Abstract
The Standard Model of Cosmology (SMC) has evolved in the decades since the 1965 Penzias and Wilson observations of the Cosmic Microwave Background (CMB). Over this 50-year period, the SMC has become increasingly strange due to a number of questionable assumptions. This paper examines some of these assumptions and compares them to our Baryon Phase-Transition cosmological model.
PACS:
98.80.-k; 95.35.+d
1. Introduction
This paper presents a critical review of the assumptions made during the evolution of what has come to be called the Λ Cold Dark Matter (ΛCDM) cosmological model or the Standard Model of Cosmology (SMC). Of course, such an assessment would be impossible if a less-strange alternate model was not available for comparison. My late colleague John Reitz and I have published an alternate model—a modified big-bang cosmology, detailed in two recent publications [1,2]. From hereon, our model will be referred to as the Baryon Phase-Transition (BPT) cosmology. Whether our model is a more accurate picture of how the Universe actually evolved will have to be examined in later theoretical and experimental efforts. Nonetheless, the BPT has all the mass-energy components of the Universe accounted for and fully-defined as well as being much less strange than the SMC.
To most physicists outside of the cosmology community (not to mention the lay public), the SMC appears strange because of its two large and unidentified mass-energy components that have been given the stylish monikers dark matter and dark energy. The fractions of these components have been measured through CMB observations [3] but neither has a clear connection to other well-understood physical particles or theories.
The SMC has evolved over many decades from a number of different authors. Many prior assumptions have been introduced, mostly adopted, and passed along in later cosmology articles. This paper unravels how the SMC has evolved without singling-out particular authors, only their assumptions.
2. Adiabatic Scaling
In the big-bang picture, the SMC posits an isotropic, homogenous Universe obeying Einstein’s gravitational field equations, a natural and quite reasonable assumption. Yet, it also assumes that the observed left-over microwave radiation seen in the CMB is representative of all of the mass-energy in the Universe, i.e., from the big-bang until now; this latter assumption is also reasonable but may well be in error, as I show below.
It is useful to begin the discussion by noting that the number density and temperature scalings in the SMC are assumed to go as,
where , , are the baryon number density and the CMB temperature, both at , where z is the redshift parameter. The scaling with z results from the assumption that the cosmic plasma is adiabatic, i.e., that no energy flows into or out of the expanding plasma volume with a (radiation-like) adiabatic-index (see e.g., [4]). Weinberg [5] (p. 110) shows that the ratio of photon density to baryon density σ goes as
where is the photon number density and is the baryon number density. (I will generally use Weinberg’s notation in this paper.) With the scalings of Equaution (1) it is clear that σ is independent of z. This is a quite remarkable result; it has become common to denote the inverse of σ as η, the “baryon-to-photon ratio”. That η does not depend upon z permitted, by backward extrapolation, a successful calculation of the era of recombination (actually combination) by assuming that the expanding plasma could be described by an equilibrium Saha equation. The backward extrapolation of density and temperature with z resulted in the era close to starting from the CMB measured temperature K and for an . This era is usually considered to be the “last scattering surface” of the CMB when the photons became “free-streaming” and disconnected from the baryons. Using the scalings of Equation (1), the backward extrapolation to the recombination era was successful; but further backward extrapolation to much larger z required another assumption, one that is pointed-out below.
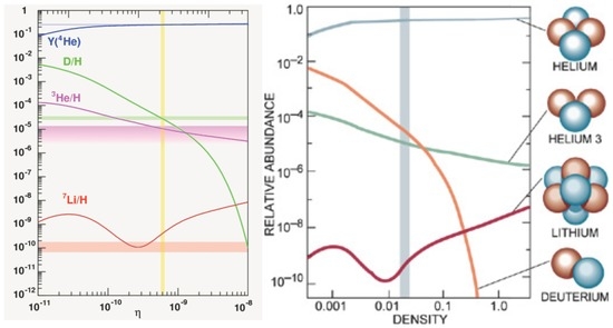
Before preceding though, note that the small baryon density amounts to only about 5% of the critical-density ·g/cm3 ( is the Hubble constant in units of 100 km·s−1 per Mpc−1, and / (typically ). On the other hand, if there were about 20 times more baryons at , but unseen in the CMB radiation, the Universe would be critically dense—see the RHS of the right-panel of Figure 1.
Figure 1.
Two plots of BBN calculations for the low-Z nuclei relative to H as a function of η (left-panel) and as a function of the density normalized to critical-density (right-panel). The horizontal colored blurred bands on the LHS panel (expected to be similar on the RHS) represent average levels of astrophysical observations for the specified nuclei.
3. Baryons and the Assumption of Constant η
Perhaps because the baryon-to-photon ratio was constant for red shift parameters , it would be a guide to very much larger z, much higher densities and temperatures, maybe all the way back to the very earliest times when nuclei and radiation were in equilibrium formed from a “hot big-bang”; a period that later was referred to as the “big-bang nucleosynthesis” (BBN) era. In fact, over a number of years, the nucleosynthesis of the low-Z elements 1H, 3He, 4He, and with somewhat more difficulty, 2H and 7Li, were calculated using well-established nuclear reaction physics at these high temperatures and densities. However, there were some inconsistencies starting with 7Li. A crucial point (emphasized by McGaugh [6]) was that the baryon density inferred from 2H and 3He was originally consistent with the value inferred from 7Li, but following the CMB observations, the baryon density inferred from 2H and 3He began to “creep upward” until it became consistent with the SMC concordance value. Eventually, the SMC model calculations compared reasonably well with the estimated quantities from astrophysical observations. The agreement can be seen in the left panel of Figure 1 where the calculated nuclides (solid-lines) and observations (blurred-bands) are presented color-coded along with the vertical yellow band at . This agreement, even considering η as a somewhat adjustable parameter—see left panel of Figure 1— has been widely argued as the principle justification of the SMC. It is important, however, to recall that BBN calculations go back to a few seconds after the big-bang which means back to where the density and temperatures are extremely high. The backward extrapolation to the BBN era was nine orders of magnitude from the recombination era when the CMB was formed. It is important to understand that this extrapolation (conserving η) has assumed, without saying so, that there were no phase-transitions specifically of baryons relative to photons. That this could be a large error is of basic importance to our Baryon Phase-Transition (BPT) cosmology [1], but more generally important as well.
It is straightforward to consider, as we did, a Universe where η was constant from the recombination until now, but a factor of ≈ 20 larger at earlier times. Such a situation represents a critical-density Universe that is still in agreement with the late-time CMB measurements as well, but would then disagree with the standard BBN calculations at the very earliest times. In particular, note in either panel of Figure 1 that there would be no 2H (deuterium) produced because it would have been so rapidly burned up at the higher densities and temperatures in this era (see Weinberg [5] (p. 165)). In such a case, how would there be low-Z nuclide production? We considered this conflict and resolved it in the first of our BPT papers [1] where we showed that these same nuclides could have just as readily been produced during the BPT at . That is to say, at a much lower density than in standard BBN, but still agreeing well with astrophysical observations. So, the Standard Model BBN calculations, by themselves, do not uniquely satisfy late-time astrophysical nuclide observations to justify the SMC.
Notice that if the baryon density at had been larger by a factor of about 20, then the Universe would be critically dense. This is seen in the right-panel of Figure 1 similar to the left-panel but with the baryon density normalized to critical-density .
The BBN calculations required the high densities and temperatures near , only a few minutes after the big-bang. Hence, the backward extrapolation of z to this era was at least eight orders of magnitude from the recombination era. The implicit assumption was made that there had been no intervening modifications to the baryon scaling of Equation (1). The SMC BBN calculations produced the low-Z nuclides shown in both panels of Figure 1, in apparent reasonable agreement with astrophysical observations of our present cosmic nuclide numbers except for a few species. The overall agreement was, and still is, presented as the biggest success of the SMC. However, noting that the apparent success resulted from the assumption that η was chosen to be roughly the same as that observed at the CMB, i.e., an under-dense Universe. For many years, cosmologists have noted this problem, see e.g., Silk [7], and McGaugh et al. [6] without any straightforward resolution. Nicastro et al. [8] present an overview of the issue that emphasizes a possible remedy, namely a “Warm-Hot Intergalactic Medium”, also see [5] (p. 74).
Now, the right-hand panel of Figure 1 shows that if BBN was actually correct with some other (non-baryonic) mass-energy component roughly twenty times larger would be required, a component different from the baryonic composition of the later recombination era. But, what could such a non-baryonic component be?
4. Type Ia Supernovae to the Rescue
Cosmologists knew that to have a critically-dense, flat Universe required a component that did not scale (with z) in the same manner as did mass and radiation. In 1998, two groups of observers measured the luminosity of distant Type Ia supernovae and found, much to their surprise, that the Universe appeared to be accelerating rather than decelerating due to gravity as they expected. Saul Perlmutter [9] has reviewed these quite remarkable results and in the same issue of Physics Today, Michael Turner [10] discussed how the Type Ia Supernovae was “just what theorists ordered" specifically, a new type of “dark energy” that could account for the required non-baryonic component. With the new Type Ia data it appeared that the various cosmological pieces then all fit together into one complete picture—the ΛCDM or Standard Model of Cosmology.
5. The Mass-Energy Components
The new question was: what could dark energy be? Of course, many strange suggestions were put forward without much success. In on-going research, cosmologists have usually divided the various mass-energy components into the following pieces:
where represents the baryon fraction , represents a type of “dark matter" , and represents “dark energy" for a flat Universe . The components as listed having been extracted from microwave radiation measurements from the CMB, i.e., microwave measurements from . It is important to state again that any changes prior to the CMB era are necessarily uncertain from the CMB data alone. Weinberg [5] (p. 57) questions: “The discovery of dark energy now adds a second problem: why is the dark energy density comparable to the matter energy density at this particular moment in the history of the universe?” One might interpret Weinberg’s question as how improbable the dark energy connection appears to be, and that the theoretical model (SMC) is at least questionable, perhaps even incorrect.
Nonetheless, most efforts in cosmology have been directed at determining what dark matter and dark energy are and how they can be understood with well-established physics. How the dark components have interacted (or not) with each other should have become important yet was seldom questioned.
It is interesting that most cosmologists believe that dark matter is some, as yet undetected, fundamental particle that originated in the very early Universe, i.e., at extremely high-energies. Could this be due to the fact that many cosmologists had previously trained as elementary particle theorists and saw the early Universe conditions to be analogous to high-energy particle accelerator experiments?
Turning now again to dark energy, or as it is sometimes called, “vacuum” energy. Weinberg [5] (p. 40) notes that this form of energy implies a quite strange equation of state, specifically that very different from equations of state of common matter and/or radiation. As of now, all indications are that this energy is inconsistent with what would be expected from first principles derivations of the energy of the vacuum, (see [5] (p. 56)). Dark energy has now become the newest hot topic in theoretical cosmology and dark matter the on-going hot topic of particle experimentalists.
In my recent paper [2], I make the case that dark rotors represent the best candidate for dark matter. Dark rotors are formed by protons and tresinos during the tresino phase transition. Recall that the tresino is a composite particle made up of one proton and two electrons bound together by electrostatic and spin forces at the Compton scale [1]. Therefore, each rotor formed consists of two protons (baryons) and two electrons such that they are stable and effectively hidden from the time they are created down to the CMB. Furthermore, all those protons and tresinos that have not combined into rotors through collisions, continue to expand beyond the on-going Hubble flow (from ). They move as freely expanding particle streams traveling at much higher velocities than the Hubble flow down to the CMB.
Figure 2 is a schematic showing the separation of the baryonic matter i.e., the ≈5% of ordinary matter that survived the phase transition, as well as the dark rotors (in purple) created during the phase transition continuing in the Hubble flow. Those free protons and tresinos that did not combine into rotors, expand at a much higher velocity. The latter due to their higher kinetic energies (about 2 keV) shown in yellow compared to the roughly 25 eV of the dark rotors and ordinary matter components of the Hubble flow. Thus, the free protons and tresinos expand much further than the remaining matter prior to the formation of the CMB. One can model the dynamics of the two components by considering both as “explosions” at two widely different temperatures after the phase-transition () due to their self-similar nature [11]. It is easy to show that the free proton and tresino densities at the CMB () have fallen to only ≈0.1% of the baryon density, i.e., the ordinary matter and dark rotors. Furthermore, because the free protons and tresinos don’t interact with radiation, as does the ordinary matter, they leave behind no traces of their existence on the CMB measurements.
Figure 2.
Schematic of the Hubble flow through the baryon transition time. Red indicates the flow before the transition, purple after the transition. Yellow indicates the expansion of free protons and tresinos; this region can be usefully compared to the Sun and its corona (see [2]).
Perhaps more important, I show that, at low-z, the dark rotors act to attenuate the optical emission from the Type Ia Supernovae, in just such a way as to make the Type Ia SN appear to be accelerating. Therefore, the attenuation of optical signals from distant supernovae, interpreted as an “accelerating Universe” was in error. No acceleration was required; what was required was the correct interpretation of the dark rotor’s attenuation of the optical signals from distant supernovae.
Finally, note that Weinberg’s question, mentioned above, was prescient. Dark energy was not needed to “close the Universe”. Rather, it was unobserved protons and tresinos representing approximately 70% of the baryons that had expanded far beyond the Hubble flow and, due to their numbers and characteristics, went undetected in CMB data.
6. Closing Remarks
In this paper, I have critically reviewed the SMC from the perspective of our BPT model. Of course, the BPT model may not be an accurate picture of how the Universe evolved after the big-bang, either. However, it doesn’t suffer from the often paradoxical problems of the SMC and it accounts for and fully defines all the mass-energy components of the Universe. Finally, the BPT physics has not only effectively hidden most of the baryons in the Universe, it has done so in closer-to-home physical situations, e.g., the thermal energy generation in the Earth and in the solar corona [12].
Conflicts of Interest
The authors declare no conflict of interest.
References
- Mayer, F.J.; Reitz, J.R. Compton Composites Late in the Early Universe. Galaxies 2014, 2, 382–409. [Google Scholar] [CrossRef]
- Mayer, F.J. Dark Rotors in the Late Universe. Heliyon 2015, 1, e00039. [Google Scholar] [CrossRef] [PubMed]
- Patrignani, C.; Patrignani, C.; Agashe, K.; Aielli, G.; Amsler, C.; Antonelli, M.; Asner, D.M.; Baer, H.; Banerjee, S.; Barnett, R.M.; et al. Review of Particle Physics. Chin. Phys. C 2016, 40, 100001. [Google Scholar]
- Kelly, R.E. Thermodynamics of blackbody radiation. Am. J. Phys. 1981, 49, 714–719. [Google Scholar] [CrossRef]
- Weinberg, S. Cosmology; Oxford University Press: Oxford, UK, 2008. [Google Scholar]
- McGaugh, S.S.; Schomert, J.M.; de Blok, W.J.G.; Zagursky, M.J. The Baryon Content of Cosmic Structures. Astrophys. J. 2010, 708, L14–L17. [Google Scholar] [CrossRef]
- Silk, J. A New Prescription for Protogalactic Feedback and Outflows: Where have all the Baryons Gone? Mon. Not. R. Astron. Soc. 2003, 343, 249–254. [Google Scholar] [CrossRef]
- Nicastro, F.; Mathur, S.; Elvis, M. Missing Baryons and the Warm-Hot Intergalactic Medium. Science 2008, 319, 55–57. [Google Scholar] [CrossRef] [PubMed]
- Perlmutter, S. Supernovae, Dark Energy, and the Accelerating Universe. Int. J. Mod. Phys. A 2000, 15, 715–739. [Google Scholar] [CrossRef]
- Turner, M.S. Dark energy: Just what theorists ordered. Phys. Today 2003, 56, 10. [Google Scholar] [CrossRef]
- Mayer, F.J.; Tanner, D.J. Explosively Heated Gaussian Objects. Ann. N. Y. Acad. Sci. 1981, 373, 68–76. [Google Scholar] [CrossRef]
- Mayer, F.J. Hidden Baryons: The Physics of Compton Composites. Europhys. Lett. 2016, 114, 69001. [Google Scholar] [CrossRef]
© 2017 by the author. Licensee MDPI, Basel, Switzerland. This article is an open access article distributed under the terms and conditions of the Creative Commons Attribution (CC BY) license ( http://creativecommons.org/licenses/by/4.0/).

