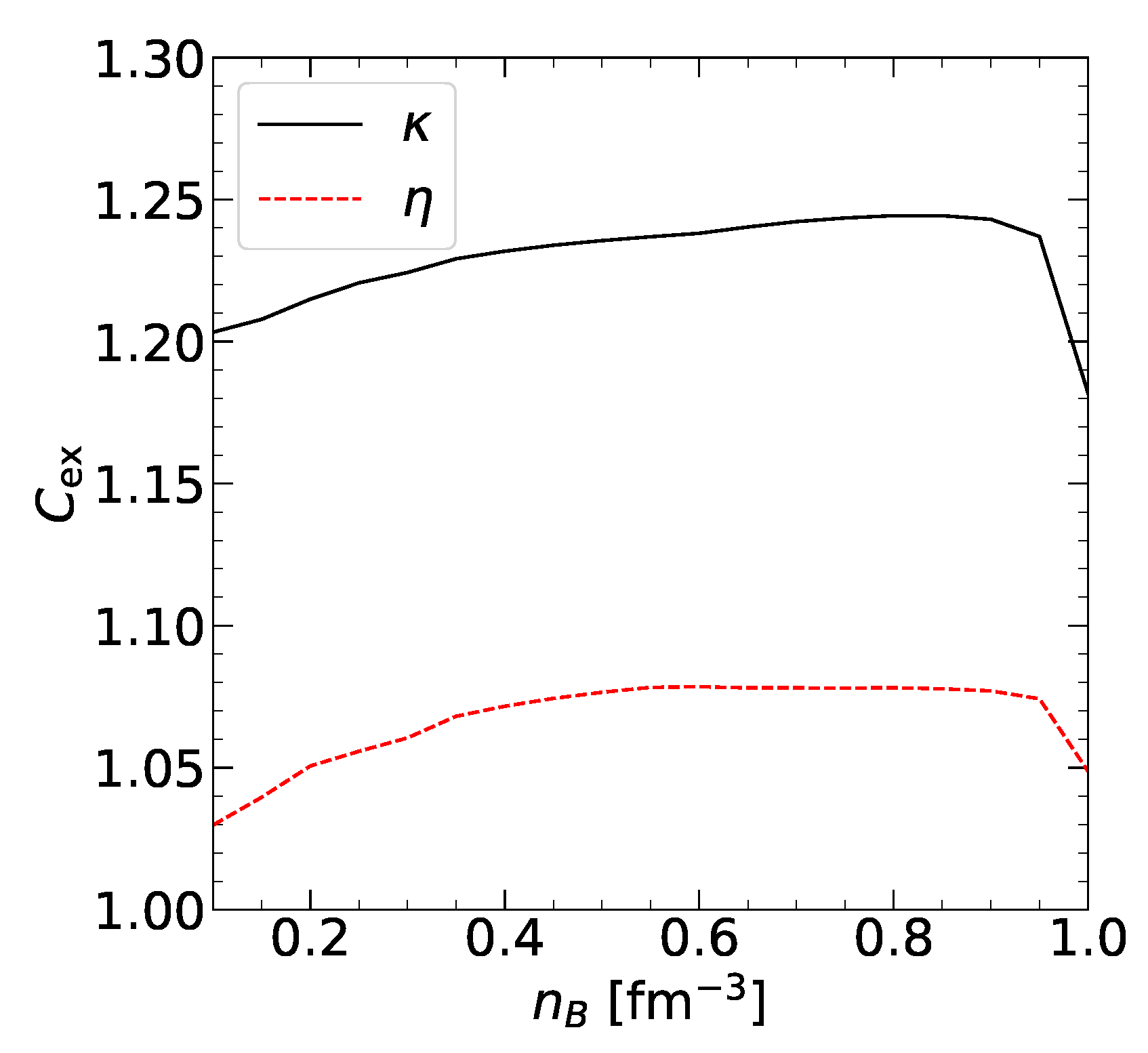
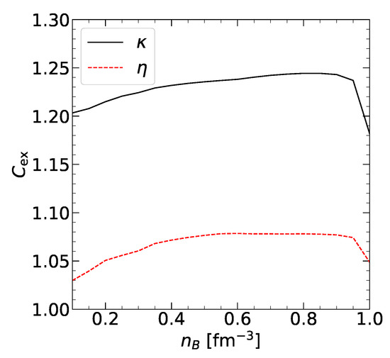
4.2. Corrections to the Variational Solution
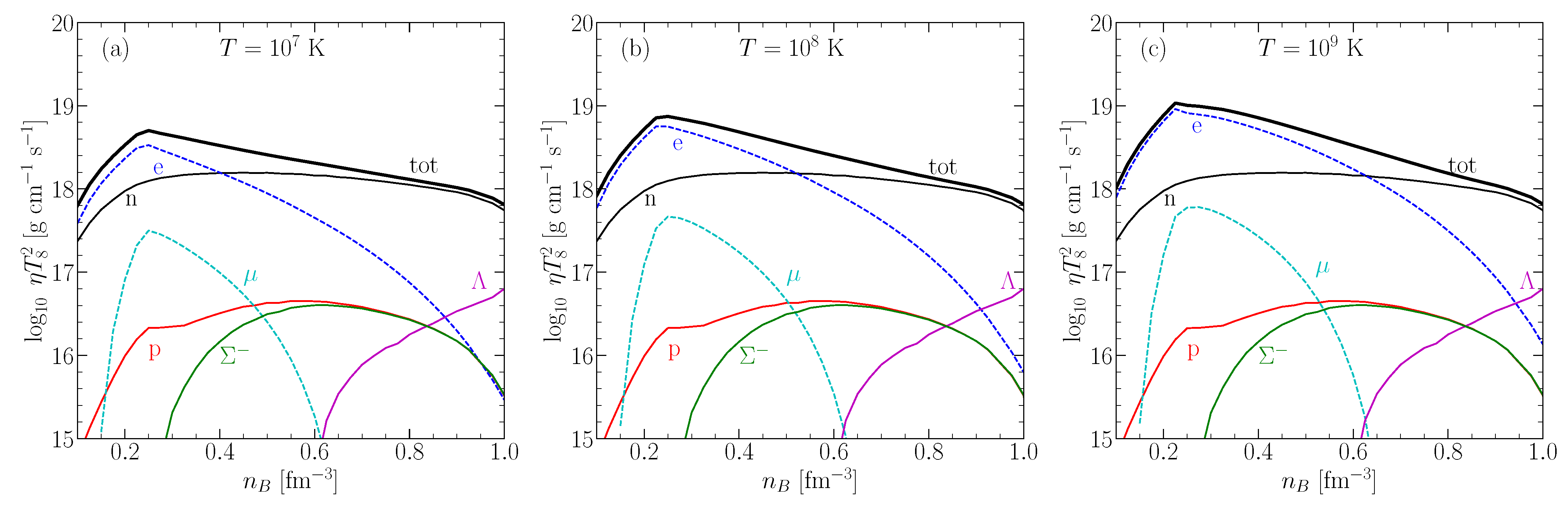
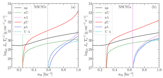
4.3. Transport Coefficients
5. Conclusions
Author Contributions
Funding
Data Availability Statement
Acknowledgments
Conflicts of Interest
Abbreviations
| NS | Neutron star |
| EOS | Equation of state |
| BHF | Brueckner-Hartree-Fock |
| Av18 | Argonne v18 |
| UIX | Urbana IX |
| NSC97 | Nijmegen Soft-Core 97 |
Appendix A
| Species | Range | |||||
|---|---|---|---|---|---|---|
| n | 0.10–1 fm | |||||
| p | 0.10–1 fm | |||||
| 0.25–1 fm | ||||||
| 0.60–1 fm |
Appendix B
| fm | erg cms K | g cms | g cms | |||||||||
| K | K | K | K | K | K | |||||||
| 0.100 | −0.032 | 0.038 | 0.384 | −0.201 | −0.078 | 0.012 | 0.469 | – | – | – | – | – |
| 0.125 | 0.175 | 0.230 | 0.537 | 0.051 | 0.192 | 0.302 | 0.449 | – | – | – | – | – |
| 0.150 | 0.340 | 0.392 | 0.678 | 0.24 | 0.401 | 0.532 | 0.433 | – | – | – | – | – |
| 0.175 | 0.472 | 0.523 | 0.807 | 0.392 | 0.570 | 0.719 | 0.423 | – | – | – | – | – |
| 0.200 | 0.578 | 0.627 | 0.912 | 0.528 | 0.719 | 0.883 | 0.418 | – | – | – | – | – |
| 0.225 | 0.657 | 0.707 | 0.995 | 0.651 | 0.854 | 1.032 | 0.431 | – | – | – | – | – |
| 0.250 | 0.696 | 0.748 | 1.035 | 0.702 | 0.871 | 1.004 | 0.455 | −1.407 | – | −0.869 | – | – |
| 0.275 | 0.714 | 0.763 | 1.056 | 0.668 | 0.845 | 0.993 | 0.510 | −0.461 | – | 0.292 | – | – |
| 0.300 | 0.750 | 0.795 | 1.071 | 0.639 | 0.817 | 0.974 | 0.567 | −0.219 | – | 0.611 | – | – |
| 0.325 | 0.787 | 0.827 | 1.085 | 0.611 | 0.789 | 0.955 | 0.586 | −0.073 | – | 0.933 | – | – |
| 0.350 | 0.796 | 0.834 | 1.084 | 0.580 | 0.755 | 0.924 | 0.657 | 0.036 | – | 1.067 | – | – |
| 0.375 | 0.803 | 0.839 | 1.080 | 0.550 | 0.720 | 0.891 | 0.722 | 0.126 | – | 1.246 | – | – |
| 0.400 | 0.806 | 0.841 | 1.074 | 0.521 | 0.684 | 0.855 | 0.787 | 0.210 | – | 1.360 | – | – |
| 0.425 | 0.807 | 0.840 | 1.065 | 0.493 | 0.648 | 0.817 | 0.849 | 0.288 | – | 1.466 | – | – |
| 0.450 | 0.806 | 0.837 | 1.055 | 0.465 | 0.612 | 0.777 | 0.910 | 0.359 | – | 1.565 | – | – |
| 0.475 | 0.803 | 0.832 | 1.043 | 0.437 | 0.575 | 0.736 | 0.970 | 0.425 | – | 1.661 | – | – |
| 0.500 | 0.798 | 0.826 | 1.029 | 0.410 | 0.539 | 0.694 | 1.028 | 0.483 | – | 1.749 | – | – |
| 0.525 | 0.792 | 0.819 | 1.013 | 0.384 | 0.503 | 0.651 | 1.083 | 0.537 | – | 1.845 | – | – |
| 0.550 | 0.785 | 0.810 | 0.996 | 0.359 | 0.468 | 0.608 | 1.138 | 0.586 | – | 1.918 | – | – |
| 0.575 | 0.776 | 0.800 | 0.977 | 0.335 | 0.433 | 0.565 | 1.191 | 0.631 | – | 2.006 | – | – |
| 0.600 | 0.764 | 0.786 | 0.955 | 0.311 | 0.399 | 0.522 | 1.241 | 0.671 | −1.398 | 2.086 | −2.312 | −1.210 |
| 0.625 | 0.752 | 0.773 | 0.933 | 0.287 | 0.366 | 0.480 | 1.287 | 0.707 | −0.746 | 2.172 | −1.470 | −0.641 |
| 0.650 | 0.738 | 0.757 | 0.908 | 0.262 | 0.333 | 0.437 | 1.331 | 0.741 | −0.378 | 2.257 | −0.992 | −0.328 |
| 0.675 | 0.722 | 0.740 | 0.884 | 0.238 | 0.300 | 0.395 | 1.374 | 0.773 | −0.118 | 2.343 | −0.655 | −0.103 |
| 0.700 | 0.707 | 0.724 | 0.864 | 0.213 | 0.267 | 0.352 | 1.417 | 0.804 | 0.078 | 2.428 | −0.400 | 0.071 |
| 0.725 | 0.688 | 0.705 | 0.842 | 0.188 | 0.234 | 0.310 | 1.456 | 0.835 | 0.262 | 2.522 | −0.169 | 0.216 |
| 0.750 | 0.672 | 0.688 | 0.820 | 0.164 | 0.203 | 0.269 | 1.495 | 0.865 | 0.400 | 2.612 | 0.010 | 0.334 |
| 0.775 | 0.648 | 0.664 | 0.793 | 0.138 | 0.171 | 0.227 | 1.533 | 0.893 | 0.548 | 2.707 | 0.223 | 0.459 |
| 0.800 | 0.632 | 0.647 | 0.770 | 0.115 | 0.141 | 0.188 | 1.570 | 0.920 | 0.655 | 2.797 | 0.357 | 0.540 |
| 0.825 | 0.610 | 0.625 | 0.744 | 0.090 | 0.111 | 0.150 | 1.605 | 0.948 | 0.782 | 2.907 | 0.508 | 0.612 |
| 0.850 | 0.588 | 0.601 | 0.715 | 0.065 | 0.082 | 0.113 | 1.640 | 0.975 | 0.897 | 3.019 | 0.654 | 0.680 |
| 0.875 | 0.567 | 0.579 | 0.687 | 0.041 | 0.054 | 0.078 | 1.675 | 1.001 | 1.000 | 3.137 | 0.776 | 0.734 |
| 0.900 | 0.542 | 0.554 | 0.656 | 0.015 | 0.025 | 0.043 | 1.709 | 1.026 | 1.118 | 3.269 | 0.895 | 0.774 |
| 0.925 | 0.508 | 0.520 | 0.616 | −0.015 | −0.008 | 0.005 | 1.742 | 1.050 | 1.253 | 3.422 | 1.045 | 0.823 |
| 0.950 | 0.448 | 0.459 | 0.554 | −0.062 | −0.057 | −0.047 | 1.776 | 1.073 | 1.449 | 3.639 | 1.200 | 0.857 |
| 0.975 | 0.387 | 0.398 | 0.491 | −0.109 | −0.106 | −0.099 | 1.809 | 1.096 | 1.645 | 3.855 | 1.355 | 0.890 |
| 1.000 | 0.251 | 0.264 | 0.368 | −0.190 | −0.187 | −0.183 | 1.843 | 1.118 | 1.954 | 4.192 | 1.418 | 0.892 |
| fm | erg cms K | g cms | g cms | |||||||||
| K | K | K | K | K | K | |||||||
| 0.100 | 0.052 | 0.391 | 0.022 | 0.446 | – | – | – | – | – | |||
| 0.125 | 0.182 | 0.237 | 0.540 | 0.053 | 0.195 | 0.306 | 0.438 | – | – | – | – | – |
| 0.150 | 0.338 | 0.39 | 0.677 | 0.239 | 0.401 | 0.532 | 0.435 | – | – | – | – | – |
| 0.175 | 0.465 | 0.517 | 0.804 | 0.39 | 0.567 | 0.716 | 0.432 | – | – | – | – | – |
| 0.200 | 0.568 | 0.619 | 0.907 | 0.525 | 0.716 | 0.88 | 0.432 | – | – | – | – | – |
| 0.225 | 0.648 | 0.698 | 0.991 | 0.648 | 0.851 | 1.028 | 0.447 | – | – | – | – | – |
| 0.250 | 0.715 | 0.766 | 1.062 | 0.764 | 0.977 | 1.164 | 0.467 | – | – | – | – | – |
| 0.275 | 0.770 | 0.821 | 1.123 | 0.871 | 1.094 | 1.292 | 0.496 | – | – | – | – | – |
| 0.300 | 0.759 | 0.813 | 1.122 | 0.803 | 0.996 | 1.158 | 0.559 | – | 0.215 | – | – | |
| 0.325 | 0.806 | 0.854 | 1.143 | 0.772 | 0.971 | 1.146 | 0.587 | – | 0.673 | – | – | |
| 0.350 | 0.812 | 0.858 | 1.143 | 0.735 | 0.937 | 1.121 | 0.664 | – | 0.886 | – | – | |
| 0.375 | 0.816 | 0.860 | 1.140 | 0.699 | 0.900 | 1.090 | 0.733 | 0.042 | – | 1.082 | – | – |
| 0.400 | 0.818 | 0.860 | 1.135 | 0.662 | 0.861 | 1.056 | 0.798 | 0.144 | – | 1.208 | – | – |
| 0.425 | 0.817 | 0.858 | 1.127 | 0.626 | 0.821 | 1.018 | 0.860 | 0.236 | – | 1.318 | – | – |
| 0.450 | 0.814 | 0.854 | 1.118 | 0.589 | 0.780 | 0.978 | 0.918 | 0.318 | – | 1.417 | – | – |
| 0.475 | 0.809 | 0.848 | 1.107 | 0.553 | 0.738 | 0.936 | 0.973 | 0.390 | – | 1.509 | – | – |
| 0.500 | 0.803 | 0.841 | 1.094 | 0.516 | 0.696 | 0.891 | 1.027 | 0.454 | – | 1.597 | – | – |
| 0.525 | 0.795 | 0.832 | 1.080 | 0.480 | 0.652 | 0.845 | 1.079 | 0.510 | – | 1.681 | – | – |
| 0.550 | 0.787 | 0.822 | 1.064 | 0.444 | 0.608 | 0.797 | 1.130 | 0.506 | – | 1.764 | – | – |
| 0.575 | 0.777 | 0.811 | 1.047 | 0.408 | 0.563 | 0.748 | 1.179 | 0.606 | – | 1.846 | – | – |
| 0.600 | 0.765 | 0.798 | 1.028 | 0.372 | 0.518 | 0.697 | 1.227 | 0.648 | – | 1.925 | – | – |
| 0.625 | 0.753 | 0.784 | 1.007 | 0.336 | 0.472 | 0.645 | 1.275 | 0.687 | – | 2.003 | – | – |
| 0.650 | 0.729 | 0.760 | 0.979 | 0.301 | 0.427 | 0.591 | 1.320 | 0.723 | 2.079 | |||
| 0.675 | 0.707 | 0.737 | 0.951 | 0.264 | 0.381 | 0.538 | 1.362 | 0.754 | 2.153 | |||
| 0.700 | 0.685 | 0.714 | 0.922 | 0.227 | 0.335 | 0.484 | 1.402 | 0.784 | 2.227 | |||
| 0.725 | 0.660 | 0.688 | 0.889 | 0.190 | 0.288 | 0.428 | 1.442 | 0.812 | 0.115 | 2.300 | 0.045 | |
| 0.750 | 0.634 | 0.660 | 0.854 | 0.151 | 0.240 | 0.371 | 1.480 | 0.841 | 0.332 | 2.375 | 0.112 | 0.237 |
| 0.775 | 0.605 | 0.630 | 0.816 | 0.111 | 0.191 | 0.312 | 1.518 | 0.868 | 0.520 | 2.447 | 0.305 | 0.394 |
| 0.800 | 0.574 | 0.598 | 0.781 | 0.070 | 0.140 | 0.251 | 1.555 | 0.895 | 0.684 | 2.523 | 0.472 | 0.526 |
| 0.825 | 0.528 | 0.552 | 0.739 | 0.020 | 0.083 | 0.184 | 1.591 | 0.921 | 0.887 | 2.629 | 0.675 | 0.654 |
| 0.850 | 0.505 | 0.529 | 0.710 | 0.035 | 0.124 | 1.627 | 0.948 | 0.979 | 2.686 | 0.770 | 0.745 | |
| 0.875 | 0.469 | 0.492 | 0.672 | 0.059 | 1.662 | 0.974 | 1.110 | 2.773 | 0.888 | 0.828 | ||
| 0.900 | 0.434 | 0.457 | 0.633 | 1.696 | 1.001 | 1.221 | 2.857 | 0.993 | 0.908 | |||
| 0.925 | 0.410 | 0.432 | 0.600 | 1.730 | 1.027 | 1.307 | 2.925 | 1.054 | 0.949 | |||
| 0.950 | 0.374 | 0.395 | 0.557 | 1.762 | 1.053 | 1.416 | 3.019 | 1.135 | 0.997 | |||
| 0.975 | 0.352 | 0.372 | 0.523 | 1.794 | 1.080 | 1.485 | 3.097 | 1.179 | 1.032 | |||
| 1.000 | 0.311 | 0.330 | 0.473 | 1.824 | 1.106 | 1.603 | 3.213 | 1.244 | 1.060 | |||
| 1 | Neutrons and hyperons also couple to the electromagnetic fields due to their magnetic moments; however, this contribution is negligible. |
References
- Blaschke, D.; Chamel, N. Phases of Dense Matter in Compact Stars. In Astrophysics and Space Science Library; Rezzolla, L., Pizzochero, P., Jones, D.I., Rea, N., Vidaña, I., Eds.; Springer: Cham, Switzerland, 2018; Volume 457, p. 337. [Google Scholar] [CrossRef]
- Ambartsumyan, V.A.; Saakyan, G.S. The Degenerate Superdense Gas of Elementary Particles. Sov. Astron. 1960, 4, 187. [Google Scholar]
- Balberg, S.; Gal, A. An effective equation of state for dense matter with strangeness. Nucl. Phys. A 1997, 625, 535. [Google Scholar] [CrossRef]
- Balberg, S.; Lichtenstadt, I.; Cook, G.B. Roles of hyperons in neutron stars. Astrophys. J. Suppl. Ser. 1999, 121, 515. [Google Scholar] [CrossRef]
- Glendenning, N.K. The hyperon composition of neutron stars. Phys. Lett. B 1982, 114, 392. [Google Scholar] [CrossRef]
- Glendenning, N.K. Neutron stars are giant hypernuclei? Astrophys. J. 1985, 293, 470. [Google Scholar] [CrossRef]
- Glendenning, N.K. Hyperons in neutron stars. Z. Phys. A 1987, 326, 57. [Google Scholar] [CrossRef]
- Glendenning, N.K.; Moszkowski, S.A. Reconciliation of neutron-star masses and binding of the Λ hypernuclei. Phys. Rev. Lett. 1991, 67, 2414. [Google Scholar] [CrossRef]
- Weber, F.; Weigel, M.K. Baryon Composition and Macroscopic Properties of Neutron Stars. Nucl. Phys. A 1989, 505, 779. [Google Scholar] [CrossRef]
- Knorren, R.; Prakash, M.; Ellis, P.J. Strangeness in hadronic stellar matter. Phys. Rev. C 1995, 52, 3470. [Google Scholar] [CrossRef]
- Schaffner, J.; Mishustin, I. Hyperon-rich matter in neutron stars. Phys. Rev. C 1996, 53, 1416. [Google Scholar] [CrossRef] [PubMed]
- Huber, H.; Weber, F.; Weigel, M.K.; Schaab, C. Neutron star properties with relativistic equations of state. Int. J. Mod. Phys. E 1998, 7, 310. [Google Scholar] [CrossRef]
- Schulze, H.J.; Baldo, M.; Lombardo, U.; Cugnon, J.; Lejeune, A. Hypernuclear matter in the Brueckner–Hartree–Fock approximation. Phys. Lett. B 1995, 355, 21. [Google Scholar] [CrossRef]
- Schulze, H.J.; Baldo, M.; Lombardo, U.; Cugnon, J.; Lejeune, A. Hyperonic nuclear matter in Brueckner theory. Phys. Rev. C 1998, 57, 704. [Google Scholar] [CrossRef]
- Baldo, M.; Burgio, G.F.; Schulze, H.J. Onset of hyperon formation in neutron star matter from Brueckner theory. Phys. Rev. C 1998, 58, 3688. [Google Scholar] [CrossRef]
- Vidaña, I.; Polls, A.; Ramos, A.; Hjorth–Jensen, M.; Stoks, V.G.J. Strange nuclear matter within Brueckner–Hartree–Fock theory. Phys. Rev. C 2000, 61, 025802. [Google Scholar] [CrossRef]
- Baldo, M.; Burgio, G.F.; Schulze, H.J. Hyperon stars in the Brueckner–Bethe–Goldstone theory. Phys. Rev. C 1998, 61, 055801. [Google Scholar] [CrossRef]
- Vidaña, I.; Polls, A.; Ramos, A.; Engvik, L.; Hjorth–Jensen, M. Hyperon-hyperon interactions and properties of neutron star matter. Phys. Rev. C 2000, 62, 035801. [Google Scholar] [CrossRef]
- Schulze, H.J.; Polls, A.; Ramos, A.; Vidaña, I. Maximum mass of neutron stars. Phys. Rev. C 2006, 73, 058801. [Google Scholar] [CrossRef]
- Sammarruca, F. Effect of Λ hyperons on the nuclear equation of state in a Dirac–Brueckner–Hartree–Fock model. Phys. Rev. C 2009, 79, 034301. [Google Scholar] [CrossRef]
- Dapo, H.; Schaeffer, B.J.; Wambach, J. Appearance of hyperons in neutron stars. Phys. Rev. C 2010, 81, 035803. [Google Scholar] [CrossRef]
- Schulze, H.J.; Rijken, T. Maximum mass of hyperon stars with the Nijmegen ESC08 model. Phys. Rev. C 2011, 84, 035801. [Google Scholar] [CrossRef]
- Lonardoni, D.; Pederiva, F.; Gandolfi, S. Accurate determination of the interaction between Λ hyperons and nucleons from auxiliary field diffusion Monte Carlo calculations. Phys. Rev. C 2014, 89, 014314. [Google Scholar] [CrossRef]
- Lonardoni, D.; Lovato, A.; Gandolfi, S.; Pederiva, F. Hyperon Puzzle: Hints from Quantum Monte Carlo Calculations. Phys. Rev. Lett. 2015, 114, 092301. [Google Scholar] [CrossRef]
- Petschauer, S.; Haidenbauer, J.; Kaiser, N.; Meissner, U.G.; Weise, W. Hyperons in nuclear matter from SU(3) chiral effective field theory. Eur. Phys. J. A 2016, 52, 15. [Google Scholar] [CrossRef]
- Logoteta, D.; Vidaña, I.; Bombaci, I. Impact of chiral hyperonic three-body forces on neutron stars. Eur. Phys. J. A 2019, 57, 207. [Google Scholar] [CrossRef]
- Champion, D.J.; Ransom, S.M.; Lazarus, P.; Camilo, F.; Bassa, C.; Kaspi, V.M.; Nice, D.J.; Freire, P.C.C.; Stairs, I.H.; van Leeuwen, J.; et al. An eccentric binary millisecond pulsar in the galactic plane. Science 2008, 320, 1309. [Google Scholar] [CrossRef]
- Demorest, P.B.; Pennucci, T.; Ransom, S.M.; Roberts, M.S.E.; Hessels, J.W.T. A two-solar-mass neutron star measured using Shapiro delay. Nature 2010, 467, 1081. [Google Scholar] [CrossRef]
- Antoniadis, J.; Freire, P.C.C.; Wex, N.; Tauris, T.M.; Lynch, R.S.; van Kerkwijk, M.H.; Kramer, M.; Bassa, C.; Dhillon, V.S.; Driebe, T.; et al. A massive pulsar in a compact relativistic binary. Science 2013, 340, 1233232. [Google Scholar] [CrossRef]
- Cromartie, H.T.; Fonseca, E.; Ransom, S.M.; Demorest, P.B.; Arzoumanian, Z.; Blumer, H.; Brook, P.R.; DeCesar, M.E.; Dolch, T.; Ellis, J.A.; et al. Relativistic Shapiro delay measurements of an extremely massive millisecond pulsar. Nat. Astron. 2020, 4, 72. [Google Scholar] [CrossRef]
- Chatterjee, D.; Vidaña, I. Do hyperons exists in the interior of neutron stars? Eur. Phys. J. A 2016, 52, 29. [Google Scholar] [CrossRef]
- Vidaña, I. Hyperons: the strange ingredients of the nuclear equation of state. Proc. R. Soc. Lond. Ser. A 2018, 474, 20180145. [Google Scholar] [CrossRef]
- Kaplan, D.B.; Nelson, A.E. Strange goings on in dense nucleonic matter. Phys. Lett. B 1986, 175, 57–63, Erratum in 1986, 179, 409–410. [Google Scholar] [CrossRef]
- Brown, G.E.; Lee, C.H.; Rho, M.; Thorsson, V. From kaon-nuclear interactions to kaon condensation. Nucl. Phys. A 1994, 567, 937–956. [Google Scholar] [CrossRef][Green Version]
- Thorsson, V.; Prakash, M.; Lattimer, J.M. Composition, structure and evolution of neutron stars with kaon condensates. Nucl. Phys. A 1994, 572, 693–731. [Google Scholar] [CrossRef]
- Lee, C.H. Kaon condensation in dense stellar matter. Phys. Rep. 1996, 275, 255–341. [Google Scholar] [CrossRef]
- Glendenning, N.K.; Schaffner-Bielich, J. Kaon Condensation and Dynamical Nucleons in Neutron Stars. Phys. Rev. Lett. 1998, 81, 4564–4567. [Google Scholar] [CrossRef]
- Tolos, L.; Fabbietti, L. Strangeness in nuclei and neutron stars. Prog. Part. Nucl. Phys. 2020, 112, 103770. [Google Scholar] [CrossRef]
- Schmitt, A.; Shternin, P. Reaction Rates and Transport in Neutron Stars. In The Physics and Astrophysics of Neutron Stars; Rezzolla, L., Pizzochero, P., Jones, D.I., Rea, N., Vidaña, I., Eds.; Springer International Publishing: Cham, Switzerland, 2018; pp. 455–574. [Google Scholar] [CrossRef]
- Yakovlev, D.G.; Shalybkov, D.A. Electrical conductivity of neutron star cores in the presence of a magnetic field—I. General solution for a multicomponent Fermi liquid—II.—A free particle model of npeΣ− matter. Astroph. Space Sci. 1991, 176, 171–189. [Google Scholar] [CrossRef]
- Goldreich, P.; Reisenegger, A. Magnetic field decay in isolated neutron stars. Astrophys. J. 1992, 395, 250–258. [Google Scholar] [CrossRef]
- Dommes, V.A.; Gusakov, M.E.; Shternin, P.S. Dissipative relativistic magnetohydrodynamics of a multicomponent mixture and its application to neutron stars. Phys. Rev. D 2020, 101, 103020. [Google Scholar] [CrossRef]
- Baym, G.; Pethick, C. Landau Fermi-Liquid Theory: Concepts and Applications; John Wiley & Sons, Inc.: New York, NY, USA; Chichester, UK; Brisbane, Australia; Toronto, ON, Canada; Singapore, 1991. [Google Scholar] [CrossRef]
- Flowers, E.; Itoh, N. Transport properties of dense matter. II. Astrophys. J. 1979, 230, 847–858. [Google Scholar] [CrossRef]
- Anderson, R.H.; Pethick, C.J.; Quader, K.F. Transport properties of a multicomponent Fermi liquid. Phys. Rev. B 1987, 35, 1620–1629. [Google Scholar] [CrossRef]
- Shternin, P.S.; Baldo, M.; Haensel, P. Transport coefficients of nuclear matter in neutron star cores. Phys. Rev. C 2013, 88, 065803. [Google Scholar] [CrossRef]
- Shternin, P.S.; Baldo, M. Transport coefficients of nucleon neutron star cores for various nuclear interactions within the Brueckner-Hartree-Fock approach. Phys. Rev. D 2020, 102, 063010. [Google Scholar] [CrossRef]
- Baldo, M. (Ed.) Nuclear Methods and the Nuclear Equation of State; Volume 8, International Review of Nuclear Physics; World Scientific: Singapore, 1999. [Google Scholar] [CrossRef]
- Wiringa, R.B.; Stoks, V.G.J.; Schiavilla, R. Accurate nucleon-nucleon potential with charge-independence breaking. Phys. Rev. C 1995, 51, 38–51. [Google Scholar] [CrossRef] [PubMed]
- Carlson, J.; Pandharipande, V.R.; Wiringa, R.B. Three-nucleon interaction in 3-, 4- and N-body systems. Nucl. Phys. A 1983, 401, 59–85. [Google Scholar] [CrossRef]
- Stoks, V.G.J.; Rijken, T.A. Soft-core baryon-baryon potentials for the complete baryon octet. Phys. Rev. C 1999, 59, 3009–3020. [Google Scholar] [CrossRef]
- Rijken, T.A.; Stoks, V.G.J.; Yamamoto, Y. Soft-core hyperon-nucleon potentials. Phys. Rev. C 1999, 59, 21–40. [Google Scholar] [CrossRef]
- Shternin, P.; Baldo, M.; Schulze, H. Transport coefficients in neutron star cores in BHF approach. Comparison of different nucleon potentials. J. Phys. Conf. Ser. 2017, 932, 012042. [Google Scholar] [CrossRef]
- Shternin, P. Transport coefficients of leptons in superconducting neutron star cores. Phys. Rev. D 2018, 98, 063015. [Google Scholar] [CrossRef]
- Heiselberg, H.; Pethick, C.J. Transport and relaxation in degenerate quark plasmas. Phys. Rev. D 1993, 48, 2916–2928. [Google Scholar] [CrossRef] [PubMed]
- Heiselberg, H.; Baym, G.; Pethick, C.J.; Popp, J. Transport coefficients of relativistic plasmas. Nucl. Phys. A 1992, 544, 569–572. [Google Scholar] [CrossRef]
- Akmal, A.; Pandharipande, V.R.; Ravenhall, D.G. Equation of state of nucleon matter and neutron star structure. Phys. Rev. C 1998, 58, 1804–1828. [Google Scholar] [CrossRef]
- Fabrocini, F.; Fantoni, S. Correlated basis function results for the Argonne models of nuclear matter. Phys. Lett. B 1993, 298, 263–266. [Google Scholar] [CrossRef]
- Kadanoff, L.P.; Baym, G. Quantum Statistical Mechanics; Benjamin: New York, NY, USA, 1962. [Google Scholar]
- Kraeft, W.D.; Kremp, W.; Ebeling, W.; Röpke, G. Quantum Statistical of Charged Paerticle Systems; Akademie–Verlag: Berlin, Germany, 1986. [Google Scholar]
- Day, B.D. Elements of the Brueckner–Goldstone Theory of Nuclear Matter. Rev. Mod. Phys. 1967, 39, 719–744. [Google Scholar] [CrossRef]
- ter Haar, B.; Malfliet, R. Nucleons, mesons and deltas in nuclear matter a relativistic Dirac–Brueckner approach. Phys. Rep. 1987, 149, 207–286. [Google Scholar] [CrossRef]
- ter Haar, B.; Malfliet, R. Pion production, pion absorption, and nucleon properties in dense nuclear matter: Relativistic Dirac–Brueckner approach at intermediate and high energies. Phys. Rev. C 1987, 36, 1611–1620. [Google Scholar] [CrossRef] [PubMed]
- Brockman, R.; Machleidt, R. Relativistic nuclear structure. I. Nuclear matter. Phys. Rev. C 1990, 42, 1965–1980. [Google Scholar] [CrossRef]
- Song, H.Q.; Baldo, M.; Giansiracura, G.; Lombardo, U. Bethe–Brueckner–Goldstone expansion in nuclear matter. Phys. Rev. Lett. 1998, 81, 1584. [Google Scholar] [CrossRef]
- Baldo, M.; Giansiracusa, G.; Lombardo, U.; Song, H.Q. Bethe–Brueckner–Goldstone expansion in neutron matter. Phys. Lett. B 2000, 473, 1. [Google Scholar] [CrossRef]
- Loiseau, A.; Nogami, Y.; Ross, C.K. Nucleon-nucleon correlation and two-pion-exchange three-body force in nuclear matter. Nucl. Phys. A 1971, 165, 601. [Google Scholar] [CrossRef]
- Grangé, P.; Martzolff, M.; Nogami, Y.; Sprung, D.W.L.; Ross, C.K. Three-body force in nuclear matter. Phys. Lett. B 1976, 60, 237. [Google Scholar] [CrossRef]
- Baldo, M.; Ferreira, L. Nuclear liquid-gas phase transition. Phys. Rev. C 1999, 59, 682. [Google Scholar] [CrossRef]
- Baldo, M.; Burgio, G.F.; Schulze, H.J.; Taranto, G. Nucleon effective masses within the Brueckner-Hartree-Fock theory: Impact on stellar neutrino emission. Phys. Rev. C 2014, 89, 048801. [Google Scholar] [CrossRef]
- Shternin, P.S.; Yakovlev, D.G. Electron-muon heat conduction in neutron star cores via the exchange of transverse plasmons. Phys. Rev. D 2007, 75, 103004. [Google Scholar] [CrossRef]
- Shternin, P.S.; Yakovlev, D.G. Shear viscosity in neutron star cores. Phys. Rev. D 2008, 78, 063006. [Google Scholar] [CrossRef]
- Shternin, P.S. Exchange of transverse plasmons and electrical conductivity of neutron star cores. JETP 2008, 107, 212–227. [Google Scholar] [CrossRef]
- Sedrakian, A.; Clark, J.W. Superfluidity in nuclear systems and neutron stars. Eur. Phys. J. A 2019, 55, 167. [Google Scholar] [CrossRef]
- Balberg, S.; Barnea, N. S-wave pairing of Λ hyperons in dense matter. Phys. Rev. C 1998, 57, 409–416. [Google Scholar] [CrossRef]
- Takatsuka, T.; Tamagaki, R. Superfluidity of Λ hyperons admixed in neutron star cores. Prog. Theor. Phys. 1999, 102, 1043–1048. [Google Scholar] [CrossRef]
- Takatsuka, T.; Nishizaki, S.; Yamamoto, Y.; Tamagaki, R. Possibility of hyperon superfluidity in neutron star cores. Prog. Theor. Phys. 2000, 107, 179–184. [Google Scholar] [CrossRef][Green Version]
- Takatsuka, T.; Nishizaki, S.; Yamamoto, Y.; Tamagaki, R. Superfluidity of hyperon-mixed neutron stars. Prog. Theor. Phys. Suppl. 2002, 146, 279–288. [Google Scholar] [CrossRef][Green Version]
- Vidaña, I.; Tolós, L. Superfluidity of Σ− hyperons in β-stable neutron star matter. Phys. Rev. C 2004, 70, 02882. [Google Scholar] [CrossRef]
- Zhou, X.R.; Schulze, H.J.; Pan, E.; Drayer, J.P. Strong hyperon-nucleon pairing in neutron stars. Phys. Rev. Lett. 2005, 95, 051101. [Google Scholar] [CrossRef] [PubMed]
- Wang, Y.N.; Shen, H. Superfluidity of Λ hyperons in neutron stars. Phys. Rev. C 2010, 81, 025801. [Google Scholar] [CrossRef]
- Andersson, N. A Superfluid Perspective on Neutron Star Dynamics. Universe 2021, 7, 17. [Google Scholar] [CrossRef]
- Baiko, D.A.; Haensel, P.; Yakovlev, D.G. Thermal conductivity of neutrons in neutron star cores. Astron. Astrophys. 2001, 374, 151–163. [Google Scholar] [CrossRef]
- Vollhardt, D.; Wölfle, P. The Superfluid Phases of Helium 3; Taylor & Francis: Bristol, UK, 1990. [Google Scholar] [CrossRef]
- Manuel, C.; Tolos, L. Transport Properties of Superfluid Phonons in Neutron Stars. Universe 2021, 7, 59. [Google Scholar] [CrossRef]










Publisher’s Note: MDPI stays neutral with regard to jurisdictional claims in published maps and institutional affiliations. |
© 2021 by the authors. Licensee MDPI, Basel, Switzerland. This article is an open access article distributed under the terms and conditions of the Creative Commons Attribution (CC BY) license (https://creativecommons.org/licenses/by/4.0/).
Share and Cite
Shternin, P.; Vidaña, I. Transport Coefficients of Hyperonic Neutron Star Cores. Universe 2021, 7, 203. https://doi.org/10.3390/universe7060203
Shternin P, Vidaña I. Transport Coefficients of Hyperonic Neutron Star Cores. Universe. 2021; 7(6):203. https://doi.org/10.3390/universe7060203
Chicago/Turabian StyleShternin, Peter, and Isaac Vidaña. 2021. "Transport Coefficients of Hyperonic Neutron Star Cores" Universe 7, no. 6: 203. https://doi.org/10.3390/universe7060203
APA StyleShternin, P., & Vidaña, I. (2021). Transport Coefficients of Hyperonic Neutron Star Cores. Universe, 7(6), 203. https://doi.org/10.3390/universe7060203

