Constraining the Primordial Black Hole Mass Function by the Lensing Events of Fast Radio Bursts
Abstract
1. Introduction
2. PBHs
- Monochromatic mass functionThe simplest PBH mass function has the monochromatic form; in other words, all PBHs have the same mass , so we haveThis monochromatic mass function is usually used as a toy model in PBH physics, serving as a first step in more realistic models. In such models, PBHs with different masses may have extended mass functions, and can be regarded as the limit of these extended mass functions, if the PBH masses are nearly equal.
- Log-normal mass functionThe most frequently-used extended mass function is the log-normal one [118], in which the probability distribution function (PDF) of PBH mass is the normal distribution on the logarithmic mass axis. Hence, the PBH mass function iswhere is the characteristic mass of PBHs, and is the width of the mass distribution (i.e., the PBH mass spread). Thus, satisfies the PBH abundance in Equation (1).
- Skew log-normal mass functionFurthermore, we may consider a more complex skew log-normal mass function , which allows a deviation from the log-normal mass function [119],where is the error function, and a new parameter A indicates the skewness from the log-normal mass distribution.
- Power-law mass functionAnother typical extended mass function has a truncated power-law form [120],where and are the lower and upper bounds of PBH masses. From the relation in Equation (1), the coefficient of proportionality in Equation (5) is when or when . Therefore, the power-law mass function is still a two-parameter model essentially.To compare with the log-normal mass function, we may define an effective characteristic mass and its variance for the power-law mass function [120],where the average of a quantity X is defined asBy this means, for the power-law mass function, we obtain and , where stands for when or when , since the PBH mass should necessarily be larger than (i.e., the mass of the PBHs evaporating at the present epoch) [120].
3. GL
3.1. Lens Equation and Time Delay Function
3.2. Lensing Optical Depth
4. FRBs
4.1. Redshift PDF of FRBs
- Above, a Gaussian cutoff factor is introduced to reflect the threshold of the instrumental signal-to-noise ratio, where is the luminosity distance, and is the cutoff redshift. When choosing , can be fitted to the current FRB catalog [122]. Moreover, the coefficient of proportionality in Equation (15) is now absorbed in the normalization factor .
- In more realistic models, FRBs are believed to originate from the evolutionary process of stars. In other words, the variation rate also depends on redshift , following the SFH in the Universe [99,135],Hence, the redshift PDF of FRBs can be generalized towhere is the normalization factor.
- Besides, Ref. [128] also provided several different redshift distribution models based on the corrected SFH. After the Kolmogorov–Smirnov test, a TSRD model was found to best fit the data, which predicts more (or fewer) FRBs at smaller (or larger) redshifts compared with the SFH model, and is parameterized aswith the model parameters as , , and [128]. Thus, the redshift PDF of FRBs in the TSRD model readswhere is the normalization factor.
4.2. Event Rate of Lensed FRBs
5. Constraints on the PBH Mass Functions
5.1. Monochromatic Mass Function
5.2. Log-Normal Mass Function
5.3. Skew Log-Normal Mass Function
5.4. Power-Law Mass Function
6. Conclusions
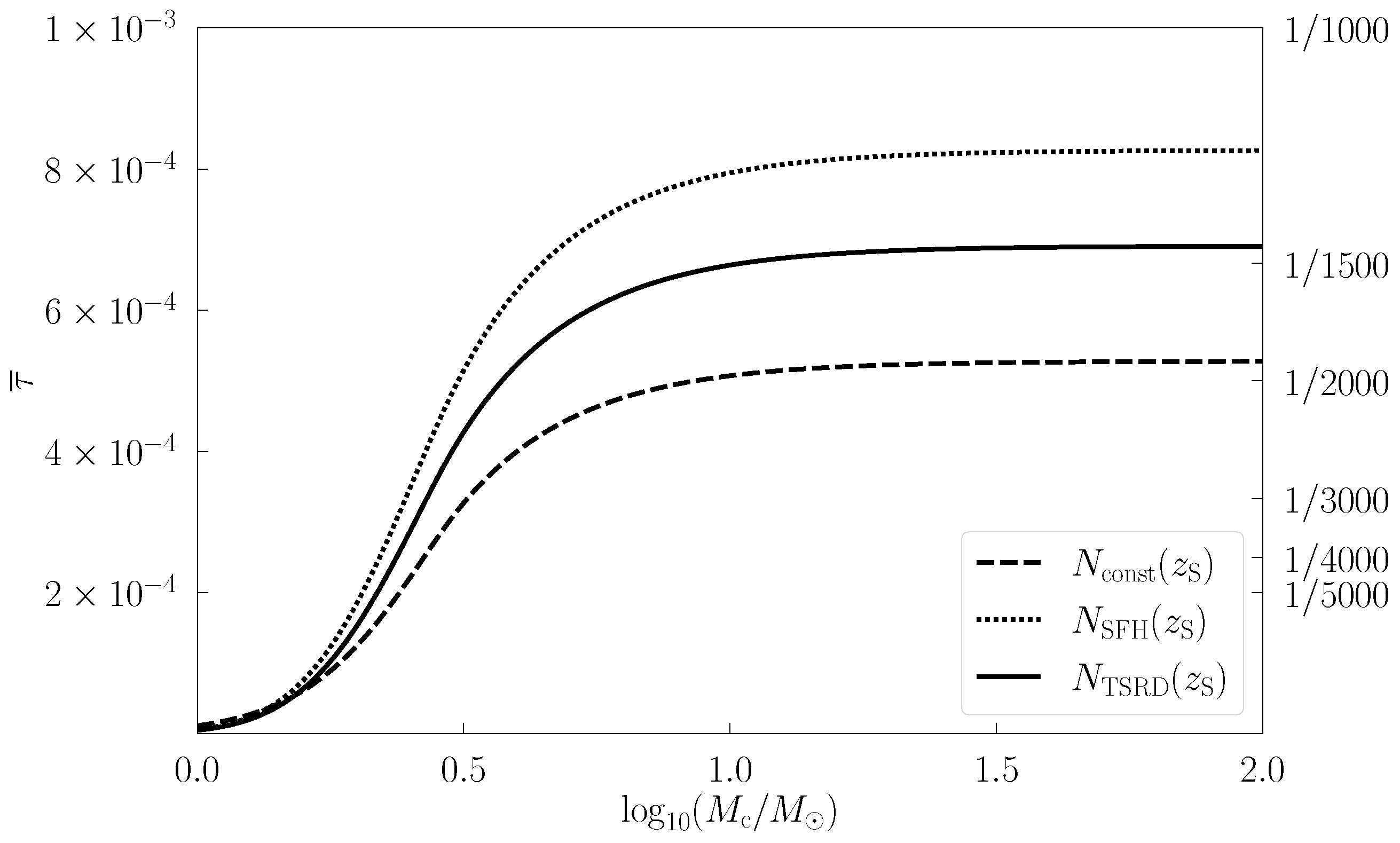
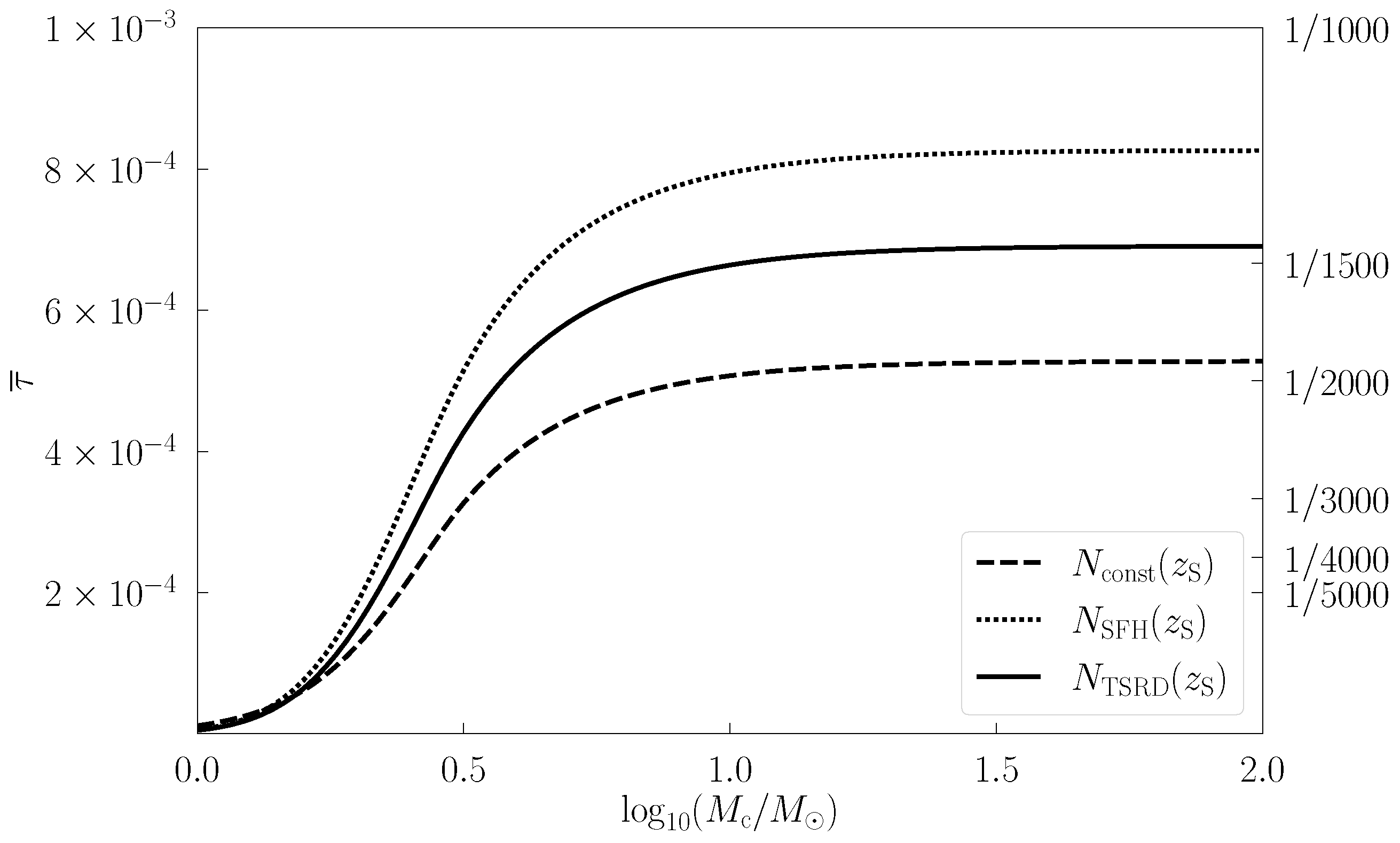
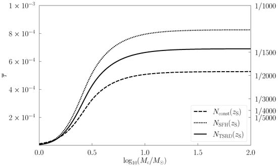
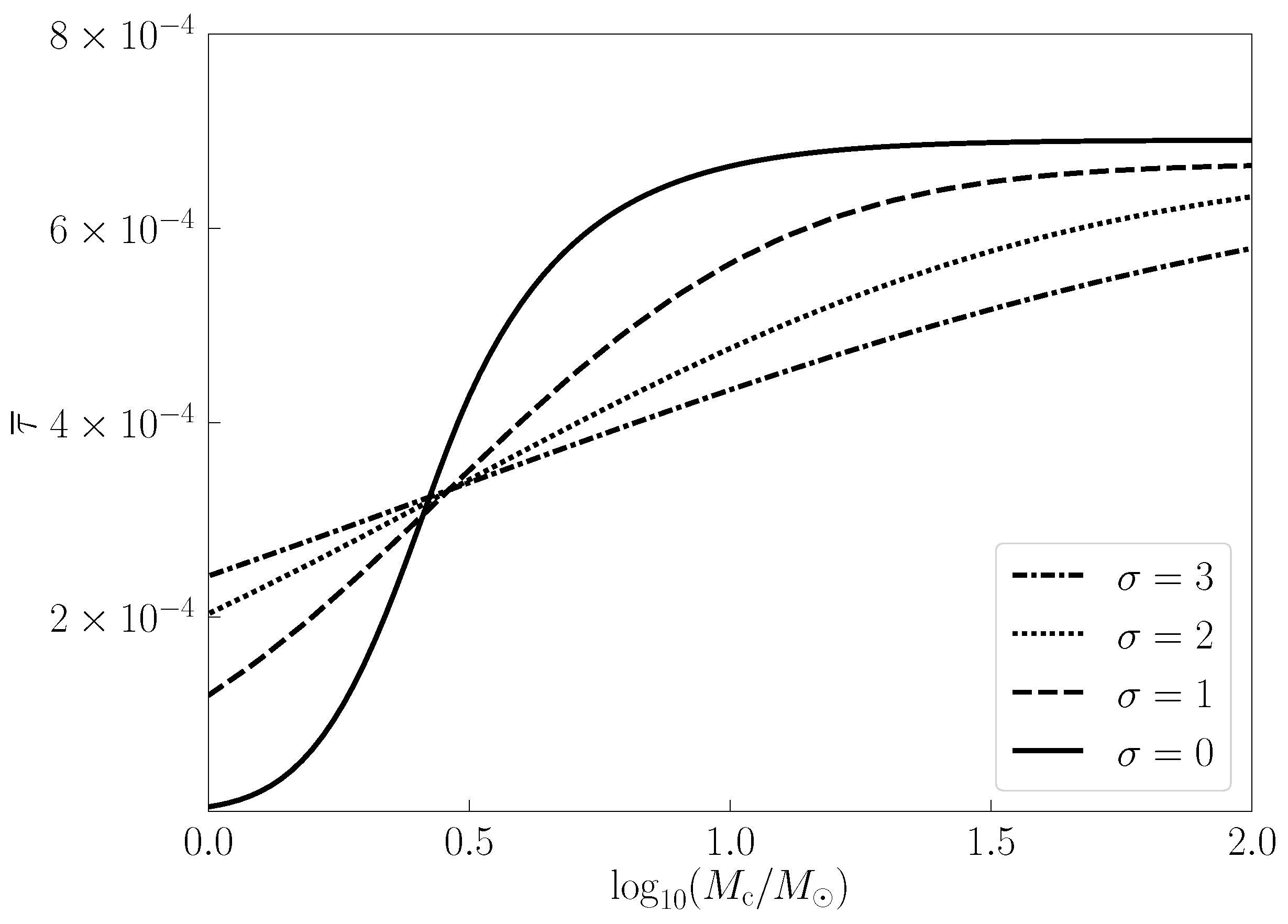
- For the simplest monochromatic mass function , we find that, if is given, increases with and approaches a constant when , as shown in Figure 4. Moreover, the TSRD model predicts a moderate , as its redshift PDF lies between those from the constant and the SFH models, as shown in Figure 3. Equivalently, we also show the dependence of on in Figure 5, with fixed. We observe that decreases with and approaches a constant when .
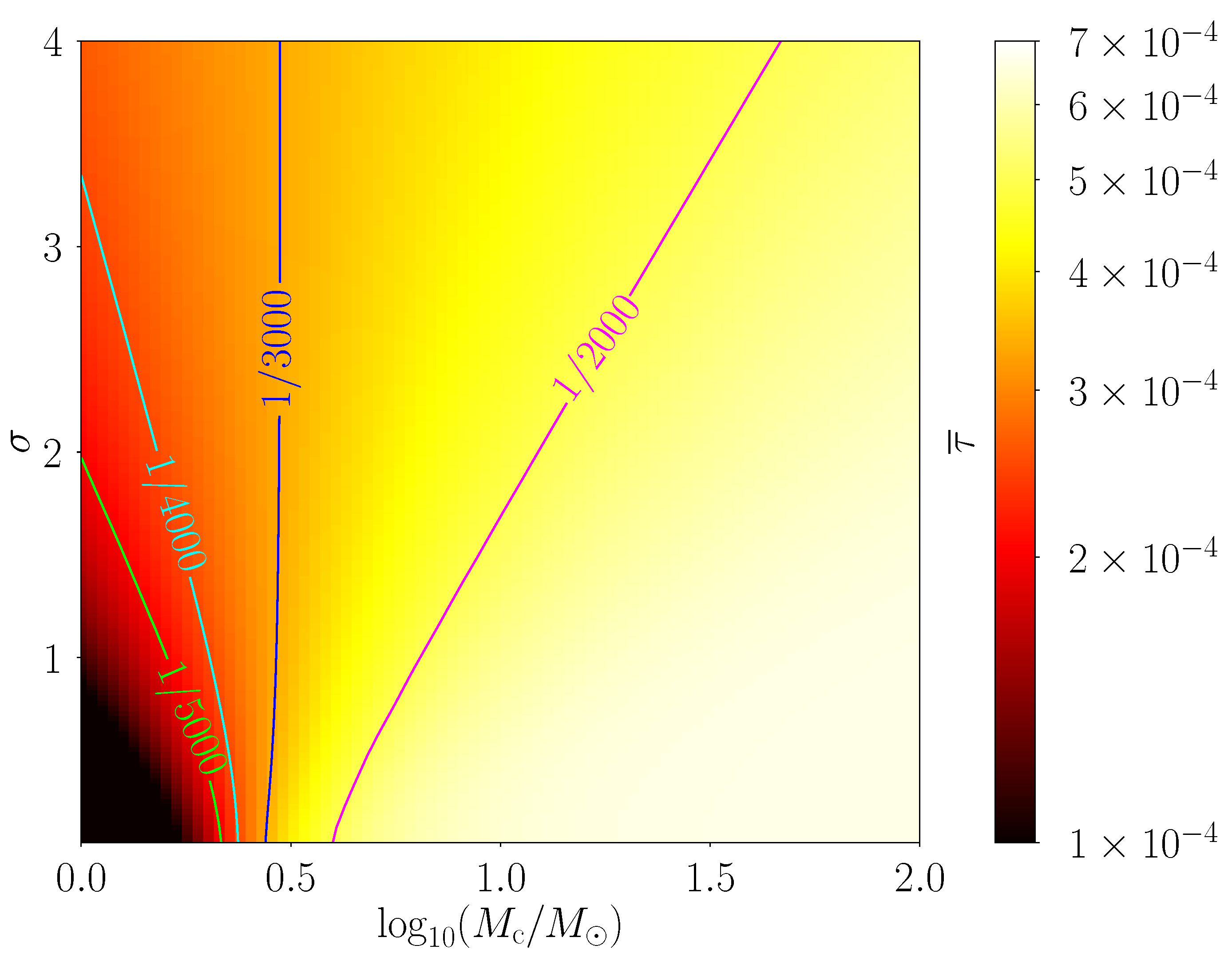
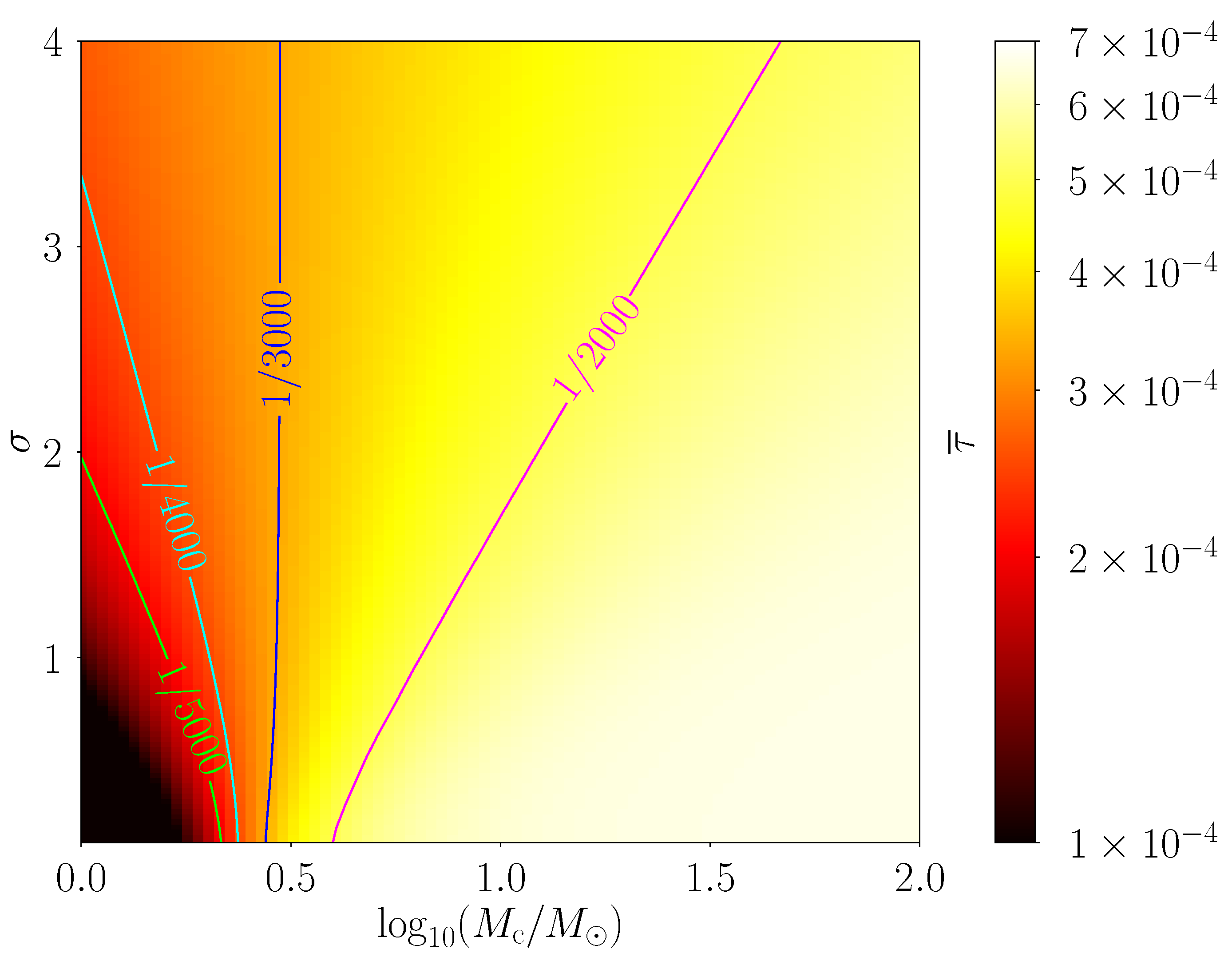
- For the more realistic log-normal mass function , can be obtained in the two-dimensional – plane in Figure 7, with four curves corresponding to different values of . The allowed ranges of and can be obtained, once the specific value of is given. When , the slopes of the curves are negative, meaning that increases with , but when , the situation is exactly the opposite. These different behaviors can be understood from the special log-normal form of . Moreover, when , the result naturally reduces to the monochromatic case.
- The skew log-normal and power-law mass functions and can both be regarded as the extension of , and their results are similar. For positive A and , the mass distributions in and shift to larger masses, enhancing accordingly. As a result, the colors in Figure 8a and Figure 9a are brighter than Figure 7, and the curves with fixed rotate to the left. In contrast, for negative A and , the results are the opposite, as shown in Figure 8b and Figure 9b.
Author Contributions
Funding
Data Availability Statement
Acknowledgments
Conflicts of Interest
References
- Aghanim, N.; Akrami, Y.; Ashdown, M.; Aumont, J.; Baccigalupi, C.; Ballardini, M.; Banday, A.J.; Barreiro, R.; Bartolo, N.L.; Basak, S.; et al. Planck 2018 results. VI. Cosmological parameters. Astron. Astrophys. 2020, 641, A6, Erratum in Astron. Astrophys. 2021, 652, C4. [Google Scholar] [CrossRef]
- Aloni, D.; Bagherian, H.; Mishra, R.K. Evaporating Axion Dark Matter and the Hubble Constant. arXiv 2024, arXiv:2409.13807. [Google Scholar]
- Basu, A.; Goswami, J.; Schwarz, D.J.; Urakawa, Y. Searching for Axionlike Particles under Strong Gravitational Lenses. Phys. Rev. Lett. 2021, 126, 191102. [Google Scholar] [CrossRef] [PubMed]
- Boyarsky, A.; Ruchayskiy, O.; Iakubovskyi, D.; Franse, J. Unidentified Line in X-Ray Spectra of the Andromeda Galaxy and Perseus Galaxy Cluster. Phys. Rev. Lett. 2014, 113, 251301. [Google Scholar] [CrossRef]
- Arcadi, G.; Dutra, M.; Ghosh, P.; Lindner, M.; Mambrini, Y.; Pierre, M.; Profumo, S.; Queiroz, F.S. The waning of the WIMP? A review of models, searches, and constraints. Eur. Phys. J. C 2018, 78, 203. [Google Scholar] [CrossRef]
- Roszkowski, L.; Sessolo, E.M.; Trojanowski, S. WIMP dark matter candidates and searches—Current status and future prospects. Rept. Prog. Phys. 2018, 81, 066201. [Google Scholar] [CrossRef]
- Carr, B.J.; Hawking, S.W. Black holes in the early Universe. Mon. Not. R. Astron. Soc. 1974, 168, 399. [Google Scholar] [CrossRef]
- Carr, B.J. The Primordial black hole mass spectrum. Astrophys. J. 1975, 201, 1–19. [Google Scholar] [CrossRef]
- Carr, B.; Kühnel, F. Primordial Black Holes as Dark Matter: Recent Developments. Ann. Rev. Nucl. Part. Sci. 2020, 70, 355. [Google Scholar] [CrossRef]
- Carr, B.; Kohri, K.; Sendouda, Y.; Yokoyama, J. Constraints on primordial black holes. Rept. Prog. Phys. 2021, 84, 116902. [Google Scholar] [CrossRef]
- Oppenheimer, J.R.; Volkoff, G.M. On massive neutron cores. Phys. Rev. 1939, 55, 374. [Google Scholar] [CrossRef]
- Oppenheimer, J.R.; Snyder, H. On Continued gravitational contraction. Phys. Rev. 1939, 56, 455. [Google Scholar] [CrossRef]
- Barkat, Z.; Rakavy, G.; Sack, N. Dynamics of Supernova Explosion Resulting from Pair Formation. Phys. Rev. Lett. 1967, 18, 379. [Google Scholar] [CrossRef]
- Heger, A.; Woosley, S.E. The nucleosynthetic signature of population III. Astrophys. J. 2002, 567, 532. [Google Scholar] [CrossRef]
- Smartt, S.J.; Eldridge, J.J.; Crockett, R.M.; Maund, J.R. The death of massive stars—I. Observational constraints on the progenitors of type II-P supernovae. Mon. Not. R. Astron. Soc. 2009, 395, 1409. [Google Scholar] [CrossRef]
- Gal-Yam, A.; Mazzali, P.; Ofek, E.O.; Nugent, P.E.; Kulkarni, S.R.; Kasliwal, M.M.; Quimby, R.M.; Filippenko, A.V.; Cenko, S.B.; Chornock, R.; et al. Supernova 2007bi as a pair-instability explosion. Nature 2009, 462, 624. [Google Scholar] [CrossRef]
- Belczynski, K.; Heger, A.; Gladysz, W.; Ruiter, A.J.; Woosley, S.; Wiktorowicz, G.; Chen, H.-Y.; Bulik, T.; O’Shaughnesy, R.; Holz, D.E.; et al. The Effect of Pair-Instability Mass Loss on Black Hole Mergers. Astron. Astrophys. 2016, 594, A97. [Google Scholar] [CrossRef]
- Fernandez, N.; Ghalsasi, A.; Profumo, S.; Santos-Olmsted, L.; Smyth, N. Dark black holes in the mass gap. J. Cosmol. Astropart. Phys. 2024, 1, 64. [Google Scholar] [CrossRef]
- Khlopov, M.Y. Primordial Black Holes. Res. Astron. Astrophys. 2010, 10, 495. [Google Scholar] [CrossRef]
- Ibarra, A.; Rappelt, A. Optimized velocity distributions for direct dark matter detection. J. Cosmol. Astropart. Phys. 2017, 8, 39. [Google Scholar] [CrossRef]
- Schumann, M. Direct Detection of WIMP Dark Matter: Concepts and Status. J. Phys. G 2019, 46, 103003. [Google Scholar] [CrossRef]
- Essig, R.; Giovanetti, G.K.; Kurinsky, N.; McKinsey, D.; Ramanathan, K.; Stifter, K.; Yu, T.; Aboubrahim, A.; Adams, D.; Alves, D.S.M.; et al. Snowmass2021 Cosmic Frontier: The landscape of low-threshold dark matter direct detection in the next decade. arXiv 2022, arXiv:2203.08297. [Google Scholar] [CrossRef]
- Adari, P.; Bloch, I.M.; Botti, A.M.; Cababie, M.; Cancelo, G.; Cervantes-Vergara, B.A.; Crisler, M.; Daal, M.; Desai, A.; Drlica-Wagner, A.; et al. First Direct-Detection Results on Sub-GeV Dark Matter Using the SENSEI Detector at SNOLAB. Phys. Rev. Lett. 2025, 134, 011804. [Google Scholar] [CrossRef]
- Duerr, M.; Fileviez Pérez, P.; Smirnov, J. Scalar Dark Matter: Direct vs. Indirect Detection. J. High Energy Phys. 2016, 6, 152. [Google Scholar] [CrossRef]
- Slatyer, T.R. Les Houches Lectures on Indirect Detection of Dark Matter. SciPost Phys. Lect. Notes 2022, 53, 1. [Google Scholar] [CrossRef]
- Watanabe, Y.; Kusenko, A.; Matsumoto, S. Indirect Detection of Dark Matter Around a Supermassive Black Hole with High Energy-Resolution Gamma-Ray Telescopes. arXiv 2025, arXiv:2506.07009. [Google Scholar]
- Byrnes, C.; Franciolini, G.; Harada, T.; Pani, P.; Sasaki, M. (Eds.) Primordial Black Holes; Springer Series in Astrophysics and Cosmology; Springer: Berlin/Heidelberg, Germany, 2025. [Google Scholar] [CrossRef]
- Clesse, S.; García-Bellido, J. The clustering of massive Primordial Black Holes as Dark Matter: Measuring their mass distribution with Advanced LIGO. Phys. Dark Univ. 2017, 15, 142. [Google Scholar] [CrossRef]
- Belotsky, K.M.; Dokuchaev, V.I.; Eroshenko, Y.N.; Esipova, E.A.; Khlopov, M.Y.; Khromykh, L.A.; Kirillov, A.A.; Nikulin, V.V.; Rubin, S.G.; Svadkovsky, I.V. Clusters of primordial black holes. Eur. Phys. J. C 2019, 79, 246. [Google Scholar] [CrossRef]
- Trashorras, M.; García-Bellido, J.; Nesseris, S. The clustering dynamics of primordial black boles in N-body simulations. Universe 2021, 7, 18. [Google Scholar] [CrossRef]
- De Luca, V.; Franciolini, G.; Riotto, A.; Veermäe, H. Ruling Out Initially Clustered Primordial Black Holes as Dark Matter. Phys. Rev. Lett. 2022, 129, 191302. [Google Scholar] [CrossRef]
- Auclair, P.; Blachier, B. Small-scale clustering of primordial black holes: Cloud-in-cloud and exclusion effects. Phys. Rev. D 2024, 109, 123538. [Google Scholar] [CrossRef]
- Animali, C.; Vennin, V. Clustering of primordial black holes from quantum diffusion during inflation. J. Cosmol. Astropart. Phys. 2024, 8, 26. [Google Scholar] [CrossRef]
- Huang, H.L.; Jiang, J.Q.; Piao, Y.S. High-redshift JWST massive galaxies and the initial clustering of supermassive primordial black holes. Phys. Rev. D 2024, 110, 103540. [Google Scholar] [CrossRef]
- Escrivà, A.; Kühnel, F.; Tada, Y. Primordial Black Holes. arXiv 2022, arXiv:2211.05767. [Google Scholar] [CrossRef] [PubMed]
- Carr, B.; Clesse, S.; Garcia-Bellido, J.; Hawkins, M.; Kühnel, F. Observational evidence for primordial black holes: A positivist perspective. Phys. Rept. 2024, 1054, 1. [Google Scholar] [CrossRef]
- Bagui, E.; Clesse, S.; Luca, V.D.; Ezquiaga, J.M.; Franciolini, G.; García-Bellido, J.; Joana, C.; Jain, R.K.; Kuroyanagi, S.; Musco, I.; et al. Primordial black holes and their gravitational-wave signatures. Living Rev. Rel. 2025, 28, 1–68. [Google Scholar] [CrossRef]
- Carr, B.; Kühnel, F. Primordial Black Holes. arXiv 2025, arXiv:2502.15279. [Google Scholar]
- Zumalacarregui, M.; Seljak, U. Limits on stellar-mass compact objects as dark matter from gravitational lensing of type Ia supernovae. Phys. Rev. Lett. 2018, 121, 141101. [Google Scholar] [CrossRef]
- Diego, J.M. Constraining the abundance of primordial black holes with gravitational lensing of gravitational waves at LIGO frequencies. Phys. Rev. D 2020, 101, 123512. [Google Scholar] [CrossRef]
- Oguri, M.; Takahashi, R. Probing Dark Low-mass Halos and Primordial Black Holes with Frequency-dependent Gravitational Lensing Dispersions of Gravitational Waves. Astrophys. J. 2020, 901, 58. [Google Scholar] [CrossRef]
- Wang, J.S.; Herrera-Martín, A.; Hu, Y.M. Lensing by primordial black holes: Constraints from gravitational wave observations. Phys. Rev. D 2021, 104, 083515. [Google Scholar] [CrossRef]
- Cai, R.G.; Chen, T.; Wang, S.J.; Yang, X.Y. Gravitational microlensing by dressed primordial black holes. J. Cosmol. Astropart. Phys. 2023, 3, 43. [Google Scholar] [CrossRef]
- Bartelmann, M.; Schneider, P. Weak gravitational lensing. Phys. Rept. 2001, 340, 291. [Google Scholar] [CrossRef]
- Lewis, A.; Challinor, A. Weak gravitational lensing of the CMB. Phys. Rept. 2006, 429, 1–65. [Google Scholar] [CrossRef]
- Hildebrandt, H.; Viola, M.; Heymans, C.; Joudaki, S.; Kuijken, K.; Blake, C.; Erben, T.; Joachimi, B.; Klaes, D.; Miller, L.; et al. KiDS-450: Cosmological parameter constraints from tomographic weak gravitational lensing. Mon. Not. R. Astron. Soc. 2017, 465, 1454. [Google Scholar] [CrossRef]
- Aghanim, N.; Akrami, Y.; Ashdown, M.; Aumont, J.; Baccigalupi, C.; Ballardini, M.; Banday, A.J.; Barreiro, R.B.; Bartolo, N.; Basak, S.; et al. Planck 2018 results. VIII. Gravitational lensing. Astron. Astrophys. 2020, 641, A8. [Google Scholar] [CrossRef]
- Hannuksela, O.A.; Haris, K.; Ng, K.K.Y.; Kumar, S.; Mehta, A.K.; Keitel, D.; Li, T.G.F.; Ajith, P. Search for gravitational lensing signatures in LIGO-Virgo binary black hole events. Astrophys. J. Lett. 2019, 874, L2. [Google Scholar] [CrossRef]
- Madhavacheril, M.S.; Qu, F.J.; Sherwin, B.D.; MacCrann, N.; Li, Y.; Abril-Cabezas, I.; Ade, P.A.R.; Aiola, S.; Alford, T.; Amiri, M.; et al. The Atacama Cosmology Telescope: DR6 Gravitational Lensing Map and Cosmological Parameters. Astrophys. J. 2024, 962, 113. [Google Scholar] [CrossRef]
- Schmidt, F. Weak Lensing Probes of Modified Gravity. Phys. Rev. D 2008, 78, 043002. [Google Scholar] [CrossRef]
- Reyes, R.; Mandelbaum, R.; Seljak, U.; Baldauf, T.; Gunn, J.E.; Lombriser, L.; Smith, R.E. Confirmation of general relativity on large scales from weak lensing and galaxy velocities. Nature 2010, 464, 256. [Google Scholar] [CrossRef]
- Ishak, M. Testing General Relativity in Cosmology. Living Rev. Rel. 2019, 22, 1. [Google Scholar] [CrossRef] [PubMed]
- Narayan, P.; Johnson-McDaniel, N.K.; Gupta, A. Effect of Type II Strong Gravitational Lensing on Tests of General Relativity. arXiv 2024, arXiv:2412.13132. [Google Scholar] [CrossRef]
- Zavala, J.; Frenk, C.S. Dark matter haloes and subhaloes. Galaxies 2019, 7, 81. [Google Scholar] [CrossRef]
- Şengül, A.Ç.; Dvorkin, C. Probing dark matter with strong gravitational lensing through an effective density slope. Mon. Not. R. Astron. Soc. 2022, 516, 336. [Google Scholar] [CrossRef]
- Vegetti, S.; Birrer, S.; Despali, G.; Fassnacht, C.D.; Gilman, D.; Hezaveh, Y.; Levasseur, L.P.; McKean, J.P.; Powell, D.M.; O’Riordan, C.M.; et al. Strong Gravitational Lensing as a Probe of Dark Matter. Space Sci. Rev. 2024, 220, 58. [Google Scholar] [CrossRef]
- Schneider, P.; Ehlers, J.; Falco, E.E. Gravitational Lenses; Astronomy and Astrophysics Library; Springer: Berlin/Heidelberg, Germany, 1992. [Google Scholar] [CrossRef]
- Treu, T.; Marshall, P.J. Time Delay Cosmography. Astron. Astrophys. Rev. 2016, 24, 11. [Google Scholar] [CrossRef]
- Tizfahm, A.; Fakhry, S.; Firouzjaee, J.T.; Del Popolo, A. Toward gravitational lensing in modified theories of gravity. Phys. Dark Univ. 2025, 47, 101795. [Google Scholar] [CrossRef]
- Burke-Spolaor, S.; Bailes, M.; Ekers, R.; Macquart, J.P.; Crawford, F., III. Radio Bursts with Extragalactic Spectral Characteristics Show Terrestrial Origins. Astrophys. J. 2011, 727, 18. [Google Scholar] [CrossRef]
- Thornton, D.; Stappers, B.; Bailes, M.; Barsdell, B.R.; Bates, S.D.; Bhat, N.D.R.; Burgay, M.; Burke-Spolaor, S.; Champion, D.J.; Coster, P.; et al. A Population of Fast Radio Bursts at Cosmological Distances. Science 2013, 341, 53. [Google Scholar] [CrossRef]
- Platts, E.; Weltman, A.; Walters, A.; Tendulkar, S.P.; Gordin, J.E.B.; Kandhai, S. A Living Theory Catalogue for Fast Radio Bursts. Phys. Rept. 2019, 821, 1–27. [Google Scholar] [CrossRef]
- Lorimer, D.R. A decade of fast radio bursts. Nat. Astron. 2018, 2, 860. [Google Scholar] [CrossRef]
- Petroff, E.; Hessels, J.W.T.; Lorimer, D.R. Fast Radio Bursts. Astron. Astrophys. Rev. 2019, 27, 4. [Google Scholar] [CrossRef] [PubMed]
- Cordes, J.M.; Chatterjee, S. Fast Radio Bursts: An Extragalactic Enigma. Ann. Rev. Astron. Astrophys. 2019, 57, 417. [Google Scholar] [CrossRef]
- Xiao, D.; Wang, F.; Dai, Z. The physics of fast radio bursts. Sci. China Phys. Mech. Astron. 2021, 64, 249501. [Google Scholar] [CrossRef]
- Petroff, E.; Hessels, J.W.T.; Lorimer, D.R. Fast radio bursts at the dawn of the 2020s. Astron. Astrophys. Rev. 2022, 30, 2. [Google Scholar] [CrossRef]
- Glowacki, M.; Lee, K.G. Cosmology with Fast Radio Bursts. arXiv 2024, arXiv:2410.24072. [Google Scholar]
- Hagstotz, S.; Reischke, R.; Lilow, R. A new measurement of the Hubble constant using fast radio bursts. Mon. Not. R. Astron. Soc. 2022, 511, 662. [Google Scholar] [CrossRef]
- Wu, Q.; Zhang, G.Q.; Wang, F.Y. An 8 per cent determination of the Hubble constant from localized fast radio bursts. Mon. Not. R. Astron. Soc. 2022, 515, L1, Erratum in Mon. Not. R. Astron. Soc. 2024, 531, L8. [Google Scholar] [CrossRef]
- James, C.W.; Ghosh, E.M.; Prochaska, J.X.; Bannister, K.W.; Bhandari, S.; Day, C.K.; Deller, A.T.; Glowacki, M.; Gordon, A.C.; Heintz, K.E.; et al. A measurement of Hubble’s Constant using Fast Radio Bursts. Mon. Not. R. Astron. Soc. 2022, 516, 4862. [Google Scholar] [CrossRef]
- Gao, D.H.; Wu, Q.; Hu, J.P.; Yi, S.X.; Zhou, X.; Wang, F.Y.; Dai, Z.G. Measuring the Hubble constant using localized and nonlocalized fast radio bursts. Astron. Astrophys. 2025, 698, A215. [Google Scholar] [CrossRef]
- Walters, A.; Weltman, A.; Gaensler, B.M.; Ma, Y.Z.; Witzemann, A. Future Cosmological Constraints from Fast Radio Bursts. Astrophys. J. 2018, 856, 65. [Google Scholar] [CrossRef]
- Macquart, J.P.; Prochaska, J.X.; McQuinn, M.; Bannister, K.W.; Bhandari, S.; Day, C.K.; Deller, A.T.; Ekers, R.D.; James, C.W.; Marnoch, L.; et al. A census of baryons in the Universe from localized fast radio bursts. Nature 2020, 581, 391. [Google Scholar] [CrossRef]
- Yang, K.B.; Wu, Q.; Wang, F.Y. Finding the Missing Baryons in the Intergalactic Medium with Localized Fast Radio Bursts. Astrophys. J. Lett. 2022, 940, L29. [Google Scholar] [CrossRef]
- Beniamini, P.; Kumar, P.; Ma, X.; Quataert, E. Exploring the epoch of hydrogen reionization using FRBs. Mon. Not. R. Astron. Soc. 2021, 502, 5134. [Google Scholar] [CrossRef]
- Lorimer, D.R.; Bailes, M.; McLaughlin, M.A.; Narkevic, D.J.; Crawford, F. A bright millisecond radio burst of extragalactic origin. Science 2007, 318, 777. [Google Scholar] [CrossRef] [PubMed]
- Amiri, M.; Bandura, K.; Bhardwaj, M.; Boubel, P.; Boyce, M.M.; Boyle, P.J.; Brar, C.; Burhanpurkar, M.; Cassanelli, T.; Chawla, P.; et al. A Second Source of Repeating Fast Radio Bursts. Nature 2019, 566, 235. [Google Scholar] [CrossRef]
- Andersen, B.C.; Bandura, K.; Bhardwaj, M.; Boyle, P.J.; Brar, C.; Cassanelli, T.; Chatterjee, S.; Chawla, P.; Cook, A.M.; Curtin, A.P.; et al. CHIME/FRB Discovery of 25 Repeating Fast Radio Burst Sources. Astrophys. J. 2023, 947, 83. [Google Scholar] [CrossRef]
- Amiri, M.; Andersen, B.C.; Andrew, S.; Bandura, K.; Bhardwaj, M.; Boyle, P.J.; Brar, C.; Breitman, D.; Cassanelli, T.; Chawla, P.; et al. Updating the First CHIME/FRB Catalog of Fast Radio Bursts with Baseband Data. Astrophys. J. 2024, 969, 145. [Google Scholar] [CrossRef]
- Amiri, M.; Amouyal, D.; Andersen, B.C.; Andrew, S.; Bandura, K.; Bhardwaj, M.; Boyle, P.J.; Brar, C.; Cassity, A.; Chatterjee, S.; et al. A Catalog of Local Universe Fast Radio Bursts from CHIME/FRB and the KKO Outrigger. arXiv 2025, arXiv:2502.11217. [Google Scholar]
- Amiri, M.; Andersen, B.C.; Andrew, S.; Bandura, K.; Bhardwaj, M.; Bhopi, K.; Bidula, V.; Boyle, P.J.; Brar, C.; Carlson, M.; et al. CHIME/FRB Outriggers: Design Overview. arXiv 2025, arXiv:2504.05192. [Google Scholar] [CrossRef]
- Jiang, P.; Tang, N.Y.; Hou, L.G.; Liu, M.T.; Krčo, M.; Qian, L.; Sun, J.H.; Ching, T.C.; Liu, B.; Duan, Y.; et al. The fundamental performance of FAST with 19-beam receiver at L band. Res. Astron. Astrophys. 2020, 20, 64. [Google Scholar] [CrossRef]
- Bannister, K.W.; Deller, A.T.; Phillips, C.; Macquart, J.-P.; Prochaska, J.X.; Tejos, N.; Ryder, S.D.; Sadler, E.M.; Shannon, R.M.; Simha, S.; et al. A single fast radio burst localized to a massive galaxy at cosmological distance. arXiv 2019, arXiv:1906.11476. [Google Scholar] [CrossRef]
- Wang, Y.; Tuntsov, A.; Murphy, T.; Lenc, E.; Walker, M.; Bannister, K.; Kaplan, D.L.; Mahony, E.K. ASKAP observations of multiple rapid scintillators reveal a degrees-long plasma filament. Mon. Not. R. Astron. Soc. 2021, 502, 3294. [Google Scholar] [CrossRef]
- Wang, H.; Masui, K.; Andrew, S.; Fonseca, E.; Gaensler, B.M.; Joseph, R.C.; Kaspi, V.M.; Kharel, B.; Lanman, A.E.; Leung, C.; et al. Measurement of the Dispersion–Galaxy Cross-Power Spectrum with the Second CHIME/FRB Catalog. arXiv 2025, arXiv:2506.08932. [Google Scholar]
- Waxman, E. On the origin of fast radio bursts (FRBs). Astrophys. J. 2017, 842, 34. [Google Scholar] [CrossRef]
- Nicholl, M.; Williams, P.K.G.; Berger, E.; Villar, V.A.; Alexander, K.D.; Eftekhari, T.; Metzger, B.D. Empirical constraints on the origin of fast radio bursts: Volumetric rates and host galaxy demographics as a test of millisecond magnetar connection. Astrophys. J. 2017, 843, 84. [Google Scholar] [CrossRef]
- Zhang, R.C.; Zhang, B.; Li, Y.; Lorimer, D.R. On the energy and redshift distributions of fast radio bursts. Mon. Not. R. Astron. Soc. 2021, 501, 157. [Google Scholar] [CrossRef]
- Wei, Y.J.; Zhao, Z.Y.; Wang, F.Y. The periodic origin of fast radio bursts. Astron. Astrophys. 2022, 658, A163. [Google Scholar] [CrossRef]
- Feng, Y.; Li, D.; Yang, Y.; Zhang, Y.; Zhu, W.; Zhang, B.; Lu, W.; Wang, P.; Dai, S.; Lynch, R.S.; et al. Frequency-dependent polarization of repeating fast radio bursts—Implications for their origin. Science 2022, 375, abl7759. [Google Scholar] [CrossRef]
- Bruni, G.; Piro, L.; Yang, Y.; Quai, S.; Zhang, B.; Palazzi, E.; Nicastro, L.; Feruglio, C.; Tripodi, R.; O’Connor, B.; et al. A nebular origin for the persistent radio emission of fast radio bursts. Nature 2024, 632, 1014. [Google Scholar] [CrossRef]
- Wang, Y.; van Leeuwen, J. Birth and evolution of fast radio bursts: Strong population-based evidence for a neutron-star origin. Astron. Astrophys. 2024, 690, A377. [Google Scholar] [CrossRef]
- Wang, M.H.; Ai, S.K.; Li, Z.X.; Xing, N.; Gao, H.; Zhang, B. Testing the Hypothesis of a Compact-binary-coalescence Origin of Fast Radio Bursts Using a Multimessenger Approach. Astrophys. J. Lett. 2020, 891, L39. [Google Scholar] [CrossRef]
- Michilli, D.; Bhardwaj, M.; Brar, C.; Patel, C.; Gaensler, B.M.; Kaspi, V.M.; Kirichenko, A.; Masui, K.W.; Sand, K.R.; Scholz, P.; et al. Subarcminute Localization of 13 Repeating Fast Radio Bursts Detected by CHIME/FRB. Astrophys. J. 2023, 950, 134. [Google Scholar] [CrossRef]
- Tang, L.; Lin, H.N.; Li, X. Inferring redshift and energy distributions of fast radio bursts from the first CHIME/FRB catalog*. Chin. Phys. C 2023, 47, 085105. [Google Scholar] [CrossRef]
- Yang, Y.P.; Zhang, B. Extracting host galaxy dispersion measure and constraining cosmological parameters using fast radio burst data. Astrophys. J. Lett. 2016, 830, L31. [Google Scholar] [CrossRef]
- James, C.W.; Prochaska, J.X.; Macquart, J.P.; North-Hickey, F.O.; Bannister, K.W.; Dunning, A. The z–DM distribution of fast radio bursts. Mon. Not. R. Astron. Soc. 2021, 509, 4775. [Google Scholar] [CrossRef]
- Zhang, J.G.; Li, Y.; Zou, J.M.; Zhao, Z.W.; Zhang, J.F.; Zhang, X. Fast Radio Burst Energy Function in the Presence of DMhost Variation. Universe 2024, 10, 207. [Google Scholar] [CrossRef]
- Sammons, M.W.; Macquart, J.P.; Ekers, R.D.; Shannon, R.M.; Cho, H.; Prochaska, J.X.; Deller, A.T.; Day, C.K. First Constraints on Compact Dark Matter from Fast Radio Burst Microstructure. Astrophys. J. 2020, 900, 122. [Google Scholar] [CrossRef]
- Zhang, X.; Sang, Y.; Hoerning, G.A.; Abdalla, F.B.; Abdalla, E.; Queiroz, A.; Costa, A.A.; Landim, R.G.; Feng, C.; Wang, B.; et al. The BINGO/ABDUS Project: Forecast for cosmological parameter from a mock Fast Radio Bursts survey. arXiv 2024, arXiv:2411.17516. [Google Scholar] [CrossRef]
- Qiang, D.C.; Wei, H. Effect of Redshift Distributions of Fast Radio Bursts on Cosmological Constraints. Phys. Rev. D 2021, 103, 083536. [Google Scholar] [CrossRef]
- Zhang, R.C.; Zhang, B. The CHIME Fast Radio Burst Population Does Not Track the Star Formation History of the Universe. Astrophys. J. Lett. 2022, 924, L14. [Google Scholar] [CrossRef]
- Andersen, B.C.; Bandura, K.M.; Bhardwaj, M.; Bij, A.; Boyce, M.M.; Boyle, P.J.; Brar, C.; Cassanelli, T.; Chawla, P.; Chen, T.; et al. A bright millisecond-duration radio burst from a Galactic magnetar. Nature 2020, 587, 54. [Google Scholar] [CrossRef]
- Bochenek, C.D.; Ravi, V.; Belov, K.V.; Hallinan, G.; Kocz, J.; Kulkarni, S.R.; McKenna, D.L. A fast radio burst associated with a Galactic magnetar. Nature 2020, 587, 59. [Google Scholar] [CrossRef]
- Bhardwaj, M.; Gaensler, B.M.; Kaspi, V.M.; Landecker, T.L.; Mckinven, R.; Michilli, D.; Pleunis, Z.; Tendulkar, S.P.; Andersen, B.C.; Boyle, P.J.; et al. A Nearby Repeating Fast Radio Burst in the Direction of M81. Astrophys. J. Lett. 2021, 910, L18. [Google Scholar] [CrossRef]
- Kirsten, F.; Marcote, B.; Nimmo, K.; Hessels, J.W.T.; Bhardwaj, M.; Tendulkar, S.P.; Keimpema, A.; Yang, J.; Snelders, M.P.; Scholz, P.; et al. A repeating fast radio burst source in a globular cluster. Nature 2022, 602, 585. [Google Scholar] [CrossRef] [PubMed]
- Nimmo, K.; Pleunis, Z.; Beniamini, P.; Kumar, P.; Lanman, A.E.; Li, D.Z.; Main, R.; Sammons, M.W.; Andrew, S.; Bhardwaj, M.; et al. Magnetospheric origin of a fast radio burst constrained using scintillation. Nature 2025, 637, 48. [Google Scholar] [CrossRef] [PubMed]
- Cermeño, M.; Pérez-García, M.Á.; Silk, J. Fermionic Light Dark Matter Particles and the New Physics of Neutron Stars. Publ. Astron. Soc. Austral. 2017, 34, e043. [Google Scholar] [CrossRef][Green Version]
- Fuller, G.M.; Kusenko, A.; Takhistov, V. Primordial Black Holes and r-Process Nucleosynthesis. Phys. Rev. Lett. 2017, 119, 061101. [Google Scholar] [CrossRef]
- Abramowicz, M.A.; Bejger, M.; Wielgus, M. Collisions of neutron stars with primordial black holes as fast radio bursts engines. Astrophys. J. 2018, 868, 17. [Google Scholar] [CrossRef]
- Amaral, D.W.P.; Schiappacasse, E.D. Rescuing the primordial black holes all-dark matter hypothesis from the fast radio bursts tension. Phys. Rev. D 2024, 110, 083532. [Google Scholar] [CrossRef]
- Baumgarte, T.W.; Shapiro, S.L. Primordial black holes captured by neutron stars: Simulations in general relativity. Phys. Rev. D 2024, 110, 023021. [Google Scholar] [CrossRef]
- James, C.W.; Prochaska, J.X.; Macquart, J.P.; North-Hickey, F.O.; Bannister, K.W.; Dunning, A. The fast radio burst population evolves, consistent with the star formation rate. Mon. Not. R. Astron. Soc. 2022, 510, L18. [Google Scholar] [CrossRef]
- Peng, H.; Yu, Y. Redshift Distributions of Fast Radio Bursts Inferred Using Clustering in Dispersion Measure Space. Astrophys. J. 2025, 982, 124. [Google Scholar] [CrossRef]
- Chen, J.H.; Jia, X.D.; Dong, X.F.; Wang, F.Y. The Formation Rate and Luminosity Function of Fast Radio Bursts. Astrophys. J. Lett. 2024, 973, L54. [Google Scholar] [CrossRef]
- Lin, H.N.; Li, X.Y.; Zou, R. Time Delay of Fast Radio Burst Population with Respect to the Star Formation History. Astrophys. J. 2024, 969, 123. [Google Scholar] [CrossRef]
- Dolgov, A.; Silk, J. Baryon isocurvature fluctuations at small scales and baryonic dark matter. Phys. Rev. D 1993, 47, 4244. [Google Scholar] [CrossRef]
- Gow, A.D.; Byrnes, C.T.; Hall, A. Accurate model for the primordial black hole mass distribution from a peak in the power spectrum. Phys. Rev. D 2022, 105, 023503. [Google Scholar] [CrossRef]
- Carr, B.; Raidal, M.; Tenkanen, T.; Vaskonen, V.; Veermäe, H. Primordial black hole constraints for extended mass functions. Phys. Rev. D 2017, 96, 023514. [Google Scholar] [CrossRef]
- Pearson, N.; Trendafilova, C.; Meyers, J. Searching for Gravitational Waves with Strongly Lensed Repeating Fast Radio Bursts. Phys. Rev. D 2021, 103, 063017. [Google Scholar] [CrossRef]
- Muñoz, J.B.; Kovetz, E.D.; Dai, L.; Kamionkowski, M. Lensing of Fast Radio Bursts as a Probe of Compact Dark Matter. Phys. Rev. Lett. 2016, 117, 091301. [Google Scholar] [CrossRef] [PubMed]
- Smyth, N.; Profumo, S.; English, S.; Jeltema, T.; McKinnon, K.; Guhathakurta, P. Updated Constraints on Asteroid-Mass Primordial Black Holes as Dark Matter. Phys. Rev. D 2020, 101, 063005. [Google Scholar] [CrossRef]
- Kim, S.; Choi, H.G.; Jung, S. Scalar Dark Matter: Direct vs. Indirect Detection. J. High Energy Phys. 2025, 7, 6. [Google Scholar] [CrossRef]
- Liao, K.; Zhang, S.B.; Li, Z.; Gao, H. Constraints on compact dark matter with fast radio burst observations. Astrophys. J. 2020, 896, L11. [Google Scholar] [CrossRef]
- Laha, R. Lensing of fast radio bursts: Future constraints on primordial black hole density with an extended mass function and a new probe of exotic compact fermion and boson stars. Phys. Rev. D 2020, 102, 023016. [Google Scholar] [CrossRef]
- Zhou, H.; Li, Z.; Huang, Z.; Gao, H.; Huang, L. Constraints on the abundance of primordial black holes with different mass distributions from lensing of fast radio bursts. Mon. Not. R. Astron. Soc. 2022, 511, 1141. [Google Scholar] [CrossRef]
- Qiang, D.C.; Li, S.L.; Wei, H. Fast radio burst distributions consistent with the first CHIME/FRB catalog. J. Cosmol. Astropart. Phys. 2022, 1, 40. [Google Scholar] [CrossRef]
- Madau, P.; Dickinson, M. Cosmic Star Formation History. Ann. Rev. Astron. Astrophys. 2014, 52, 415. [Google Scholar] [CrossRef]
- Bhattacharyya, S. Fast Radio Bursts from neutron stars plunging into black holes. arXiv 2017, arXiv:1711.09083. [Google Scholar] [CrossRef]
- Thompson, C. Impulsive Electromagnetic Emission Near a Black Hole. Astrophys. J. 2019, 874, 48. [Google Scholar] [CrossRef]
- Wang, Y.K.; Wang, F.Y. Lensing of Fast Radio Bursts by Binaries to Probe Compact Dark Matter. Astron. Astrophys. 2018, 614, A50. [Google Scholar] [CrossRef]
- Zhang, B. The Physical Mechanisms of Fast Radio Bursts. Nature 2020, 587, 45. [Google Scholar] [CrossRef]
- Li, Z.; Gao, H.; Wei, J.J.; Yang, Y.P.; Zhang, B.; Zhu, Z.H. Cosmology-independent estimate of the fraction of baryon mass in the IGM from fast radio burst observations. Astrophys. J. 2019, 876, 146. [Google Scholar] [CrossRef]
- Hashimoto, T.; Goto, T.; Chen, B.H.; Ho, S.C.-C.; Hsiao, T.Y.-Y.; Wong, Y.H.V.; On, A.Y.L.; Kim, S.J.; Kilerci-Eser, E.; Huang, K.; et al. Energy functions of fast radio bursts derived from the first CHIME/FRB catalogue. Mon. Not. R. Astron. Soc. 2022, 511, 1961. [Google Scholar] [CrossRef]
- Zhou, H.; Li, Z.; Liao, K.; Niu, C.; Gao, H.; Huang, Z.; Huang, L.; Zhang, B. Search for Lensing Signatures from the Latest Fast Radio Burst Observations and Constraints on the Abundance of Primordial Black Holes. Astrophys. J. 2022, 928, 124. [Google Scholar] [CrossRef]
- Leung, C.; Kader, Z.; Masui, K.W.; Dobbs, M.; Michilli, D.; Mena-Parra, J.; Mckinven, R.; Ng, C.; Bandura, K.; Bhardwaj, M.; et al. Constraining primordial black holes using fast radio burst gravitational-lens interferometry with CHIME/FRB. Phys. Rev. D 2022, 106, 043017. [Google Scholar] [CrossRef]
- Kader, Z.; Leung, C.; Dobbs, M.; Masui, K.W.; Michilli, D.; Mena-Parra, J.; Mckinven, R.; Ng, C.; Bandura, K.; Bhardwaj, M.; et al. High-time resolution search for compact objects using fast radio burst gravitational lens interferometry with CHIME/FRB. Phys. Rev. D 2022, 106, 043016. [Google Scholar] [CrossRef]
- Connor, L.; Ravi, V. Stellar prospects for FRB gravitational lensing. Mon. Not. R. Astron. Soc. 2023, 521, 4024. [Google Scholar] [CrossRef]
- Venturi, T.; Paragi, Z.; Lindqvist, M.; Bartkiewicz, A.; Beswick, R.; Bogdanović, T.; Brisken, W.; Charlot, P.; Colomer, F.; Conway, J.; et al. VLBI20-30: A scientific roadmap for the next decade—The future of the European VLBI Network. arXiv 2020, arXiv:2007.02347. [Google Scholar]
- Hallinan, G.; Ravi, V.; Weinreb, S.; Kocz, J.; Huang, Y.; Woody, D.P.; Lamb, J.; D’Addario, L.; Catha, M.; Shi, J.; et al. The DSA-2000—A Radio Survey Camera. arXiv 2019, arXiv:1907.07648. [Google Scholar]
- Vanderlinde, K.; Bandura, K.; Belostotski, L.; Bond, R.; Boyle, P.; Brown, J.; Chiang, H.C.; Dobbs, M.; Gaensler, B.; Hinshaw, G.; et al. LRP 2020 Whitepaper: The Canadian Hydrogen Observatory and Radio-transient Detector (CHORD). arXiv 2019, arXiv:1911.01777. [Google Scholar] [CrossRef]
- Ho, S.C.C.; Hashimoto, T.; Goto, T.; Lin, Y.W.; Kim, S.J.; Uno, Y.; Hsiao, T.Y.Y. Future Constraints on Dark Matter with Gravitationally Lensed Fast Radio Bursts Detected by BURSTT. Astrophys. J. 2023, 950, 53. [Google Scholar] [CrossRef]









Disclaimer/Publisher’s Note: The statements, opinions and data contained in all publications are solely those of the individual author(s) and contributor(s) and not of MDPI and/or the editor(s). MDPI and/or the editor(s) disclaim responsibility for any injury to people or property resulting from any ideas, methods, instructions or products referred to in the content. |
© 2025 by the authors. Licensee MDPI, Basel, Switzerland. This article is an open access article distributed under the terms and conditions of the Creative Commons Attribution (CC BY) license (https://creativecommons.org/licenses/by/4.0/).
Share and Cite
Li, J.-H.; Wang, S.-J.; Zhao, X.-Y.; Li, N. Constraining the Primordial Black Hole Mass Function by the Lensing Events of Fast Radio Bursts. Universe 2025, 11, 311. https://doi.org/10.3390/universe11090311
Li J-H, Wang S-J, Zhao X-Y, Li N. Constraining the Primordial Black Hole Mass Function by the Lensing Events of Fast Radio Bursts. Universe. 2025; 11(9):311. https://doi.org/10.3390/universe11090311
Chicago/Turabian StyleLi, Jing-Hao, Shi-Jie Wang, Xin-Yang Zhao, and Nan Li. 2025. "Constraining the Primordial Black Hole Mass Function by the Lensing Events of Fast Radio Bursts" Universe 11, no. 9: 311. https://doi.org/10.3390/universe11090311
APA StyleLi, J.-H., Wang, S.-J., Zhao, X.-Y., & Li, N. (2025). Constraining the Primordial Black Hole Mass Function by the Lensing Events of Fast Radio Bursts. Universe, 11(9), 311. https://doi.org/10.3390/universe11090311

