New Exact Solutions of Relativistic Hydrodynamics for Longitudinally Expanding Fireballs
Abstract
1. Introduction
2. A Brief Overview of the Status of the Field
2.1. Exact Solutions with Boost-Invariant Flow Profiles
2.2. Recent Results on Rotating, Non-Relativistic Solutions
2.3. Relativistic Solutions without Longitudinal Boost-Invariance and Rotation
2.3.1. Landau Hydrodynamics
2.3.2. Results from the BJP Solution
2.3.3. Results from the CNC Solution
3. Equations of Relativistic Hydrodynamics
4. A New Family of Exact Solutions of Relativistic Hydrodynamics
4.1. Discussion and Limiting Cases
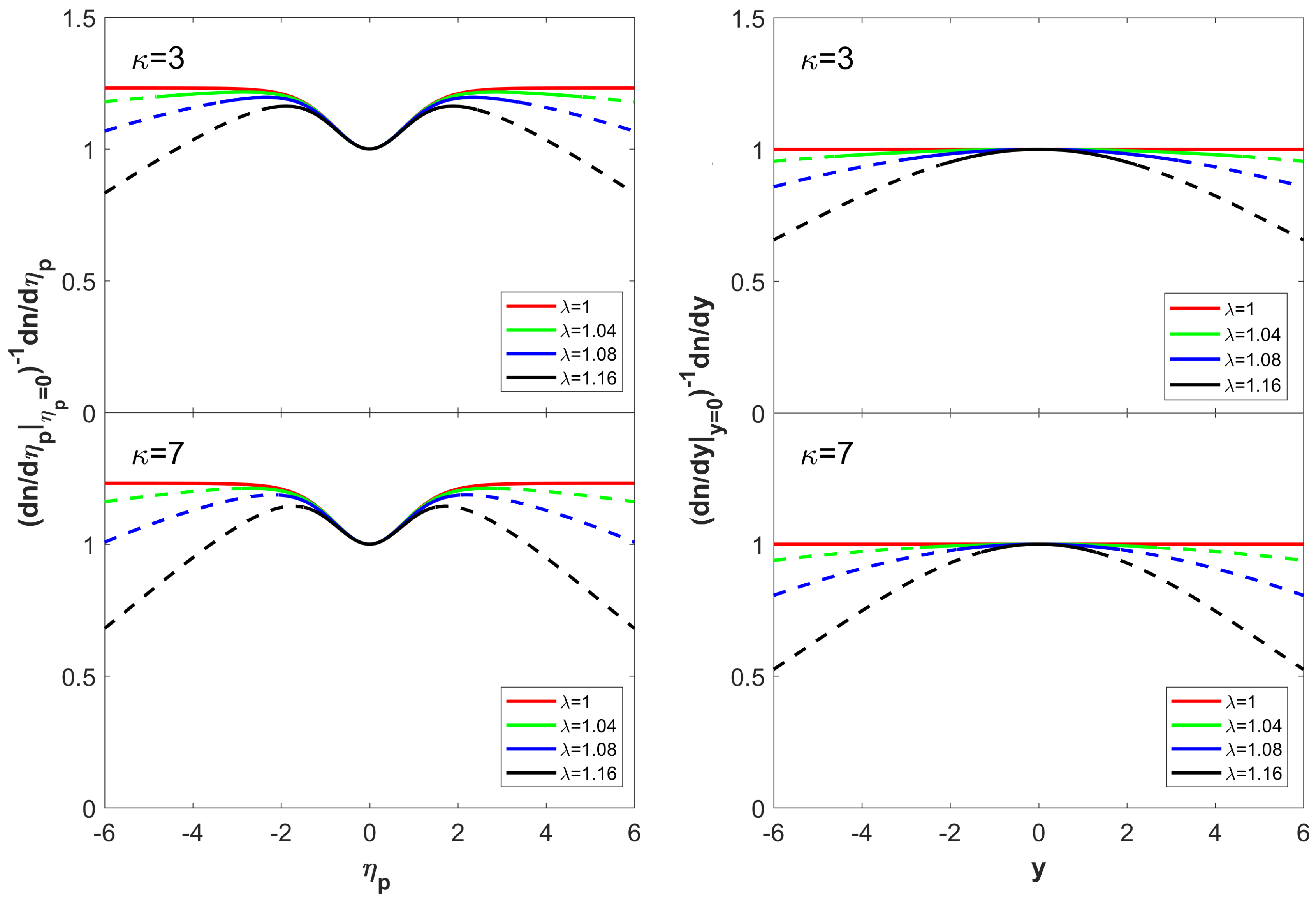
4.2. Graphical Illustrations
5. Observables: Rapidity and Pseudorapidity Distributions
6. First Comparisons to p + p Data at RHIC and LHC
7. Summary
Author Contributions
Funding
Conflicts of Interest
References
- Fermi, E. High-energy nuclear events. Prog. Theor. Phys. 1950, 5, 570–583. [Google Scholar] [CrossRef]
- Landau, L.D. On the multiparticle production in high-energy collisions. Izv. Akad. Nauk Ser. Fiz. 1953, 17, 51–64. [Google Scholar]
- Khalatnikov, I.M. On the multiparticle production in high-energy collisions. Zh. Eksp. Teor. Fiz. 1954, 27, 529. [Google Scholar]
- Belenkij, S.Z.; Landau, L.D. Hydrodynamic theory of multiple production of particles. Nuovo Cim. Suppl. 1956, 3, 15–31. [Google Scholar] [CrossRef]
- Arsene, I.; Bearden, I.G.; Beavis, D.; Besliu, C.; Budick, B.; Boggild, H.; Chasman, C.; Christensen, C.H.; Christiansen, P.; Cibor, J.; et al. Quark gluon plasma and color glass condensate at RHIC? The Perspective from the BRAHMS experiment. Nucl. Phys. A 2005, 757, 1–27. [Google Scholar] [CrossRef]
- Adcox, K.; Adler, S.S.; Afanasiev, S.; Aidala, C.; Ajitanand, N.N.; Akiba, Y.; Al-Jamel, A.; Alexander, J.; Amirikas, R.; Aoki, K.; et al. Formation of dense partonic matter in relativistic nucleus-nucleus collisions at RHIC: Experimental evaluation by the PHENIX collaboration. Nucl. Phys. A 2005, 757, 184–283. [Google Scholar] [CrossRef]
- Back, B.B.; Baker, M.D.; Ballintijn, M.; Barton, D.S.; Becker, B.; Betts, R.R.; Bickley, A.A.; Bindel, R.; Budzanowski, A.; Busza, W.; et al. The PHOBOS perspective on discoveries at RHIC. Nucl. Phys. A 2005, 757, 28–101. [Google Scholar] [CrossRef]
- Adams, J.; Aggarwal, M.M.; Ahammed, Z.; Amonett, J.; Anderson, B.D.; Arkhipkin, D.; Averichev, G.S.; Badyal, S.K.; Bai, Y.; Balewski, J.; et al. Experimental and theoretical challenges in the search for the quark gluon plasma: The STAR Collaboration’s critical assessment of the evidence from RHIC collisions. Nucl. Phys. A 2005, 757, 102–183. [Google Scholar] [CrossRef]
- Aamodt, K.; Abelev, B.; Quintana, A.A.; Adamova, D.; Adare, A.M.; Aggarwal, M.M.; Rinella, G.A.; Agocs, A.G.; Salazar, S.A.; Ahammed, Z.; et al. Elliptic flow of charged particles in Pb-Pb collisions at 2.76 TeV. Phys. Rev. Lett. 2010, 105, 252302. [Google Scholar] [CrossRef] [PubMed]
- Chatrchyan, S.; Khachatryan, V.; Sirunyan, A.M.; Tumasyan, A.; Adam, W.; Bergauer, T.; Dragicevic, M.; Erö, J.; Fabjan, C.; Friedl, M.; et al. Multiplicity and transverse momentum dependence of two- and four-particle correlations in p + Pb and Pb + Pb collisions. Phys. Lett. B 2013, 724, 213–240. [Google Scholar] [CrossRef]
- Aad, G.; Abajyan, T.; Abbott, B.; Abdallah, J.; Khalek, S.A.; Abdelalim, A.A.; Abdinov, O.; Aben, R.; Abi, B.; Abolins, M.; et al. Measurement with the ATLAS detector of multi-particle azimuthal correlations in p + Pb collisions at 5.02 TeV. Phys. Lett. B 2013, 725, 60–78. [Google Scholar] [CrossRef]
- Adam, J.; Adamova, D.; Aggarwal, M.M.; Rinella, G.A.; Agnello, M.; Agrawal, N.; Ahammed, Z.; Ahmad, S.; Ahn, S.U.; Aiola, S.; et al. Enhanced production of multi-strange hadrons in high-multiplicity proton-proton collisions. Nat. Phys. 2017, 13, 535–539. [Google Scholar] [CrossRef]
- Adare, A.; Aidala, C.; Ajitanand, N.N.; Akiba, Y.; Al-Bataineh, H.; Alexander, J.; Angerami, A.; Aoki, K.; Apadula, N.; Aramaki, Y.; et al. Quadrupole anisotropy in dihadron azimuthal correlations in central d + Au collisions at 200 GeV. Phys. Rev. Lett. 2013, 111, 212301. [Google Scholar] [CrossRef] [PubMed]
- Aidala, C.; Akiba, Y.; Alfred, M.; Aoki, K.; Apadula, N.; Ayuso, C.; Babintsev, V.; Bagoly, A.; Barish, K.N.; Bathe, S.; et al. Measurements of azimuthal anisotropy and charged-particle multiplicity in d + Au collisions at 200, 62.4, 39, and 19.6 GeV. Phys. Rev. C 2017, 96, 064905. [Google Scholar] [CrossRef]
- Aidala, C.; Akiba, Y.; Alfred, M.; Andrieux, V.; Aoki, K.; Apadula, N.; Asano, H.; Ayuso, C.; Azmoun, B.; Babintsev, V.; et al. Measurements of multiparticle correlations in d + Au Collisions at 200, 62.4, 39, and 19.6 GeV and p + Au Collisions at 200 GeV and Implications for Collective Behavior. Phys. Rev. Lett. 2018, 120, 062302. [Google Scholar] [CrossRef] [PubMed]
- Derradi de Souza, R.; Koide, T.; Kodama, T. Hydrodynamic approaches in relativistic heavy ion reactions. Prog. Part. Nucl. Phys. 2016, 86, 35–85. [Google Scholar] [CrossRef]
- Hwa, R.C. Statistical description of hadron constituents as a basis for the fluid model of high-energy collisions. Phys. Rev. D 1974, 10, 2260. [Google Scholar] [CrossRef]
- Bjorken, R.C. Highly relativistic nucleus-nucleus collisions: The central rapidity region. Phys. Rev. D 1983, 27, 140–151. [Google Scholar] [CrossRef]
- Bíró, T.S. Generating new solutions for relativistic transverse flow at the softest point. Phys. Lett. B 2000, 487, 133–139. [Google Scholar] [CrossRef]
- Gubser, S.S. Symmetry constraints on generalizations of Bjorken flow. Phys. Rev. D 2010, 82, 085027. [Google Scholar] [CrossRef]
- Gubser, S.S.; Yarom, A. Conformal hydrodynamics in Minkowski and de Sitter spacetimes. Nucl. Phys. B 2011, 846, 469–511. [Google Scholar] [CrossRef]
- Marrochio, H.; Noronha, J.; Denicol, G.S.; Luzum, M.; Jeon, S.; Gale, C. Solutions of conformal Israel-Stewart relativistic viscous fluid dynamics. Phys. Rev. C 2015, 91, 014903. [Google Scholar] [CrossRef]
- Hatta, Y.; Noronha, J.; Xiao, B.W. Exact analytical solutions of second-order conformal hydrodynamics. Phys. Rev. D 2014, 89, 051702. [Google Scholar] [CrossRef]
- Hatta, Y.; Noronha, J.; Xiao, B.W. A systematic study of exact solutions in second-order conformal hydrodynamics. Phys. Rev. D 2014, 89, 114011. [Google Scholar] [CrossRef]
- Hatta, Y. Analytic approaches to relativistic hydrodynamics. Nucl. Phys. A 2016, 956, 152–159. [Google Scholar] [CrossRef]
- Bantilan, H.; Ishii, T.; Romatschke, P. Holographic heavy-ion collisions: Analytic solutions with longitudinal flow, elliptic flow and vorticity. arXiv, 2018; arXiv:1803.10774. [Google Scholar]
- Nagy, M.I. New simple explicit solutions of perfect fluid hydrodynamics and phase-space evolution. Phys Rev. C 2011, 83, 054901. [Google Scholar] [CrossRef]
- Csörgő, T.; Akkelin, S.V.; Hama, Y.; Lukács, B.; Sinyukov, Y.M. Observables and initial conditions for selfsimilar ellipsoidal flows. Phys. Rev. C 2003, 67, 034904. [Google Scholar] [CrossRef]
- Csanád, M.; Nagy, M.I.; Lökös, S. Exact solutions of relativistic perfect fluid hydrodynamics for a QCD equation of state. Eur. Phys. J. A 2012, 48, 173. [Google Scholar] [CrossRef]
- Csörgő, T.; Nagy, M.I.; Barna, I.F. Observables and initial conditions for rotating and expanding fireballs with spheroidal symmetry. Phys. Rev. C 2016, 93, 024916. [Google Scholar] [CrossRef]
- Nagy, M.I.; Csörgő, T. Simple solutions of fireball hydrodynamics for rotating and expanding triaxial ellipsoids and final state observables. Phys. Rev. C 2016, 94, 064906. [Google Scholar] [CrossRef]
- Csörgő, T.; Kasza, G. Scaling properties of spectra in new exact solutions of rotating, multi-component fireball hydrodynamics. Universe 2018, 4, 58. [Google Scholar] [CrossRef]
- Csizmadia, P.; Csörgő, T.; Lukács, B. New analytic solutions of the nonrelativistic hydrodynamical equations. Phys. Lett. B 1998, 443, 21–25. [Google Scholar] [CrossRef]
- Csörgő, T.; Kasza, G. New exact solutions of hydrodynamics for rehadronizing fireballs with lattice QCD equation of state. arXiv, 2016; arXiv:1610.02197. [Google Scholar]
- Bondorf, J.P.; Garpman, S.I.A.; Zimányi, J. A Simple Analytic Hydrodynamic Model for Expanding Fireballs. Nucl. Phys. A 1978, 296, 320–332. [Google Scholar] [CrossRef]
- Csörgő, T.; Grassi, F.; Hama, Y.; Kodama, T. Simple solutions of relativistic hydrodynamics for longitudinally expanding systems. Acta Phys. Hung. A 2004, 21, 53–62. [Google Scholar] [CrossRef]
- Csörgő, T.; Grassi, F.; Hama, Y.; Kodama, T. Simple solutions of relativistic hydrodynamics for longitudinally and cylindrically expanding systems. Phys. Lett. B 2003, 565, 107–115. [Google Scholar] [CrossRef]
- Csörgő, T.; Csernai, L.P.; Hama, Y.; Kodama, T. Simple solutions of relativistic hydrodynamics for systems with ellipsoidal symmetry. Acta Phys. Hung. A 2004, 21, 73–84. [Google Scholar] [CrossRef]
- Csanád, M.; Vargyas, M. Observables from a solution of 1 + 3 dimensional relativistic hydrodynamics. Eur. Phys. J. A 2010, 44, 473. [Google Scholar] [CrossRef]
- Csanád, M.; Majer, I. Equation of state and initial temperature of quark gluon plasma at RHIC. Central Eur. J. Phys. 2012, 10, 850–857. [Google Scholar] [CrossRef]
- Csörgő, T.; Lörstad, B. Bose-Einstein correlations for three-dimensionally expanding, cylindrically symmetric, finite systems. Phys. Rev. C 1996, 54, 1390. [Google Scholar] [CrossRef]
- Agababyan, N.M.; Ataian, M.R.; Csörgő, T.; De Wolf, E.A.; Dziunikowska, K.; Endler, A.M.F.; Garuchava, Z.S.; Gulkanian, G.R.; Hakobian, R.S.; Karamian, Z.K.; et al. Estimation of hydrodynamical model parameters from the invariant spectrum and the Bose-Einstein correlations of pi- mesons produced in (pi + /K + )p interactions at 250-G V/c. Phys. Lett. B 1998, 422, 359. [Google Scholar] [CrossRef]
- Wong, C.Y. Landau hydrodynamics revisited. Phys. Rev. C 2008, 78, 054902. [Google Scholar] [CrossRef]
- Wong, C.Y.; Sen, A.; Gerhard, J.; Torrieri, G.; Read, K. Analytical solutions of Landau (1 + 1)-dimensional hydrodynamics. Phys. Rev. C 2014, 90, 064907. [Google Scholar] [CrossRef]
- Jiang, Z.J.; Li, Q.G.; Zhang, H.L. Revised Landau hydrodynamic model and the pseudorapidity distributions of charged particles produced in nucleus-nucleus collisions at maximum energy at the BNL Relativistic Heavy Ion Collider. Phys. Rev. C 2013, 87, 044902. [Google Scholar] [CrossRef]
- Jiang, Z.; Li, Q.; Jiang, G. The hydrodynamic description of the energy and centrality dependences of the pseudorapidity distributions of the produced charged particles in Au + Au collisions. Int. J. Mod. Phys. E 2013, 22, 1350069. [Google Scholar] [CrossRef]
- Jiang, Z.J.; Zhang, H.L. Pseudorapidity distributions of charged particles produced in p-p collisions at center-of-mass energies from 23.6 GeV to 900 GeV. Mod. Phys. Lett. A 2014, 29, 1450130. [Google Scholar] [CrossRef]
- Jiang, Z.J.; Wang, J.; Zhang, H.L.; Ma, K. A description of pseudorapidity distributions in p-p collisions at center-of-mass energy from 23.6 to 900 GeV. Chin. Phys. C 2015, 39, 044102. [Google Scholar] [CrossRef]
- Jiang, Z.J.; Ma, K.; Zhang, H.L.; Cai, L.M. Pseudorapidity distributions of the produced charged particles in nucleus-nucleus collisions at low energies at the BNL relativistic heavy ion collider. Chin. Phys. C 2014, 38, 084103. [Google Scholar] [CrossRef]
- Zhang, H.L.; Jiang, Z.J.; Jiang, G.X. The hydrodynamic description for the pseudorapidity distributions of the charged particles produced in Pb—Pb collisions at LHC energy. Chin. Phys. Lett. 2014, 21, 022501. [Google Scholar] [CrossRef]
- Jiang, Z.J.; Zhang, H.L.; Wang, J.; Ma, K. The evolution-dominated hydrodynamic model and the pseudorapidity distributions in high energy physics. Adv. High Energy Phys. 2014, 2014, 248360. [Google Scholar] [CrossRef]
- Bialas, A.; Janik, R.A.; Peschanski, R.B. Unified description of Bjorken and Landau 1 + 1 hydrodynamics. Phys. Rev. C 2007, 76, 054901. [Google Scholar] [CrossRef]
- Beuf, G.; Peschanski, R.; Saridakis, E.N. Entropy flow of a perfect fluid in (1 + 1) hydrodynamics. Phys. Rev. C 2008, 78, 064909. [Google Scholar] [CrossRef]
- Jiang, Z.J.; Wang, J.; Ma, K.; Zhang, H.L. The unified hydrodynamics and the pseudorapidity distributions in heavy ion collisions at BNL-RHIC and CERN-LHC energies. Adv. High Energy Phys. 2015, 2015, 430606. [Google Scholar] [CrossRef]
- Jiang, Z.J.; Huang, Y.; Wang, J. A combined model for pseudorapidity distributions in p-p collisions at center-of-mass energies from 23.6 to 7000 GeV. Chin. Phys. C 2016, 40, 074104. [Google Scholar] [CrossRef]
- Jiang, Z.J.; Deng, H.P.; Huang, Y. A universal description of pseudorapidity distributions in Both nucleus-nucleus and p-p collisions at currently available energies. Adv. High Energy Phys. 2016, 2016, 5308084. [Google Scholar] [CrossRef]
- Jiang, Z.; Wang, J.; Huang, Y. A combined model for pseudorapidity distributions in Cu-Cu collisions at BNL-RHIC energies. Int. J. Mod. Phys. E 2016, 25, 1650025. [Google Scholar] [CrossRef]
- Peschanski, R.; Saridakis, E.N. On an exact hydrodynamic solution for the elliptic flow. Phys. Rev. C 2009, 80, 024907. [Google Scholar] [CrossRef]
- Csörgő, T.; Nagy, M.I.; Csanád, M. A New family of simple solutions of perfect fluid hydrodynamics. Phys. Lett. B 2008, 663, 306. [Google Scholar] [CrossRef]
- Nagy, M.I.; Csörgő, T.; Csanád, M. Detailed description of accelerating, simple solutions of relativistic perfect fluid hydrodynamics. Phys. Rev. C 2008, 77, 024908. [Google Scholar]
- Borshch, M.S.; Zhdanov, V.I. Exact solutions of the equations of relativistic hydrodynamics representing potential flows. Symmetry Integr. Geom. Methods Appl. 2007, 3, 116. [Google Scholar] [CrossRef]
- Csanád, M.; Szabó, A. Multipole solution of hydrodynamics and higher order harmonics. Phys. Rev. C 2014, 90, 054911. [Google Scholar] [CrossRef]
- Shi, S.; Liao, J.; Zhuang, P. “Ripples” on a relativistically expanding fluid. Phys. Rev. C 2014, 90, 064912. [Google Scholar] [CrossRef]
- Kurgyis, B.; Csanád, M. Perturbative, accelerating solutions of relativistic hydrodynamics. Universe 2017, 3, 84. [Google Scholar] [CrossRef]
- Csörgő, T.; Nagy, M.I.; Csanád, M. New exact solutions of relativistic hydrodynamics. J. Phys. G. 2008, 35, 104128. [Google Scholar] [CrossRef]
- Csanád, M.; Csörgő, T.; Jiang, Z.F.; Yang, C.B. Initial energy density of 7 and 8 TeV p + p collisions at the LHC. Universe 2017, 3, 9. [Google Scholar] [CrossRef]
- Jiang, Z.F.; Yang, C.B.; Csanád, M.; Csörgő, T. Accelerating hydrodynamic description of pseudorapidity density and the initial energy density in p + p, Cu + Cu, Au + Au, and Pb + Pb collisions at RHIC and LHC. arXiv, 2017; arXiv:1711.10740. [Google Scholar]
- Adare, A.; Afanasiev, S.; Aidala, C.; Ajitanand, N.N.; Akiba, Y.; Al-Bataineh, H.; Alexander, J.; Al-Jamel, A.; Aoki, K.; Aphecetche, L.; et al. Scaling properties of azimuthal anisotropy in Au + Au and Cu + Cu collisions at s(NN) = 200-GeV. Phys. Rev. Lett. 2007, 98, 162301. [Google Scholar] [CrossRef] [PubMed]
- Csörgő, T.; Zimányi, J.; Bondorf, J.; Heiselberg, H. Birth of Hot Matter in Relativistic Heavy Ion Collisions. Phys. Lett. B 1989, 222, 115–122. [Google Scholar] [CrossRef]
- Csörgő, T.; Zimányi, J.; Bondorf, J.; Heiselberg, H.; Pratt, S. Two Pion Correlation From Spacer. Phys. Lett. B 1990, 241, 301–307. [Google Scholar] [CrossRef]
- Schnedermann, E.; Heinz, U.W. Relativistic hydrodynamics in a global fashion. Phys. Rev. C 1993, 47, 1738–1750. [Google Scholar] [CrossRef]
- Khachatryan, V.; Nikolic, M.; Erbacher, R.; Carrillo Montoya, C.A.; Maggi, M.; Carvalho, W.; Górski, M.; Kotlinski, D.; Ujvari, B.; Ozturk, S.; et al. Transverse-momentum and pseudorapidity distributions of charged hadrons in pp collisions at 7 TeV. Phys. Rev. Lett. 2010, 105, 022002. [Google Scholar] [CrossRef] [PubMed]
- Chatrchyan, S.; Khachatryan, V.; Sirunyan, A.M.; Tumasyan, A.; Adam, W.; Bergauer, T.; Dragicevic, M.; Erö, J.; Fabjan, C.; Friedl, M.; et al. Measurement of pseudorapidity distributions of charged particles in proton-proton collisions at 8 TeV by the CMS and TOTEM experiments. Eur. Phys. J. C 2014, 74, 3053. [Google Scholar] [CrossRef]







© 2018 by the authors. Licensee MDPI, Basel, Switzerland. This article is an open access article distributed under the terms and conditions of the Creative Commons Attribution (CC BY) license (http://creativecommons.org/licenses/by/4.0/).
Share and Cite
Csörgő, T.; Kasza, G.; Csanád, M.; Jiang, Z. New Exact Solutions of Relativistic Hydrodynamics for Longitudinally Expanding Fireballs. Universe 2018, 4, 69. https://doi.org/10.3390/universe4060069
Csörgő T, Kasza G, Csanád M, Jiang Z. New Exact Solutions of Relativistic Hydrodynamics for Longitudinally Expanding Fireballs. Universe. 2018; 4(6):69. https://doi.org/10.3390/universe4060069
Chicago/Turabian StyleCsörgő, Tamás, Gábor Kasza, Máté Csanád, and Zefang Jiang. 2018. "New Exact Solutions of Relativistic Hydrodynamics for Longitudinally Expanding Fireballs" Universe 4, no. 6: 69. https://doi.org/10.3390/universe4060069
APA StyleCsörgő, T., Kasza, G., Csanád, M., & Jiang, Z. (2018). New Exact Solutions of Relativistic Hydrodynamics for Longitudinally Expanding Fireballs. Universe, 4(6), 69. https://doi.org/10.3390/universe4060069

