Abstract
We studied the behavior of nonlinear spinor field within the scope of a static cylindrically symmetric space–time. It is found that the energy-momentum tensor (EMT) of the spinor field in this case possesses nontrivial non-diagonal components. The presence of non-diagonal components of the EMT imposes three-way restrictions either on the space–time geometry or on the components of the spinor field or on both. It should be noted that the analogical situation occurs in cosmology when the nonlinear spinor field is exploited as a source of gravitational field given by the Bianchi type-I cosmological model.
1. Introduction
In recent years spinor field has been used in cosmology by many authors [1,2,3,4,5,6]. The ability of spinor field to simulate different kinds of source fields such as perfect fluid, dark energy etc. [7,8] allows one to study the evolution of the Universe at different stages and consider the spinor field as an alternative model of dark energy.
To our knowledge, except for the Friedmann–Robertson–Walker (FRW) model given in Cartesian coordinates, in all other space–times spinor field possesses nontrivial non-diagonal components of the energy-momentum tensor. This very fact imposes severe restrictions on the geometry of space–time and/or on the components of the spinor field [9]. As far as static spherically symmetric space–time is concerned, the presence of non-diagonal components of EMT imposes restrictions on the spinor field only [10].
Introduction of the spinor field in a classical theory such as general relativity and cosmology gives rise to several questions due to its quantum origin. Many specialists think that even if one uses the spinor field in general relativity, he should treat it as Grassmann variables. This is partially right, though we think that spinors can be treated as classical complex projective coordinates in the spirit of Dirac-Sommerfeld-Brioski [11,12,13] as well. In this approach they describe the condensation of “quark-antiquarks” and are ordinary classical fields [14].
Note that spinor fields were introduced into the Einstein system exploiting both quantum and classical interpretations. A Fermi field coupled to a homogeneous and isotropic gravitational field was considered in [15], while the spinor was treated as a Grassmann variable in [16]. Dolan has studied the Chiral Fermions and the torsion arising from it within the scope of FRW geometries in the early Universe [17]. In doing so he argued that a quantum matter can be used as a source for the classical field while the quantum aspects of the field itself can be ignored.
As it was mentioned earlier, recently spinor field is being used in astrophysics. Most of these works were done within the scope of static spherically symmetric space–time [10,14,18]. Since a number of astrophysical objects are given by cylindrically symmetric space–time [19] in this report we plan to consider the spinor field within this model. String-like configurations of nonlinear spinor field in a static cylindrically symmetric space–time was obtained in [20]. An interacting system of nonlinear spinor and scalar fields in a static cylindrically symmetric space–time filled with barotropic gas was considered in [21]. Unfortunately, the authors did not take into account influence of the spinor field that occurs due to the presence of non-diagonal components of EMT. In this paper I plan to address those problems overlooked there and see if spinor field can be exploited to construct different types of configurations seen in astrophysics.
2. Basic Equations
The action we choose in the form
where is Einstein’s gravitational constant, R is the scalar curvature and is the spinor field Lagrangian given by [2]
To maintain the Lorentz invariance of the spinor field equations the self-interaction (nonlinear term) is constructed as some arbitrary functions of invariants generated from the real bilinear forms. On account of Fierz equality in (2) we set Setting for K we obtain one of the following expressions . Here and are the invariants of bilinear spinor forms with and being the scalar and pseudo-scalar, respectively. In (2) is the self-coupling constant.
The covariant derivatives of spinor field takes the form [2]
where is the spinor affine connection which can be defined as [2]
Here and is the Christoffel symbol. In (4) the Dirac matrices in curve space–time are connected to the flat space–time Dirac matrices in the following way
where and are the tetrad vectors such that
The matrices obey the following anti-commutation rules
Let us consider the cylindrically symmetric space–time given by
where and are the functions of the radial coordinate u only.
The tetrad we will choose in the form
From we find
with
The nontrivial Christoffel symbols corresponding to the metric (5) are
Then from the definition (4) we find the following spinor affine connections :
The spinor field equations corresponding to the spinor field Lagrangian (2) are [2]
where we denote On account of (7) from (2) one finds that
Let the spinor field be a function of u only, then in view of (6) the spinor field equations can be written as
where prime denotes differentiation with respect to u. In (8) we also define
The energy-momentum tensor of the spinor field is defined as [2,22,23]
From (10) one finds the non-trivial components of the energy-momentum tensor of the the spinor field
with being the pseudovector. It can be noticed that and might be positive or negative under certain conditions.
From (8) we find the following system of equations for the bilinear spinor forms:
Equation (12) yields the following relation
In case of , i.e., from (12a) we find
If , then in case of a massless spinor field from (12b) we find
Let us consider the case when . In this case . Then on account of expression for and from (12a,b) for the massless spinor field we find
which yields
Finally in case when , i.e., from (12a,b) for the massless spinor field we obtain
which leads to
The Einstein tensor corresponding to the metric (5) possesses only diagonal components. So let us first consider the diagonal equations of Einstein system
Thus, , and can be found in terms of and . Let us find the equation for . Summation of (20b–d) and 3 times (20a) gives
Recall that for non-diagonal components of the EMT of the spinor field we have non-trivial expressions, whereas the non-diagonal components of the Einstein tensor in this case are trivial. Equating these expressions to zero from (11c–e) we obtain the following constrains
The foregoing expressions give rise to three possibilities:
It should be noted that in a Bianchi type-I space–time there occur similar possibilities [16]. In that case under the assumption (27a) the spinor field becomes massless and linear [16]. In a static cylindrically symmetric space–time that is not necessarily the case.
Unfortunately, right now we cannot exactly solve the equation for defining either or . So we have to assume some coordinate conditions. There might be a few. In what follows, we consider the case with , as in this case it is possible to consider massive spinor. Further we set and
Case 1: Let us first consider the harmonic radial coordinate u such that the following relation holds for the metric functions [24]:
Let us consider the case when F is a power law function of K, i.e., . Inserting and into (25) on account of we find
with the first integral
So the solution can be given in quadrature
Let us consider some simple cases those allow exact solution.
Fisrt we study the Heisenberg–Ivanenko type nonlinearity when . It can be obtained by setting in (31). In this case (31) takes the form
which finally gives
For a general power law type nonlinearity we study the massless spinor field. Setting in (31) we have
with the solution
For a more general solution to the Einstein equations with massive and nonlinear spinor field as source we rewrite it in the form of Cauchy:
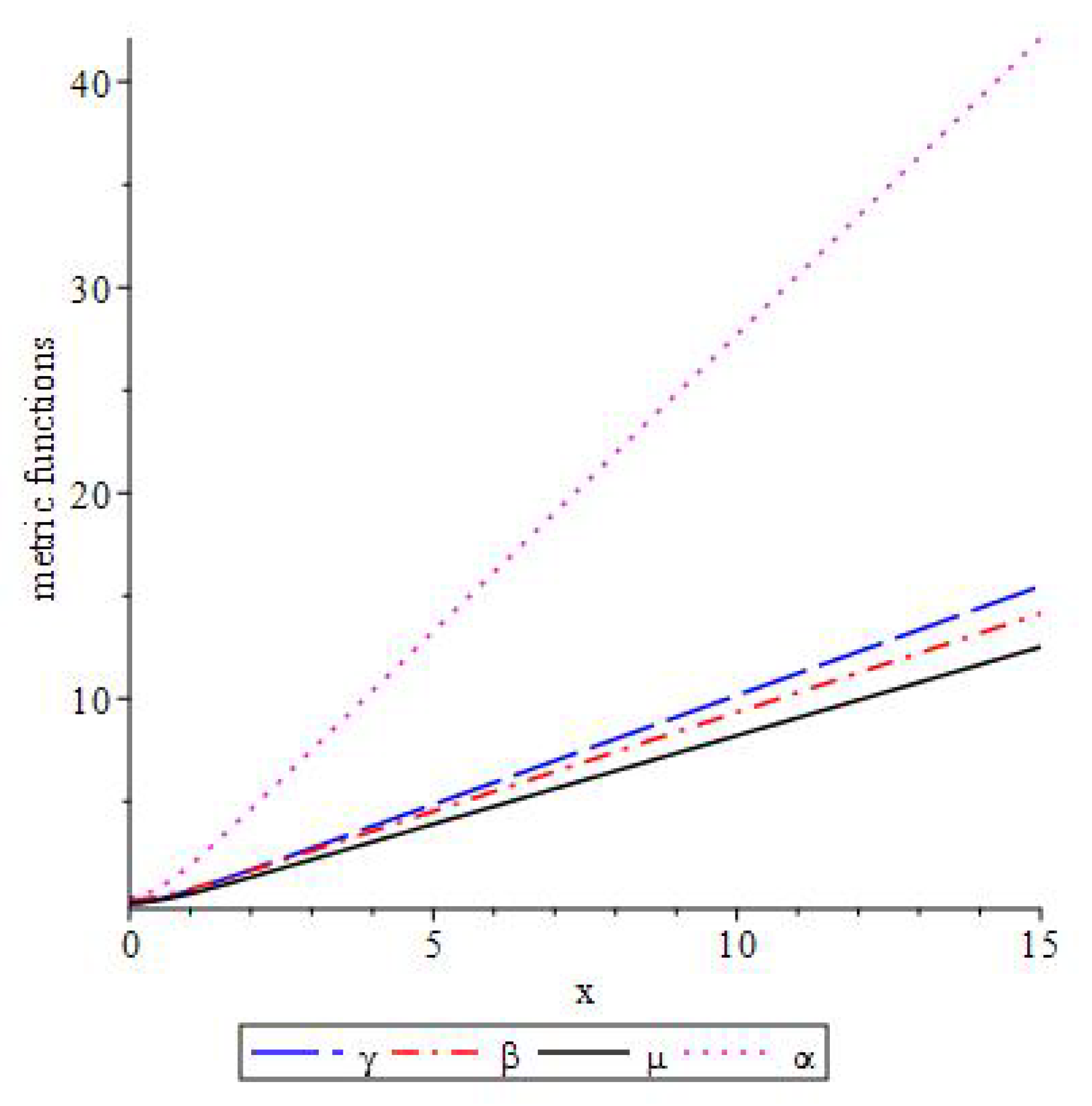
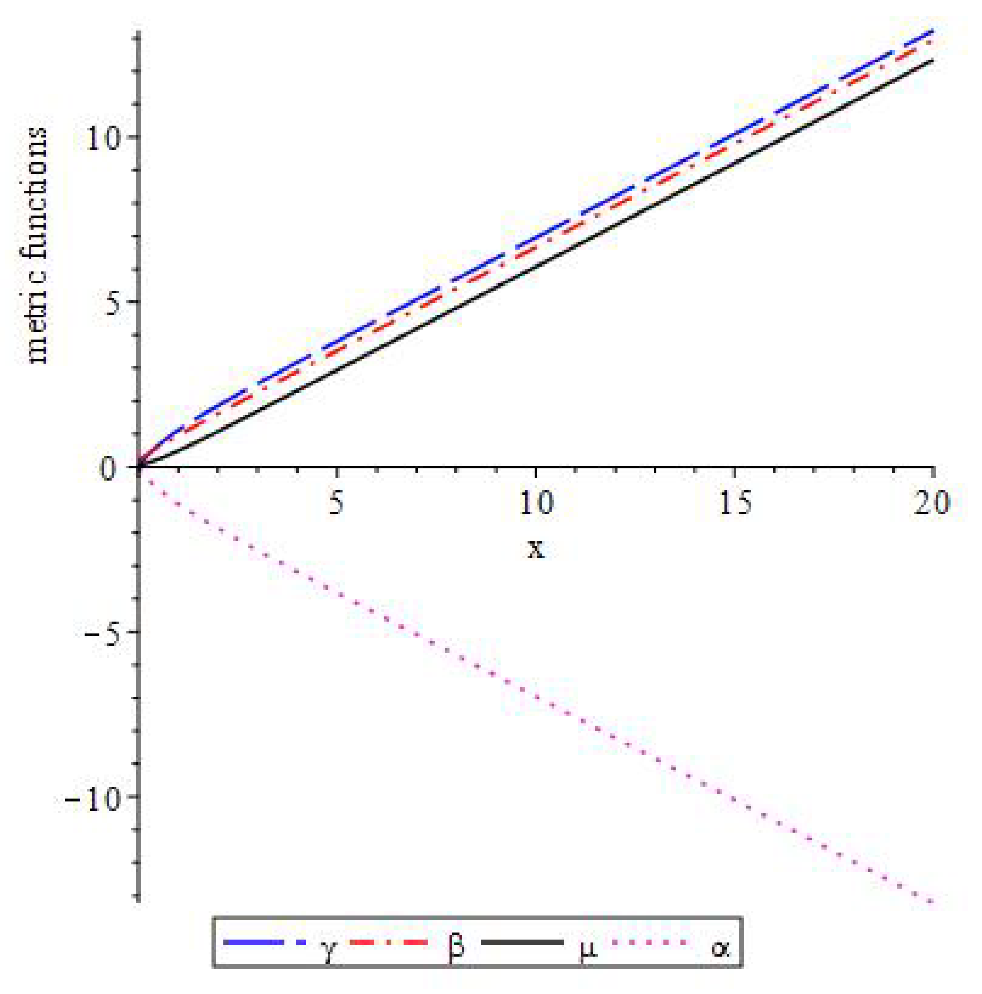
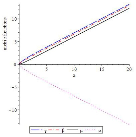
This system can be solved numerically. In Figure 1 and Figure 2, we have plotted the metric functions for different types of nonlinearities, namely, (Heisenberg–Ivanenko case) and . For simplisity, we set the following values for other parameters , and . The initial values were taken to be , , , and . As we see from the graphics, with the increase of the value of n the difference between the metric functions increases.
Figure 1.
Plot of metric functions for Heisenberg–Ivanenko type nonlinearity for harmonic radial coordinate.
Figure 2.
Plot of metric functions for a massive nonlinear spinor field with power on nonlinearity for harmonic radial coordinate.
Case 2: Let us consider the quasiblogal coordinate [25]. In this case for we have
whereas inserting (22) and (23) into (20a) for we find
Let us rewrite (38) and (39) in the Cauchy form
where As one sees, the above-going system is valid if and only if . The Equation (40c) is found from (39), which is a quadratic equation with respect to .
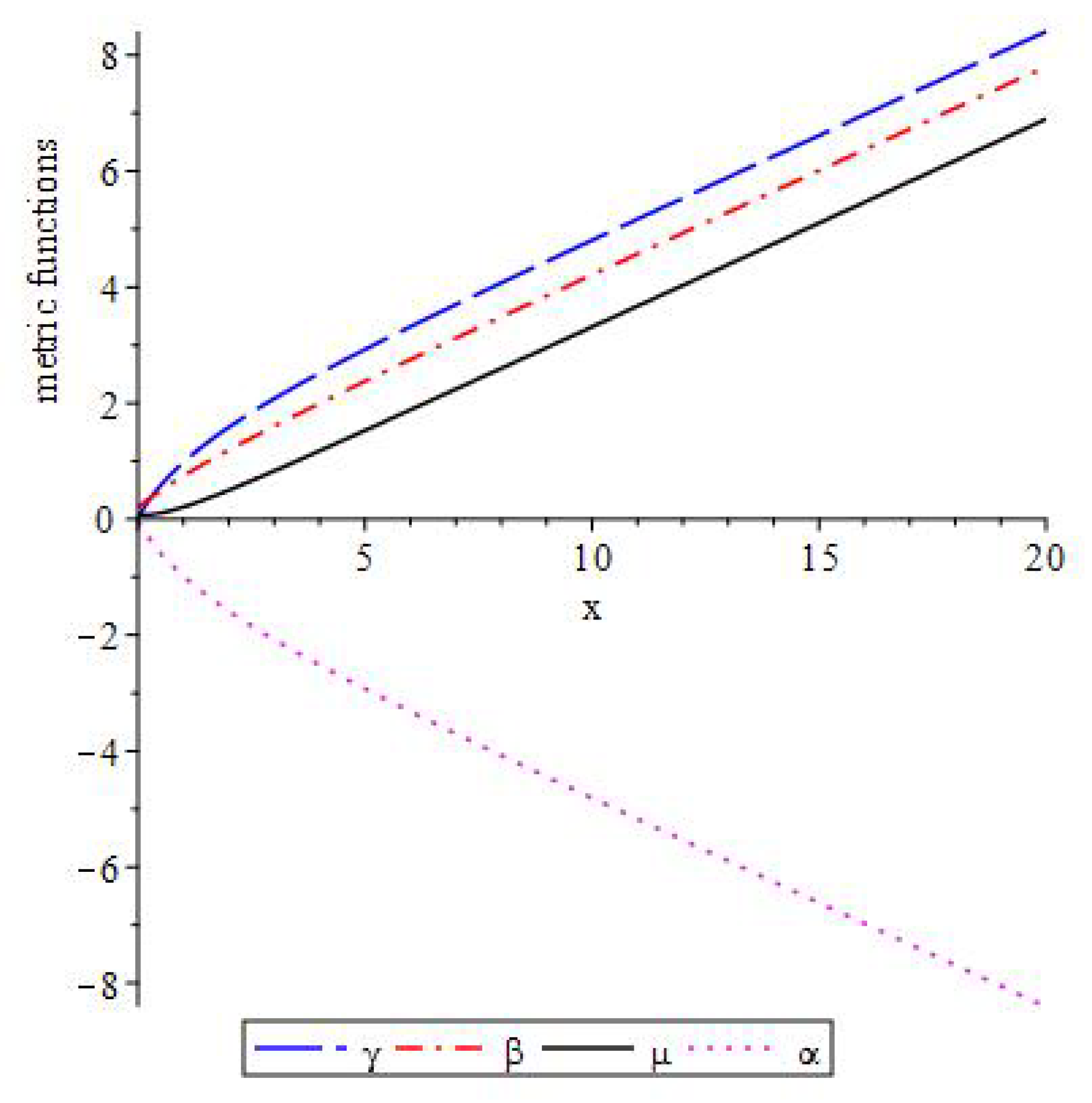
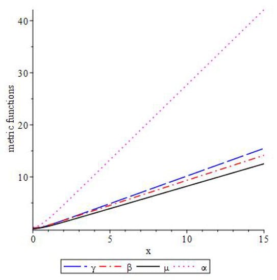
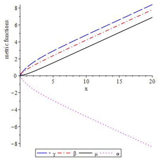
In the Figure 3 and Figure 4, we have plotted the metric functions for the same values as in previous cases, i.e., we set , and and the initial values were taken to be , , , and . Here we have consider the cases with and . Moreover, like the previous cases we see with the increase of n the difference between the metric functions increases.
Figure 3.
Plot of metric functions for Heisenberg–Ivanenko typenonlinearity with for quasiglobal coordinate.
Figure 4.
Plot of metric functions for a nonlinear spinor field with power on nonlinearity with nonzero mass.
3. Conclusions
We studied a system of nonlinear spinor field minimally coupled to a static cylindrically symmetric space–time. It is found that the energy-momentum tensor (EMT) of the spinor field has nontrivial non-diagonal components. The presence of non-diagonal components of the EMT imposes three-way restrictions on the space–time geometry and/or on the components of the spinor field. It should be noted that such situation occurs in Bianchi type-I cosmological model as well, but while in BI model under a specific type of restriction the spinor field becomes massless and linear, this is not the case in this model. Moreover, while in a static spherically symmetric space–time the presence of non-trivial non-diagonal components of EMT of the spinor field has no effect on the space–time geometry, in static cylindrically symmetric space–time it influences both the space–time geometry and the components of the spinor field. In the present model we have which in our view may play crucial role in the formation of configurations like wormhole. It should be noted that the expressions and can be both positive and negative, depending on the type of nonlinearity. In our view this fact may provide some very interesting results which we plan to study in our upcoming papers.
Funding
This research received no external funding.
Acknowledgments
The publication was prepared with the support of the “RUDN University Program 5-100” and also partly supported by a joint Romanian-JINR, Dubna Research Project, Order no. 396/27.05.2019 p-71.
Conflicts of Interest
The authors declare no conflict of interest.
References
- Saha, B.; Shikin, G.N. Interacting Spinor and Scalar Fields in Bianchi Type I Universe Filled with Perfect Fluid: Exact Self-consistent Solutions. Gen. Relat. Grav. 1997, 29, 1099. [Google Scholar] [CrossRef]
- Saha, B. Spinor field in Bianchi type-I Universe: Regular solutions. Phys. Rev. D 2001, 64, 123501. [Google Scholar] [CrossRef]
- Armendáriz-Picón, C.; Greene, P.B. Spinors, Inflation, and Non-Singular Cyclic Cosmologies. Gen. Relat. Grav. 2003, 35, 1637. [Google Scholar]
- Kremer, G.M.; de Souza, R.C. Cosmological models with spinor and scalar fields by Noether symmetry approach. arXiv 2013, arXiv:1301.5163v1. [Google Scholar]
- Fabbri, L. Conformal gravity with the most general ELKO matter. Phys. Rev. D 2012, 85, 047502. [Google Scholar] [CrossRef]
- Poplawski, N. Nonsingular, big-bounce cosmology from spinor-torsion coupling. Phys. Rev. D 2012, 85, 107502. [Google Scholar] [CrossRef]
- Saha, B. Nonlinear spinor field in Bianchi type-I cosmology: Inflation, isotropization, and late time acceleration. Phys. Rev. D 2006, 74, 124030. [Google Scholar] [CrossRef]
- Saha, B. Isotropic and anisotropic dark energy models. Phys. Part. Nucl. 2014, 45, 349. [Google Scholar] [CrossRef]
- Saha, B. Spinor field nonlinearity and space-time geometry. Phys. Part. Nucl. 2018, 49, 146. [Google Scholar] [CrossRef]
- Bronnikov, K.A.; Rybakov, Y.P.; Saha, B. Spinor fields in spherical symmetry: Einstein-Dirac and other space-times. Eur. Phys. J. Plus 2020, 135, 124. [Google Scholar] [CrossRef]
- Mitskeevich, N.V. Physical Fields in General Relativity; Nauka: Moscow, Russia, 1969. [Google Scholar]
- Cartan, M.E. Theory of Spinors; Platon: Volgograd, Russia, 1997. [Google Scholar]
- Sommerfeld, A. Structure of Atom and Spectra; Thechnico-Theoretical Literature: Moscow, Russia, 1956. [Google Scholar]
- Saha, B. Non-minimally coupled nonlinear spinor field in FRW cosmology. Astrophys. Space Sci. 2020, 365, 68. [Google Scholar] [CrossRef]
- Isham, C.J.; Nelson, J.E. Quantization of a coupled Fermi field and Robertson-Walker metric. Phys. Rev. D 1974, 10, 3226. [Google Scholar] [CrossRef]
- Saha, B. Nonlinear Spinor Fields in Bianchi type-I spacetime: Problems and Possibilities. Astrophys. Space Sci. 2015, 357, 28. [Google Scholar] [CrossRef]
- Dolan, B.P. Chiral fermions and torsion in the early Universe. Class. Quantum Grav. 2010, 27, 095010. [Google Scholar] [CrossRef]
- Dzhunushaliev, V.; Folomeev, V.; Makhmudov, A. Non-Abelian Proca-Dirac-Higgs theory: Particlelike solutions and their energy spectrum. Phys. Rev. D 2019, 99, 076009. [Google Scholar] [CrossRef]
- Bronnikov, K.A.; Santos, N.O.; Wang, A. Cylindrical systems in general relativity. Class. Quantum Grav. 2020, 37, 113002. [Google Scholar] [CrossRef]
- Bronnikov, K.A.; Chudayeva, E.N.; Shikin, G.N. Self-Gravitating String-Like Configurations of Nonlinear Spinor Fields. Gen. Relat. Grav. 2004, 36, 1537. [Google Scholar] [CrossRef]
- Shikin, G.N.; Yushenko, A. The Cylindrical Symmetric Configurations of the Interacting Scalar and Spinor Fields with regard of Ideal Fluid. Discret. Contin. Models Appl. Comput. Sci. 2014, 2014, 181–190. [Google Scholar]
- Pauli, W. Über die formulierung der naturgesetze mit füng homogenen koordinaten. Annalen Der Physik 1933, 5, 337. [Google Scholar] [CrossRef]
- Brill, D.; Wheeler, J. Interaction of neutrinos and gravitational fields. Rev. Mod. Phys. 1957, 29, 465. [Google Scholar] [CrossRef]
- Bronnikov, K.A. Scalar-tensor theory and scalar charge. Acta Phys. Polon. B 1973, 4, 251. [Google Scholar]
- Bronnikov, K.A.; Rubin, S.G. Black Holes, Cosmology and Extra Dimensions; World Scientific: Singapore, 2013. [Google Scholar]
© 2020 by the author. Licensee MDPI, Basel, Switzerland. This article is an open access article distributed under the terms and conditions of the Creative Commons Attribution (CC BY) license (http://creativecommons.org/licenses/by/4.0/).



