The SuSA Model for Neutrino Oscillation Experiments: From Quasielastic Scattering to the Resonance Region
Abstract
1. Introduction
2. Charged Current Neutrino-Nucleus Interactions
2.1. One-Body Hadronic Tensor
2.2. Two-Body Hadronic Tensor
3. The SuSA Model
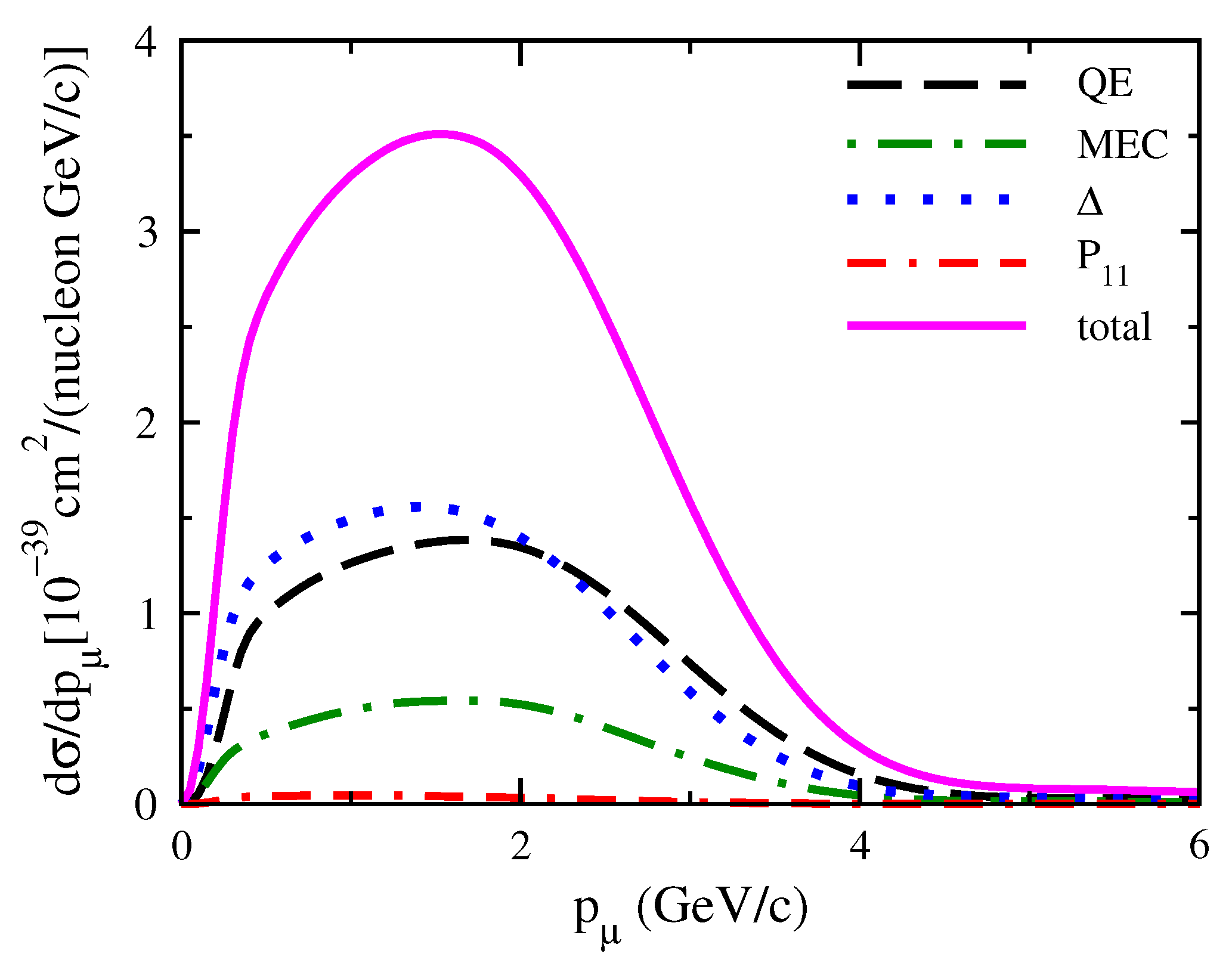
4. Results
5. Conclusions
Author Contributions
Funding
Institutional Review Board Statement
Informed Consent Statement
Data Availability Statement
Acknowledgments
Conflicts of Interest
Appendix A
References
- Alvarez-Ruso, L.; Athar, M.S.; Barbaro, M.B.; Cherdack, D.; Christy, M.E.; Coloma, P.; Donnelly, T.W.; Dytman, S.; de Gouvêa, A.; Zeller, G.P.; et al. NuSTEC White Paper: Status and challenges of neutrino–nucleus scattering. Prog. Part. Nucl. Phys. 2018, 100, 1–68. [Google Scholar] [CrossRef]
- Abe, K.; Aihara, H.; Andreopoulos, C.; Anghel, I.; Ariga, A.; Ariga, T.; Asfandiyarov, R.; Askins, M.; Nirkko, M.; Back, J.J.; et al. Physics potential of a long-baseline neutrino oscillation experiment using a J-PARC neutrino beam and Hyper-Kamiokande. Prog. Theor. Exp. Phys. 2015, 2015, 053C02. [Google Scholar] [CrossRef]
- Abi, B.; Acciarri, R.; Acero, M.A.; Adamov, G.; Adams, D.; Adinolfi, M.; Ahmad, Z.; Ahmed, J.; Alion, T.; Chiriacescu, A.; et al. Volume I. Introduction to DUNE. J. Instrum. 2020, 15, T08008. [Google Scholar] [CrossRef]
- Abe, K.; Akutsu, R.; Ali, A.; Alt, C.; Andreopoulos, C.; Anthony, L.; Antonova, M.; Aoki, S.; Ariga, A.; Ikeda, M.; et al. Constraint on the matter–antimatter symmetry-violating phase in neutrino oscillations. Nature 2020, 580, 339–344, Erratum in Nature 2020, 583, E16. [Google Scholar] [CrossRef]
- Amaro, J.E.; Barbaro, M.B.; Caballero, J.A.; Donnelly, T.W. Quasielastic Charged Current Neutrino-nucleus Scattering. Phys. Rev. Lett. 2007, 98, 242501. [Google Scholar] [CrossRef] [PubMed]
- Martini, M.; Ericson, M.; Chanfray, G. Neutrino quasielastic interaction and nuclear dynamics. Phys. Rev. C 2011, 84, 055502. [Google Scholar] [CrossRef]
- Martini, M.; Ericson, M.; Chanfray, G.; Marteau, J. A Unified approach for nucleon knock-out, coherent and incoherent pion production in neutrino interactions with nuclei. Phys. Rev. C 2009, 80, 065501. [Google Scholar] [CrossRef]
- Martini, M.; Ericson, M.; Chanfray, G.; Marteau, J. Neutrino and antineutrino quasielastic interactions with nuclei. Phys. Rev. C 2010, 81, 045502. [Google Scholar] [CrossRef]
- Nieves, J.; Ruiz Simo, I.; Vicente Vacas, M.J. The nucleon axial mass and the MiniBooNE Quasielastic Neutrino-Nucleus Scattering problem. Phys. Lett. B 2012, 707, 72–75. [Google Scholar] [CrossRef]
- Meucci, A.; Giusti, C. Relativistic Green’s function model in charged-current quasielastic neutrino and antineutrino scattering at MINERνA kinematics. Phys. Rev. D 2014, 89, 117301. [Google Scholar] [CrossRef]
- Meucci, A.; Barbaro, M.B.; Caballero, J.A.; Giusti, C.; Udias, J.M. Relativistic descriptions of final-state interactions in charged-current quasielastic neutrino-nucleus scattering at MiniBooNE kinematics. Phys. Rev. Lett. 2011, 107, 172501. [Google Scholar] [CrossRef] [PubMed]
- Pandey, V.; Jachowicz, N.; Van Cuyck, T.; Ryckebusch, J.; Martini, M. Low-energy excitations and quasielastic contribution to electron-nucleus and neutrino-nucleus scattering in the continuum random-phase approximation. Phys. Rev. C 2015, 92, 024606. [Google Scholar] [CrossRef]
- Ivanov, M.V.; Antonov, A.N.; Megias, G.D.; Caballero, J.A.; Barbaro, M.B.; Amaro, J.E.; Ruiz Simo, I.; Donnelly, T.W.; Udías, J.M. Realistic spectral function model for charged-current quasielastic-like neutrino and antineutrino scattering cross sections on 12C. Phys. Rev. C 2019, 99, 014610. [Google Scholar] [CrossRef]
- Ivanov, M.V.; Antonov, A.N.; Caballero, J.A.; Megias, G.D.; Barbaro, M.B.; Moya de Guerra, E.; Udías, J.M. Charged-current quasielastic neutrino cross sections on 12C with realistic spectral and scaling functions. Phys. Rev. C 2014, 89, 014607. [Google Scholar] [CrossRef]
- Rocco, N.; Lovato, A.; Benhar, O. Comparison of the electromagnetic responses of 12C obtained from the Green’s function Monte Carlo and spectral function approaches. Phys. Rev. C 2016, 94, 065501. [Google Scholar] [CrossRef]
- Ruiz Simo, I.; Martinez-Consentino, V.L.; Amaro, J.E.; Ruiz Arriola, E. Quasielastic charged-current neutrino scattering in the scaling model with relativistic effective mass. Phys. Rev. D 2018, 97, 116006. [Google Scholar] [CrossRef]
- Amaro, J.E.; Barbaro, M.B.; Caballero, J.A.; Donnelly, T.W.; Udias, J.M. Relativistic analyses of quasielastic neutrino cross sections at MiniBooNE kinematics. Phys. Rev. D 2011, 84, 033004. [Google Scholar] [CrossRef]
- Benhar, O.; Coletti, P.; Meloni, D. Electroweak nuclear response in quasi-elastic regime. Phys. Rev. Lett. 2010, 105, 132301. [Google Scholar] [CrossRef] [PubMed]
- Rocco, N.; Barbieri, C.; Benhar, O.; De Pace, A.; Lovato, A. Neutrino-Nucleus Cross Section within the Extended Factorization Scheme. Phys. Rev. C 2019, 99, 025502. [Google Scholar] [CrossRef]
- Sajjad Athar, M.; Morfín, J.G. Neutrino(antineutrino)–nucleus interactions in the shallow- and deep-inelastic scattering regions. J. Phys. G 2021, 48, 034001. [Google Scholar] [CrossRef]
- Martini, M.; Ericson, M.; Chanfray, G. Neutrino energy reconstruction problems and neutrino oscillations. Phys. Rev. D 2012, 85, 093012. [Google Scholar] [CrossRef]
- Gran, R.; Nieves, J.; Sanchez, F.; Vicente Vacas, M.J. Neutrino-nucleus quasi-elastic and 2p2h interactions up to 10 GeV. Phys. Rev. D 2013, 88, 113007. [Google Scholar] [CrossRef]
- Ruiz Simo, I.; Amaro, J.E.; Barbaro, M.B.; De Pace, A.; Caballero, J.A.; Donnelly, T.W. Relativistic model of 2p-2h meson exchange currents in (anti)neutrino scattering. J. Phys. G 2017, 44, 065105. [Google Scholar] [CrossRef]
- Amaro, J.E.; Barbaro, M.B.; Caballero, J.A.; Donnelly, T.W. Meson-exchange currents and quasielastic antineutrino cross sections in the SuperScaling Approximation. Phys. Rev. Lett. 2012, 108, 152501. [Google Scholar] [CrossRef]
- Amaro, J.E.; Barbaro, M.B.; Caballero, J.A.; Donnelly, T.W.; Williamson, C.F. Meson-exchange currents and quasielastic neutrino cross sections in the SuperScaling Approximation model. Phys. Lett. B 2011, 696, 151–155. [Google Scholar] [CrossRef]
- Amaro, J.E.; Barbaro, M.B.; Caballero, J.A.; Donnelly, T.W.; Molinari, A.; Sick, I. Using electron scattering superscaling to predict charge-changing neutrino cross sections in nuclei. Phys. Rev. C 2005, 71, 015501. [Google Scholar] [CrossRef]
- Amaro, J.E.; Barbaro, M.B.; Caballero, J.A.; González-Jiménez, R.; Megias, G.D.; Ruiz Simo, I. Electron- versus neutrino-nucleus scattering. J. Phys. G 2020, 47, 124001. [Google Scholar] [CrossRef]
- Gonzaléz-Jiménez, R.; Megias, G.D.; Barbaro, M.B.; Caballero, J.A.; Donnelly, T.W. Extensions of Superscaling from Relativistic Mean Field Theory: The SuSAv2 Model. Phys. Rev. C 2014, 90, 035501. [Google Scholar] [CrossRef]
- Megias, G.D.; Donnelly, T.W.; Moreno, O.; Williamson, C.F.; Caballero, J.A.; González-Jiménez, R.; De Pace, A.; Barbaro, M.B.; Alberico, W.M.; Amaro, J.E.; et al. Meson-exchange currents and quasielastic predictions for charged-current neutrino-12C scattering in the superscaling approach. Phys. Rev. D 2015, 91, 073004. [Google Scholar] [CrossRef]
- Megias, G.D.; Amaro, J.E.; Barbaro, M.B.; Caballero, J.A.; Donnelly, T.W.; Ruiz Simo, I. Charged-current neutrino-nucleus reactions within the superscaling meson-exchange current approach. Phys. Rev. D 2016, 94, 093004. [Google Scholar] [CrossRef]
- Donnelly, T.W.; Formaggio, J.A.; Holstein, B.R.; Milner, R.G.; Surrow, B. Foundations of Nuclear and Particle Physics; Cambridge University Press: Cambridge, UK, 2017. [Google Scholar]
- Lalakulich, O.; Paschos, E.A.; Piranishvili, G. Resonance production by neutrinos: The Second resonance region. Phys. Rev. D 2006, 74, 014009. [Google Scholar] [CrossRef]
- De Pace, A.; Nardi, M.; Alberico, W.M.; Donnelly, T.W.; Molinari, A. The 2p-2h electromagnetic response in the quasielastic peak and beyond. Nucl. Phys. A 2003, 726, 303–326. [Google Scholar] [CrossRef]
- Donnelly, T.W.; Van Orden, J.W.; De Forest, T., Jr.; Hermans, W.C. Meson Exchange Currents in Deep Inelastic Electron Scattering From Nuclei. Phys. Lett. B 1978, 76, 393–396. [Google Scholar] [CrossRef]
- Megias, G.D.; Amaro, J.E.; Barbaro, M.B.; Caballero, J.A.; Donnelly, T.W. Inclusive electron scattering within the SuSAv2 meson-exchange current approach. Phys. Rev. D 2016, 94, 013012. [Google Scholar] [CrossRef]
- Donnelly, T.W.; Sick, I. Superscaling in inclusive electron-nucleus scattering. Phys. Rev. Lett. 1999, 82, 3212–3215. [Google Scholar] [CrossRef]
- Donnelly, T.W.; Sick, I. Superscaling of inclusive electron scattering from nuclei. Phys. Rev. C 1999, 60, 065502. [Google Scholar] [CrossRef]
- Jourdan, J. Quasielastic response functions: The Coulomb sum revisited. Nucl. Phys. A 1996, 603, 117–160. [Google Scholar] [CrossRef]
- Maieron, C.; Donnelly, T.W.; Sick, I. Extended superscaling of electron scattering from nuclei. Phys. Rev. C 2002, 65, 025502. [Google Scholar] [CrossRef]
- Barbaro, M.B.; Caballero, J.A.; De Pace, A.; Donnelly, T.W.; González-Jiménez, R.; Megias, G.D. Mean field and two-body nuclear effects in inclusive electron scattering on argon, carbon and titanium: The superscaling approach. Phys. Rev. C 2019, 99, 042501. [Google Scholar] [CrossRef]
- Maieron, C.; Amaro, J.E.; Barbaro, M.B.; Caballero, J.A.; Donnelly, T.W.; Williamson, C.F. Superscaling of non-quasielastic electron-nucleus scattering. Phys. Rev. C 2009, 80, 035504. [Google Scholar] [CrossRef]
- Ivanov, M.V.; Megias, G.D.; González-Jiménez, R.; Moreno, O.; Barbaro, M.B.; Caballero, J.A.; Donnelly, T.W. Charged-current inclusive neutrino cross sections in the SuperScaling model including quasielastic, pion production and meson-exchange contributions. J. Phys. G 2016, 43, 045101. [Google Scholar] [CrossRef][Green Version]
- Caballero, J.A.; Amaro, J.E.; Barbaro, M.B.; Donnelly, T.W.; Maieron, C.; Udias, J.M. Superscaling in charged current neutrino quasielastic scattering in the relativistic impulse approximation. Phys. Rev. Lett. 2005, 95, 252502. [Google Scholar] [CrossRef]
- De Pace, A.; Nardi, M.; Alberico, W.M.; Donnelly, T.W.; Molinari, A. Role of 2p-2h MEC excitations in superscaling. Nucl. Phys. A 2004, 741, 249–269. [Google Scholar] [CrossRef]
- Amaro, J.E.; Barbaro, M.B.; Caballero, J.A.; De Pace, A.; Donnelly, T.W.; Megias, G.D.; Ruiz Simo, I. Density dependence of 2p-2h meson-exchange currents. Phys. Rev. C 2017, 95, 065502. [Google Scholar] [CrossRef]
- Dai, H.; Murphy, M.; Pandey, V.; Abrams, D.; Nguyen, D.; Aljawrneh, B.; Alsalmi, S.; Ankowski, A.M.; Bane, J.; Barcus, S.; et al. First measurement of the Ar(e,e′)X cross section at Jefferson Laboratory. Phys. Rev. C 2019, 99, 054608. [Google Scholar] [CrossRef]
- Hernandez, E.; Nieves, J.; Valverde, M. Weak Pion Production off the Nucleon. Phys. Rev. D 2007, 76, 033005. [Google Scholar] [CrossRef]
- Amaro, J.E.; Hernandez, E.; Nieves, J.; Valverde, M. Theoretical study of neutrino-induced coherent pion production off nuclei at T2K and MiniBooNE energies. Phys. Rev. D 2009, 79, 013002. [Google Scholar] [CrossRef]
- Rein, D.; Sehgal, L.M. Neutrino Excitation of Baryon Resonances and Single Pion Production. Annals Phys. 1981, 133, 79–153. [Google Scholar] [CrossRef]
- Lalakulich, O.; Leitner, T.; Buss, O.; Mosel, U. One pion production in neutrino reactions: Including non-resonant background. Phys. Rev. D 2010, 82, 093001. [Google Scholar] [CrossRef]
- Abe, K.; Andreopoulos, C.; Antonova, M.; Aoki, S.; Ariga, A.; Assylbekov, S.; Autiero, D.; Barbi, M.; Barker, G.J.; Lindner, T.; et al. Measurement of double-differential muon neutrino charged-current interactions on C8H8 without pions in the final state using the T2K off-axis beam. Phys. Rev. D 2016, 93, 112012. [Google Scholar] [CrossRef]
- Abe, K.; Abgrall, N.; Aihara, H.; Akiri, T.; Albert, J.B.; Andreopoulos, C.; Aoki, S.; Ariga, A.; Ariga, T.; Kobayashi, T.; et al. Measurement of the inclusive νμ charged current cross section on carbon in the near detector of the T2K experiment. Phys. Rev. D 2013, 87, 092003. [Google Scholar] [CrossRef]
- Abratenko, P.; Adams, C.; Alrashed, M.; An, R.; Anthony, J.; Asaadi, J.; Ashkenazi, A.; Auger, M.; Balasubramanian, S.; John, J.S.; et al. First Measurement of Inclusive Muon Neutrino Charged Current Differential Cross Sections on Argon at Eν∼0.8 GeV with the MicroBooNE Detector. Phys. Rev. Lett. 2019, 123, 131801. [Google Scholar] [CrossRef]
- Rosenfelder, R. Quasielastic electron scattering from nuclei. Ann. Phys. 1980, 128, 188. [Google Scholar] [CrossRef]
- Abe, K.; Adam, J.; Aihara, H.; Akiri, T.; Andreopoulos, C.; Aoki, S.; Ariga, A.; Assylbekov, S.; Autiero, D.; Koga, T.; et al. Measurements of neutrino oscillation in appearance and disappearance channels by the T2K experiment with 6.6 × 1020 protons on target. Phys. Rev. D 2015, 91, 072010. [Google Scholar] [CrossRef]
- Booster Neutrino Flux Prediction at MicroBooNE; MICROBOONE-NOTE-1031-PUB; FermiLab: Batavia, IL, USA, 2018. [CrossRef]
- Available online: https://home.fnal.gov/~ljf26/DUNEFluxes/ (accessed on 27 November 2020).
- Hayato, Y. A neutrino interaction simulation program library NEUT. Acta Phys. Polon. B 2009, 40, 2477–2489. [Google Scholar]
- Andreopoulos, C.; Bell, A.; Bhattacharya, D.; Cavanna, F.; Dobson, J.; Dytman, S.; Gallagher, H.; Guzowski, P.; Hatcher, R.; Kehayias, P.; et al. The GENIE neutrino Monte Carlo generator. Nucl. Instrum. Methods Phys. Res. Sect. A Accel. Spectrometers Detect. Assoc. Equip. 2010, 614, 87–104. [Google Scholar] [CrossRef]
- Abe, K.; Akhlaq, N.; Akutsu, R.; Ali, A.; Alt, C.; Andreopoulos, C.; Anthony, L.; Antonova, M.; Aoki, S.; Koga, T.; et al. First combined measurement of the muon neutrino and antineutrino charged-current cross section without pions in the final state at T2K. Phys. Rev. D 2020, 101, 112001. [Google Scholar] [CrossRef]
- Dolan, S.; Megias, G.D.; Bolognesi, S. Implementation of the SuSAv2-meson exchange current 1p1h and 2p2h models in GENIE and analysis of nuclear effects in T2K measurements. Phys. Rev. D 2020, 101, 033003. [Google Scholar] [CrossRef]
| 1 | Here, the scaling variable is defined as to incorporate the energy shift . |








Publisher’s Note: MDPI stays neutral with regard to jurisdictional claims in published maps and institutional affiliations. |
© 2021 by the authors. Licensee MDPI, Basel, Switzerland. This article is an open access article distributed under the terms and conditions of the Creative Commons Attribution (CC BY) license (https://creativecommons.org/licenses/by/4.0/).
Share and Cite
Barbaro, M.B.; De Pace, A.; Fiume, L. The SuSA Model for Neutrino Oscillation Experiments: From Quasielastic Scattering to the Resonance Region. Universe 2021, 7, 140. https://doi.org/10.3390/universe7050140
Barbaro MB, De Pace A, Fiume L. The SuSA Model for Neutrino Oscillation Experiments: From Quasielastic Scattering to the Resonance Region. Universe. 2021; 7(5):140. https://doi.org/10.3390/universe7050140
Chicago/Turabian StyleBarbaro, Maria B., Arturo De Pace, and Luisa Fiume. 2021. "The SuSA Model for Neutrino Oscillation Experiments: From Quasielastic Scattering to the Resonance Region" Universe 7, no. 5: 140. https://doi.org/10.3390/universe7050140
APA StyleBarbaro, M. B., De Pace, A., & Fiume, L. (2021). The SuSA Model for Neutrino Oscillation Experiments: From Quasielastic Scattering to the Resonance Region. Universe, 7(5), 140. https://doi.org/10.3390/universe7050140

