Properties of Polarized Radio Sources in the Wide Chandra Deep Field South from 2 to 4 GHz
Abstract
1. Introduction

2. Methods
2.1. Observations
2.2. Calibrating and Imaging the Data
3. Results
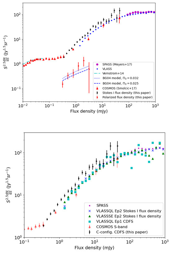
3.1. Source Component Counts in Total Intensity
3.2. Source Component Counts in Polarized Intensity
3.3. Source Catalogs
3.4. Polarization Properties of the Brightest Sources in the Sample
3.5. Polarization of Faint Sources in the Sample
4. Conclusions
Author Contributions
Funding
Data Availability Statement
Acknowledgments
Conflicts of Interest
References
- Krefting, N.; Sajina, A.; Lacy, M.; Nyland, K.; Farrah, D.; Darvish, B.; Duivenvoorden, S.; Duncan, K.; Gonzalez-Perez, V.; del P. Lagos, C.; et al. The Role of Environment in Galaxy Evolution in the SERVS Survey. I. Density Maps and Cluster Candidates. Astrophys. J. 2020, 889, 185. [Google Scholar] [CrossRef]
- Jarvis, M.; Taylor, R.; Agudo, I.; Allison, J.R.; Deane, R.P.; Frank, B.; Gupta, N.; Heywood, I.; Maddox, N.; McAlpine, K.; et al. The MeerKAT International GHz Tiered Extragalactic Exploration (MIGHTEE) Survey. arXiv 2017, arXiv:1709.01901. [Google Scholar] [CrossRef]
- Heywood, I.; Jarvis, M.J.; Hale, C.L.; Whittam, I.H.; Bester, H.L.; Hugo, B.; Kenyon, J.S.; Prescott, M.; Smirnov, O.M.; Tasse, C.; et al. MIGHTEE: Total intensity radio continuum imaging and the COSMOS/XMM-LSS Early Science fields. Mon. Not. R. Astr. Soc. 2022, 509, 2150–2168. [Google Scholar] [CrossRef]
- Taylor, A.R.; Sekhar, S.; Heino, L.; Scaife, A.M.M.; Stil, J.; Bowles, M.; Jarvis, M.; Heywood, I.; Collier, J.D. MIGHTEE polarization early science fields: The deep polarized sky. Mon. Not. R. Astr. Soc. 2024, 528, 2511–2522. [Google Scholar] [CrossRef]
- Hale, C.L.; Heywood, I.; Jarvis, M.J.; Whittam, I.H.; Best, P.N.; An, F.; Bowler, R.A.A.; Harrison, I.; Matthews, A.; Smith, D.J.B.; et al. MIGHTEE: The continuum survey Data Release 1. Mon. Not. R. Astr. Soc. 2025, 536, 2187–2211. [Google Scholar] [CrossRef]
- Norris, R.P.; Marvil, J.; Collier, J.D.; Kapińska, A.D.; O’Brien, A.N.; Rudnick, L.; Andernach, H.; Asorey, J.; Brown, M.J.I.; Brüggen, M.; et al. The Evolutionary Map of the Universe pilot survey. Publ. Astron. Soc. Aust. 2021, 38, e046. [Google Scholar] [CrossRef]
- Giacconi, R.; Rosati, P.; Tozzi, P.; Nonino, M.; Hasinger, G.; Norman, C.; Bergeron, J.; Borgani, S.; Gilli, R.; Gilmozzi, R.; et al. First Results from the X-Ray and Optical Survey of the Chandra Deep Field South. Astrophys. J. 2001, 551, 624–634. [Google Scholar] [CrossRef]
- Poulain, M.; Paolillo, M.; De Cicco, D.; Brandt, W.N.; Bauer, F.E.; Falocco, S.; Vagnetti, F.; Grado, A.; Ragosta, F.; Botticella, M.T.; et al. Extending the variability selection of active galactic nuclei in the W-CDF-S and SERVS/SWIRE region. Astron. Astrophys. 2020, 634, A50. [Google Scholar] [CrossRef]
- Ginzburg, V.L.; Syrovatskii, S.I. Cosmic Magnetobremsstrahlung (synchrotron Radiation). Annu. Rev. Astron. Astrophys. 1965, 3, 297. [Google Scholar] [CrossRef]
- Burn, B.J. On the depolarization of discrete radio sources by Faraday dispersion. Mon. Not. R. Astr. Soc. 1966, 133, 67. [Google Scholar] [CrossRef]
- Tribble, P.C. Depolarization of extended radio sources by a foreground Faraday screen. Mon. Not. R. Astr. Soc. 1991, 250, 726. [Google Scholar] [CrossRef]
- Sokoloff, D.D.; Bykov, A.A.; Shukurov, A.; Berkhuijsen, E.M.; Beck, R.; Poezd, A.D. Depolarization and Faraday effects in galaxies. Mon. Not. R. Astr. Soc. 1998, 299, 189–206. [Google Scholar] [CrossRef]
- Gaensler, B.; Agudo, I.; Akahori, T.; Banfield, J.; Beck, R.; Carretti, E.; Farnes, J.; Haverkorn, M.; Heald, G.; Jones, D.; et al. Broadband Polarimetry with the Square Kilometre Array: A Unique Astrophysical Probe. arXiv 2015, arXiv:1501.00626. [Google Scholar] [CrossRef]
- Matthews, A.M.; Condon, J.J.; Cotton, W.D.; Mauch, T. Cosmic Star Formation History Measured at 1.4 GHz. Astrophys. J. 2021, 914, 126. [Google Scholar] [CrossRef]
- Padovani, P. The faint radio sky: Radio astronomy becomes mainstream. Astron. Astrophys. Rev. 2016, 24, 13. [Google Scholar] [CrossRef]
- Anderson, C.S.; Gaensler, B.M.; Feain, I.J. A Study of Broadband Faraday Rotation and Polarization Behavior over 1.3–10 GHz in 36 Discrete Radio Sources. Astrophys. J. 2016, 825, 59. [Google Scholar] [CrossRef]
- O’Sullivan, S.P.; Purcell, C.R.; Anderson, C.S.; Farnes, J.S.; Sun, X.H.; Gaensler, B.M. Broad-band, radio spectro-polarimetric study of 100 radiative-mode and jet-mode AGN. Mon. Not. R. Astr. Soc. 2017, 469, 4034–4062. [Google Scholar] [CrossRef]
- Vernstrom, T.; Gaensler, B.M.; Vacca, V.; Farnes, J.S.; Haverkorn, M.; O’Sullivan, S.P. Radio polarization properties of quasars and active galaxies at high redshifts. Mon. Not. R. Astr. Soc. 2018, 475, 1736–1755. [Google Scholar] [CrossRef]
- Stil, J.M.; Krause, M.; Beck, R.; Taylor, A.R. The Integrated Polarization of Spiral Galaxy Disks. Astrophys. J. 2009, 693, 1392–1403. [Google Scholar] [CrossRef]
- Geach, J.E.; Lopez-Rodriguez, E.; Doherty, M.J.; Chen, J.; Ivison, R.J.; Bendo, G.J.; Dye, S.; Coppin, K.E.K. Polarized thermal emission from dust in a galaxy at redshift 2.6. Nature 2023, 621, 483–486. [Google Scholar] [CrossRef]
- Beck, R.; Gaensler, B.M. Observations of magnetic fields in the Milky Way and in nearby galaxies with a Square Kilometre Array. New Astron. Rev. 2004, 48, 1289–1304. [Google Scholar] [CrossRef]
- Brown, M.L.; Battye, R.A. Polarization as an indicator of intrinsic alignment in radio weak lensing. Mon. Not. R. Astr. Soc. 2011, 410, 2057–2074. [Google Scholar] [CrossRef]
- Ni, Q.; Brandt, W.N.; Chen, C.T.; Luo, B.; Nyland, K.; Yang, G.; Zou, F.; Aird, J.; Alexander, D.M.; Bauer, F.E.; et al. The XMM-SERVS Survey: XMM-Newton Point-source Catalogs for the W-CDF-S and ELAIS-S1 Fields. Astrophys. J. Suppl. Ser. 2021, 256, 21. [Google Scholar] [CrossRef]
- Jarvis, M.J.; Bonfield, D.G.; Bruce, V.A.; Geach, J.E.; McAlpine, K.; McLure, R.J.; González-Solares, E.; Irwin, M.; Lewis, J.; Yoldas, A.K.; et al. The VISTA Deep Extragalactic Observations (VIDEO) survey. Mon. Not. R. Astr. Soc. 2013, 428, 1281–1295. [Google Scholar] [CrossRef]
- Lacy, M.; Surace, J.A.; Farrah, D.; Nyland, K.; Afonso, J.; Brandt, W.N.; Clements, D.L.; Lagos, C.D.P.; Maraston, C.; Pforr, J.; et al. A Spitzer survey of Deep Drilling Fields to be targeted by the Vera C. Rubin Observatory Legacy Survey of Space and Time. Mon. Not. R. Astr. Soc. 2021, 501, 892–910. [Google Scholar] [CrossRef]
- Moneti, A. et al. [Euclid Collaboration] Euclid preparation. XVII. Cosmic Dawn Survey: Spitzer Space Telescope observations of the Euclid deep fields and calibration fields. Astron. Astrophys. 2022, 658, A126. [Google Scholar] [CrossRef]
- Hönig, S.F.; Watson, D.; Kishimoto, M.; Gandhi, P.; Goad, M.; Horne, K.; Shankar, F.; Banerji, M.; Boulderstone, B.; Jarvis, M.; et al. Cosmology with AGN dust time lags-simulating the new VEILS survey. Mon. Not. R. Astr. Soc. 2017, 464, 1693–1703. [Google Scholar] [CrossRef]
- Aihara, H.; Arimoto, N.; Armstrong, R.; Arnouts, S.; Bahcall, N.A.; Bickerton, S.; Bosch, J.; Bundy, K.; Capak, P.L.; Chan, J.H.H.; et al. The Hyper Suprime-Cam SSP Survey: Overview and survey design. Publ. Astron. Soc. Jpn. 2018, 70, S4. [Google Scholar] [CrossRef]
- Lonsdale, C.J.; Smith, H.E.; Rowan-Robinson, M.; Surace, J.; Shupe, D.; Xu, C.; Oliver, S.; Padgett, D.; Fang, F.; Conrow, T.; et al. SWIRE: The SIRTF Wide-Area Infrared Extragalactic Survey. Publ. Astron. Soc. Pac. 2003, 115, 897–927. [Google Scholar] [CrossRef]
- Oliver, S.J.; Bock, J.; Altieri, B.; Amblard, A.; Arumugam, V.; Aussel, H.; Babbedge, T.; Beelen, A.; Béthermin, M.; Blain, A.; et al. The Herschel Multi-tiered Extragalactic Survey: HerMES. Mon. Not. R. Astr. Soc. 2012, 424, 1614–1635. [Google Scholar] [CrossRef]
- Hales, C.A.; Norris, R.P.; Gaensler, B.M.; Middelberg, E.; Chow, K.E.; Hopkins, A.M.; Huynh, M.T.; Lenc, E.; Mao, M.Y. ATLAS 1.4 GHz Data Release 2—I. Observations of the CDF-S and ELAIS-S1 fields and methods for constructing differential number counts. Mon. Not. R. Astr. Soc. 2014, 441, 2555–2592. [Google Scholar] [CrossRef]
- Lacy, M.; Baum, S.A.; Chandler, C.J.; Chatterjee, S.; Clarke, T.E.; Deustua, S.; English, J.; Farnes, J.; Gaensler, B.M.; Gugliucci, N.; et al. The Karl G. Jansky Very Large Array Sky Survey (VLASS). Science Case and Survey Design. Publ. Astron. Soc. Pac. 2020, 132, 035001. [Google Scholar] [CrossRef]
- Hales, C.A.; Norris, R.P.; Gaensler, B.M.; Middelberg, E. ATLAS 1.4 GHz data release 2—II. Properties of the faint polarized sky. Mon. Not. R. Astr. Soc. 2014, 440, 3113–3139. [Google Scholar] [CrossRef]
- Franzen, T.M.O.; Banfield, J.K.; Hales, C.A.; Hopkins, A.; Norris, R.P.; Seymour, N.; Chow, K.E.; Herzog, A.; Huynh, M.T.; Lenc, E.; et al. ATLAS—I. Third release of 1.4 GHz mosaics and component catalogues. Mon. Not. R. Astr. Soc. 2015, 453, 4020–4036. [Google Scholar] [CrossRef]
- Zinn, P.C.; Middelberg, E.; Norris, R.P.; Hales, C.A.; Mao, M.Y.; Randall, K.E. The Australia Telescope Large Area Survey: 2.3 GHz observations of ELAIS-S1 and CDF-S. Spectral index properties of the faint radio sky. Astron. Astrophys. 2012, 544, A38. [Google Scholar] [CrossRef]
- Huynh, M.T.; Bell, M.E.; Hopkins, A.M.; Norris, R.P.; Seymour, N. The ATLAS 5.5 GHz survey of the extended Chandra Deep Field South: The second data release. Mon. Not. R. Astr. Soc. 2015, 454, 952–972. [Google Scholar] [CrossRef]
- Huynh, M.T.; Seymour, N.; Norris, R.P.; Galvin, T. The ATLAS 9.0 GHz survey of the extended Chandra Deep Field South: The faint 9.0 GHz radio population. Mon. Not. R. Astr. Soc. 2020, 491, 3395–3410. [Google Scholar] [CrossRef]
- Rujopakarn, W.; Dunlop, J.S.; Rieke, G.H.; Ivison, R.J.; Cibinel, A.; Nyland, K.; Jagannathan, P.; Silverman, J.D.; Alexander, D.M.; Biggs, A.D.; et al. VLA and ALMA Imaging of Intense Galaxy-wide Star Formation in z ∼ 2 Galaxies. Astrophys. J. 2016, 833, 12. [Google Scholar] [CrossRef]
- Alberts, S.; Rujopakarn, W.; Rieke, G.H.; Jagannathan, P.; Nyland, K. Completing the Census of AGN in GOODS-S/HUDF: New Ultradeep Radio Imaging and Predictions for JWST. Astrophys. J. 2020, 901, 168. [Google Scholar] [CrossRef]
- Miller, N.A.; Bonzini, M.; Fomalont, E.B.; Kellermann, K.I.; Mainieri, V.; Padovani, P.; Rosati, P.; Tozzi, P.; Vattakunnel, S. The Very Large Array 1.4 GHz survey of the Extended Chandra Deep Field South: Second data release. Astrophys. J. Suppl. Ser. 2013, 205, 13. [Google Scholar] [CrossRef]
- CASA Team; Bean, B.; Bhatnagar, S.; Castro, S.; Donovan Meyer, J.; Emonts, B.; Garcia, E.; Garwood, R.; Golap, K.; Gonzalez Villalba, J.; et al. CASA, the Common Astronomy Software Applications for Radio Astronomy. Publ. Astron. Soc. Pac. 2022, 134, 114501. [Google Scholar] [CrossRef]
- Mohan, N.; Rafferty, D. PyBDSF: Python Blob Detection and Source Finder. 2015. Astrophysics Source Code Library. Available online: https://ascl.net/1502.007 (accessed on 1 September 2022).
- Emonts, B.; Raba, R.; Rau, U.; Schiebel, D.; Ott, J.; Bean, B.; Bhatnagar, S.; Castro, S.; Donovan, J.; Garcia-Dabo, C.E.; et al. The CASA Software for Radio Astronomy: Status Update from ADASS 2020. In Astronomical Data Analysis Software and Systems XXX; Ruiz, J.E., Pierfedereci, F., Teuben, P., Eds.; Astronomical Society of the Pacific Conference Series; Astronomical Society of the Pacific: San Francisco, CA, USA, 2022; Volume 532, p. 389. [Google Scholar]
- Briggs, D.S. High Fidelity Deconvolution of Moderately Resolved Sources. Ph.D. Thesis, New Mexico Institute of Mining and Technology, Socorro, NM, USA, 1995. [Google Scholar]
- Högbom, J.A. Aperture Synthesis with a Non-Regular Distribution of Interferometer Baselines. Astron. Astrophys. Suppl. Ser. 1974, 15, 417. [Google Scholar]
- Rayner, D.P.; Norris, R.P.; Sault, R.J. Radio circular polarization of active galaxies. Mon. Not. R. Astr. Soc. 2000, 319, 484–496. [Google Scholar] [CrossRef]
- Vallenari, A. et al. [Gaia Collaboration] Gaia Data Release 3. Summary of the content and survey properties. Astron. Astrophys. 2023, 674, A1. [Google Scholar] [CrossRef]
- Meyers, B.W.; Hurley-Walker, N.; Hancock, P.J.; Franzen, T.M.O.; Carretti, E.; Staveley-Smith, L.; Gaensler, B.M.; Haverkorn, M.; Poppi, S. A Southern-Sky Total Intensity Source Catalogue at 2.3 GHz from S-Band Polarisation All-Sky Survey Data. Publ. Astron. Soc. Aust. 2017, 34, e013. [Google Scholar] [CrossRef]
- Gordon, Y.A.; Boyce, M.M.; O’Dea, C.P.; Rudnick, L.; Andernach, H.; Vantyghem, A.N.; Baum, S.A.; Bui, J.P.; Dionyssiou, M.; Safi-Harb, S.; et al. A Quick Look at the 3 GHz Radio Sky. I. Source Statistics from the Very Large Array Sky Survey. Astrophys. J. Suppl. Ser. 2021, 255, 30. [Google Scholar] [CrossRef]
- Smolčić, V.; Novak, M.; Bondi, M.; Ciliegi, P.; Mooley, K.P.; Schinnerer, E.; Zamorani, G.; Navarrete, F.; Bourke, S.; Karim, A.; et al. The VLA-COSMOS 3 GHz Large Project: Continuum data and source catalog release. Astron. Astrophys. 2017, 602, A1. [Google Scholar] [CrossRef]
- Vernstrom, T.; Scott, D.; Wall, J.V.; Condon, J.J.; Cotton, W.D.; Fomalont, E.B.; Kellermann, K.I.; Miller, N.; Perley, R.A. Deep 3 GHz number counts from a P(D) fluctuation analysis. Mon. Not. R. Astr. Soc. 2014, 440, 2791–2809. [Google Scholar] [CrossRef]
- Condon, J. An Analysis of the VLASS Proposal. arXiv 2015, arXiv:1502.05616. [Google Scholar] [CrossRef]
- Perley, R.A.; Butler, B.J. An Accurate Flux Density Scale from 50 MHz to 50 GHz. Astrophys. J. Suppl. Ser. 2017, 230, 7. [Google Scholar] [CrossRef]
- Mesa, D.; Baccigalupi, C.; De Zotti, G.; Gregorini, L.; Mack, K.H.; Vigotti, M.; Klein, U. Polarization properties of extragalactic radio sources and their contribution to microwave polarization fluctuations. Astron. Astrophys. 2002, 396, 463–471. [Google Scholar] [CrossRef]
- Van Eck, C.L.; Gaensler, B.M.; Hutschenreuter, S.; Livingston, J.; Ma, Y.K.; Riseley, C.J.; Thomson, A.J.M.; Adebahr, B.; Basu, A.; Birkinshaw, M.; et al. RMTable2023 and PolSpectra2023: Standards for Reporting Polarization and Faraday Rotation Measurements of Radio Sources. Astrophys. J. Suppl. Ser. 2023, 267, 28. [Google Scholar] [CrossRef]
- Rudnick, L.; Owen, F.N. The Distribution of Polarized Radio Sources >15 μJy in GOODS-N. Astrophys. J. 2014, 785, 45. [Google Scholar] [CrossRef]
- Brentjens, M.A.; de Bruyn, A.G. Faraday rotation measure synthesis. Astron. Astrophys. 2005, 441, 1217–1228. [Google Scholar] [CrossRef]
- Stil, J.M.; Keller, B.W.; George, S.J.; Taylor, A.R. Degree of Polarization and Source Counts of Faint Radio Sources from Stacking Polarized Intensity. Astrophys. J. 2014, 787, 99. [Google Scholar] [CrossRef]
- Condon, J.J.; Kellermann, K.I.; Kimball, A.E.; Ivezić, Ž.; Perley, R.A. Active Galactic Nucleus and Starburst Radio Emission from Optically Selected Quasi-stellar Objects. Astrophys. J. 2013, 768, 37. [Google Scholar] [CrossRef]





| Column | Quantity | Units | Description |
|---|---|---|---|
| (1) | Cmpt | - | Component name |
| (2) | RA | Degrees | Right Ascension (J2000) |
| (3) | Unc_RA | Degrees (of time) | Uncertainty in R.A. |
| (4) | Dec | Degrees | Declination (J2000) |
| (5) | Unc_Dec | Degrees | Uncertainty in Dec. |
| (6) | Total_flux | mJy | Total flux of fitted Gaussian |
| (7) | Unc_Total_flux | mJy | Uncertainty in Total_flux |
| (8) | Peak_flux | mJy/beam | Peak intensity of component |
| (9) | Unc_Peak_flux | mJy/beam | Uncertainty in Peak_flux |
| (10) | Maj | arcsec | Major axis of fitted Gaussian |
| (11) | Unc_Maj | arcsec | Uncertainty in Maj |
| (12) | Min | arcsec | Minor axis of fitted Gaussian |
| (13) | Unc_Min | arcsec | Uncertainty in Min |
| (14) | PA | Degrees | Position angle (E of N) of Gaussian fit |
| (15) | Unc_PA | Degrees | Uncertainty in PA |
| (16) | DC_Maj | arcsec | Major axis of fitted Gaussian |
| deconvolved by the clean beam | |||
| (17) | Unc_DC_Maj | arcsec | Uncertainty in DC_Maj |
| (18) | DC_Min | arcsec | Minor axis of fitted Gaussian |
| deconvolved by the clean beam | |||
| (19) | Unc_DC_Min | arcsec | Uncertainty in DC_Min |
| (20) | DC_PA | Degrees | Position angle (E of N) |
| deconvolved by the clean beam | |||
| (21) | Unc_DC_PA | Degrees | Uncertainty in DC_PA |
| (22) | Isl_Total_flux | mJy | Total flux density of the source island |
| (23) | Unc_Isl_Total_flux | mJy | Uncertainty in Isl_Total_flux |
| (24) | Isl_rms | mJy/beam | the RMS value of the background |
| around the source island | |||
| (25) | S_Code | - | Source type (S—single, C—a single |
| Gaussian component, with other sources | |||
| on the island, M—a multi-Gaussian source) | |||
| (26) | Alpha_tt | - | In-band spectral index from the |
| 0th and 1st Taylor term images | |||
| (27) | Unc_Alpha_tt | - | Uncertainty in Alpha_tt |
| Column | Quantity | Units | Description |
|---|---|---|---|
| (1) | Compt | - | Component name |
| (2) | R.A. | Degrees | Right Ascension (J2000) |
| (3) | Unc_RA | Degrees (of time) | Uncertainty in R.A. |
| (4) | Dec | Degrees | Declination (J2000) |
| (5) | Unc_Dec | Degress | Uncertainty in Dec. |
| (6) | I1 | mJy/beam | Stokes I peak intensity in channel 1 |
| (7) | Unc_I1 | mJy/beam | Uncertainty in I1 |
| (8) | Q1 | mJy/beam | Stokes Q peak intensity in channel 1 |
| (9) | Unc_Q1 | mJy/beam | Uncertainty in Q1 |
| (10) | U1 | mJy/beam | Stokes U peak intensity in channel 1 |
| (11) | Unc_U1 | mJy/beam | Uncertainty in U1 |
| (12) | I2 | mJy/beam | Stokes I peak intensity in channel 2 |
| (13) | Unc_I2 | mJy/beam | Uncertainty in I2 |
| (14) | Q2 | mJy/beam | Stokes Q peak intensity in channel 2 |
| (15) | Unc_Q2 | mJy/beam | Uncertainty in Q2 |
| (16) | U2 | mJy/beam | Stokes U peak intensity in channel 2 |
| (17) | Unc_U2 | mJy/beam | Uncertainty in U2 |
| (18) | I3 | mJy/beam | Stokes I peak intensity in channel 3 |
| (19) | Unc_I3 | mJy/beam | Uncertainty in I3 |
| (20) | Q3 | mJy/beam | Stokes Q peak intensity in channel 3 |
| (21) | Unc_Q3 | mJy/beam | Uncertainty in Q3 |
| (22) | U3 | mJy/beam | Stokes U peak intensity in channel 3 |
| (23) | Unc_U3 | mJy/beam | Uncertainty in U3 |
| (24) | I4 | mJy/beam | Stokes I peak intensity in channel 4 |
| (25) | Unc_I4 | mJy/beam | Uncertainty in I4 |
| (26) | Q4 | mJy/beam | Stokes Q peak intensity in channel 4 |
| (27) | Unc_Q4 | mJy/beam | Uncertainty in Q4 |
| (28) | U4 | mJy/beam | Stokes U peak intensity in channel 4 |
| (29) | Unc_U4 | mJy/beam | Uncertainty in U4 |
| (30) | Flux | mJy/beam | Peak intensity at 3.0 GHz from |
| a fit to the channel peak intensities | |||
| (31) | Unc_Flux | mJy/beam | Uncertainty in Flux |
| (32) | Pol_flux | mJy/beam | Linearly polarized peak intensity at 3.0 GHz |
| (33) | Unc_Pol_flux | mJy/beam | Uncertainty in Pol_flux |
| (34) | Pol_frac | - | Fractional polarization |
| (35) | Alpha | - | Spectral index from 2–4 GHz from |
| a fit to the channel peak intensities | |||
| (36) | Unc_alpha | - | Uncertainty in Alpha |
| (37) | ChiSq | - | Chi-squared value for the fit |
Disclaimer/Publisher’s Note: The statements, opinions and data contained in all publications are solely those of the individual author(s) and contributor(s) and not of MDPI and/or the editor(s). MDPI and/or the editor(s) disclaim responsibility for any injury to people or property resulting from any ideas, methods, instructions or products referred to in the content. |
© 2026 by the authors. Licensee MDPI, Basel, Switzerland. This article is an open access article distributed under the terms and conditions of the Creative Commons Attribution (CC BY) license.
Share and Cite
Adams, S.; Lacy, M.; Jagannathan, P.; Afonso, J.; Brandt, W.N.; Gaensler, B.M.; Hatziminaoglou, E.; Kapinska, A.; Marvil, J.; Messias, H.; et al. Properties of Polarized Radio Sources in the Wide Chandra Deep Field South from 2 to 4 GHz. Universe 2026, 12, 38. https://doi.org/10.3390/universe12020038
Adams S, Lacy M, Jagannathan P, Afonso J, Brandt WN, Gaensler BM, Hatziminaoglou E, Kapinska A, Marvil J, Messias H, et al. Properties of Polarized Radio Sources in the Wide Chandra Deep Field South from 2 to 4 GHz. Universe. 2026; 12(2):38. https://doi.org/10.3390/universe12020038
Chicago/Turabian StyleAdams, Samantha, Mark Lacy, Preshanth Jagannathan, Jose Afonso, William Nielsen Brandt, B. M. Gaensler, Evanthia Hatziminaoglou, Anna Kapinska, Josh Marvil, Hugo Messias, and et al. 2026. "Properties of Polarized Radio Sources in the Wide Chandra Deep Field South from 2 to 4 GHz" Universe 12, no. 2: 38. https://doi.org/10.3390/universe12020038
APA StyleAdams, S., Lacy, M., Jagannathan, P., Afonso, J., Brandt, W. N., Gaensler, B. M., Hatziminaoglou, E., Kapinska, A., Marvil, J., Messias, H., Myers, S., Norris, R., Nyland, K., Rujopakarn, W., Seymour, N., Vaccari, M., & White, R. (2026). Properties of Polarized Radio Sources in the Wide Chandra Deep Field South from 2 to 4 GHz. Universe, 12(2), 38. https://doi.org/10.3390/universe12020038

