Abstract
We collect the yields of charged pions ( and ), charged kaons ( and ), anti-protons (), and protons (p) produced in mid-rapidity interval (in most cases) in central gold–gold (Au–Au), central lead–lead (Pb–Pb), and inelastic or non-single-diffractive proton–proton () collisions at different collision energies. The chemical potentials of light particles and quarks are extracted from the yield ratios, , , and , of antiparticles to particles over an energy range from a few GeV to above 10 TeV. At a few GeV (∼4 GeV), the chemical potentials show, and the yield ratios do not show, different trends comparing with those at other energies, although the limiting values of the chemical potentials and the yield ratios at very high energy are 0 and 1, respectively.
Keywords:
chemical potentials of light particles; chemical potentials of light quarks; yield ratios of antiparticles to particles PACS:
14.40.Aq; 14.65.Bt; 25.75.-q
1. Introduction
Chemical potential () of baryon in high energy collisions is a very interesting and important topic studied by researchers in the fields of particle and nuclear physics. Combining with temperature () at chemical freeze-out, one can study the quantum chromodynamics (QCD) phase diagram in the plane of against for the phase transition from hadronic matter to quark–gluon plasma (QGP) [1,2,3,4]. It is expected that this phase transition possibly happens over a center-of-mass energy per nucleon pair, , range from a few GeV to dozens of GeV. The purpose of the beam energy scan (BES) performed at the Super Proton Synchrotron (SPS) and the Relativistic Heavy Ion Collider (RHIC) is to search for the critical energy at which the phase transition from hadronic matter to QGP had happened in all probability [5,6,7,8]. The BES energies at the SPS reach or are close to the Alternating Gradient Synchrotron (AGS) energy.
Combining with the AGS, SPS (at its BES), and RHIC (at its BES), one can study the QCD phase diagram over an energy range from a few GeV to 200 GeV [1,2,3,4]. In particular, the Large Hadron Collider (LHC) has extended the energy range to a few TeV and even above 10 TeV [9,10,11,12]. It is convenient for researchers to study the QCD phase transition further. At the same time, the excitation functions of and (the energy dependent and ) can be studied in the mentioned energy range. Generally, the values of and in given collisions can be obtained from the yield ratios of antiparticles to particles in a given rapidity interval and transverse momentum range. Although the chemical potentials of other particles such as mesons can also be obtained from the yield ratios of antiparticles to particles, few chemical potentials of mesons have been studied in literature. This enlightens the present work.
We are interested in the chemical potentials of different types of particles in high energy collisions, which can be obtained from the yield ratios of antiparticles to particles in a particular form. We are also interested in the chemical potentials of different flavors of quarks, which can also be obtained from the same yield ratios of antiparticles to particles. It is expected that chemical potentials of particles (or quarks) change with the increase of collision energy. The excitation function (the dependence on collision energy) of chemical potentials are particularly interesting and worthy of study. From the chemical potentials of particles (or quarks), we can evaluate the relative densities of final particles (or produced quarks) at different energies. These relative densities are useful in the understanding of interacting mechanism. Because of the data of yield ratios being very limited, we can only obtain the chemical potentials of some particles and quarks conveniently.
In this paper, we collect the yields of charged pions ( and ), charged kaons ( and ), anti-protons (), and protons (p) produced in mid-rapidity interval (in most cases) in central gold–gold (Au–Au) [3,13,14,15,16,17,18,19,20,21,22,23], central lead–lead (Pb–Pb) [24,25,26,27,28,29], and inelastic (INEL) or non-single-diffractive (NSD) proton–proton () collisions [3,30,31,32,33,34] over a center-of-mass energy per nucleon pair, , range from a few GeV to above 10 TeV. The chemical potentials of light particles and quarks are extracted from the yield ratios, , , and , of antiparticles to particles, where the symbol of a given particle is used for its yield for the purpose of simplicity. The energy dependent chemical potentials of light particles and quarks are obtained due to the yield ratios.
2. The Method and Formalism
To extract the chemical potentials of light particles and quarks, we need to know the yield ratios of antiparticles to particles. Although we can obtain the yield ratios from the normalization constants of transverse momentum spectra for different particles, the quantity of work is huge if we analyze the spectra over a wide energy range. A direct and convenient method is to collect the values of yield ratios from the experiments performed at the AGS, SPS at its BES, RHIC at its BES, and LHC by productive international collaborations, though some yield ratios are not available.
Because of the same formula on the relation between the yield ratio and chemical potential being used in our previous work [35] and the present work, some repetitions are ineluctable to give a whole representation of the present work. According to the statistical arguments based on the chemical and thermal equilibrium, one has the relation of antiproton to proton yield to be [20,36,37]
which is within the thermal and statistical model [36,37], where is the chemical potential of proton and
is empirically obtained in the framework of a statistical thermal model of non-interacting gas particles with the assumption of Boltzmann–Gibbs statistics [1,2,38,39], where is in the units of GeV and the “limiting” temperature GeV.
We would like to point out that Equation (1) obtained in the statistical thermal model is due to the Boltzmann approximation and the relation to isospin effect. Equation (2) is due to the Boltzmann approximation in the employ of grand-canonical ensemble, though the employs of canonical ensemble and mix-strangeness canonical ensemble being also considerable. As descriptions on chemical freeze-out, Equations (1) and (2) do not include particles with high transverse momenta (>2–3 GeV/c) which are produced in hard scattering process at initial stage and leave the interacting system before chemical freeze-out. The particles taken part in chemical freeze-out should have low transverse momenta (<2–3 GeV/c) and obey the Boltzmann–Gibbs statistics.
According to Equation (1), the yield ratios of antiparticles to particles for other hadrons together with (anti)protons can be written as
where denotes the yield ratio of antiparticles to particles of the kind j, and , K, p, D, and B listed in order of their masses. The symbol represents the chemical potential of particle j. To obtain chemical potentials of quarks, the above five hadrons and their antiparticles are enough. Because the lifetimes of particles containing the top quark are very short to measure, we do not discuss the top quark related particles, the top quark itself, and their chemical potentials.
Let denote the chemical potential for quark flavor, where , d, s, c, and b represent the up, down, strange, charm, and bottom quarks, respectively. The values of are then expected from these relations. According to Refs. [40,41], based on the same chemical freeze-out temperature, the yield ratios in terms of quark chemical potentials are
According to Equations (3) and (4), the chemical potentials of particles and quarks can be obtained, respectively, in terms of yield ratios of antiparticles to particles. The chemical potential of particle j is simply given by
The chemical potentials of quarks q are slightly complicated. We have
Because of the limited data in extracting chemical potentials of some quarks, only the energy dependent chemical potentials of light particles such as , K, and p, as well as light quarks such as u, d, and s in an energy range covered by the AGS, SPS (at its BES), RHIC (at its BES), and LHC are obtained in the present work. That is, in the present work, only the excitation functions of , , , , , and are studied over an energy range from a few GeV to above 10 TeV. For central Au–Au (Pb–Pb) collisions and INEL or NSD collisions, the energy ranges do not completely correspond to each other.
It should be noted that other yield ratios such as , , and do extract only chemical potentials of light quarks due to the fact that their constituent quarks are only light quarks, which are not needed in the present work in particular. Although these yield ratios are available in experiments at some energies, they are not analyzed by us.
3. Results and Discussion
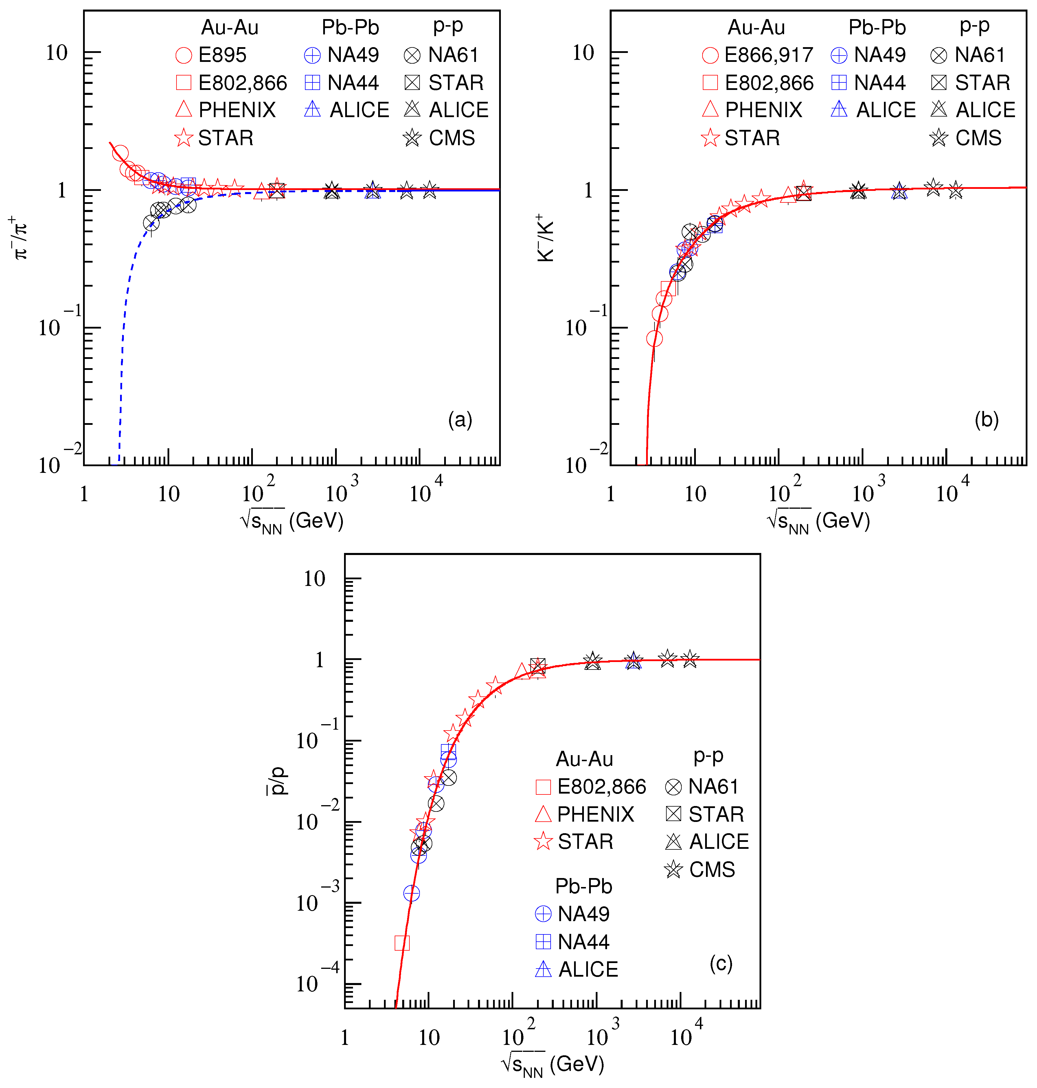
The yield ratios, , , and , of antiparticles to particles produced in mid-rapidity interval (in most cases) in central Au–Au, central Pb–Pb, and INEL or NSD collisions at the AGS, SPS, RHIC, and LHC are shown in Figure 1a–c, respectively. The circles, squares, triangles, and stars denote the data measured in Au–Au collisions in mid-rapidity interval from to and centrality 0–5% by the E895, E866, and E917 Collaborations [13,14,15] at the AGS; in mid-rapidity interval and centrality 0–10% by the E802 and E866 Collaboration [16,17] at the AGS; in mid-pseudorapidity interval and centrality 0–5% by the PHENIX Collaboration [18,19,20]; and in mid-rapidity interval from to and centrality from 0–5% to 0–10% by the STAR Collaborations [3,21,22,23] at the RHIC, respectively. The circles, squares, and triangles with aclinal crosses denote the data measured in Pb–Pb collisions in mid-rapidity interval from or to and centrality from 0–5% to 0–7.2% by the NA49 Collaboration [24,25,26,27] at the SPS; in mid-rapidity interval from to and centrality 0–3.7% by the NA44 Collaboration [28] at the SPS; and in mid-rapidity interval and centrality 0–5% by the ALICE Collaboration [29] at the LHC, respectively. The circles, squares, triangles, and stars with diagonal crosses denote the data measured in the forward rapidity region (in the center-of-mass system) in INEL collisions by the NA61/SHINE Collaboration [30] at the SPS; in mid-rapidity interval in NSD collisions by the STAR Collaboration [3,31] at the RHIC; in mid-rapidity interval in INEL collisions by the ALICE Collaboration [32] at the LHC; and in mid-rapidity interval in INEL collisions by the CMS Collaboration [33,34] at the LHC, respectively. The solid and dashed curves in Figure 1a are the results fitted by us for the dependent in central Au–Au (Pb–Pb) and INEL or NSD collisions, respectively. The solid curves in Figure 1b,c are the results fitted by us for the dependent and , respectively, for the combined central Au–Au (Pb–Pb) and INEL or NSD collisions.
Figure 1.
Yield ratios of antiparticles to particles produced in mid-rapidity interval (in most cases) in central Au–Au (Pb–Pb) and INEL or NSD collisions at high energies: (a) ; (b) ; and (c) . The symbols denote the data measured in different collisions by different collaborations marked in the panels, where the idiographic references are indexed in the text. In particular, the NA61/SHINE data appear in the forward rapidity region (in the center-of-mass system), although the experiment can provide results with geometry. The solid and dashed curves in (a) are the results fitted by us for the dependent in central Au–Au (Pb–Pb) and INEL or NSD collisions, respectively. The solid curves in (b,c) are the results fitted by us for the dependent and respectively, for the combining central Au–Au (Pb–Pb) and INEL or NSD collisions.
It should be noted that the ratios presented in Figure 1a obtained by the NA61/SHINE Collaboration from collisions at around 10 GeV are very different to the others obtained from Au–Au (Pb–Pb) collisions at the same energy. This is due to the resonance decay existed mainly in nucleus–nucleus collisions over an energy range from a few GeV to dozens of GeV [42]. There are secondary cascade collisions between produced particles and subsequent nucleons in nucleus–nucleus collisions, which can produce resonances which then decay and affect mainly ratios. For and ratios presented in Figure 1b,c, respectively, the effect of resonance decay in nucleus–nucleus collisions is not obvious. At very high energy (above 100 GeV), the contribution of resonances can be neglected, which renders similar results in and Au–Au (Pb–Pb) collisions. In addition, more energies are deposited in Au–Au (Pb–Pb) collisions than in collisions, which also results the difference in ratios. Meanwhile, the deposited energies are not too large, which does not result in the difference in () ratios.
One can see in Figure 1 that, with the increase of , decreases obviously in central Au–Au (Pb–Pb) collisions and it increases obviously in INEL or NSD collisions, while and increase obviously in both central Au–Au (Pb–Pb) and INEL or NSD collisions. The limiting values of the three yield ratios is 1 at very high energy. The solid and dashed curves in Figure 1a can be empirically described by
and
respectively, with /dof ( per degree of freedom) being 0.162 and 1.559, respectively. The solid curves in Figure 1b,c can be empirically described by
and
respectively, with /dof being 2.735 and 7.715, respectively. According to these functions, by using Equations (5) and (6), the chemical potentials of light particles and quarks can be obtained.
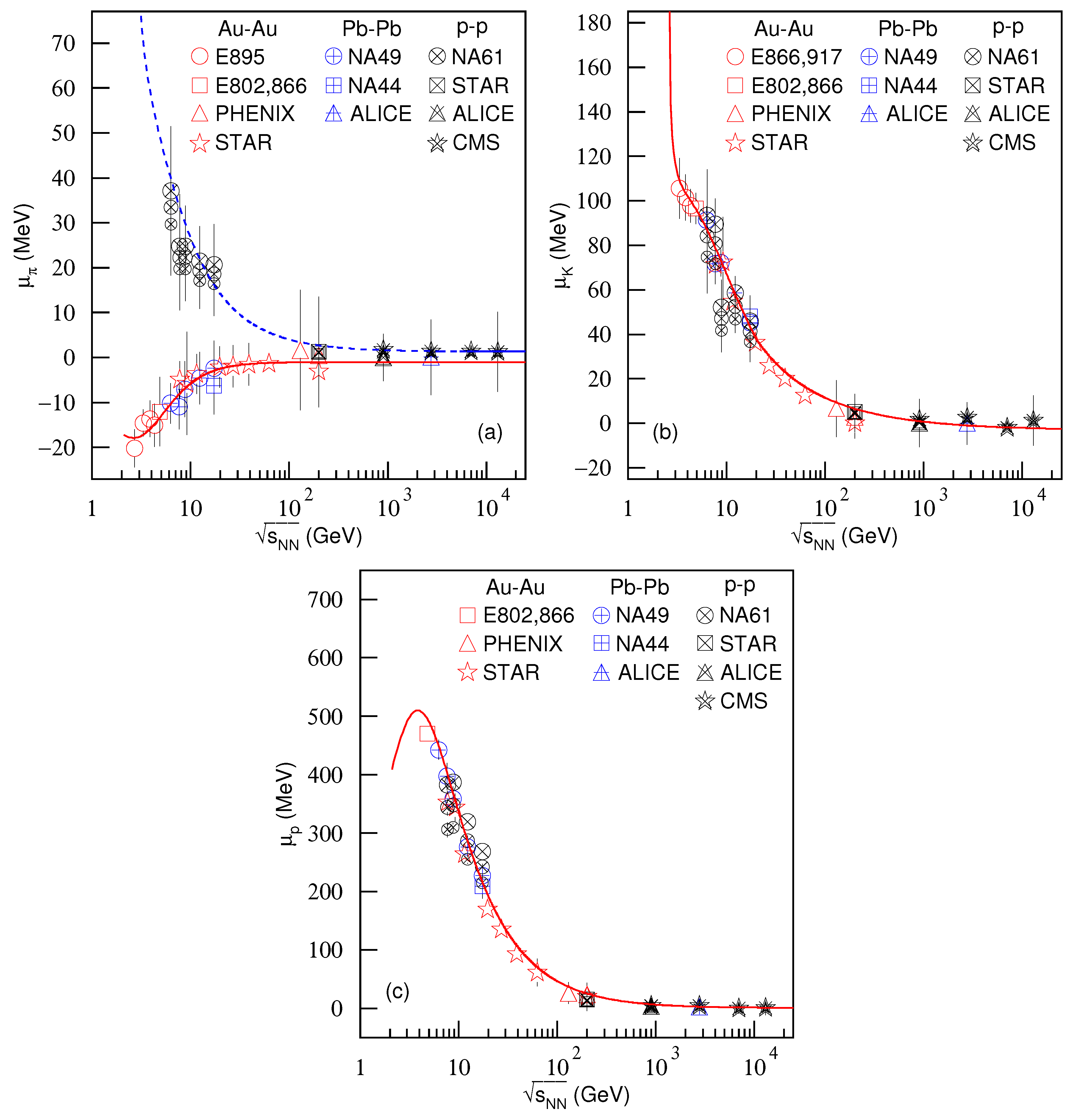
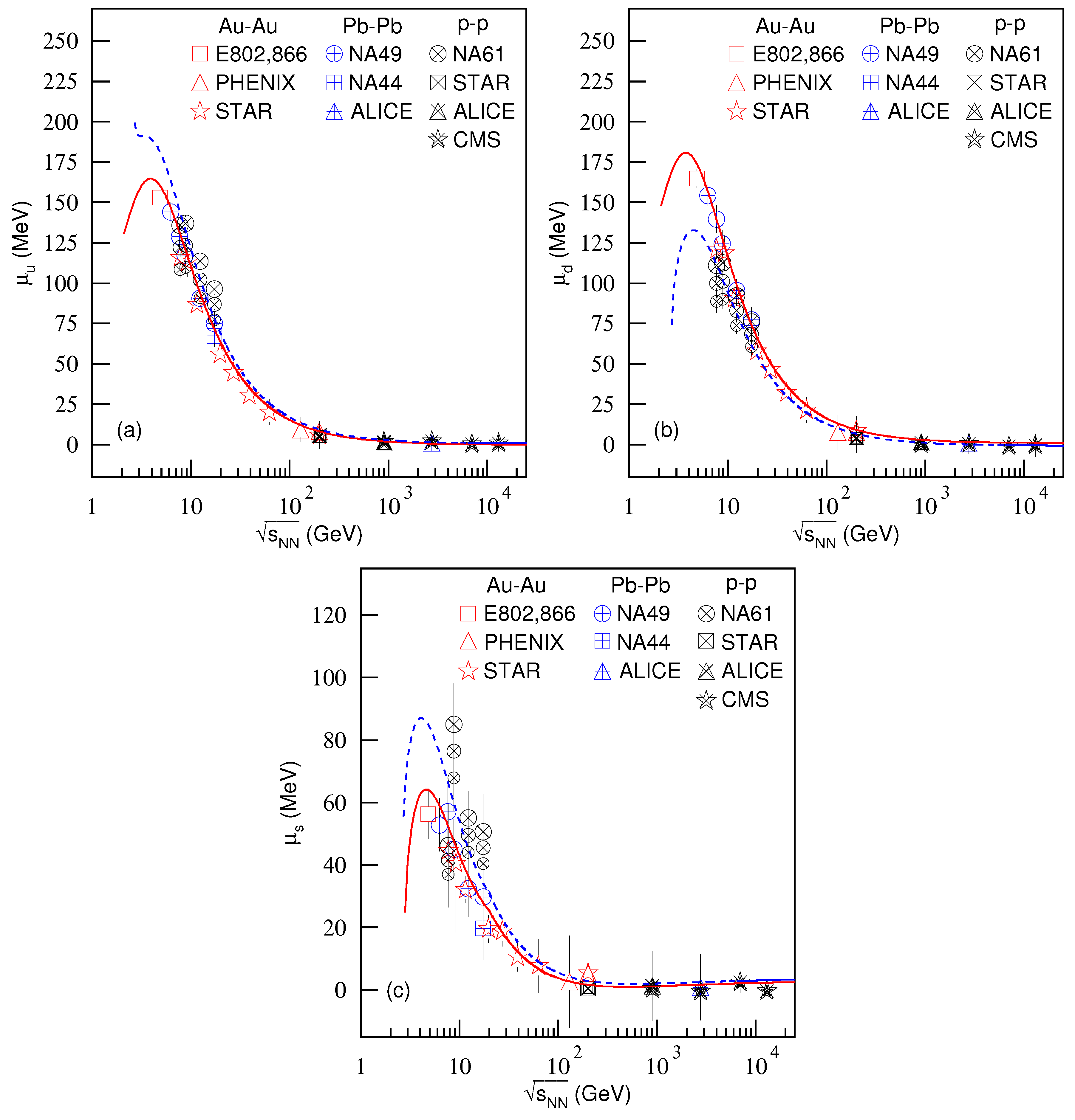
Figure 2a–c presents, respectively, the chemical potentials , , and , of , K, and p produced in mid-rapidity interval (in most cases) in central Au–Au (Pb–Pb) and INEL or NSD collisions at high energies. The symbols denote the derivative data obtained from Figure 1 according to Equation (5), where different symbols correspond to different collaborations marked in the panels, which are the same as Figure 1. For the purpose of comparison, the normal, medium, and small symbols with diagonal crosses denote the derivative data in INEL or NSD collisions obtained by , , and in Equation (5), respectively, since the chemical freeze-out temperature in collisions is not available. The curves are the derivative results obtained from the curves in Figure 1 according to Equation (5). The solid and dashed curves in Figure 2a are the derivative results for central Au–Au (Pb–Pb) and INEL or NSD collisions, respectively. The solid curves in Figure 2b,c are the derivative results for the combining central Au–Au (Pb–Pb) and INEL or NSD collisions. One can see that, with the increase of over a range from above a few GeV to above 10 TeV, increases obviously in central Au–Au (Pb–Pb) collisions and it decreases obviously in INEL or NSD collisions, while and decrease obviously in both central Au–Au (Pb–Pb) and INEL or NSD collisions. The limiting values of the three types of chemical potentials are 0 at very high energy. As derivative results from Figure 1, the difference and similarity in and Au–Au (Pb–Pb) collisions are natural due to the application of Equation (5).
Figure 2.
Chemical potentials: (a) ; (b) ; and (c) , of (a) ; (b) K; and (c) p produced in mid-rapidity interval (in most cases) in central Au–Au (Pb–Pb) and INEL or NSD collisions at high energies. The symbols denote the derivative data obtained from Figure 1 according to Equation (5). In particular, the NA61/SHINE data appear in the forward rapidity region (in the center-of-mass system), although the experiment can provide results with geometry. The normal, medium, and small symbols with diagonal crosses denote the derivative data in INEL or NSD collisions obtained by , , and in Equation (5), respectively. The curves surrounding the symbols are the derivative results obtained from the curves in Figure 1 according to Equation (5).
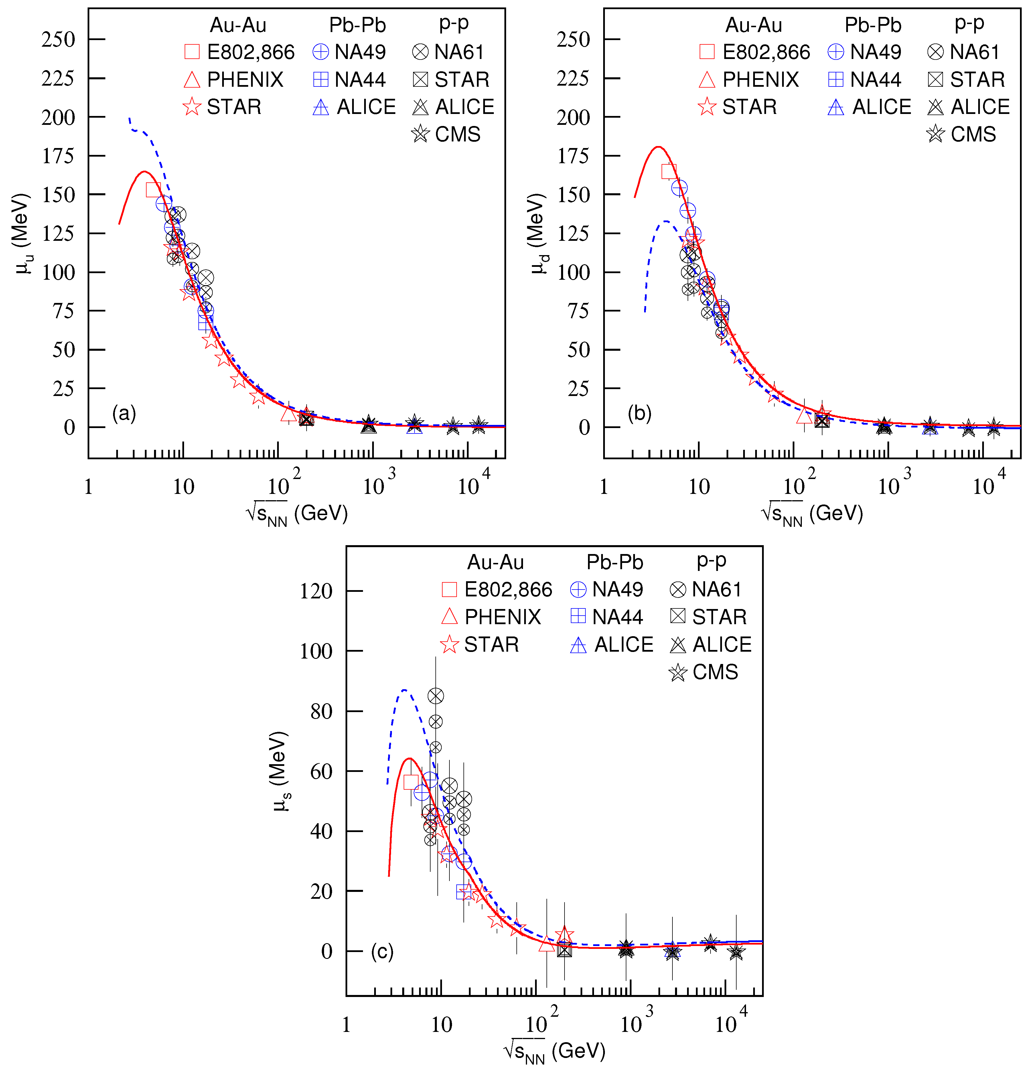
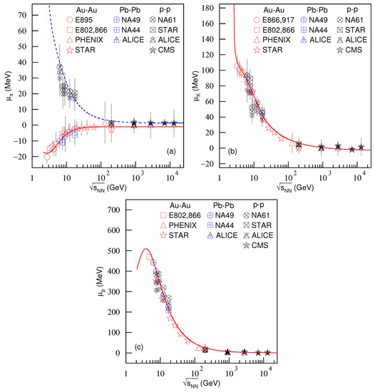
Figure 3 is the same as Figure 2, but Figure 3a–c presents, respectively, the chemical potentials, , , and , of u, d, and s quarks, which are derived from mid-rapidity interval (in most cases) in central Au–Au (Pb–Pb) and INEL or NSD collisions at high energies. The symbols denote the derivative data obtained from Figure 1 according to Equation (6), where different symbols correspond to different collaborations marked in the panels which are the same as Figure 1 and Figure 2. For the purpose of comparison, the normal, medium, and small symbols with diagonal crosses denote the derivative data in INEL or NSD collisions obtained by , , and in Equation (6), respectively. The curves are the derivative results obtained from the curves in Figure 1 according to Equation (6), where the solid and dashed curves are for central Au–Au (Pb–Pb) and INEL or NSD collisions, respectively. One can see that, with the increase of over a range from above a few GeV to above 10 TeV, , , and decrease obviously in both central Au–Au (Pb–Pb) and INEL or NSD collisions. The limiting values of the three chemical potentials are 0 at very high energy.
Figure 3.
Chemical potentials: (a) ; (b) ; and (c) , of (a) u; (b) d; and (c) s quarks derived from mid-rapidity interval (in most cases) in central Au–Au (Pb–Pb) and INEL or NSD collisions at high energies. The symbols denote the derivative data obtained from Figure 1 according to Equation (6). In particular, the NA61/SHINE data appear in the forward rapidity region (in the center-of-mass system), although the experiment can provide results with geometry. The normal, medium, and small symbols with diagonal crosses denote the derivative data in INEL or NSD collisions obtained by , , and in Equation (6), respectively. The curves surrounding the symbols are the derivative results obtained from the curves in Figure 1 according to Equation (6).
In Figure 2, at a few GeV (∼4 GeV), some curves show different trends comparing with those at other energies, which are not observed from the curves of the yield ratios in Figure 1. At the same time, the curves in Figure 3 also show different trends at a few GeV. Indeed, this energy is a special energy. In our opinion, these special trends appear due to this energy being the initial energy of limiting fragmentation of collision nuclei. This energy is also the energy at which the phase transition from a liquid-like state to a gas-like state in the collision system is expected to happen initially, where the liquid-like state is a state in which the mean-free-path of interacting particles is relatively short, and the gas-like state is a state in which the mean-free-path of interacting particles is relatively long. In addition, the density of baryon number in nucleus–nucleus collisions at this energy has a large value. Because of these particular factors, the collisions at this energy present different features from other energies. The matter formed at this energy changes initially its state from the liquid-like nucleons and mesons to the gas-like nucleons and mesons in whole stage of collisions.
The above explanation on the initial energy of limiting fragmentation of collision nuclei or the energy of the phase-transition from the liquid-like state to the gas-like state in the collision system deserves discussion. In fact, the present work contains rather standard analysis, performed for many years [43,44,45,46] without too many novel results in the field. The conclusion concerning physics presented in the present work is possibly too far-reaching. Instead, the yield ratios discussed in the present work can also be explained within the statistical hadron resonance gas (HRG) model and the ultrarelativistic quantum molecular dynamics (UrQMD) transport model [43,44,45,46]. At a few GeV, the collision system stays at the state with the maximum density and minimum radius, which results in different trends of chemical potentials.
From above a few GeV to dozens of GeV, the cases of and in central Au–Au (Pb–Pb) collisions are different from other particles and in INEL or NSD collisions. These render the resonant production of pions in central Au–Au (Pb–Pb) collisions, which does not contribute too much to other particles or in INEL or NSD collisions [42]. At the RHIC and LHC, the trends of and in central Au–Au (Pb–Pb) collisions are close to other particles or INEL or NSD collisions due to the insignificant contribution to pions and other particles. From above a few GeV to above 10 TeV, the yield ratios approach 1 and the chemical potentials approach 0. These render that the mean-free-path of produced particles (quarks) becomes large and the viscous effect becomes weakly at the LHC. The interacting system changes completely from the liquid-like state, which is hadron-dominant, to the gas-like state, which is quark-dominant, at the early and medium stages in collisions at very high energy, although the final stage is the hadron-dominant gas-like state.
Before giving conclusions, we discuss further the extraction method of chemical potentials. Theoretically, chemical potentials always correspond to some conserved charge. For example, in Ref. [39], it is written how a hadron i has a chemical potential. One has , where with a lower foot mark corresponds to each chemical potential, and , , , and are the particle’s baryon number, strangeness, isospin, and charm, respectively. Although not all of them are free parameters, since some of them are fixed by the conservation laws and some of them are 0 for a special particle, determining is still less-known. In particular, to determine the chemical potentials of quarks is even less-known.
To determine the chemical potentials, the present work tries to use a convenient method. In the case of utilizing , chemical potentials are obtained according to the yield ratios of antiparticles to particles. In the extraction, the difference between the chemical potentials of antiparticles and particles is neglected, and the difference between the chemical potentials of quark and its anti-quark is also neglected. Then, Equations (1), (3) and (4) are acceptable. In addition, we have used a single- scenario for the chemical freeze-out, although a two- (or multi-) scenario is also possible. In most cases, one intends to use the single- scenario for the chemical freeze-out.
4. Conclusions
In summary, we have collected the yield ratios, , , and , of antiparticles to particles produced in mid-rapidity interval (in most cases) in central Au–Au (Pb–Pb) and INEL or NSD collisions over an energy range from a few GeV to above 10 TeV. It is shown that, with the increase of , decreases obviously in central Au–Au (Pb–Pb) collisions and it increases obviously in INEL or NSD collisions, and and increase obviously in both central Au–Au (Pb–Pb) and INEL or NSD collisions. The limiting values of the three yield ratios is 1 at very high energy.
The chemical potentials of light particles and quarks are extracted from the yield ratios. With the increase of over a range from above a few GeV to above 10 TeV, increases obviously in central Au–Au (Pb–Pb) collisions and it decreases obviously in INEL or NSD collisions, and and decrease obviously in both central Au–Au (Pb–Pb) and INEL or NSD collisions. Meanwhile, , , and decrease obviously in both central Au–Au (Pb–Pb) and INEL or NSD collisions. The limiting values of the chemical potentials of the three types of light particles and the three flavors of light quarks are 0 at very high energy.
At a few GeV (∼4 GeV), some curves of the chemical potentials show different trends which are not observed from the curves of the yield ratios. These special trends appear due to this energy being possibly the initial energy of limiting fragmentation of collision nuclei. This energy is also the energy of the phase transition from the liquid-like state to the gas-like state in the collision system. The interacting system changes completely from the hadron-dominant liquid-like state to the quark-dominant gas-like state at the early and medium stage in collisions at very high energy.
The yield ratios discussed in the present work can also be explained within the statistical hadron resonance gas model and the ultrarelativistic quantum molecular dynamics transport model [43,44,45,46]. At a few GeV, the collision system stays at the state with the maximum density and minimum radius, which results different trends of chemical potentials. The density of baryon number in nucleus–nucleus collisions at a few GeV has a large value. These particular factors render different features at this energy.
Author Contributions
The authors contributed to the paper in this way: conceptualization, F.-H.L; methodology, F.-H.L.; software, H.-L.L.; validation, Y.-Q.G. and F.-H.L.; formal analysis, H.-L.L.; investigation, H.-L.L. and Y.-Q.G.; resources, F.-H.L.; data curation, H.-L.L.; writing—original draft preparation, H.-L.L. and Y.-Q.G.; writing—review and editing, F.-H.L.; visualization, H.-L.L. and Y.-Q.G.; supervision, F.-H.L.; project administration, F.-H.L.; funding acquisition, F.-H.L.
Funding
This work was supported by the National Natural Science Foundation of China under Grant Nos. 11575103, 11747319, and 11847311; the Scientific and Technological Innovation Programs of Higher Education Institutions in Shanxi (STIP) under Grant No. 201802017; the Shanxi Provincial Natural Science Foundation under Grant No. 201701D121005; the Fund for Shanxi “1331 Project” Key Subjects Construction; and the Doctoral Scientific Research Foundation of Taiyuan University of Science and Technology under Grant No. 20152043.
Conflicts of Interest
The authors declare that there are no conflicts of interest regarding the publication of this paper. The funders had no role in the design of the study; in the collection, analyses, or interpretation of data; in the writing of the manuscript, or in the decision to publish the results.
Data Availability
The data used to support the findings of this study are quoted from the mentioned references. As a phenomenological work, this paper does not report new data.
References
- Cleymans, J.; Oeschler, H.; Redlich, K.; Wheaton, S. Comparison of chemical freeze-out criteria in heavy-ion collisions. Phys. Rev. C 2006, 73, 034905. [Google Scholar] [CrossRef]
- Andronic, A.; Braun-Munzinger, P.; Stachel, J. The horn, the hadron mass spectrum and the QCD phase diagram: The statistical model of hadron production in central nucleus-nucleus collisions. Nucl. Phys. A 2010, 834, 237c–240c. [Google Scholar] [CrossRef]
- Adamczyk, L.; et al. [STAR Collaboration]. Bulk properties of the medium produced in relativistic heavy-ion collisions from the beam energy scan program. Phys. Rev. C 2017, 96, 044904. [Google Scholar] [CrossRef]
- Bellwied, R. Sequential strangeness freeze-out. EPJ Web Conf. 2018, 171, 02006. [Google Scholar] [CrossRef]
- Turko, L.; et al. [NA61/SHINE Collaboration]. Looking for the phase transition—Recent NA61/SHINE results. Universe 2018, 4, 52. [Google Scholar] [CrossRef]
- Grebieszkow, K.; et al. [NA61/SHINE Collaboration]. News from strong interactions program of the NA61/SHINE experiment. Acta Phys. Polon. B Proc. Suppl. 2017, 10, 589–596. [Google Scholar] [CrossRef]
- Xu, N.; et al. [STAR Collaboration]. An overview of STAR experimental results. Nucl. Phys. A 2014, 931, 1. [Google Scholar] [CrossRef]
- Yang, C.; et al. [STAR Collaboration]. The STAR beam energy scan phase II physics and upgrades. Nucl. Phys. A 2017, 967, 800–803. [Google Scholar] [CrossRef]
- Arslandok, M.; et al. [ALICE Collaboration]. Event-by-event identified particle ratio fluctuations in Pb-Pb collisions with ALICE using the identity method. Nucl. Phys. A 2017, 956, 870–873. [Google Scholar] [CrossRef]
- Aaij, R.; et al. [LHCb Collaboration]. Measurement of the inelastic pp cross-section at a centre-of-mass energy of = 7 TeV. J. High Energy Phys. 2015, 2015, 129. [Google Scholar] [CrossRef]
- Sirunyan, A.M.; et al. [CMS Collaboration]. Measurements of differential cross sections of top quark pair production as a function of kinematic event variables in proton-proton collisions at = 13 TeV. J. High Energy Phys. 2018, 2018, 002. [Google Scholar] [CrossRef]
- Aaboud, M.; et al. [ATLAS Collaboration]. Measurements of top-quark pair differential cross-sections in the eμ channel in pp collisions at = 13 TeV using the ATLAS detector. Eur. Phys. J. C 2017, 77, 292. [Google Scholar] [CrossRef] [PubMed]
- Klay, J.L.; et al. [E895 Collaboration]. Charged pion production in 2 to 8A GeV central Au + Au collisions. Phys. Rev. C 2003, 68, 054905. [Google Scholar] [CrossRef]
- Ahle, L.; et al. [E866/E917 Collaboration]. An excitation function of K− and K+ production in Au + Au reactions at the AGS. Phys. Lett. B 2000, 409, 53–60. [Google Scholar] [CrossRef]
- Klay, J.L.; et al. [E895 Collaboration]. Longitudinal flow from (2–8)A GeV Au + Au collisions. Phys. Rev. Lett. 2002, 88, 102301. [Google Scholar] [CrossRef] [PubMed]
- Akiba, Y. [E802 Collaboration]. Particle production in Au + Au collisions from BNL E866. Nucl. Phys. A 1996, 610, 139c. [Google Scholar] [CrossRef]
- Ahle, L.; et al. [E802 Collaboration]. Particle production at high baryon density in central Au + Au reactions at 11.6A GeV/c. Phys. Rev. C 1998, 57, R466–R477. [Google Scholar] [CrossRef]
- Adcox, K.; et al. [PHENIX Collaboration]. Single identified hadron spectra from = 130 GeV Au + Au collisions. Phys. Rev. C 2004, 69, 024904. [Google Scholar] [CrossRef]
- Adcox, K.; et al. [PHENIX Collaboration]. Centrality dependence of π+/π−, K+/K−, p and production from = 13 GeV Au + Au collisions at RHIC. Phys. Rev. Lett. 2002, 88, 242301. [Google Scholar] [CrossRef]
- Adler, S.S.; et al. [PHENIX Collaboration]. Identified charged particle spectra and yields in Au + Au collisions at = 200 GeV. Phys. Rev. C 2004, 69, 034909. [Google Scholar] [CrossRef]
- Abelev, B.; et al. [STAR Collaboration]. Identified particle production, azimuthal anisotropy, and interferometry measurements in Au + Au collisions at = 9.2 GeV. Phys. Rev. C 2010, 81, 024911. [Google Scholar] [CrossRef]
- Abelev, B.; et al. [STAR Collaboration]. Systematic measurements of identified particle spectra in pp, d + Au and Au + Au collisions from STAR. Phys. Rev. C 2009, 79, 034909. [Google Scholar] [CrossRef]
- Adams, J.; et al. [STAR Collaboration]. Identified particle distributions in pp and Au + Au collisions at = 200 GeV. Phys. Rev. Lett. 2004, 92, 112301. [Google Scholar] [CrossRef] [PubMed]
- Alt, C.; et al. [NA49 Collaboration]. Pion and kaon production in central Pb + Pb collisions at 20A and 30A GeV: Evidence for the onset of deconfinement. Phys. Rev. C 2008, 77, 024903. [Google Scholar] [CrossRef]
- Afanasiev, S.V.; et al. [NA49 Collaboration]. Energy dependence of pion and kaon production in central Pb + Pb collisions. Phys. Rev. C 2002, 66, 054902. [Google Scholar] [CrossRef]
- Alt, C.; et al. [NA49 Collaboration]. Energy and centrality dependence of and p production and the / ratio in Pb + Pb collisions between 20A GeV and 158A GeV. Phys. Rev. C 2006, 73, 044910. [Google Scholar] [CrossRef]
- Afanasiev, S.V.; et al. [NA49 Collaboration]. Energy and centrality dependence of deuteron and proton production in Pb + Pb collisions at relativistic energies. Phys. Rev. C 2004, 69, 024902. [Google Scholar]
- Bearden, I.G.; et al. [NA44 Collaboration]. Particle production in central Pb + Pb collisions at 158A GeV/c. Phys. Rev. C 2002, 66, 044907. [Google Scholar] [CrossRef]
- Abelev, B.; et al. [ALICE Collaboration]. Centrality dependence of π, K, p production in Pb-Pb collisions at = 2.76 TeV. Phys. Rev. C 2013, 88, 044910. [Google Scholar] [CrossRef]
- Aduszkiewicz, A.; et al. [NA61/SHINE Collaboration]. Measurements of π±, K±, p and spectra in proton-proton interactions at 20, 31, 40, 80 and 158 GeV/c with the NA61/SHINE spectrometer at the CERN SPS. Eur. Phys. J. C 2017, 77, 671. [Google Scholar] [CrossRef]
- Abelev, B.I.; et al. [STAR Collaboration]. Strange particle production in p+p collisions at = 200 GeV. Phys. Rev. C 2007, 75, 064901. [Google Scholar] [CrossRef]
- Aamodt, K.; et al. [ALICE Collaboration]. Production of pions, kaons and protons in pp collisions at = 900 GeV with ALICE at the LHC. Eur. Phys. J. C 2011, 71, 1655. [Google Scholar] [CrossRef]
- Chatrchyan, S.; et al. [CMS Collaboration]. Study of the inclusive production of charged pions, kaons, and protons in pp collisions at = 0.9, 2.76, and 7 TeV. Eur. Phys. J. C 2012, 72, 2164. [Google Scholar] [CrossRef]
- Sirunyan, A.M.; et al. [CMS Collaboration]. Measurement of charged pion, kaon, and proton production in proton-proton collisions at = 13 TeV. Phys. Rev. D 2017, 96, 112003. [Google Scholar] [CrossRef]
- Gao, Y.-Q.; Lao, H.-L.; Liu, F.-H. Chemical potentials of light flavor quarks from yield ratios of negative to positive particles in Au+Au collisions at RHIC. Adv. High Energy Phys. 2018, 2018, 6047960. [Google Scholar] [CrossRef]
- Koch, P.; Rafelski, J.; Greiner, W. Strange hadron in hot nuclear matter. Phys. Lett. B 1983, 123, 151–154. [Google Scholar] [CrossRef]
- Braun-Munzinger, P.; Magestro, D.; Redlich, K.; Stachel, J. Hadron production in Au-Au collisions at RHIC. Phys. Lett. B 2001, 518, 41–46. [Google Scholar] [CrossRef]
- Andronic, A.; Braun-Munzinger, P.; Stachel, J. Thermal hadron production in relativistic nuclear collisions. Acta Phys. Pol. B 2009, 40, 1005–1012. [Google Scholar]
- Andronic, A.; Braun-Munzinger, P.; Stachel, J. Hadron production in central nucleus-nucleus collisions at chemical freeze-out. Nucl. Phys. A 2006, 772, 167. [Google Scholar] [CrossRef]
- Arsene, I.; et al. [BRAHMS Collaboration]. Quark gluon plasma and color glass condensate at RHIC? the perspective from the BRAHMS experiment. Nucl. Phys. A 2005, 757, 1–27. [Google Scholar] [CrossRef]
- Zhao, H.; Liu, F.-H. On extraction of chemical potentials of quarks from particle transverse momentum spectra in high energy collisions. Adv. High Energy Phys. 2015, 2015, 137058. [Google Scholar] [CrossRef]
- Yu, N.; Luo, X.-F. Particle decay from statistical thermal model in high-energy nucleus-nucleus collisions. Eur. Phys. J. A 2019, 55, 26. [Google Scholar] [CrossRef]
- Begun, V.V.; Vovchenko, V.; Gorenstein, M.I.; Stoecker, H.; Motornenko, A. Hadron yields and fluctuations at energies available at the CERN Super Proton Synchrotron: System-size dependence from Pb + Pb to p+p collisions. Phys. Rev. C 2019, 99, 034909. [Google Scholar]
- Begun, V.V.; Vovchenko, V.; Gorenstein, M.I.; Stoecker, H. Statistical hadron-gas treatment of systems created in proton-proton interactions at energies available at the CERN Super Proton Synchrotron. Phys. Rev. C 2018, 98, 054909. [Google Scholar] [CrossRef]
- Begun, V.V.; Vovchenko, V.; Gorenstein, M.I. Surprises for the chemical freeze-out lines from the new data in p+p and A+A collisions. Acta Phys. Pol. B Proc. Supp. 2017, 10, 467–471. [Google Scholar] [CrossRef]
- Vovchenko, V.; Begun, V.V.; Gorenstein, M.I. Hadron multiplicities and chemical freeze-out conditions in proton-proton and nucleus-nucleus collisions. Phys. Rev. C 2016, 93, 064906. [Google Scholar] [CrossRef]
© 2019 by the authors. Licensee MDPI, Basel, Switzerland. This article is an open access article distributed under the terms and conditions of the Creative Commons Attribution (CC BY) license (http://creativecommons.org/licenses/by/4.0/).


