Fuzzy Instantons in Landscape and Swampland: Review of the Hartle–Hawking Wave Function and Several Applications
Abstract
:1. Introduction: Preliminaries
1.1. Hartle–Hawking Wave Function
1.2. Steepest-Descent Approximation and Fuzzy Instantons
1.3. Scope of This Paper
- Does the Hartle–Hawking wave function prefer sufficient inflation?
- Which type of inflation allows classicalization: slow-roll or fast-roll?
- Is the Hartle–Hawking wave function a unique choice for quantum cosmology; or can there be additional generalization from the Euclidean path integral approach?
- Is the Hartle–Hawking wave function compatible with the recent progress of quantum gravity?
2. Fuzzy Instantons with Slow-Roll Inflation
2.1. Simplest Model
2.2. Probabilities and Preferences of Large e-Foldings
- We require a number of ad hoc terms to measure the probability. For example, Hartle, Hawking, and Hertog introduced the volume-weighting factor to the probability measure [8]. Consequently, there is competition between the volume-weighting component and the Euclidean probability component. If the vacuum energy is sufficiently large, the volume-weighting component is dominated, and large e-foldings are eventually preferred. However, this assumption cannot be justified from first principles. Furthermore, this leads to eternal inflation, while this eternal inflation goes beyond the scope of our understanding because of the infinite volume and subsequent quantum tunneling.
- Our universe began from (Planck scale) vacuum energy. If this is the case, there are no significant probability differences between the cutoff and other field values. However, based on observational constraints, this Planck-scale inflation cannot be the primordial inflation of our universe.
- Unknown physical degrees of freedom are required. For example, if there exists a very long field space or a large number of fields that contribute to inflation [13], such degeneracy of the field space can compete with the Euclidean probability component. However, in multiple cases, this requires too many degrees of freedom. Hence, in terms of quantum field theory, these possibilities may be unnatural.
2.3. Rescue from the Secondary Scalar Field
3. Fuzzy Instantons with Fast-Roll Potential
3.1. Landscape vs. Swampland
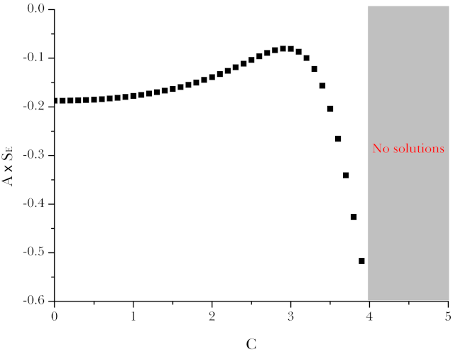
3.2. Rescue Using Hwang-Sahlmann-Yeom Instantons
3.3. Cosmological Applications
- As per the moduli or dilaton stabilization issue, there is a probability competition between the stable and unstable directions. It may be that the only possible starting point from the no-boundary wave function is the hilltop of the potential. As per HSY instantons, there is no preference between left-rolling and right-rolling. Hence, given a reasonable probability, the moduli or dilaton stabilization can be explained using quantum cosmology [23].
- The universe starts from the local maximum rather than the local minimum. The cosmological constant depends on the local minimum; however, the probability of the HSY instanton depends on the local maximum. Therefore, although the cosmological constant varies from anti-de Sitter to de Sitter space, there may be no singular changes in the a priori probability because there is no singular change in the local maximum [22].
- HSY instantons can rescue the Hartle–Hawking wave function even in the context of the swampland criteria because classicalized universes can be created close to the narrow and unstable hilltop of the field space.
4. Extensions
- The Euclidean path integral does not necessarily indicate the no-boundary proposal, which is a specific choice of the Euclidean path integral. In more generic cases, there can be two boundaries (initial and final boundaries). However, because of the ambiguity of time in quantum gravity, one may make the interpretation that two universes are created from nothing. These solutions are known as Euclidean wormholes (Figure 6 [24]).
- The theory can be extended by or embedded with quantum gravitational models. For example, string-inspired models can be used to introduce a number of additional terms, e.g., the Gauss–Bonnet term with dilaton coupling [25]. Furthermore, loop quantum cosmological models suggest the big bounce near the putative singularity [26]. These corrections suggest a new type of solution.
4.1. Fuzzy Euclidean Wormholes
- This mechanism cannot be applied to convex inflaton potential (e.g., quadratic potential). Therefore, the Euclidean wormhole selects the concave inflaton potential [27].
- For a given vacuum energy scale or ℓ, the probability of the Euclidean wormhole is larger than that of the compact instanton [24] because the maximum probability of the Euclidean wormhole iswhere that of the compact instanton is .
- For a given concave potential, there may be competition between the compact instantons and Euclidean wormholes. The largest probability of compact instantons occurs close to the cutoff, where it is generally larger than that of the Euclidean wormholes that appear only near the hilltop. On the other hand, if we assume a mechanism that enhances the large e-foldings (e.g., introducing a massive field direction), Euclidean wormholes will be more highly favored than compact instantons [28]. Therefore, as long as we assume that our universe experienced more than 50 e-foldings, a Euclidean wormhole with a concave potential will be preferred over compact instantons with convex or concave potentials.
4.2. Euclidean Wormholes in Gauss–Bonnet-Dilaton Gravity
4.3. Hartle–Hawking Wave Function with Loop Quantum Cosmology
4.4. Fuzzy Instantons in Anti-De Sitter Space
5. Future Perspectives
- Traditionally, we assumed cosmological landscapes and considered slow-roll inflation models. However, in recent discussions, models that are consistent with the swampland criteria might be more interesting. The Hartle–Hawking wave function is definitely useful for both problems, though it might be more interesting to provide possible observational consequences [40,41] that reveal issues related to the swampland criteria.
- Fuzzy Euclidean wormholes can be realized in various systems, but the application of the associated techniques might be complicated beyond Einstein gravity. This might include the Gauss–Bonnet-dilaton gravity model or the loop quantum cosmological model. Some fuzzy extensions of oscillating instantons are interesting [42]. In any case, this will be a challenging topic.
- Fuzzy instantons in anti-de Sitter backgrounds or black hole backgrounds are another interesting topic. This issue may cover a number of topics regarding Hawking radiation [43] as well as the information loss problem [44]. However, it is fair to say that it is not easy to impose the classicality condition at a future infinity if the symmetry is less than the -symmetry. The generalization of dynamical instantons in spherical symmetry will be an important topic.
Funding
Acknowledgments
Conflicts of Interest
References
- Hawking, S.W.; Penrose, R. The Singularities of gravitational collapse and cosmology. Proc. R. Soc. Lond. A 1970, 314, 529–548. [Google Scholar]
- DeWitt, B.S. Quantum Theory of Gravity. 1. The Canonical Theory. Phys. Rev. 1967, 160, 1113–1148. [Google Scholar] [CrossRef] [Green Version]
- Vilenkin, A. Quantum Cosmology and the Initial State of the Universe. Phys. Rev. D 1988, 37, 888. [Google Scholar] [CrossRef] [PubMed]
- Halliwell, J.J.; Hawking, S.W. The Origin of Structure in the Universe. Phys. Rev. D 1985, 31, 1777. [Google Scholar] [CrossRef]
- Hartle, J.B.; Hawking, S.W. Wave Function of the Universe. Phys. Rev. D 1983, 28, 2960–2975. [Google Scholar] [CrossRef]
- Halliwell, J.J.; Hartle, J.B. Integration Contours for the No Boundary Wave Function of the Universe. Phys. Rev. D 1990, 41, 1815. [Google Scholar] [CrossRef]
- Hartle, J.B.; Hawking, S.W.; Hertog, T. The Classical Universes of the No-Boundary Quantum State. Phys. Rev. D 2008, 77, 123537. [Google Scholar] [CrossRef] [Green Version]
- Hartle, J.B.; Hawking, S.W.; Hertog, T. No-Boundary Measure of the Universe. Phys. Rev. Lett. 2008, 100, 201301. [Google Scholar] [CrossRef] [Green Version]
- Janssen, O. Slow-roll approximation in quantum cosmology. Class. Quant. Gravity 2021, 38, 095003. [Google Scholar] [CrossRef]
- Hwang, D.; Lee, B.H.; Stewart, E.D.; Yeom, D.; Zoe, H. Euclidean quantum gravity and stochastic inflation. Phys. Rev. D 2013, 87, 063502. [Google Scholar] [CrossRef] [Green Version]
- Hwang, D.; Kim, S.A.; Yeom, D. No-boundary wave function for two-field inflation. Class. Quant. Gravity 2015, 32, 115006. [Google Scholar] [CrossRef] [Green Version]
- Chen, P.; Qiu, T.; Yeom, D. Phantom of the Hartle–Hawking instanton: Connecting inflation with dark energy. Eur. Phys. J. C 2016, 76, 91. [Google Scholar] [CrossRef] [Green Version]
- Hwang, D.; Kim, S.A.; Lee, B.H.; Sahlmann, H.; Yeom, D. No-boundary measure and preference for large e-foldings in multi-field inflation. Class. Quant. Grav. 2013, 30, 165016. [Google Scholar] [CrossRef] [Green Version]
- Feldbrugge, J.; Lehners, J.L.; Turok, N. Lorentzian Quantum Cosmology. Phys. Rev. D 2017, 95, 103508. [Google Scholar] [CrossRef] [Green Version]
- Dorronsoro, J.D.; Halliwell, J.J.; Hartle, J.B.; Hertog, T.; Janssen, O. Real no-boundary wave function in Lorentzian quantum cosmology. Phys. Rev. D 2017, 96, 043505. [Google Scholar] [CrossRef] [Green Version]
- Hwang, D.; Yeom, D. Toward inflation models compatible with the no-boundary proposal. J. Cosmol. Astropart. Phys. 2014, 2014, 7. [Google Scholar] [CrossRef] [Green Version]
- Sasaki, M.; Yeom, D.; Zhang, Y.L. Hartle-Hawking no-boundary proposal in dRGT massive gravity: Making inflation exponentially more probable. Class. Quant. Gravity 2013, 30, 232001. [Google Scholar] [CrossRef]
- Zhang, Y.L.; Sasaki, M.; Yeom, D. Homogeneous Instantons in Bigravity. J. High Energy Phys. 2015, 4, 16. [Google Scholar] [CrossRef] [Green Version]
- Susskind, L. The Anthropic landscape of string theory. arXiv 2003, arXiv:hep-th/0302219. [Google Scholar]
- Obied, G.; Ooguri, H.; Spodyneiko, L.; Vafa, C. De Sitter Space and the Swampland. arXiv 2018, arXiv:1806.08362. [Google Scholar]
- Brahma, S.; Brandenberger, R.; Yeom, D. Swampland, Trans-Planckian Censorship and Fine-Tuning Problem for Inflation: Tunnelling Wavefunction to the Rescue. JCAP 2020, 2020, 37. [Google Scholar] [CrossRef]
- Hwang, D.; Lee, B.H.; Sahlmann, H.; Yeom, D. The no-boundary measure in string theory: Applications to moduli stabilization, flux compactification, and cosmic landscape. Class. Quant. Gravity 2012, 29, 175001. [Google Scholar] [CrossRef] [Green Version]
- Hwang, D.; Sahlmann, H.; Yeom, D. The No-boundary measure in scalar-tensor gravity. Class. Quant. Gravity 2012, 29, 095005. [Google Scholar] [CrossRef]
- Chen, P.; Hu, Y.C.; Yeom, D. Fuzzy Euclidean wormholes in de Sitter space. JCAP 2017, 2017, 1. [Google Scholar] [CrossRef] [Green Version]
- Chew, X.Y.; Tumurtushaa, G.; Yeom, D. Euclidean wormholes in Gauss–Bonnet-dilaton gravity. Phys. Dark Univ. 2021, 32, 100811. [Google Scholar] [CrossRef]
- Brahma, S.; Yeom, D. No-boundary wave function for loop quantum cosmology. Phys. Rev. D 2018, 98, 083537. [Google Scholar] [CrossRef] [Green Version]
- Chen, P.; Yeom, D. Why concave rather than convex inflaton potential? Eur. Phys. J. C 2018, 78, 863. [Google Scholar] [CrossRef]
- Chen, P.; Ro, D.; Yeom, D. Fuzzy Euclidean wormholes in the inflationary universe. Phys. Dark Univ. 2020, 28, 100492. [Google Scholar] [CrossRef] [Green Version]
- Starobinsky, A.A. A New Type of Isotropic Cosmological Models Without Singularity. Phys. Lett. B 1980, 91, 99–102. [Google Scholar] [CrossRef]
- Akrami, Y.; Arroja, F.; Ashdown, M.; Aumont, J.; Baccigalupi, C.; Ballardini, M.; Banday, A.J.; Barreiro, R.B.; Bartolo, N.; Basak, S.; et al. Planck 2018 results. X. Constraints on inflation. Astron. Astrophys. 2020, 641, A10. [Google Scholar]
- Kanti, P.; Kleihaus, B.; Kunz, J. Wormholes in Dilatonic Einstein–Gauss–Bonnet Theory. Phys. Rev. Lett. 2011, 107, 271101. [Google Scholar] [CrossRef] [PubMed] [Green Version]
- Tumurtushaa, G.; Yeom, D. Quantum creation of traversable wormholes ex nihilo in Gauss–Bonnet-dilaton gravity. Eur. Phys. J. C 2019, 79, 488. [Google Scholar] [CrossRef]
- Bojowald, M.; Brahma, S.; Yeom, D. Effective line elements and black-hole models in canonical loop quantum gravity. Phys. Rev. D 2018, 98, 046015. [Google Scholar] [CrossRef] [Green Version]
- Brahma, S.; Yeom, D. On the geometry of no-boundary instantons in loop quantum cosmology. Universe 2019, 5, 22. [Google Scholar] [CrossRef] [Green Version]
- Kang, S.; Yeom, D. Fuzzy Euclidean wormholes in anti–de Sitter space. Phys. Rev. D 2018, 97, 124031. [Google Scholar] [CrossRef] [Green Version]
- Kanno, S.; Sasaki, M.; Soda, J. Destabilizing Tachyonic Vacua at or above the BF Bound. Prog. Theor. Phys. 2012, 128, 213–226. [Google Scholar] [CrossRef] [Green Version]
- Maldacena, J.; Susskind, L. Cool horizons for entangled black holes. Fortsch. Phys. 2013, 61, 781–811. [Google Scholar] [CrossRef] [Green Version]
- Chen, P.; Wu, C.H.; Yeom, D. Broken bridges: A counter-example of the ER=EPR conjecture. JCAP 2017, 6, 40. [Google Scholar] [CrossRef]
- Chen, P.; Sasaki, M.; Yeom, D. A path(-integral) toward non-perturbative effects in Hawking radiation. Int. J. Mod. Phys. D 2020, 29, 2050086. [Google Scholar] [CrossRef]
- Chen, P.; Lin, Y.H.; Yeom, D. Suppression of long-wavelength CMB spectrum from the no-boundary initial condition. Eur. Phys. J. C 2018, 78, 930. [Google Scholar] [CrossRef]
- Chen, P.; Yeh, H.H.; Yeom, D. Suppression of the long-wavelength CMB spectrum from the Hartle–Hawking wave function in the Starobinsky-type inflation model. Phys. Dark Univ. 2020, 27, 100435. [Google Scholar] [CrossRef] [Green Version]
- Lee, B.H.; Lee, W.; Yeom, D. Oscillating instantons as homogeneous tunneling channels. Int. J. Mod. Phys. A 2013, 28, 1350082. [Google Scholar] [CrossRef] [Green Version]
- Chen, P.; Sasaki, M.; Yeom, D. Hawking radiation as instantons. Eur. Phys. J. C 2019, 79, 627. [Google Scholar] [CrossRef] [Green Version]
- Sasaki, M.; Yeom, D. Thin-shell bubbles and information loss problem in anti de Sitter background. J. High Energy Phys. 2014, 12, 155. [Google Scholar] [CrossRef] [Green Version]









Publisher’s Note: MDPI stays neutral with regard to jurisdictional claims in published maps and institutional affiliations. |
© 2021 by the author. Licensee MDPI, Basel, Switzerland. This article is an open access article distributed under the terms and conditions of the Creative Commons Attribution (CC BY) license (https://creativecommons.org/licenses/by/4.0/).
Share and Cite
Yeom, D.-h. Fuzzy Instantons in Landscape and Swampland: Review of the Hartle–Hawking Wave Function and Several Applications. Universe 2021, 7, 367. https://doi.org/10.3390/universe7100367
Yeom D-h. Fuzzy Instantons in Landscape and Swampland: Review of the Hartle–Hawking Wave Function and Several Applications. Universe. 2021; 7(10):367. https://doi.org/10.3390/universe7100367
Chicago/Turabian StyleYeom, Dong-han. 2021. "Fuzzy Instantons in Landscape and Swampland: Review of the Hartle–Hawking Wave Function and Several Applications" Universe 7, no. 10: 367. https://doi.org/10.3390/universe7100367
APA StyleYeom, D.-h. (2021). Fuzzy Instantons in Landscape and Swampland: Review of the Hartle–Hawking Wave Function and Several Applications. Universe, 7(10), 367. https://doi.org/10.3390/universe7100367

