Abstract
Emergent cosmological models, together with the Big Bang and bouncing scenarios, are among the possible descriptions of the early Universe. This work aims at clarifying some general features of the primordial tensor power spectrum in this specific framework. In particular, some naive beliefs are corrected. Using a toy model, we investigate the conditions required to produce a scale-invariant spectrum and show to what extent this spectrum can exhibit local features sensitive to the details of the scale factor evolution near the transition time.
1. Introduction
The term “Big Bang” is somewhat ambiguous. In a sense, it just refers to the expansion of space and to the fact that the entire observable universe was, in the past, much smaller, denser, and hotter. This is obviously non-controversial. In another sense, it refers to the initial singularity in and of itself. In this stronger meaning, the very idea of the Big Bang is far from obvious. It is a generic prediction of general relativity (GR)—remaining usually true in the inflationary paradigm [1,2]—which can, however, be violated in some circumstances.
The first important class of models without a Big Bang (in the strong sense) are bouncing models. Among the very numerous ways to get a bounce (an excellent review can be found in [3]), it is worth mentioning the violation of the null energy condition [4], the violation of the strong energy condition [5], the existence of ghost condensates [6], galileons [7], S-branes [8], quintom fields [9], higher derivatives [10,11], non-standard couplings in the Lagrangian [12], supergravity [13], and loop quantum cosmology [14,15]. These are only some examples, and an exhaustive list should also include the ekpyrotic and cyclic scenarios [16,17] and, in a way, string gas cosmology [18]. Those ideas are also being investigated in the black hole sector; see [19] and the references therein.
The second important class of models beyond the Big Bang are those based on an emergent scenario. Instead of decreasing and then increasing, the scale factor is, in this case, constant until, at some point, a transition occurs and leads to the current expansion of the Universe. As examples, one can think of (some versions of) nonlinear sigma models [20], Horava–Lifshitz gravity [21,22], Einstein–Gauss–Bonnet theory [23], exotic matter [24], branes [25], Kaluza–Klein cosmology [26], the particle creation mechanism [27], microscopic effects [28], quantum reduced loop gravity [29], and quintom matter (see [30] for the background dynamics and [31] for the associated perturbations). This leads to interesting consequences reviewed for example in [32,33,34,35,36].
In this article, we focus on emergent models. We do not choose a specific theory, but instead, we try to highlight generic features from a purely phenomenological approach. The aim is not to demonstrate new outstanding results. It simply consists of clarifying the situation, correcting some common misunderstandings and explaining the expected observational features, which, to the best of our knowledge, have not been presented so far in a systematic way in the literature. We basically use an “ad hoc” evolution of the scale factor from a static phase to an inflationary phase (the subscript 0 does not refer in this context to the value of the Hubble parameter now, but to its nearly constant value during inflation). As this transition is expected to be triggered by some event occurring in the evolution of the Universe, we add a small distortion of the scale factor evolution around the transition time. This distortion can be a bounce (i.e., a phase of contraction followed by a phase of expansion) or an anti-bounce (the opposite), which we usually also call a bounce. Both are expected to capture some basic features of emergent models, but are also motivated by explicit results obtained, e.g., in loop quantum cosmology or in quantum reduced loop gravity (see the detailed behavior of the scale factor in [29,37]). The existence of an inflationary stage is natural as soon as a massive scalar field is assumed to be the dominant content of the universe. This will be our implicit hypothesis. In this case, inflation is a strong attractor [38] and occurs nearly inevitably.
We investigate how the primordial tensor power spectrum is affected by variations in the physical characteristics of the features present in the evolution of the scale factor so as to draw a wide picture of the observational characteristics of emergent models. We deliberately decide to focus on tensor perturbations, as the scalar spectrum does not depend only on the scale factor evolution.
Throughout this work, we use Planck units.
2. Primordial Tensor Power Spectra
2.1. The Mukhanov–Sasaki Equation for Tensor Perturbations
The first order perturbed Einstein equations are equivalent, for a flat FLRW universe and a single matter content modeled by a scalar field, to the gauge-invariant Mukhanov–Sasaki equation:
The symbol refers to a derivative with respect to conformal time such that . This equation depends on two variables v and , called the Mukhanov variables. The canonical variable, v, is obtained from a gauge-invariant combination of both the metric coordinate perturbations and the perturbations of the scalar field. The nature of the considered perturbations is encoded in the background variable , in which the indices refer either to tensor or scalar modes.
Since the background variable writes for scalar modes, being the scalar field background, the associated evolution highly depends on the matter evolution. We will therefore not consider scalar perturbations anymore in this study, even if they are currently the most relevant ones for observations. Instead, we will focus on tensor modes, for which the background variable is simply given by . The results and conclusions will therefore be fully generic and usable for any model in which the scale factor behaves, at least partially, in the way described below, independent of the cause.
The Mukhanov–Sasaki equation, that is Equation (1), reduces the cosmological evolution of perturbations to the propagation equation of a free scalar field, v, with a time-dependent mass in the Minkowski space-time. The time-dependence of the mass represents the perturbations’ sensitivity to the dynamical background.
During the quantization procedure, the variable v is promoted to be the operator. Its associated Fourier modes satisfy:
where refers to comoving wavenumbers. This equation can be re-written in cosmic time:
We introduce a new parameter such that Equation (3) becomes:
It is convenient to introduce a second parameter in order to rewrite Equation (4) as a set of two first order ordinary differential equations (ODEs):
2.2. Initial Conditions
By definition, in the static phase, the scale factor is constant. The propagation equation is then the one of a standard harmonic oscillator,
which can be used to set the usual Bunch–Davies vacuum. The initial conditions chosen in this work are therefore of the usual type, comparable to what is done in the remote past of a de Sitter state (inflationary model) or in the remote past of a bouncing scenario. Whatever the considered wavenumber, even in the bouncing case, it is always possible to find a time such that the curvature radius can be neglected: the mode effectively “feels” a Minkowski-like spacetime. As far as initial conditions for the perturbations are concerned, the emergent universe is not different from other usual models. This is true only for tensor modes, as the situation is much trickier for scalar ones [39].
3. Purely Emergent Universe
We model the evolution of an emergent universe by a static phase followed by an inflationary stage:
in which A and are two constants and characterizes the time at which the transition between the static and the inflationary phase occurs. If we arbitrarily set , without any loss of generality, then the scale factor is simply given by . The corresponding evolution, with the constants set to and , is plotted in arbitrary units in Figure 1.
Figure 1.
Scale factor evolution with and .
Obviously, the constant A in itself has no meaning and can be absorbed in any rescaling of the scale factor. In addition, a modification of the constant in front of the exponential term, such that , is simply equivalent to the definition of a new .
The primordial tensor power spectrum, defined by:
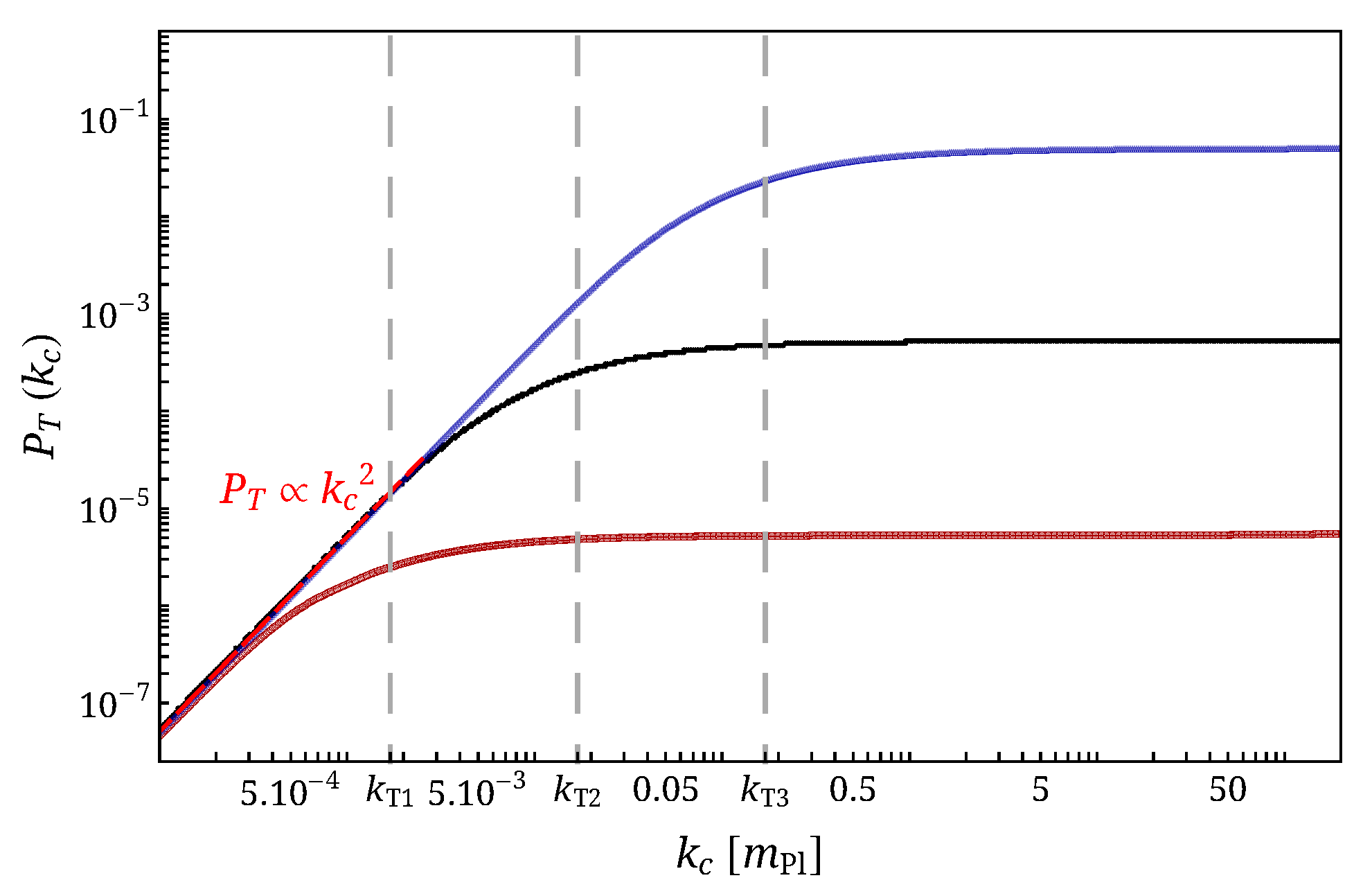
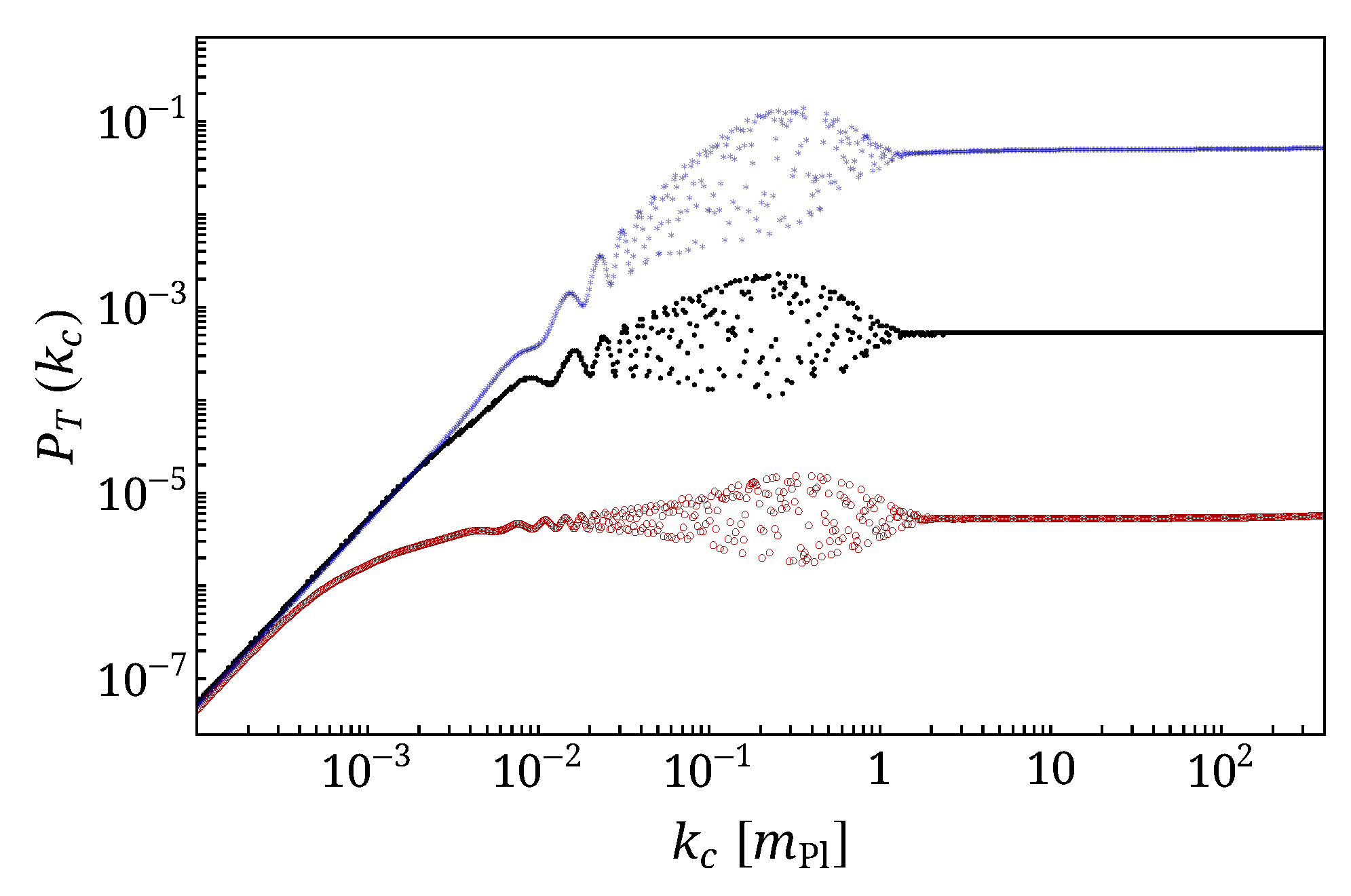
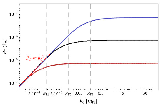
where refers to a post-inflationary time (chosen so that the considered modes have exited the horizon), can be explicitly calculated for the evolution of the scale factor given by Figure 1. The result, obtained for different values of , is shown in Figure 2.
Figure 2.
Primordial tensor power spectra from the emergent evolution for different values of . Lower curve (red): ; middle curve (black): ; and upper curve (blue): .
Clearly, two regimes do appear in those spectra. First, one can notice a scale-invariant behavior in the ultraviolet (UV), that is for large values of . Then, a power law behavior appears in the infrared (IR), corresponding to low values. The transition scale between those two regimes corresponds to the square root of the tensor potential at the transition time, i.e, at in our setting. The tensor potential is given by:
and its value at the transition is then:
For example, in the case displayed in the middle curve of Figure 2, the transition scale is . The dependence of the transition scale on also appears clearly since and .
This already raises two basic points. First, the naive view according to which the causal contact made possible by the static phase, where (), would be sufficient to ensure a spectrum compatible with observation is obviously wrong. Inflation (or other processes leading to scale invariance) is still needed. Second, the way inflation begins does matter and sets the scale above which the spectrum becomes (nearly) flat.
4. Emergent Universe with a Bounce
The previously-considered situation is clearly over-simplified. We now make the model slightly more complicated by adding a “feature” in the evolution of the scale factor before the transition to the inflationary period. As mentioned in the previous section, the interesting–and somehow usually under-estimated—fact about emergent models is that the spectrum does depend on the details of the transition period. Some information on this specific period might therefore be observationally attainable. In addition, some concrete models of quantum gravity lead to a “mini-bounce” before the transition. This is, for example, the case in quantum reduced loop gravity [29,37]. This model was designed to study symmetry reduced systems consistently within the loop quantum gravity framework (see, e.g., [40]). In particular, it bridges the gap between effective cosmological models of loop quantum cosmology [41] and the full theory, addressing the dynamics before any minisuperspace reduction [42]. This basically preserves the graph structure and SU(2) quantum numbers. It was explicitly shown that this model leads to a little bounce (or even to several mini-bounces) preceding the inflationary stage. Beyond this specific case, one can generically expect a footprint in the evolution of the scale factor of whatever physical phenomenon has triggered the transition. In the following, we therefore perturb the scale factor evolution just before the inflationary stage to study how the primordial tensor power spectrum is sensitive to the details of this distortion.
The scale factor evolution is now modeled by the following function:
The constant C characterizes the bounce amplitude, and is its mean value; and allow setting the width, and and correspond to the steepness. The term is just a normalization to ensure that the bounce amplitude remains constant under variations of B, , and . In the following, we set , to focus on symmetrical bounces. The influence of an asymmetry is a higher order effect, which is beyond the scope of this study. We also choose . The scale factor is finally expressed as:
Arbitrarily choosing and , as in the case without any bounce, and fixing , , , and , the scale factor evolution is displayed in the first panel of Figure 3. The second panel shows the associated tensor potential around the bounce. It is worth noticing that the “sign” of the bounce has no influence on the spectrum. It is displayed in Figure 3 as a local increase of the scale factor, but should we choose the other sign, leading to a decrease of the scale factor, the spectrum would remain the same, as will be shown later.
Figure 3.
(First panel) Scale factor evolution with one bounce characterized by , , , and . (Second panel) Tensor potential around the bounce.
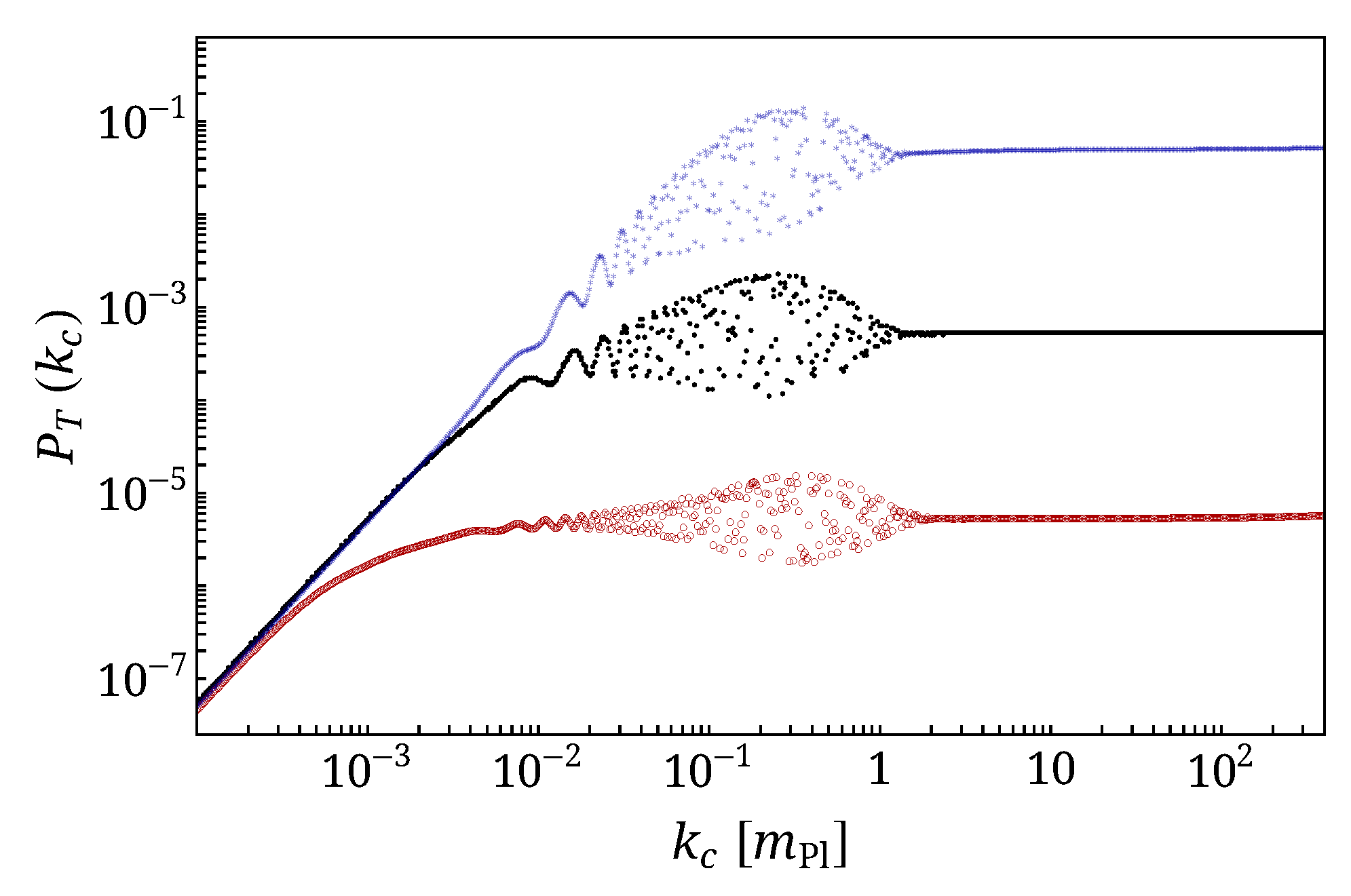
The primordial tensor power spectrum computed with this background evolution is given in Figure 4.
Figure 4.
Primordial tensor power spectrum obtained from the scale factor evolution with one bounce characterized by , , , and .
First, one can notice that the general trend is the same as in the case without bounce, which is not surprising, as the main tendencies are driven by the choice of the initial state and the existence of an inflationary stage. The spectrum is still scale-invariant in the UV and grows proportionally to in the IR. However, the bounce does have an impact on the spectrum: it induces oscillations in the space. The envelope of the oscillations forms a kind of “bullet” in the spectrum. Those oscillations can be traced back to the time evolution of the mode functions, which becomes highly -dependent in the presence of a bounce. This clearly establishes an observational window on the detailed behavior of the Universe close to the emergent time (and even before). This also contradicts a second naive belief according to which whatever happens before inflation is washed out by inflation. The details of the transition regime might be observationally probed.
This spectrum will be the reference one for the rest of this study. We now investigate how it depends (amplitude, IR and UV limits, shape of the “bullet”, etc.) on the different parameters of the model.
As previously mentioned, all the results derived in this work remain valid if the bounce is of negative sign, that is it corresponds to a transition between a (locally) contracting and an expanding phase. A negative bounce of this kind is shown in Figure 5, together with the corresponding potential. The resulting spectrum is displayed in Figure 6 and can hardly be distinguished from the reference one.
Figure 5.
(First panel) Scale factor evolution with one bounce of negative sign characterized by , , , and . (Second panel) Tensor potential around the bounce.
Figure 6.
Primordial tensor power spectrum associated with the scale factor evolution with one bounce of negative sign characterized by , , , and .
4.1. Impact of the Bounce Parameters on the Primordial Tensor Power Spectra
The aim of this section is to study how variations of the bounce parameters B, C, , and modify the shape of the primordial tensor power spectrum. Even if those oscillations cannot be currently observed, it is still interesting to see if general trends appear. Many experiments are being operated or considered to measure B-modes in the cosmological microwave background (CMB). Since the toy-model presented in this article is basically independent of the details of the quantum cosmology or modified gravity theory considered (as long as the Mukhanov–Sasaki equation remains valid), the results presented can easily be applied or adapted to forthcoming emergent, bouncing, or emergent-bouncing cosmological models.
4.1.1. The Position of the Bounce
First, let us study whether the position of the bounce in the static phase plays an important role in the characteristics of the spectrum. To this aim, it is enough to change the value of . It appears that the bounce position in the static phase has almost no consequence on the primordial tensor power spectrum. For example, Figure 7 shows the spectrum obtained for a bounce similar to the reference one, but shifted to . It can easily be seen that this spectrum is very close to the reference one. The numerical investigations show, beyond this particular example, that the position of the bounce has no significant influence on the spectrum whatever its position in the static phase. This, in principle, opens an observational window on arbitrarily-remote times in the history of the Universe. Once the “instability” is triggered, the time at which it takes place if basically of no relevance.
Figure 7.
Primordial tensor power spectrum associated with an evolution with a bounce identical to the reference case, i.e., , , and , but shifted to .
4.1.2. The Steepness of the Bounce B
To study the impact of the bounce steepness, i.e., its “slope”, we vary the parameter B. The bounce dependence on this parameter is presented in Figure 8, together with the associated tensor potentials. Since the tensor potential is highly sensitive to variations of the bounce steepness (as it includes derivatives of the scale factor), only small variations of B are represented.
Figure 8.
(First panel) Evolution of the scale factor with , , . but different values of B. (Second panel) Associated tensor potentials around the bounce.
The larger the value of B, the steeper the bounce. The (local) maximum value of the potential at the bounce thus increases with B. We therefore expect that the range of corresponding to modes impacted by (or sensitive to) the bounce is shifted to higher values compared to the reference case. Let us consider a cosmic evolution where the bounce has been highly steepened when compared to the reference case. We choose (one hundred times higher than the value of the reference case), the values of the other parameters being the same as in the reference case. The resulting power spectrum is shown in the first panel of Figure 9. The two frequencies appearing in the plot are associated with the two scales of the problem (width of the bounce and rise time of the edge).
Figure 9.
(First panel) Primordial tensor power spectrum obtained with a steep bounce characterized by , , , and . (Second panel) Spectrum with a narrower bounce (than in the first panel): .
The size of the “bullet” (or range of oscillations) in the space is extended up to higher values. This is an interesting point as the “low”- features are often considered to be hard to probe experimentally. For example, in loop quantum cosmology, deviations from scale invariance, in the form of oscillations, happen in the IR (see [43,44]). They are often considered as extremely difficult to probe as this would require a very high level of fine-tuning. The comobile values of the wavenumbers that can be seen in the CMB are actually set by the duration (number of e-folds) of inflation. In loop quantum cosmology, the interesting IR features can only be seen if this number is arbitrarily set to its lowest experimentally-allowed value [45]. This makes the model difficult to probe unless new specific features appear in the UV, e.g., through trans-Planckian effects [46] or because of a change of signature [47]. The effect underlined here, that is the displacement or widening of the “bullet” to larger values of because of the steepness of the mini-bounce, is therefore of potential observational significance. The specific features might be probed without fine-tuning the number of inflationary e-folds to its lowest allowed value (around ). It is worth reminding that, in principle, if the evolution starts at the Planck density and if the Universe is filled with a massive scalar field, the number of e-folds can be anything between zero and a few (and remains compatible with observations). In some bouncing cases, this number of e-folds can be predicted [48,49] by the model, but this remains an open issue for emergent scenarios (finding a known probability distribution function for initial conditions is tricky unless the existence of an oscillating phase for the field is demonstrated).
The second panel of Figure 9 corresponds to a reduction of the width of the bounce (by a factor of one hundred) with respect to the previous case. The shape of the distortion gets closer to the reference one but, as expected, the “bullet” is translated toward the higher regime.
Obviously, if the bounce is smoothed (by a decrease of B), the maximum of the tensor potential decreases, and the opposite effect occurs: the oscillations are shifted to the IR regime, which is far less interesting for phenomenology.
A modification of the steepness of the bounce—presumably associated with the triggering of the transition from the static to the inflationary phase—has a strong impact on the shape of the tensor potential at the bounce. The range of comoving modes sensitive to the bounce thus highly depends on the steepness of the evolution of the scale factor. This establishes that, as far as phenomenology is concerned, a very steep bounce is more likely to be observable, even if it occurs in the most remote past of the Universe.
4.1.3. The Amplitude of the Bounce C
We now study the consequences of variations of the bounce amplitude on the primordial tensor spectrum. Figure 10 displays, in the first panel, the effect of a variation of the factor C entering the scale factor evolution. The second panel shows the associated potentials.
Figure 10.
(First panel) Scale factor evolution around the bounce. From bottom to top: increasing values of . (Second panel) Associated tensor potentials.
The amplitude of the bounce in itself has no meaning. The important parameter is the ratio between the extremal value of the scale factor at the bounce and its value in the static phase. This is the relevant parameter, which is varied.
The primordial tensor power spectra, for A, , B, and taken as in the reference case but for different values of the bounce amplitude, given by , (reference case), and , are shown in Figure 11. It can easily be seen that an increase in the amplitude of the bounce amplifies the oscillations in the space. This both opens a possible observational window and allows, in principle, putting constraints on the amplitude of the bounce using upper limits on the tensor-scalar ratio.
Figure 11.
Primordial tensor spectra for different values of the bounce amplitude , the other parameters being unchanged with respect to the reference case. (First panel) , (Second panel) (reference case), and (Third panel) .
4.1.4. The Width of the Bounce
We turn to the study of the bounce width. The considered variations and their consequences on the tensor potential are shown in Figure 12.
Figure 12.
(First panel) Evolution of the scale factor with a bounce centered on and different values of . The other parameters of the model are unchanged with respect to the reference case. (Second panel) Associated tensor potentials.
The impact of a modification of the width of bounce on the primordial tensor spectrum is shown in Figure 13. For clarity and without any explicit consequence, the bounce position has been shifted to . The values of are varied, the amplitude and the steepness remaining, as usual, unchanged. The main characteristics of the power spectrum are not significantly affected. Unless compensating for the steepness variation, as explained previously, the width of the bounce is unlikely to produce any spectacular observational consequence.
Figure 13.
(First panel) Spectrum of reference. (Second panel) Spectrum with a wider bounce described by and shifted to , the other bounce parameters remaining unchanged with respect to the reference case.
4.2. Impact of the Parameters Unrelated to the Bounce
4.2.1. The Hubble Parameter during Inflation
In this section, we focus on the consequences of the inflationary stage on the tensor spectrum. As is well known, a long enough inflationary phase leads, when combined with an appropriate choice of initial vacuum, to a scale-invariant spectrum. We have varied and studied the impact on the spectrum. The results for , , and are given in Figure 14.
Figure 14.
Primordial tensor power spectra obtained from an evolution with a bounce characterized by , , , and , and three different values of the Hubble parameter during inflation. From top to bottom: (blue stars), (reference case, black disks), and (red circles).
Changing the value of modifies the amplitude of the power spectrum in the ultraviolet regime. More precisely, exactly as expected, the power is proportional to , as in standard cosmology. Varying the value of the Hubble parameter does not change the picture beyond any standard and expected effect.
4.2.2. The Normalization of the Scale Factor
In this section, is kept fixed to , and we investigate the impact of the variations of the constant A. In principle, this is just an unphysical rescaling of the scale factor. However, the case of effective quantum cosmology is slightly more subtle, as an extra fundamental scale (presumably of the order of the Planck length) might enter the game. This is not the case in the toy model we consider here, but this is clearly the case in quantum reduced loop gravity [29,37]. In this situation, the conjugate variables (a and H) should not be understood as describing the Universe as a whole, but instead as referring to a fundamental (or elementary) cell [50,51]. To make the use of our results simple in another context, we therefore present in Figure 15 the effects of a variation of the constant A. As expected, a rescaling of the scale factor just shifts the spectrum such that the physical wavenumber values remain unchanged.
Figure 15.
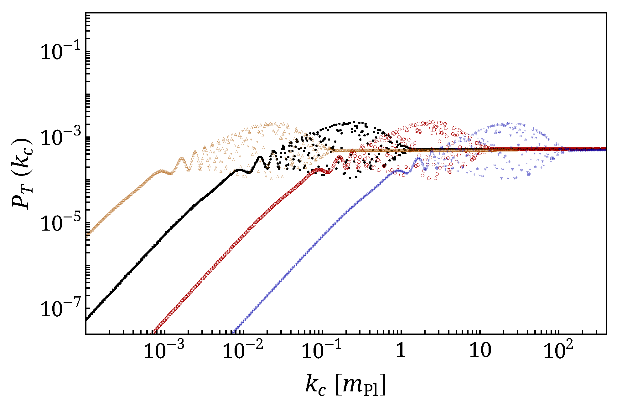
Primordial tensor power spectra obtained from an evolution with a bounce characterized by , , , and , and different values of A. From left to right: (orange triangles), (reference case, black disks), (red circles) and (blue stars).
5. Multiple Bounces
It is worth considering, in addition to the first reference bounce, another perturbation of the scale factor in the static phase, that is a scale factor given by:
in which the parameters labeled with the “” symbol are the analogues of C, B, , and for the new additional bounce. Once again, although this possibility is in principle generic and fully phenomenological, it is also motivated by some quantum gravity results.
The spectrum corresponding to an evolution with two bounces of different steepnesses is shown in Figure 16. One can notice the presence of two “bullet” features, one for each bounce of the scale factor. It is possible to vary the characteristics of each bounce, thus the characteristics of each “bullet”, independently by adjusting the parameters appropriately. If the two bounces have the same width, even if their positions are far from the one another, then the two bumps are perfectly superposed in the spectrum. If, however, the shapes of the bounces differ, they might be distinguishable in the tensor spectrum, and observational footprints of the details of the transition phase might be expected.
Figure 16.
Primordial tensor power spectrum obtained from an evolution with two bounces of different steepness, the first one being described by , , , and and the second by , , , and . The Hubble parameter during inflation is .
6. Conclusions
In this article, we have clarified some general properties of the primordial cosmological tensor power spectrum in emergent models. Following a purely phenomenological approach, we have studied how different features in the behavior of the scale factor around the transition time (or before) can affect the spectrum. The main results are the following:
- in and of itself, the existence of a static phase in the remote past of the Universe does not lead to a scale-invariant power spectrum.
- if the static phase is followed by a long enough stage of inflation, the spectrum might become flat in the observable range of wavenumbers.
- the consequences of the details of the evolution of the scale factor around the transition time, modeled as a mini-bounce (or anti-bounce), are not erased by inflation and appear as a “bullet” feature in the spectrum.
- the position of the mini-bounce has only a small influence on the shape of the “bullet”, but its steepness and amplitude control, respectively, the comobile position and the size of the bullet.
- multiple bounces can leave complex features in the spectrum. Bounces with different characteristics might leave distinguishable imprints in the tensor spectrum.
This work establishes that non-trivial features occurring at the transition time in an emergent universe might be detectable in the primordial tensor spectrum. The detection of the CMB B-modes is a very active field involving big collaborations. On the ground, progress is expected from the BICEPor POLARBEAR(now grouped into Stage 4) experiments and, in space, potentially from LiteBIRD. At this stage, trying to detect those modes is probably the best path toward finding traces of quantum gravity effects in the CMB. The features studied in this work may therefore be observable in the not so distant future, if the duration and energy scale of inflation are favorable.
It would clearly be interesting to go beyond the tensor spectrum and to investigate scalar perturbations that are currently observed. This, however, requires an explicit specific model as the evolution of the scale factor is no longer enough to compute the evolution of perturbations.
Author Contributions
Conceptualization, K.M. and A.B.; methodology, K.M. and A.B.; software, K.M.; validation, K.M.; formal analysis, K.M. and A.B.; investigation, K.M. and A.B.; resources, A.B.; writing—original draft preparation, K.M. and A.B.; writing—review and editing, K.M. and A.B.; project administration, A.B.
Funding
This research received no external funding.
Acknowledgments
K.M. is supported by a grant from the CFM foundation.
Conflicts of Interest
The authors declare no conflict of interest.
References
- Borde, A.; Vilenkin, A. Eternal inflation and the initial singularity. Phys. Rev. Lett. 1994, 72, 3305–3309. [Google Scholar] [CrossRef] [PubMed]
- Borde, A.; Vilenkin, A. Singularities in Inflationary Cosmology: A Review. Int. J. Mod. Phys. D 1996, 5, 813–824. [Google Scholar] [CrossRef]
- Brandenberger, R.; Peter, P. Bouncing cosmologies: Progress and problems. Found. Phys. 2017, 47, 797–850. [Google Scholar] [CrossRef]
- Peter, P.; Pinto-Neto, N. Has the Universe always expanded? Phys. Rev. D 2002, 65, 023513. [Google Scholar] [CrossRef]
- Falciano, F.T.; Lilley, M.; Peter, P. Primordial Black Holes from Inflaton Fragmentation into Oscillons. Phys. Rev. D 2008, 77, 083513. [Google Scholar] [CrossRef]
- Lin, C.; Brandenberger, R.H.; Perreault Levasseur, L. A Matter Bounce By Means of Ghost Condensation. J. Cosmol. Astropart. Phys. 2011, 2011, 19. [Google Scholar] [CrossRef]
- Qiu, T.; Evslin, J.; Cai, Y.-F.; Li, M.; Zhang, X. Bouncing Galileon Cosmologies. J. Cosmol. Astropart. Phys. 2011, 2011, 36. [Google Scholar] [CrossRef]
- Kounnas, C.; Partouche, H.; Toumbas, N. Thermal duality and non-singular cosmology in d-dimensional superstrings. Nucl. Phys. B 2012, 855, 280–307. [Google Scholar] [CrossRef]
- Cai, Y.-F.; Qiu, T.; Piao, Y.-S.; Li, M.; Zhang, X. Bouncing Universe with Quintom Matter. J. High Energy Phys. 2007, 2007, 71. [Google Scholar] [CrossRef]
- Biswas, T.; Mazumdar, A.; Siegel, W. Bouncing Universes in String-inspired Gravity. J. Cosmol. Astropart. Phys. 2006, 2006, 9. [Google Scholar] [CrossRef]
- Biswas, T.; Brandenberger, R.; Mazumdar, A.; Siegel, W. Reconstruction of the Scalar-Tensor Lagrangian from a LCDM Background and Noether Symmetry. J. Cosmol. Astropart. Phys. 2007, 2007, 11. [Google Scholar] [CrossRef]
- Langlois, D.; Naruko, A. Bouncing cosmologies in massive gravity on de Sitter. Class. Quant. Grav. 2013, 30, 205012. [Google Scholar] [CrossRef]
- Koehn, M.; Lehners, J.-L.; Ovrut, B.A. A Cosmological Super-Bounce. Phys. Rev. D 2014, 90, 025005. [Google Scholar] [CrossRef]
- Bojowald, M. Absence of Singularity in Loop Quantum Cosmology. Phys. Rev. Lett. 2001, 86, 5227–5230. [Google Scholar] [CrossRef] [PubMed]
- Ashtekar, A.; Barrau, A. Loop quantum cosmology: From pre-inflationary dynamics to observations. Class. Quant. Grav. 2015, 32, 234001. [Google Scholar] [CrossRef]
- Khoury, J.; Ovrut, B.A.; Steinhardt, P.J.; Turok, N. The Ekpyrotic Universe: Colliding Branes and the Origin of the Hot Big Bang. Phys. Rev. D 2001, 64, 123522. [Google Scholar] [CrossRef]
- Steinhardt, P.J.; Turok, N. Cosmic Evolution in a Cyclic Universe. Phys. Rev. D 2002, 65, 126003. [Google Scholar] [CrossRef]
- Battefeld, T.; Watson, S. String Gas Cosmology. Rev. Mod. Phys. 2006, 78, 435. [Google Scholar] [CrossRef]
- Barceló, C.; Carballo-Rubio, R.; Garay, L.J. Gravitational echoes from macroscopic quantum gravity effects. J. High Energy Phys. 2017, 2017, 54. [Google Scholar] [CrossRef]
- Beesham, A.; Chervon, S.V.; Maharaj, S.D. An emergent universe supported by a nonlinear sigma model. Class. Quant. Grav. 2009, 26, 075017. [Google Scholar] [CrossRef]
- Wu, P.; Yu, H.W. Emergent universe from the Horava-Lifshitz gravity. Phys. Rev. D 2010, 81, 103522. [Google Scholar] [CrossRef]
- Mukerji, S.; Chakraborty, S. Emergent universe in Horava gravity. Astrophys. Space Sci. 2011, 331, 665–671. [Google Scholar] [CrossRef]
- Mukerji, S.; Chakraborty, S. Emergent Universe in Einstein-Gauss-Bonnet Theory. Int. J. Theor. Phys. 2010, 49, 2446–2455. [Google Scholar] [CrossRef]
- Paul, B.C.; Ghose, S.; Thakur, P. Emergent Universe from A Composition of Matter, Exotic Matter and Dark Energy. Mon. Not. R. Astron. Soc. 2011, 413, 686–690. [Google Scholar] [CrossRef]
- Debnath, U.; Chakraborty, S. Emergent Universe with Exotic Matter in Brane World Scenario. Int. J. Theor. Phys. 2011, 50, 2892–2898. [Google Scholar] [CrossRef]
- Rudra, P. Emergent Universe with Exotic Matter in Loop Quantum Cosmology, DGP Brane World and Kaluza-Klein Cosmology. Mod. Phys. Lett. A 2012, 27, 1250189. [Google Scholar] [CrossRef]
- Chakraborty, S. Is Emergent Universe a Consequence of Particle Creation Process? Phys. Lett. B 2014, 732, 81–84. [Google Scholar] [CrossRef]
- Perez, A.; Sudarsky, D.; Bjorken, J.D. A microscopic model for an emergent cosmological constant. arXiv, 2018; arXiv:1804.07162. [Google Scholar] [CrossRef]
- Alesci, E.; Botta, G.; Cianfrani, F.; Liberati, S. Cosmological singularity resolution from quantum gravity: The emergent-bouncing universe. Phys. Rev. D 2017, 96, 046008. [Google Scholar] [CrossRef]
- Cai, Y.-F.; Li, M.; Zhang, X. Emergent Universe Scenario via Quintom Matter. Phys. Lett. B 2012, 718, 248–254. [Google Scholar] [CrossRef]
- Cai, Y.-F.; Wan, Y.; Zhang, X. Cosmology of the Spinor Emergent Universe and Scale-invariant Perturbations. Phys. Lett. B 2014, 731, 217–226. [Google Scholar] [CrossRef]
- Paul, B.C.; Thakur, P. Observational Constraints on EoS parameters of Emergent Universe. Astrophys. Space Sci. 2017, 362, 73. [Google Scholar] [CrossRef]
- Labraña, P. Emergent universe scenario and the low CMB multipoles. Phys. Rev. D 2015, 91, 083534. [Google Scholar] [CrossRef]
- Zhang, K.; Wu, P.; Yu, H. Emergent universe in spatially flat cosmological model. J. Cosmol. Astropart. Phys. 2014, 2014, 48. [Google Scholar] [CrossRef]
- Ghose, S.; Thakur, P.; Paul, B.C. Observational Constraints on the Model Parameters of a Class of Emergent Universe. Mon. Not. R. Astron. Soc. 2012, 421, 20–24. [Google Scholar] [CrossRef]
- del Campo, S.; Guendelman, E.I.; Herrera, R.; Labrana, P. Emerging Universe from Scale Invariance. J. Cosmol. Astropart. Phys. 2010, 2010, 26. [Google Scholar] [CrossRef]
- Alesci, E.; Barrau, A.; Botta, G.; Martineau, K.; Stagno, G. Phenomenology of Quantum Reduced Loop Gravity in the isotropic cosmological sector. arXiv, 2018; arXiv:1808.10225. [Google Scholar] [CrossRef]
- Bolliet, B.; Barrau, A.; Martineau, K.; Moulin, F. Some Clarifications on the Duration of Inflation in Loop Quantum Cosmology. Class. Quant. Grav. 2017, 34, 145003. [Google Scholar] [CrossRef]
- Barrau, A.; Jamet, P.; Martineau, K.; Moulin, F. Scalar spectra of primordial perturbations in loop quantum cosmology. Phys. Rev. D 2018, 98, 086003. [Google Scholar] [CrossRef]
- Rovelli, C. Zakopane lectures on loop gravity. arXiv, 2011; arXiv:1102.3660. [Google Scholar]
- Ashtekar, A.; Singh, P. Loop Quantum Cosmology: A Status Report. Class. Quant. Grav. 2011, 28, 213001. [Google Scholar] [CrossRef]
- Alesci, E.; Cianfrani, F. Loop Quantum Cosmology from Loop Quantum Gravity. Europhys. Lett. 2015, 111, 40002. [Google Scholar] [CrossRef]
- Ashtekar, A.; Wilson-Ewing, E. Loop quantum cosmology of Bianchi I models. Phys. Rev. D 2009, 79, 083535. [Google Scholar] [CrossRef]
- Bolliet, B.; Grain, J.; Stahl, C.; Linsefors, L.; Barrau, A. Comparison of primordial tensor power spectra from the deformed algebra and dressed metric approaches in loop quantum cosmology. Phys. Rev. D 2015, 91, 084035. [Google Scholar] [CrossRef]
- Barrau, A.; Bolliet, B. Some conceptual issues in loop quantum cosmology. arXiv, 2016; arXiv:1602.04452. [Google Scholar] [CrossRef]
- Martineau, K.; Barrau, A.; Grain, J. A first step towards the inflationary trans-Planckian problem treatment in Loop Quantum Cosmology. Int. J. Mod. Phys. D 2018, 27, 1850067. [Google Scholar] [CrossRef]
- Schander, S.; Barrau, A.; Bolliet, B.; Linsefors, L.; Mielczarek, J.; Grain, J. Primordial scalar power spectrum from the Euclidean Big Bounce. Phys. Rev. D 2016, 93, 023531. [Google Scholar] [CrossRef]
- Linsefors, L.; Barrau, A. Duration of inflation and conditions at the bounce as a prediction of effective isotropic loop quantum cosmolog. Phys. Rev. D 2013, 87, 123509. [Google Scholar] [CrossRef]
- Martineau, K.; Barrau, A.; Schander, S. Detailed investigation of the duration of inflation in loop quantum cosmology for a Bianchi-I universe with different inflaton potentials and initial conditions. Phys. Rev. D 2017, 95, 083507. [Google Scholar] [CrossRef]
- Barrau, A.; Bojowald, M.; Calcagni, G.; Grain, J.; Kagan, M. Anomaly-free cosmological perturbations in effective canonical quantum gravity. J. Cosmol. Astropart. Phys. 2015, 2015, 51. [Google Scholar] [CrossRef]
- Bojowald, M. Quantum cosmology: A review. Rept. Prog. Phys. 2015, 78, 023901. [Google Scholar] [CrossRef] [PubMed]
© 2018 by the authors. Licensee MDPI, Basel, Switzerland. This article is an open access article distributed under the terms and conditions of the Creative Commons Attribution (CC BY) license (http://creativecommons.org/licenses/by/4.0/).















