Next Article in Journal
D-Branes, AdS/CFT, Dynamical Uhlmann Gauge, and Stabilisation of a Closed Causal Loop Geometry
Previous Article in Journal
A Primer on Spacetime Singularities I: Mathematical Framework
 
 
Font Type:
Arial Georgia Verdana
Font Size:
Aa Aa Aa
Line Spacing:
Column Width:
Background:
Article

Dynamical System Analysis of Single-Axion Monodromy Inflation with Periodically Modulated Potentials

by
Panagiotis Dorlis
1,†,
Nick E. Mavromatos
1,2,*,†,
Sotirios-Neilos Vlachos
1,† and
Makarios Vyros
1,†
1
Physics Division, School of Applied Mathematical and Physical Sciences, National Technical University of Athens, Zografou Campus, 15780 Athens, Greece
2
Theoretical Particle Physics and Cosmology Group, Physics Department, King’s College London, Strand, London WC2R 2LS, UK
*
Author to whom correspondence should be addressed.
These authors contributed equally to this work.
Universe 2025, 11(8), 271; https://doi.org/10.3390/universe11080271
Submission received: 11 July 2025 / Revised: 14 August 2025 / Accepted: 15 August 2025 / Published: 17 August 2025
(This article belongs to the Section Cosmology)

Abstract

In this work, we study field theoretic systems of a single axion-like field with linear potentials modulated by cosine terms, allegedly induced by non-perturbative instanton configurations. These systems are considered in expanding-Universe spacetime backgrounds (of Friedmann–Lema i ^ tre–Robertson–Walker-type). Using a dynamical system approach, we classify the various de Sitter-like (inflationary) vacua from the point of view of their stability, which depend on the values of the model parameters. In this respect, bifurcation points are found to be present for the various models under consideration. Part of the parameter space of the systems under consideration includes the running-vacuum (approximately) linear axion monodromy potentials, considered in previous works by some of the authors, where inflation is induced by primordial gravitational wave condensates. A particularly interesting case, corresponding to another part of the parameter space of the models, includes a series of stable de Sitter vacua, which physically may correspond to a series of successive tunnelings of the system, via say non-perturbative effects, with a decreasing effective cosmological constant. Under certain values of the parameters, these successive tunnelings can reach a Minkowski spacetime, with zero value of the minimum of the axion potential. The situation is not dissimilar to the one of discrete inflation that arguably characterizes some minimal non-critical-string (Liouville) models of cosmology. Finally, for comparison, we also include in this article a dynamical system study of standard axion monodromy-modulated potentials characterizing some string/brane compactification models of inflation.

1. Introduction

The dynamical systems approach to cosmology [1] proves to be a powerful tool to study early Universe cosmology, and in particular inflation [2] and its attractor behavior [1,3,4,5,6]. In a recent paper [7], this method has been applied to a model of inflation in the context of a string-inspired [8,9,10,11,12] Chern–Simons (CS) anomalous gravity [13,14]. In this scenario, the inflationary epoch is driven by the formation of a primordial gravitational wave (GW)-induced condensate of the gravitational CS anomaly terms, which couple to a massless axion field b ( x ) , the so-called string-model-independent axion in the standard string terminology [15] (in string theory there also other axions a I ( x ) , I = 1 , 2 , N a coming from string compactification, hence dependent on the details of the underlying microscopic string model).
The condensate leads to a running-vacuum-model (RVM)-type cosmology [16,17]. The inflation in this stringy RVM (StRVM) cosmology is essentially induced by the linear axion potential due to the formation of the CS condensate: 1
V ( b ) = Λ 0 3 b ( x ) ,
where b ( x ) , of mass dimension +1, is a canonically normalized axion field (i.e., has a standard kinetic term 1 2 g μ b μ b in the (3+1)-dimensional effective Lagrangian density after compactification, on a four-dimensional spacetime background with metric g μ ν , μ , ν = 0 , 3 ). The quantity Λ 0 3 , where Λ 0 is a mass scale, is the CS condensate [7,8], which during inflation (suffix “I”) assumes the approximately constant form:
Λ 0 3 = A Re R C S A Re 1 2 R ν ρ σ μ R ˜ μ ν ρ σ = A 2 π 2 b ˙ I M Pl H I M Pl 3 μ 4 ,
where ( ) ˜ denotes the dual of the Riemann tensor in (3+1)-dimensional spacetime, H I is the Hubble parameter during inflation, for which phenomenologically we have [20]:
H I 2.5 × 10 5 M Pl ,
where denotes a condensate of GW modes, whose momenta are cut off in the ultraviolet (UV) at an energy scale μ , and A is the coefficient of the CS gravity, which in string theory is given by [21]:
A = 2 3 1 48 a M Pl ,
which has mass dimension 1 . Above, a = M s 2 is the Regge slope, with M s the string mass scale (which is, in general, different from the reduced Planck mass M Pl ). In the context of string-inspired effective low-energy theories, such as the StRVM [7,8,10], one has:
μ = M s .
It should be remarked at this stage that, to ensure a sub-Planckian string scale, M s M Pl , thus satisfying the trans-Planckian censorship conjecture [22], we need to consider a macroscopic number N I of sources of GW, which enhances the condensate in a way proportional to this number [7,12]. From a physical point of view, the presence of a large number N I compared, say, to the corresponding number of GW sources during the stiff era preceding the inflationary epoch in the StRVM [8,10,11], helps to ensure [7] a constant CS condensate in the transition from the stiff to the inflationary era.
The alert reader should notice that it is the real part (denoted in (2) by “Re”) of the CS condensate that determines the linear axion potential (1), which we use in the dynamical system analysis [7]. Indeed, the existence of imaginary parts in the condensate, which arise in the computation using weak graviton approximation, indicate metastability of the inflationary era, and they help in determining the duration of inflation. The dynamical system analysis, using appropriate boundary conditions, turns out to be remarkably consistent with the condensate analysis [23] insofar as the duration of inflation is concerned between these two approaches. By requiring consistency with the cosmological data [20], pointing towards lifetimes of O ( 50 60 ) e-foldings, one obtains the condition [23]
M s M Pl = O ( 10 1 ) .
Metastability is also crucial for the embedding of the StRVM into a consistent microscopic string theory, thus avoiding the swampland [24,25,26,27].
The linear potentials (1), (2), are valid for the entire range of values of the axion field b ( x ) R , and not only for large values (compared to a fundamental mass scale), as is the case of the so-called axion monodromy potentials that characterized cosmological models from string/brane theory [28], after compactification to (3+1) spacetime dimensions. For these latter systems, on assuming a single dominant compactification-axion species for concreteness and brevity, the potential of the (dimensionless) axion (a) field has the form:
V ( a ) = ϵ g s ( 2 π ) 5 a 2 4 + a ( x ) 2 ,
where ϵ is a constant related to the appropriate brane compactification in the model, > 1 is a dimensionless positive number that is associated with the size of the compact dimensions (e.g., a five brane wrapped around a two cycle Σ ( 2 ) [28]), taken for simplicity here to have a typical radius of order a , and g s is the string coupling. This potential leads to a linear axion potential for large values of the (dimensionless) axion field | a ( x ) | 2 ,
V ( ϕ a ) Λ a 3 | ϕ a ( x ) | , Λ a 3 ϵ g s ( 2 π ) 5 M s 4 f a Λ 2 4 f a ,
where f a is the compactification-axion-a coupling, of mass-dimension + 1 , corresponding to the canonically normalized axion field ϕ a , of mass dimension + 1 , obtained from the dimensionless field a by the redefinition f a a = ϕ a . On comparing (1) with (8), we observe that, in the former case the linear axion behavior is exact, due to the exact one-loop nature of the CS anomaly term, while in the latter case, the linear behavior of the axion potential is approximate, valid only for the regime of relatively large fields, compared to an appropriate fundamental mass scale. Moreover, in this case the potential is symmetric under the field reflection a ( x ) a ( x ) , in contrast to the condensate-inflation case (1), in which the axion field has different behavior on negative values.
In [23], we consider the effects of gauge-field instantons in the target-space of the microscopic string model underlying the StRVM effective low-energy cosmology of [8,10]. These provide periodic modulation of the linear axion potential (1):
V inst = Λ 0 3 b ( x ) + Λ 1 4 cos b ( x ) f b ,
where Λ 1 = ξ M s 4 exp S inst is the scale of the instantons, ξ is some phenomenological number, and S inst 1 is the large Euclidean instanton action in (3+1)-dimensional spacetime after string compactification in the StRVM. The parameter f b > 0 , with mass dimension + 1 is the coupling of the string-model-independent axion field b ( x ) , which in the StRVM assumes the value:
f b = 1 16 π 2 A = 3 2 3 π 2 M s 2 M Pl 0.37 M s 2 M Pl ,
given that the axion coupling f b is defined as the inverse of the coefficient in the (3+1)-dimensional action term of the gauge anomaly 1 f b 1 16 π 2 d 4 x Tr F μ ν F ˜ μ ν , where the quantity under integration is associated with the Pontryagin index [29], and equals 16 π 2 n , where n Z is an integer. This explains the periodic modulation (9) of the axion potential due to gauge instanton configurations.
In [23], the effect of instantons with actions of O ( 5 ) , and ξ = O ( 1 ) in the expression for the scale Λ 1 , which were compatible with strongly coupled Yang–Mills couplings g YM , corresponding to fine structure constant g YM 2 4 π = O ( 1 ) , has been shown to amount to a permil shift of the values of the corresponding slow-roll inflationary parameters [2] of the axion potential (9). This results in a shift of the value of the inflationary spectral index n s , so that it is now closer to the central value inferred by the cosmological measurements [20]. This case, corresponds to the following scale hierarchy:
Λ 0 Λ 1 .
In such a limiting case, the classification of the inflationary points by means of the dynamical system analysis can be provided exclusively by the linear term in the potential (9), for all practical purposes, in the way studied in [7,23].
Periodic modulations due to world-sheet instantons can also affect the compactification-axion monodromy potential ϕ a ( x ) of ref. [28], mentioned above, cf. (7), which assumes the form:
V ( ϕ a ) ws inst = ϵ 2 g s ( 2 π ) 5 M s 4 1 + ϕ a ( x ) 2 f a 2 + Λ ws 4 cos ϕ a ( x ) 2 π f a .
In (12), the scale Λ ws pertains to the world-sheet instantons of the underlying brane/string model [28]. In the large-field limit, ϕ a 2 f a , one obtains from (12) a periodically modulated potential (8), that is,
lim ϕ a 2 f a V ( ϕ a ) = Λ a 3 | ϕ a ( x ) | + Λ ws 4 cos ϕ a ( x ) 2 π f a .
In this work we would like to go beyond the cases examined above, and consider periodically modulated potentials of the form (9) or (12), but keeping the hierarchy of scales Λ 0 , Λ 1 and Λ 2 , Λ ws , respectively, for the two cases, arbitrary. Such a general case could characterize generic CS gravity models [13,14], where the coupling A is no longer given by (4), but considered as a phenomenological parameter. Similarly, (5) is no longer valid in general, since the underlying theory might not be strings, in which case a natural value of the graviton UV cutoff μ should be M Pl . With generic values of the CS parameter A, the hierarchy between the scales Λ 0 and Λ 1 in (9) is kept free, and one should examine cases in which the magnitude of the scale of the periodic modulation terms is larger, of similar order, or smaller than that of the linear terms. Similar general considerations can also be adopted for the string/brane compactification-axion case (12), studied in [28].
Our aim is to use dynamical systems analysis for such generalized axion cosmologies, and study the emergence and (meta)stability of inflationary de Sitter-like points, following our previous study in [7]. We commence our analysis with the study of potentials of the form (9) for the string independent axion b ( x ) . Then, we perform the analysis for the string/membrane-inspired model for the compactification-axion a ( x ) , with potential (12). We shall seek fixed points in the dynamical system phase space and examine their stability, generalizing the analysis in [7]. We are particularly interested in points corresponding to metastable de Sitter vacua, which are in principle embeddable in microscopic UV complete quantum gravity models, and are associated with phenomenologically realistic inflation life times of O ( 50 60 ) e-foldings [2,20], but we shall also demonstrate the presence of saddle points, as well as points corresponding to eternal de Sitter spacetimes (the latter are excluded as consistent quantum-gravity theories according to the swampland criteria [24,25,26,27]). The presence of periodic modulations in the linear (or square root-type, in the string/brane compactification case) potentials, leads, under some conditions, to an interesting sequence of fixed points, such that the corresponding cosmology passes through a series of tunnelings before settling down to a stable vacuum. We therefore hope that our classification and conclusions in the current article will prove to be of complementary use in studies of inflationary models, even beyond the axionic ones.
The structure of the article is the following: in the next Section 2, we discuss the general formalism to be used in the dynamical system analysis of an axion cosmology with a potential V ( b ) given by (9). We parametrize the relative scale hierarchy between Λ 0 and Λ 1 by using a suitable set of parameters γ and δ (see (29) below) and λ ˜ (see (38)). In Section 3, we study the case λ ˜ 0 and γ < 0 and its stability. In Section 4, we study the classification of the models corresponding to different values of the ratio γ / δ . Our aim is to determine phenomenologically interesting models of metastable inflation, with duration 50–60 e-foldings, or points in the respective phase space corresponding to eternal de Sitter spacetimes. In Section 5, we study the case λ ˜ < 0 and γ < 0 and its stability. In Section 6, we repeat the above analysis for some cases in the string/brane-inspired model of [28], described by a compactification-axion potential of the form (12), where now the periodic modulations come from world-sheet instantons of the underlying string/brane microscopic theory. Finally, Section 7 contains our conclusions. Some technical aspects of our work, concerning the pure-cosine potential case, as well as some mathematical aspects of stability criteria, including the use of center manifold theory [1,30,31] to study the stability of two special cases (the case with | γ / δ | = 1 , characterized by a sequence of saddle fixed-points, and the infinite-compactification radius (formal) case of the string/brane-inspired model [28]), are given in Appendix A, Appendix B and Appendix C, respectively.

2. Dynamical Systems Analysis of (Pseudo)Scalar Field Cosmology: General Formalism

In this section, we study the dynamics of a (pseudo)scalar field cosmology by considering a minimally coupled (pseudo)scalar field in a Friedmann–Lema i ^ tre–Robertson–Walker (FLRW) spacetime geometry. Our basic goal here is to translate the Friedmann and Klein–Gordon equations, that govern the cosmological evolution, into the language of dynamical systems [32]. Following the analysis presented in [7], we consider the general action for a minimally coupled interacting (pseudo)scalar field b ( x ) :
S = d 4 x g R 2 κ 2 1 2 ( μ b ) ( μ b ) V ( b ) ,
where V ( b ) denotes a self-interaction potential for the b ( x ) field. As usual, the gravitational field equations are given by:
G μ ν = κ 2 T μ ν b ,
where G μ ν = R μ ν 1 2 g μ ν R is the Einstein tensor, and
T μ ν b = μ b ν b 1 2 g μ ν ( b ) 2 g μ ν V ( b )
is the stress energy tensor of the (pseudo)scalar field b. After varying (14) with respect to the field b ( x ) , we obtain the Klein–Gordon equation in curved spacetime:
b V , b = 0 ,
where commas denote functional differentiation with respect to the field b ( x ) . We consider a spatially flat FLRW spacetime line element,
d s 2 = d t 2 + α 2 ( t ) δ i j d x i d x j ,
with α ( t ) denoting the scale factor (we take α 0 = 1 for today’s value, as usual). With this choice of spacetime, the gravitational equations of motion (15) reduce to the Friedmann equations, that is:
3 H 2 = κ 2 b ˙ 2 2 + V ( b ) ,
2 H ˙ + 3 H 2 = κ 2 b ˙ 2 2 V ( b ) H ˙ = ( 19 ) 1 2 κ 2 b ˙ 2 ,
and the Klein–Gordon equation for the scalar field assumes the form:
b ¨ + 3 H b ˙ + V , b = 0 .
In our cosmological setting, the energy density and the pressure for the scalar field fluid are given by:
ρ b = b ˙ 2 2 + V ( b ) , p b = b ˙ 2 2 V ( b ) ,
where the equation of state (EoS), p b = w b ρ b , is dynamical for the (pseudo)scalar field and reads:
w b = b ˙ 2 2 V ( b ) b ˙ 2 2 + V ( b ) ,
which takes on values in the range from 1 (dominance of potential energy) to + 1 (dominance of kinetic energy). The former scenario is physically appealing, as the (pseudo)scalar field can give rise to inflation. We aim to study the cosmological evolution as a dynamical system with the potential for b ( x ) given by [23]:
V ( b ) = Λ 0 3 b + Λ 1 4 cos b f b ,
with Λ 0 , Λ 1 corresponding to two different energy scales introduced to this model. Such potentials have been motivated in the introduction of the current paper.
Before proceeding with the solutions of the dynamical systems that correspond to the Equations (19)–(21), it is important to make come comments regarding the (approximate) mapping of the gravitational anomaly condensate-induced inflationary scenario of [7,23], within the framework of CS gravity [13], onto an axion-like system with potentials of the form (24). An important feature of such a CS-gravity model is a linear coupling of the axion to the gravitational CS term, which, upon condensation of the anomaly terms, induced by primordial GWs, leads to an axion system with an (approximately) linear potential, plus periodic modulations, of the form (24).
However, contrary to the simple system (14), discussed above, a non-trivial gravitational anomaly, as is the case of cosmologies with primordial GWs, leads [13] to the presence of non-trivial components of the Cotton tensor, stemming from the gravitational variation of the CS anomaly terms, on the left-hand-sides of Equation (15). This drastically changes the picture, as far as the existence of inflationary solutions with H = H I constant 0 , b ˙ constant 0 , is concerned. Indeed, the condensation of the CS anomaly implies the consistency of such solutions, in contrast to the simplified Friedmann Equations (19) and (20), which necessarily imply b ˙ = 0 during the inflationary era, for which H = constant . Nonetheless, as demonstrated in [7], there is a remarkable consistency between the features of CS-condensate-induced inflation and the dynamical system analysis, based on potentials of the form (24). Indeed, the analysis of [7], has demonstrated that, during the phenomenologically relevant [20] inflationary era (cf. (3)), determined by an appropriate choice of the initial conditions of the corresponding dynamical system, one has b ˙ 10 1 H I M Pl , which, on account of (20) and (3), would give,
| H ˙ I | 5   ×   10 3 H I M Pl H I M Pl 1.25 × 10 7 H I M Pl H I M Pl ,
thus implying that, to an excellent approximation, the slow-roll conditions for inflation are satisfied, being correctly captured by the dynamical system of [7]. Moreover, the latter reproduces all the essential features of the condensate-induced inflation of [8,10,11]. This motivates the approximate use of dynamical systems even for the modulated anomalous-CS-condensate gravity cases, based on the potential (24), examined in this work.
We are now ready to embark on our analysis of the dynamical system corresponding to the Equations (19)–(21), with the potential (24). To this end, we first note that the derivatives of the potential with respect to the b ( x ) -field are given by:
V , b ( b ) = Λ 0 3 Λ 1 4 f b sin b f b , V , b b ( b ) = Λ 1 4 f b 2 cos b f b .
We may now introduce the dimensionless Expansion Normalized (EN) variables [1,32]:
x = κ b ˙ 6 H , y = κ | V | 3 H ,
where, we can see that, by its definition, the variable y is always non-negative, y 0 . This provides a (by-definition) constraint on the physical phase space. Squaring (27), we obtain:
b ˙ 2 = 6 x 2 H 2 κ 2 and | V | = 3 y 2 H 2 κ 2 .
We can assume that V > 0 , since we are solely interested in de Sitter-like spacetimes. Also, we introduce the parameters of our problem:
γ Λ 0 3 κ Λ 1 4 and δ 1 κ f b ,
where the γ parameter gives the relative scale between the linear and cosine terms of the potential (24). Another constraint on the physical phase space comes from the Friedmann Equation (19) (Friedmann–Hamiltonian constraint), which takes the following form:
x 2 + y 2 = 1 .
With the above variables, we can finally express the Equations (19)–(21) as a dynamical system of ordinary differential equations (ODE), as we will demonstrate below. In order to derive the equations for x and y , where the prime denotes differentiation with respect to the quantity N = log α ( t ) , we use Equation (20), and obtain:
2 H ˙ + 3 H 2 = κ 2 b ˙ 2 2 V ( b ) 2 3 H ˙ H 2 + 1 = κ 2 b ˙ 2 6 H 2 + κ 2 V 3 H 2 H ˙ H 2 = 3 2 x 2 y 2 + 1 .
We now consider the derivative of x and y with respect to N = log α :
x d x d N = 1 H d x d t = 1 H κ b ¨ 6 H κ b ˙ H ˙ 6 H 2 = κ b ˙ 6 H b ¨ b ˙ H H ˙ H 2 = x b ¨ b ˙ H H ˙ H 2 .
In the last equality in (32), the two terms in the brackets can be calculated by using the equation of motion for the axion (21) and also (31). From the Klein–Gordon equation, we get:
b ¨ + 3 H b ˙ = V , b b ¨ b ˙ H = 3 V , b b ˙ H .
Using the definitions of the variables (27) we have:
b ¨ b ˙ H = 3 κ V , b 6 x H 2 = ( 28 ) 3 3 2 y 2 V , b x κ V 3 + 3 2 y 2 x λ
where we have defined the variable:
λ V , b κ V .
Thus, on substituting Equations (31) and (33) into (32), we obtain the equation for x :
x = 3 2 2 x x 3 + x y 2 1 2 3 λ y 2 .
Following similar steps presented as in [1,7] we easily arrive at the following ODE dynamical system:
x = 3 2 2 x x 3 + x y 2 1 2 3 λ y 2 y = 3 2 y x 2 + y 2 1 + 2 3 λ x λ = 6 ( Γ 1 ) λ 2 x
where we have defined:
Γ V V , b b V , b 2 .
The above dynamical system (35) is invariant under the transformation y y , so the dynamics for negative values of y would be a copy of the one for positive values [1]. Note also that we are assuming H > 0 in order to describe an expanding Universe, of interest to us here. In general as Γ , λ are functions of b we can write Γ = Γ ( λ ) , provided that the function λ ( b ) is invertible so that we can obtain b ( λ ) , and thus write Γ ( b ( λ ) ) . Unfortunately, our λ ( b ) is not invertible, as will be shown below, and, as a consequence, this approach fails to close the equations to an autonomous system. Indeed, this follows by first noting that the system (35) can be reduced, due to the Friedmann constraint (30), to a two-dimensional (2D) system of ODE, by eliminating the y variable:
x = ( x 2 1 ) 3 x 3 2 λ λ = 6 ( Γ 1 ) λ 2 x .
This relation holds for a general potential, within the EN formalism. In our choice of potential (24), λ takes the following form:
λ = V , b κ V = δ δ γ sin ( δ z ) 1 δ γ cos ( δ z ) + δ z with z κ b ,
which proves the non-invertible nature of λ ( b ) , as announced. This, in principle, urges us to restrict our analysis in a interval for z and obviously avoid values of z when the λ is ill defined, i.e., when V = 0 or equivalently δ γ cos ( δ z ) + δ z = 0 .
Now, we define the variables:
λ ˜ 1 κ b and x cos φ ,
with φ [ 0 , π ] and λ ˜ R . The EoS (23) in this formalism takes the form:
ω b = x 2 y 2 x 2 + y 2 = cos 2 φ sin 2 φ ,
and as such, each vertical line on the phase space corresponds to a definite EoS of the axion and a phase of the Universe. On noting that:
λ ˜ d λ ˜ d N = 1 H d λ ˜ d t = 1 κ H d d t 1 b = b ˙ κ H b 2 = 6 cos φ κ 2 b 2 λ ˜ = 6 cos φ λ ˜ 2 ,
we have the 2D autonomous dynamical system given by the equations:
φ = 3 cos φ 3 2 λ ˜ + λ ˜ δ γ sin δ λ ˜ 1 λ ˜ γ cos δ λ ˜ sin φ , λ ˜ = 6 cos φ λ ˜ 2 .
It is worth noting, that the transformation δ δ , does not change our system (41), so without loss of generality we assume that δ 0 , and we exclude the case δ = 0 due to a lack of physical interpretation, given that such a case corresponds to an infinite axion coupling (which would also violate the trans-Planckian censorship conjecture [22], hence such a case is excluded automatically under this assumption). From now on, therefore, we impose the restriction δ 1 .
Furthermore, the system (41) is not invariant under the simultaneous transformations ( φ π φ , λ ˜ λ ˜ ). So we have generally four distinctive cases λ ˜ > 0 and γ > 0 , λ ˜ 0 and γ < 0 , λ ˜ 0 and γ > 0 , λ ˜ < 0 and γ < 0 (obviously the case when λ ˜ = 0 corresponds to that of κ b ± which has been fully studied in [7], whilst γ = 0 corresponds to the purely cosine case, see Appendix A). We note next that, if we consider the simultaneous transformations ( φ π φ , λ ˜ λ ˜ , γ γ ), the dynamical system (41) is invariant. This means that we can actually just study two of the above cases, and obtain the rest by a mere reflection transformation. In what follows, therefore, inspired by the well studied case of [7], we first choose to analyze the models with λ ˜ 0 and γ < 0 . Then, we will study the case with λ ˜ < 0 and γ < 0 .

3. Dynamical System for the Case λ ˜ 0 and γ < 0 and Its Stability Analysis

We bound the phase space through the following change of variable:
ζ = λ ˜ λ ˜ + 1 λ ˜ = ζ 1 ζ ,
which takes on values in the region ζ [ 0 , 1 ) , for λ ˜ [ 0 , + ) . Thence, the system of ODE (41) reads:
φ = 3 cos φ 3 2 ζ + ζ δ γ sin 1 ζ ζ δ 1 ζ ζ 1 γ cos 1 ζ ζ δ sin φ ζ = 6 cos φ ζ 2 ,
where φ [ 0 , π ] and ζ [ 0 , 1 ) (cf. (38)).

Stability Analysis

Now we want to study the stability of the system (43). To this end, we should first determine the critical (fixed) points of our dynamical system, i.e., the points ( φ , ζ ) which satisfy:
φ = ζ = 0 .
It is not difficult to see that, in order to satisfy (44), we are forced, from the ζ equation of (43), to have either φ = π / 2 or ζ = 0 , or both.
For ζ = 0 , and φ generic, we obtain, on substituting onto the φ equation of (43):
cos φ sin φ = 0 φ = π / 2 or φ = π or φ = 0 ,
and hence we have the critical points ( φ , ζ ) to be O 1 = ( 0 , 0 ) , A 1 = ( π / 2 , 0 ) , B 1 = ( π , 0 ) .
For the option φ = π / 2 , and ζ generic, on the other hand, the φ equation of (43) yields:
ζ + ζ δ γ sin 1 ζ ζ δ = 0 ,
which leads to two families of solutions:
ζ 1 = δ π + δ + arcsin γ δ + 2 π c 1 and ζ 2 = δ δ arcsin γ δ + 2 π c 2 with c 1 , 2 Z .
Note that we are obliged to assume that | γ / δ | 1 , and we have further assumed that ζ , γ , δ 0 , 2 and that the denominator of ζ 1 , 2 is non-zero, in order to avoid ill-defined ζ 1 , 2 . Thus, we have also the infinite critical points C c 1 ( γ , δ ) = π / 2 , ζ 1 and D c 2 ( γ , δ ) = π / 2 , ζ 2 . Of course, ζ 1 , 2 must lie in the interval ( 0 , 1 ) and this imposes restrictions on c 1 , 2 . On noting that the case ζ = 0 , which we have examined before, corresponds to a smooth limit c 1 , 2 + , we can extend the range of validity of ζ 1 , 2 to the interval [ 0 , 1 ) . In that case, for ζ 1 we have:
0 ζ 1 < 1 δ π + δ + arcsin γ δ + 2 π c 1 < 1 π + arcsin γ δ + 2 π c 1 > 0 ( γ = δ ) c 1 > 1 4 c 1 N { 0 } ,
while for ζ 2 we obtain:
0 ζ 2 < 1 δ δ arcsin γ δ + 2 π c 2 < 1 2 π c 2 > arcsin γ δ ( γ = δ ) c 2 > 1 4 c 2 N { 0 } .
It is instructive to see how the aforementioned two families intuitively correspond to the critical points of the original potential. Essentially, as we want de Sitter-like spacetimes, we must impose the condition V > 0 for all values of b / f b . For our potential (24) we have that:
V , b = 0 sin b f b = Λ 0 3 f b Λ 1 4 γ δ b f b = π arcsin γ δ 2 π c 1 or b f b = arcsin γ δ 2 π c 2 ,
where c 1 , 2 N { 0 } , and we call these two solutions b 1 , 2 , respectively. Thus, there are two families of solutions of critical points, in accordance with the two families of critical points of the dynamical system (43), by means that there is an one to one mapping between them. The first family is a family of local minima because:
V , b b b = b 1 = Λ 1 4 f b 2 cos π arcsin γ δ 2 π c 1 = Λ 1 4 f b 2 cos arcsin γ δ = Λ 1 4 f b 2 1 γ δ 2 0 .
Hence, the first family corresponds to minima. Similarly, for the second family of fixed points, we have:
V , b b b = b 2 = Λ 1 4 f b 2 cos arcsin γ δ 2 π c 1 = Λ 1 4 f b 2 cos arcsin γ δ = Λ 1 4 f b 2 1 γ δ 2 0 .
Therefore, the second family corresponds to maxima 3. We restrict ourselves to the case V > 0 , so that the analysis is valid (implying only de Sitter-type vacua (c.f. Figure 1)). This leads to V ( b ) / Λ 1 4 > 0 at the minimum where c 1 = 0 and corresponds to the first family (namely C c 1 ( γ , δ ) = π / 2 , ζ 1 ). We impose:
V ( b ) Λ 1 4 b = b 1 = γ δ π arcsin γ δ + cos π arcsin γ δ = γ δ π arcsin γ δ 1 γ δ 2 > 0 .
A study of this function of γ / δ , reveals that it is positive only when
γ δ [ 1 , 0.3365 ) ,
for which the critical points correspond to de Sitter expansion. 4
A possible physical interpretation of the series of de Sitter vacua depicted in Figure 1 (left panel) is given at the end of Section 4. Also in Figure 1 (right panel), we depict the potential in the case when | γ / δ | 1 . This case is to be understood as the case in which the potential becomes approximately linear with minor modulations.
The Jacobian (stability) matrix needs to be calculated so as to study the stability of the critical points. At each hyperbolic fixed point the stability can be determined from the eigenvalues of the Jacobian directly, and those eigenvalues have non-zero real part. If one eigenvalue is zero, corresponding to a center space, more advanced techniques such as center manifold theory should be implemented in order to draw safe conclusions on the stability of the critical points and these points are called non-hyperbolic critical points with one eigenvalue having zero real part [1,30,31]. The Jacobian (stability) matrix reads:
J ( φ , ζ ) = φ φ φ ζ ζ φ ζ ζ = A ( γ , δ , ζ , ϕ ) 3 sin 2 φ + 3 cos 2 φ B ( γ , δ , ζ , ϕ ) 6 ζ 2 sin φ 2 6 ζ cos φ
where
A ( γ , δ , ζ , φ ) 6 ζ cos φ γ + δ sin 1 ζ ζ δ 2 γ ( ζ 1 ) + 2 ζ cos 1 ζ ζ δ ,
and
B ( γ , δ , ζ , φ ) 3 2 sin φ ζ γ 2 + 2 γ δ sin 1 ζ ζ δ + δ 2 + γ δ 2 ( ζ 1 ) cos 1 ζ ζ δ ζ γ ( ζ 1 ) + ζ cos 1 ζ ζ δ 2 .
Now, we want to find the eigenvalues of the Jacobian matrix at the critical points. The points O 1 , A 1 , B 1 corresponding to ζ = 0 , λ ˜ = 0 , are fully described by the dynamical system with a linear axion potential analyzed in [7], given that the limit ζ 0 is equivalent to | γ | . Thus, these fixed points are unstable, saddle or unstable, respectively. For a study of the two families of critical points, viz. C c 1 ( γ , δ ) , D c 2 ( γ , δ ) the straightforward approach is somewhat tedious, and, as such, some technical aspects are presented in Appendix B, where we provide the stability analysis. Essentially, the C c 1 ( γ , δ ) family corresponds to stable spiral/node fixed points whereas the D c 2 ( γ , δ ) to saddles. For example, by choosing γ = 3.7 and δ = 10 , the stability of the two families, for different values of c 1 , c 2 N { 0 } , is depicted in Table 1 and Table 2, where the above claims become clear. The behavior of the dynamical system (43), as far as the critical points and their stability are concerned, is summarized in Table 3.

4. Classification of Inflationary Vacua for Different Values of γ / δ

From the above critical-point analysis, it follows that our dynamical system (43) is characterized by qualitatively different phase spaces, and consequently stability behavior, depending on whether | γ / δ | 1 or | γ / δ | 1 . The former case contains the two families of critical points C c 1 ( γ , δ ) , D c 2 ( γ , δ ) , while the latter, in which such families are absent, is qualitatively similar to the case studied in [7]. In other words, at | γ / δ | = 1 , bifurcation of the critical points occurs [33] (see also note Section Stability Analysis, as well as the detailed discussion on the nature of the stability of this case in Appendix C.1 of Appendix C, where it is also shown that the fixed points correspond to a family of saddle points). With these remarks in mind, we now proceed to study inflation in these regimes for the potential (24), giving emphasis on determining phenomenologically interesting (metastable) inflationary scenarios.

4.1. Case Where | γ / δ | 1

In this case only the critical points identified at infinity κ b exist. This case is well understood from the work in [7]. Indeed, when | γ | is sufficiently large compared to δ , the system reduces approximately to that in [7], but with characteristic modulations in the trajectories and EoS. Since we wish to confirm the phenomenologically relevant choices made in [23] via our dynamical system analysis, we set:
δ = 270 , Λ 0 3 0.768 · 10 7 M Pl 3 , Λ 1 4 5.63 · 10 15 M Pl 4 | γ | 1.36 · 10 7 1 ,
which guarantees the dominance of the linear term in the axion potential. The results are depicted in Figure 2, for different initial conditions. The shaded rectangular region in the phase space (for this and all subsequent phase portraits in this article) corresponds to an accelerated expansion, with EoS ω b 1 / 3 . To plot the EoS ω b we used (39).
Since not all initial conditions can lead to an inflationary state, it is evident that a selection of the initial conditions is in order. By selecting appropriately the initial values for φ , ζ , we obtain a characteristic cosmological scenario that encapsulates phenomenologically relevant results. As becomes evident from Figure 2, for a fixed initial choice of φ , only a specific range of initial ζ give us the desired inflationary phenomenology [20], i.e., a number of e-foldings in the range N e = O ( 50 60 ) . It is worth mentioning that in our case, where modulations are present, inflation is slightly prolonged compared to the linear axion potential [7], that is, we have a larger number of e-folds with the same initial conditions 5.
In [7], it was argued that the linear axion potential emerged from the condensation of (primordial) gravitational waves. Inflation in that model was preceded by a stiff era, and thus the system was initially resting at O 1 ( 0 , 0 ) critical point, where, basically, any small perturbation would have triggered inflation 6. Suitable initial conditions were required in order to obtain the correct phenomenology and a de Sitter-like Universe, which remarkably lead to similar results as in the StRVM approach of [8,10,11]. In the modulated case studied in this article, initial conditions close to the ζ = 0 line also give us inflation. In the aforementioned regime of parameters (53), the modulations in the phase space and EoS exist, but are extremely small, since the linear term in the axion potential (24) dominates the cosine one by many orders of magnitude. So, it is instructive to see the profiles of other, not so extreme, cases of | γ / δ | 1 . For instance, we pick δ = 5 and γ = 10 (cf. Figure 3), as a characteristic case. Now the modulations are profound. In this case, for the initial condition φ i = 0.01 , the correct phenomenology of N e = O ( 50 60 ) is obtained only for the range ζ i = [ 0.064 , 0.069 ] . Moreover, we cannot have | γ | < 1 , since we must preserve the condition | γ / δ | 1 (recall that δ 1 .) Hence, the phase space cannot exhibit a purely cosine behavior as in the | γ | 1 case, studied in Appendix A.

4.2. Case Where | γ / δ | 1

In this case, besides the critical points at infinity, we also have an infinite number of fixed points that belong to the two families C c 1 ( γ , δ ) and D c 2 ( γ , δ ) . The phase space displays different qualitative behavior compared to the case studied in the previous subsection. We choose for concreteness the case δ = 10 and γ = 3.7 . We depict the situation for the relevant phase spaces in Figure 4 and Figure 5, focusing our attention on specific regions of the phase portraits that reveal the distinctive nature of the different critical points in the aforementioned families.
In the phase space we have saddle and stable (spiral/node) fixed points. The latter category implies that, under appropriate initial conditions, one can obtain cosmological settings with eternal inflation, provided that the trajectory is attracted to such a stable critical point. On the other hand, as becomes clear from Figure 4, under different initial conditions the system transits to another phase, without passing through inflation.
In addition, we can find appropriate γ , δ with | γ / δ | 1 such that inflation is realized, with relevant initial conditions. This means that we can find initial conditions for which inflation is achieved and is characterized by a graceful exit, with the phenomenologically relevant duration [20] N e = O ( 50 60 ) , for instance by choosing γ = 60 and δ = 100 . The relevant phase portraits are depicted in Figure 6.
This should come as no surprise, since in this case despite | γ / δ | 1 , with the value | γ | = 60 1 , one obtains the dominance of the linear axion term in the potential (24), but with significant periodic modulations.
A remark is in order at this point concerning the limiting case | γ / δ | 1 ϵ with ϵ 0 + . In this limit the pertinent phase portrait changes qualitatively, and in this sense we have a bifurcation curve in the phase space (see Figure 2 and Figure 4 upper panel).
We also remark, for completeness, that in the case | γ / δ | 1 , there is no GW-induced condensate inflation of the type discussed in [7]. This is due to the fact that the pertinent equations of motion of the b-axion field imply a constant axion, b ˙ = 0 , and hence, a vanishing gravitational anomaly condensate (which is proportional to b ˙ ).
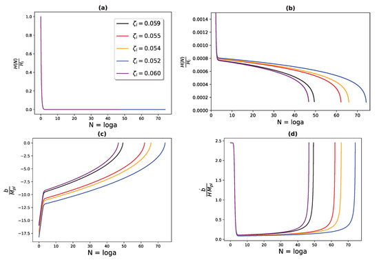
At this point we make some comments regarding the slow-roll features of the inflationary state for the aforementioned scenarios. From (20), one observes that a sufficient condition for the slow-roll condition (25) to be satisfied is to have b ˙ O ( 0.1 ) H M Pl , which was the situation encountered in [7]. This characterizes the cases discussed above. Indeed, on using Equation (27), with y = sin φ , we observe that the evolution of the Hubble rate is given by:
H ( N ) H i = γ 1 1 / ζ + cos δ 1 1 / ζ γ 1 1 / ζ i + cos δ 1 1 / ζ i sin φ i sin φ ,
where the subscript i denotes initial values. Similarly, from the definition (27) of the EN variables, and Equations (38) and (42), we find that the evolution of the b field and its time derivative b ˙ read:
b M Pl = 1 1 ζ , b ˙ H M Pl = 6 cos ϕ .
The corresponding results are depicted in Figure 7, Figure 8 and Figure 9, from which we easily observe that the conditions for a slow-roll inflation are comfortably satisfied. Indeed, from Figure 7a,b (upper panels), we observe that the Hubble rate decreases quickly, until it assumes an approximately constant value H I const . , which characterizes a de Sitter phase. In Figure 7c,d (lower panels), on the other hand, we depict the behavior of b and b ˙ during inflation (which lasts O ( 50 60 ) e-foldings). We deduce that, since b , b ˙ remain in the same order of magnitude, we have the relations:
| b | M Pl O 10 , b ˙ H I M Pl O 10 1 ,
similarly to the situation in [7].
We now come to a discussion on the potential physical significance of the discrete series of the stable critical points of the first family C c 1 ( γ , δ ) depicted in Figure 1, each of which corresponds classically to a stable (eternal) de Sitter vacuum. Inspecting the form of the series of vacua, with descending values of the potential at the local minima, as the value of the field b approaches zero from the left, we may conjecture that such a series describes a situation of a Universe, which passes (e.g., via quantum tunneling effects) through a discrete series of de Sitter vacua until it reaches asymptotically the vacuum that corresponds to a zero value of the potential, which could be viewed as a Minkowski equilibrium spacetime, when | γ / δ | = 0.3365 (cf. Figure 1). When | γ / δ | > 0.3365 , a remnant of a quite small effective cosmological constant can be obtained, which might be relevant for the current de Sitter phase of the Universe.
It is interesting to notice that such a discrete series of inflationary vacua has been argued also to characterize Liouville-string cosmologies [34], based on unitary minimal conformal models as their “internal” spaces. The latter have central charges c n , which approach from below accumulation points with integer or half-integer values, c n = c O ( 1 n ) , with c Z 2 . In such models, the internal spaces are direct products of the aforementioned minimal conformal theories, which constitute the basic “building blocks”, yielding a total central charge for the corresponding Liouville (non-critical string) model of the form C = 22 + δ c . The quantity δ c is the so-called central charge deficit in the language of non-critical (Liouville) strings. The authors of [34] argued that the fact that the central charges of all the building-block conformal field theories are 1 2 , implies that each member of the infinite family of “internal” spaces contains only a finite number of building-block conformal theories, and as such, the central charge deficit δ c can only take on discrete values. Given that each of these discrete “internal” spaces corresponds, according to the approach of [34], to a given cosmology, one arrives at the conclusion that, in such a construction, there is only a discrete set of values that the Hubble expansion rate of the Universe can take, leading to a discrete series of inflationary vacua, as in our case above. At present, a formal connection of our approach with such non-critical discrete Liouville cosmologies is not derived, but we thought it would be interesting to mention it as another case of realization of a discrete series of de Sitter spacetimes.
Since, as mentioned above, the case λ ˜ 0 , γ < 0 , with | γ / δ | 1 , which includes this discrete series of vacua (see Figure 1), does not include the inflationary scenario of [7], this series of de Sitter vacua cannot be smoothly embedded in that framework. Nonetheless, there is the possibility that such a series arises at a post-inflationary era of the StRVM model [7,8,9,10,11]. This can happen, for instance, due to an as yet unknown microscopic mechanism of generation of such a series of de Sitter vacua, through some kind of phase transition, by means of which a post-inflationary StRVM Universe finds itself in one of these vacua. From then on, it evolves through a series of tunneling effects so that a Minkowski spacetime is reached asymptotically (cf. Figure 1). It is currently unknown whether such a mechanism can explain the observed accelerated expansion of the Universe, corresponding to the present-era value of the cosmological constant [20], but we think that such speculative scenarios are worthy of further exploration.

5. Dynamical System for the Case λ ˜ < 0 and γ < 0 and Its Stability Analysis

In the previous section we established a lower bound (51), for the ratio | γ / δ | , in order to have a de Sitter spacetime. Now, in this case we must have:
V > 0 γ z + cos δ z > 0 , with z κ b .
Since γ < 0 and z > 0 , it follows that (57) is true when and only when cos δ z > 0 , implying δ z < π / 2 , and z variable is bounded and belongs to z [ 0 , r ) where r is the root of the equation V = 0 or equivalently γ z + cos δ z = 0 . This equation does not have analytical solution 7, but for every choice of γ , δ has a solution. The first solution that corresponds to V = 0 is r, as our analysis no longer holds after this point. Thus, we have the dynamical system:
φ = 3 cos φ 3 2 δ δ γ sin ( δ z ) 1 δ γ cos ( δ z ) + δ z sin φ z = 6 cos φ ,
where φ [ 0 , π ] , z [ 0 , r ) . To find the critical points (44) of (58), we notice that from z equation implies φ = π / 2 and hence from φ equation we obtain:
δ γ sin ( δ z ) 1 = 0 z 1 = π arcsin γ δ + 2 π c 1 δ and z 2 = arcsin γ δ + 2 π c 2 δ ,
with c 1 , 2 Z and | γ / δ | 1 . The, c 1 , 2 will be restricted in view of z 1 , 2 [ 0 , r ) :
0 z 1 < r < π 2 δ ( γ = δ ) 0 3 + 4 c 1 < 2 δ r π < 1 0.75 c 1 < 0.5 .
Since, as c 1 Z there is no critical points for this solution for the system (58). Similarly we have that:
0 z 2 < r < π 2 δ ( γ = δ ) 0 4 c 2 1 < 2 δ r π < 1 0.25 c 2 < 0.5 ,
so again we have no solution and consequently the dynamical system (58) does not have fixed points. We depict the relevant phase space in Figure 10.

6. String/Dbrane-Inspired Potential for Compactification Axions

In this final section we use the dynamical system formalism to study the following potential, arising in string theory scenarios (like IIB string model, involving D5-branes), as advocated in [28], and discussed also in the introduction of the current work 8 (cf. (12)):
V ( ϕ a ) = Λ 2 4 2 1 + ϕ a ( x ) 2 f a 2 + Λ ws 4 cos ϕ a 2 π f a ,
where ϕ a = a f a has mass dimension + 1 and denotes a dominant compactification-axion species, and Λ 2 4 given in (8). The potential (62) is plotted in Figure 11 for two indicative choices of parameters, and we have made the definitions:
α = 1 / 2 , β = Λ 2 / Λ ws 4 , δ = 1 / ( 2 π κ f a ) , y = κ ϕ a ,
which will be used in what follows.
Following the analysis presented in Section 2, we have for the potential (62):
λ = V , ϕ a κ V = α δ sin ( δ y ) 4 π 2 α β δ y 4 π 2 α 2 δ 2 y 2 + 1 β 4 π 2 α 2 δ 2 y 2 + 1 + α cos ( δ y ) ,
where we used (63). We also have that:
1 Γ = 1 + β 4 π 2 α 2 δ 2 y 2 + 1 + α cos ( δ y ) 4 π 2 α 2 δ 2 y 2 + 1 3 / 2 cos ( δ y ) 4 π 2 α β α 4 π 2 α 2 δ 2 y 2 + 1 4 π 2 α 2 δ 2 y 2 + 1 sin ( δ y ) 4 π 2 α β δ y 2 = 1 + α δ 2 λ 2 4 π 2 α 2 δ 2 y 2 + 1 3 / 2 cos ( δ y ) 4 π 2 α β 4 π 2 α 2 δ 2 y 2 + 1 3 / 2 β 4 π 2 α 2 δ 2 y 2 + 1 + α cos ( δ y ) .
Thereby, the dynamical system in this scenario is:
x = ( x 2 1 ) 3 x 3 2 λ λ = 6 x λ 2 + α δ 2 4 π 2 α 2 δ 2 y 2 + 1 3 / 2 cos ( δ y ) 4 π 2 α β 4 π 2 α 2 δ 2 y 2 + 1 3 / 2 β 4 π 2 α 2 δ 2 y 2 + 1 + α cos ( δ y ) .
Some remarks are in order at this point, regarding the system (66). Firstly, under the simultaneous transformations x x , y y (with the latter corresponding to λ λ , on account of (64)), the system is invariant. Therefore, without loss of generality we can assume that y 0 or y 0 . Moreover, as the transformation δ δ does not alter our system, we may assume, that δ 0 . In such a case, in order to maintain the trans-Planckian censorship conjecture [22], we must have δ 1 / ( 2 π ) 0.159 . In addition, in the limit y ± , the system reduces to that of [7]. We define the λ ˜ variable and then we compactify it, as follows:
λ ˜ = 1 y = 1 κ ϕ a , ζ = λ ˜ λ ˜ + 1 λ ˜ = ζ 1 ζ ,
which takes values in the range ζ [ 0 , 1 ) , for y ( , 0 ] . On setting x = cos φ , where φ [ 0 , π ] , we can write the system (66) in the form:
φ = 3 cos φ + 3 2 α δ 4 π 2 α β δ ( ζ 1 ) ζ 4 π 2 α 2 δ 2 ( ζ 1 ) 2 ζ 2 + 1 + sin 1 ζ ζ δ β 4 π 2 α 2 δ 2 ( ζ 1 ) 2 ζ 2 + 1 + α cos 1 ζ ζ δ sin φ ζ = 6 ζ 2 cos φ .
Below we restrict ourselves to indicative cases of the parameters with physical significance. We recall that l 1 , hence 0 < α 1 , and we pick, as representative values, α 1 and α = 0.5 , corresponding to very large and medium-range (string scale) compactification radii in our string system, respectively.
We first note that, in the formal case where α = 0 (infinite compactification radius), the dynamical system (68) assumes a particularly simple form, independent of the parameters β and δ :
φ = 3 cos φ sin φ ζ = 6 ζ 2 cos φ .
This form is to be understood from the approximately de Sitter form of the potential (62):
lim 1 V ( ϕ a ) Λ 2 4 2 ,
which is independent of the scale Λ ws , given that the latter accompanies the subleading cosine term in (62). Thus, this case leads only to eternal de Sitter in view of the above. We have the critical points ( φ , ζ ) to be O 2 = ( 0 , 0 ) , A 2 = ( π / 2 , 0 ) , B 2 = ( π , 0 ) , E ζ = ( π / 2 , ζ ) with ζ ( 0 , 1 ) , thus we need to find the stability of these points, although the aforesaid argument is valid. The Jacobian matrix of this system is given by:
J ( φ , ζ ) = 3 cos ( 2 φ ) 0 6 ζ 2 sin ( φ ) 2 6 ζ cos ( φ )
and very easily we find that for both fixed points O 2 = ( 0 , 0 ) , B 2 = ( π , 0 ) we have:
J ( 0 , 0 ) = 3 0 0 0 = J ( π , 0 ) with eigenvalues 3 , 0 .
Thence they are unstable points, because the positive eigenvalues guarantee that there is at least one unstable direction [32]. Now for the other two points (more accurately the E ζ corresponds to a family of critical points), both have eigenvalues 3 , 0 which means that we need to employ other methods, like center manifold theory in order to determine their stability properties. We present the analysis in Appendix C.2 of Appendix C and find, as expected, that the fixed points A 2 ( φ = π / 2 , ζ = 0 ) and E ζ ( φ = π / 2 , ζ ) with ζ ( 0 , 1 ) correspond to stable-node critical points. The phase space of this limiting case is portrayed in Figure 12.
Now, we make some general comments regarding the dynamical system (68). First of all, we observe that the critical points O 3 = ( 0 , 0 ) , A 3 = ( π / 2 , 0 ) , and B 3 = ( π , 0 ) essentially capture the behavior at infinity, i.e., when y ζ 0 . This limit, as previously mentioned, corresponds to a system whose potential is basically a linear one and its well studied, so for the different values of α , β , δ (excluding α = 0 ) the stability of those points are known and they are unstable, saddle and unstable, respectively [7]. The question then arises as to whether there exist additional critical points and what are the physical implications of those points in string cosmology. We examine the physically interesting case [28] in which the world-sheet instanton effects are suppressed compared to the rest of the term in the potential (62): α = 0.5 , β = 100 , δ = 100 . This system exhibits only the aforementioned fixed points and no more. One is able to find initial conditions that result in metastable inflation with the phenomenologically desired e-foldings [20], as shown in Figure 13. There are suppressed modulations, as in the case of the periodically modulated StRVM [23]. The fact that we have a finite lifetime in the inflationary era, is consistent with swampland criteria [24,25,26,27,36], as expected from a microscopic quantum string cosmology model.
We can show that the dynamical system (68) will have extra critical points when φ = π / 2 and when the following equation is satisfied, i.e.,
4 π 2 α β δ ( ζ 1 ) ζ 4 π 2 α 2 δ 2 ( ζ 1 ) 2 ζ 2 + 1 + sin 1 ζ ζ δ = 0 ,
which gives a bound β 1 / ( 2 π ) 0.159 , by exploiting the relation | sin x | 1 . However, since the Λ ws scale corresponds to world-sheet instantons, which are exponentially suppressed compared to the Λ 2 scale (i.e., β 1 ), these cases are not physical. If we pick the parameters to fall in this range (for instance, α = 0.5 , β = 1 / ( 5 π ) , δ = 10 ) stable spiral/node, saddle points arise in an analogous situation to that in Section 4.2 for the potential (24).
Now, regarding the slow-roll conditions in this string/dbrane cosmological scenario, we have that (similarly to Equation (54) in Section 4.2):
H ( N ) H i = β α 1 + 4 π 2 α 2 δ 2 1 1 / ζ 2 + cos δ 1 1 / ζ β α 1 + 4 π 2 α 2 δ 2 1 1 / ζ i 2 + cos δ 1 1 / ζ i sin φ i sin φ ,
and (55) holds as it is. We depict the relevant results in Figure 14, following the discussion in Section 4.2. The validity of the slow-roll conditions for inflation in this string/brane-inspired model, from a dynamical system viewpoint, becomes apparent from the various panels in the figure. This, together with the pertinent results for the cases of Section 4.2, indicates that one can in fact obtain an inflationary state, via a slow-roll approximation, in diverse settings that agree with the plethora of the available phenomenological/observational data [20].
The (world-sheet instanton-induced) periodic modulations of the potential (62) ensure a closer agreement of the values of the slow-roll inflationary parameters ϵ i , i = 1 , 2 , 3 , and the spectral index n s [2,20] with the corresponding values inferred from the cosmological measurements, as in the case of [23].

7. Conclusions and Outlook

In this work we have performed a dynamical system study of three-parameter inflationary potentials (24) of axion-like fields, with periodic modulations over linear terms, both breaking explicitly the axion-shift symmetry. Such kind of potentials also characterize brane compactification-induced ones, which are included in the study, corresponding to some regions of the parameter space. Using a suitable set of parameters γ and δ , (29), and λ ˜ , (38), we have performed a classification of the initial conditions and the parameter-space regimes leading to stable or metastable de Sitter (inflationary) vacua, appearing as fixed points of the corresponding flows in the appropriate phase diagrams. We have found several cases for which it is possible to select suitable values for the potential parameters and initial conditions so that the phenomenologically relevant duration of inflation of order O ( 50 60 ) e-foldings can be achieved, during which the slow-roll conditions (25), ensuring an approximately constant H I , can be satisfied. The periodic modulations of the inflationary potentials discussed in this work, then, will ensure a closer agreement of the theoretically predicted values of the slow-roll inflationary parameters ϵ i , i = 1 , 2 , 3 and the running spectral index n s with the corresponding values inferred from cosmological measurements [20], in similar spirit to the case studied in [23]. In addition, we stress once again that the selection of initial conditions has been made in such a way so as to obtain a de Sitter-like spacetime in each scenario. This means that a Minkowski spacetime is not necessarily attained at the end of inflation. In fact, on physical grounds, one may arrange for a passage to a radiation-dominated expanding Universe, by appropriately gluing together the two cosmological eras. Some indicative figures are Figure 3, Figure 6 where ω b 1 and this signifies that a Minkowski spacetime is not attained, as V ( b ) 0 at the end of the e-folding period.
The case of dominant linear terms has already been studied in a previous work by (some of) the authors [7], where the (approximately) linear terms are induced by condensates of anomalous (3+1)-dimensional gravitational Chern–Simons terms coupled to the axion. In this work we have extended the analysis to regions of the parameter space for which the periodic modulations of the linear terms are of comparable size or stronger than the linear terms in the axion potentials and classified the relevant initial conditions in the dynamical system parameters which lead to inflationary eras with phenomenologically relevant duration. An interesting result in this region of the parameter space concerns the case of a discrete (infinite) sequence of fixed points corresponding to classically stable de Sitter vacua, with decreasing values of the local minima (as the axion-field values increase). This sequence resembles, superficially at least, the situation of discrete inflation encountered in minimal non-critical string-theory (Liouville) models. The dynamical system analysis does not explain the exit mechanism from such vacua, due to their stability. Nonetheless we conjecture that once the physical system enters one of these vacua, due, e.g., to some phase transitions of the underlying microscopic model, then non-perturbatively-induced tunneling effects may take over, thus allowing a sequence of transitions of the system to lower-energy vacua, until the system reaches asymptotically a zero-potential-minimum, Minkowski spacetime or a small effective cosmological constant. The lifetimes of the various de Sitter vacua depend on the regime of the pertinent parameters. The physical significance of such a phase is still not clear. The only thing that is clear is that this is a distinct phase from the running-vacuum linear axion condensate inflation. At this stage, one cannot exclude the possibility that such a phase may even be related to the current-era of acceleration of the Universe. This is definitely an issue we plan to put research emphasis on in the immediate future.
Last but not least, we have applied the dynamical system analysis to study the brane compactification-induced single-axion monodromy inflationary scenario. We have demonstrated that, there too, there is compatibility with phenomenologically relevant inflationary scenarios, by a suitable choice of the parameter space region.
We hope that our work will constitute a useful addition to the interesting research map of the axion monodromy inflationary models. The latter, being primarily associated at a microscopic level with string models, involve more than a single axion-like field, the string-model-independent one and the axions coming from compactification [15]. These kinds of axions come with different coupling constants. The easiest (although complicated enough, due to the increased number of parameters involved) scenario to apply our dynamical system analysis to is models with two axions, both characterized by linear potentials with periodic modulations, like the ones appearing in [37,38]. Such models differ by the hierarchies of the energy scales characterizing the linear and periodic modulation axion potential terms. Both categories exhibit a rich phenomenology, as far as the spectrum of primordial black holes, and consequently the profiles of GWs during the early stages of radiation, are concerned. In fact, as shown in [38], there are distinguishing features in the GW profiles between these two categories of models, which are in principle detectable in future interferometric devices, such as LISA or others [39,40].
Before closing we recall once more that a Cosmic Microwave Background (CMB) phenomenology of the StRVM model, without the inclusion of the periodic modulations in the axion potentials, has been performed in [18]. There it was demonstrated that, for the order of the parameters discussed here (c.f. (6), (10)), the model was consistent with the astrophysical/cosmological data [20], but also predicted deviations from the standard ΛCDM cosmology, consistent with the generic RVM features [19], in particular the order of the coefficient ν of the H 2 terms in current-era vacuum energy, which was found to be ν = O ( 10 3 ) . The inclusion of the periodic modulation terms discussed here in such analyses is pending. For the normal hierarchy of scales, of course, for which the periodic modulation terms in the axion potentials are strongly suppressed compared to the linear-in-the-axion terms, one does not expect quantitative changes in the aforementioned CMB phenomenology. However, things become non-trivial in the inverse hierarchy case, where the periodic modulation terms in the axion potential are of comparable of larger strength than the standard StRVM condensate terms. Such contributions may affect the CMB studies, to a point that some of our indicative cases examined above, as part of our classification, may be excluded on these grounds, despite giving phenomenologically acceptable inflation.
Moreover, the post inflationary history of the StRVM [8] is far more complicated, given that one may pass from several phases of the string-inspired Universe, e.g., instanton-generated masses for the b axion, or more realistically, face multiaxion situations (expected in the string case due to compactification [15]), encounter the presence of cosmic electromagnetic fields, coupled through Pontryagin anomaly terms to the axions a F μ ν F ˜ μ ν (with F μ ν the (3+1)-dimensional Maxwell tensor), etc., features which may in general affect the CMB analyses, or even be falisifed by it in some cases. To examine in detail the full problem, including periodic modulations of multiaxion potentials in strings, is therefore a formidable task. We hope to be able to address some of these issues in the future.

Author Contributions

All authors contributed equally to the conceptualization, methodology and writing—review and editing—of this work. All authors have read and agreed to the published version of the manuscript.

Funding

The work of P.D. and M.V. is supported by a graduate scholarship from the National Technical University of Athens (Greece). The work of N.E.M. is supported in part by UK Engineering and Physical Sciences Research Council (EPSRC) under the research grant ST/X000753/1. The work of S.-N.V. is supported by the Hellenic Foundation for Research and Innovation (H.F.R.I. (EL.ID.EK.)) under the “5th Call for H.F.R.I. Scholarships to PhD Candidates” (Scholarship Number: 20572).

Data Availability Statement

This paper uses no data, as the research is theoretical.

Acknowledgments

N.E.M. acknowledges participation in the COST Association Actions CA21136 “Addressing observational tensions in cosmology with systematics and fundamental physics (CosmoVerse)” and CA23130 “Bridging high and low energies in search of quantum gravity (BridgeQG)”.

Conflicts of Interest

The authors declare no conflicts of interest. The funders had no role in the design of the study; in the collection, analyses, or interpretation of data; in the writing of the manuscript; or in the decision to publish the results.

Appendix A. Purely Cosine Axion Potential

In this appendix, we briefly study the case when we have only the cosine potential:
V ( b ) = Λ 1 4 cos b f b .
Since the above potential is periodic, we are able to study the dynamics of the axion field in just one period [6]. We have the relations:
V , b ( b ) = Λ 1 4 f b sin b f b , V , b b ( b ) = Λ 1 4 f b 2 cos b f b .
The procedure is exactly the same as in Section 2, where after introducing the EN variables, the λ variable takes the form:
λ = V , b κ V = 1 κ f b tan b f b and Γ = V V , b b V , b 2 = 1 κ 2 f b 2 λ 2 .
Hence, we obtain the dynamical system:
x = ( x 2 1 ) 3 x 3 2 λ λ = 6 x ( λ 2 + δ 2 ) ,
with δ 1 / ( κ f b ) . Of course, since the transformation δ δ , does not change the dynamical system (A4), without loss of generality we assume that δ > 0 . Now, we set x = cos φ , where φ [ 0 , π ] and then the system (A4) takes the form:
φ = 3 cos φ 3 2 λ sin φ , λ = 6 cos φ ( λ 2 + δ 2 ) .
In principle, λ can take on any value on the real axis, and the dynamical system (A5) is invariant under the simultaneous transformations ( φ π φ , λ λ ), implying that we can assume λ 0 , without loss of generality. The phase space is bounded through the following change of variable:
ζ = λ λ + 1 λ = ζ 1 ζ ,
which takes on values in the region ζ [ 0 , 1 ) , for λ [ 0 , + ) . Additionally, note that:
ζ = λ ( ζ ) d ζ d λ = λ ( ζ ) 1 ( 1 + λ ( ζ ) ) 2 = 6 cos φ ( λ 2 ( ζ ) + δ 2 ) ( 1 + λ ( ζ ) ) 2 = 6 cos φ ( ζ 2 + δ 2 ( 1 ζ ) 2 ) .
Thence, the system of ODE (A5) reads:
φ = 3 cos φ 3 2 ζ 1 ζ sin φ , ζ = 6 cos φ ( ζ 2 + δ 2 ( 1 ζ ) 2 ) .
Now, we have the following critical point of (A7): from the ζ = 0 equation, we have φ = π / 2 , and for this choice we substitute in the equation for φ = 0 , and then we obtain the critical point A 4 = ( π / 2 , 0 ) . The Jacobian stability matrix for the system (A7) is:
J ( φ , ζ ) = 3 2 ζ cos φ ζ 1 + 3 cos ( 2 φ ) 3 2 sin φ ( ζ 1 ) 2 6 δ 2 ( ζ 1 ) 2 + ζ 2 sin φ 2 6 δ 2 ( ζ 1 ) + ζ cos φ
We now proceed in finding the eigenvalues of the Jacobian matrix at the critical point. For the point A 4 , we substitute into the Jacobian (A8) the values φ = π / 2 , ζ = 0 , thus obtaining:
J ( π / 2 , 0 ) = 3 3 2 6 δ 2 0 ,
which has eigenvalues 1 2 3 3 3 + 4 δ 2 , 1 2 3 + 3 3 + 4 δ 2 . As the eigenvalues come with opposite sign and equal magnitude, this is a saddle point and a hyperbolic one (as neither of the eigenvalues have zero real part). This implies that some trajectories will be repelled, while others will be attracted [32]. The pertinent cosmologies are characterized by the respective initial conditions. Some indicative phase portraits, for different values of δ , are shown in Figure A1.
Figure A1. Phase space for purely cosine case for two values of the δ parameter.
Figure A1. Phase space for purely cosine case for two values of the δ parameter.
Universe 11 00271 g0a1

Appendix B. Eigenvalues Corresponding to Cc1 (γ,δ) and Dc2 (γ,δ)

In this appendix, we provide the complete analysis of the eigenvalues that correspond to the Jacobian (stability) matrix of the two families C c 1 ( γ , δ ) and D c 2 ( γ , δ ) appearing in the case when | γ / δ | 1 in Section Stability Analysis. The eigenvalues in each critical point can easily be computed from the corresponding Jacobian, and in general have the form [32]:
λ 1 , 2 = 1 2 φ φ + ζ ζ ± 1 2 φ φ ζ ζ 2 + 4 φ ζ ζ φ .
For the first family C c 1 ( γ , δ ) the corresponding eigenvalues are given by:
λ 1 , 2 = 1 2 3 ± 12 δ 2 γ δ 1 γ 2 δ 2 arcsin γ δ + δ 2 γ 2 + π ( 2 c 1 + 1 ) γ δ 1 γ 2 δ 2 δ 1 γ 2 δ 2 + π ( 2 c 1 γ + γ ) + γ arcsin γ δ 2 + 9 .
We observe that the quantity in the square root, call it f 1 ( γ , δ , c 1 ) , is not always positive due to the last term in the numerator of the fraction. Thus, one can distinguish two cases: one in which f 1 ( γ , δ , c 1 ) < 0 , and another with f 1 ( γ , δ , c 1 ) 0 . In the former case, the fixed points are stable spiral, which means that the solutions approach the critical points as N , but not from a definite direction [30] and the eigenvalues have the form λ 1 = α + i β , λ 2 = α i β with α < 0 and β 0 . In fact, we can determine the c 1 corresponding to these fixed points, because the f 1 ( γ , δ , c 1 ) is quadratic to this parameter, and by standard analysis we obtain:
f 1 ( γ , δ , c 1 ) < 0 0 c 1 1 2 π 4 δ 2 + 3 3 δ 2 γ 2 1 arcsin γ δ π ,
where denotes the floor function and we took into account equation (50). An equivalent form reads:
δ 2 γ 2 1 arcsin γ δ π < 0 .
The case in which f 1 ( γ , δ , c 1 ) 0 is attained when:
c 1 1 2 π 4 δ 2 + 3 3 δ 2 γ 2 1 arcsin γ δ π ,
where is the ceiling function, and we note that c 1 N { 0 } . Moreover, as the following inequality holds:
| 3 | > f 1 ( γ , δ , c 1 ) ,
the fixed points correspond to stable-node points, that is, every orbit tends to the critical point in a definite direction as N [30] and λ 1 < 0 , λ 2 < 0 .
Similarly, for the second family D c 2 ( γ , δ ) we have the eigenvalues:
λ 1 , 2 = 1 2 3 ± 12 δ 2 γ δ 1 γ 2 δ 2 arcsin γ δ + δ 2 γ 2 2 π c 2 γ δ 1 γ 2 δ 2 δ 1 γ 2 δ 2 2 π c 2 γ + γ arcsin γ δ 2 + 9 .
In this case, the quantity inside the square root, call it f 2 ( γ , δ , c 2 ) , is manifestly positive 9. In addition, since the following inequality holds:
| 3 | < f 2 ( γ , δ , c 2 ) ,
we have that the fixed points of this family are saddle, since λ 1 > 0 and λ 2 < 0 .

Appendix C. Center Manifold Theory

In this appendix, we use center manifold theory [1,30,31] in order to study the stability properties of two special cases of dynamical systems, where linear stability analysis fails.

Appendix C.1. Stability Analysis for |γ/δ|=1 Case

First, we examine the case when | γ / δ | = 1 , whereupon the dynamical system (43) becomes:
φ = 3 cos φ 3 2 ζ ζ sin 1 ζ ζ δ 1 ζ + ζ 1 δ cos 1 ζ ζ δ sin φ ζ = 6 cos φ ζ 2 .
Except for the fixed points at infinity (i.e., ζ = 0 ), the system (A16) possesses also one family of critical points. Basically, what happens in this case is that the two families of Section Stability Analysis degenerate into one. Equation (46), then, takes the form:
ζ 3 = 2 δ π + 2 δ + 4 π c 1 with c 1 N { 0 } .
The eigenvalues λ i , i = 1 , 2 of the Jacobian for this family, E c 1 ( δ ) = π / 2 , ζ 3 , can be computed as λ 1 , 2 = 3 , 0 . Hence, the linear stability theory fails to provide the stability properties for this family. To study the stability of this case, therefore, we employ center manifold theory [1,30,31]. In this approach, we first select randomly 10 a point from the E c 1 ( δ ) family, by choosing specific values for c 1 , δ and “move” it to the origin via a coordinate transformation: φ θ + π 2 and ζ ψ + ζ 3 . In the new coordinates, θ , ψ , the system (A16) becomes:
θ = 3 sin θ 3 2 1 sin 1 ψ ζ 3 ψ + ζ 3 δ 1 ψ + ζ 3 1 + 1 δ cos 1 ψ ζ 3 ψ + ζ 3 δ cos θ ψ = 6 sin θ ( ψ + ζ 3 ) 2 .
The Jacobian matrix of the system (A18) at the origin reads:
J ψ = 0 θ = 0 = 3 0 6 ζ 3 2 0 ,
with the eigenvalues and the corresponding eigenvectors given by:
λ 1 = 0 u = 0 1 ,
λ 2 = 3 v = 6 2 ζ 3 2 1 .
The eigenvalue λ 1 = 0 and the eigenvector u span the center subspace for the fixed point, while the eigenvalue λ 2 = 3 and the eigenvector v span the stable subspace. Now, we find new variables which diagonalize the Jacobian matrix (A19) and as such we have the linearized system:
θ ψ = J ψ = 0 θ = 0 θ ψ ,
and the Jacobian can be written:
J ψ = 0 θ = 0 = P D P 1 ,
where:
P = 0 6 2 ζ 3 2 1 1 , P 1 = 2 ζ 3 2 6 1 2 ζ 3 2 6 0 , D = 0 0 0 3
which diagonalize the Jacobian matrix (A19) at the origin. Following the analysis presented in appendix B of [7], we multiply (A22) with P 1 from the left on both sides and obtain:
P 1 θ ψ = D P 1 θ ψ .
Therefore, a suitable coordinate transformation is:
U V = P 1 θ ψ = 2 ζ 3 2 6 1 2 ζ 3 2 6 0 θ ψ ,
which produces:
U = 2 ζ 3 2 6 θ + ψ and V = 2 ζ 3 2 6 θ .
In addition, Equation (A24) assumes the form:
U V = D U V = 0 0 0 3 U V U = 0 , V = 3 V .
Hence, we can express the dynamical system (A18) in terms of the the new variables U and V as:
U = A U + f ( U , V ) , V = B V + g ( U , V ) ,
where A = 0 , B = 3 and the functions f , g are given by:
f ( U , V ) = 6 sin 6 2 ζ 3 2 V + 1 sin 1 U V ζ 3 U + V + ζ 3 δ 1 U + V + ζ 3 1 + 1 δ cos 1 U V ζ 3 U + V + ζ 3 δ ζ 3 2 cos 6 2 ζ 3 2 V 6 sin 6 2 ζ 3 2 V ( U + V + ζ 3 ) 2
g ( U , V ) = 6 sin 6 2 ζ 3 2 V + 1 sin 1 U V ζ 3 U + V + ζ 3 δ 1 U + V + ζ 3 1 + 1 δ cos 1 U V ζ 3 U + V + ζ 3 δ ζ 3 2 cos 6 2 ζ 3 2 V + 3 V .
We next apply the Local Center Manifold Theorem [41]. According to this theorem, we assume the following expansion for the function h ( U ) of our center manifold:
h ( U ) = a 1 U 2 + a 2 U 3 + ,
and, thus, we need to solve the differential equation, with V = h ( U ) valid locally:
d h d U A U + f ( U , h ( U ) ) B h ( U ) g ( U , h ( U ) ) = 0 .
We can solve Equation (A32) for the first terms in the polynomial expansion (A31) of h ( U ) , keeping only the leading orders and using (A17). We obtain:
h ( U ) = δ ( π + 2 δ + 4 π c 1 ) 2 12 ( π + 4 π c 1 ) U 2 + ( π + 2 δ + 4 π c 1 ) 3 π ( 4 c 1 + 1 ) δ 2 + 3 + 2 δ 3 36 ( 4 π c 1 + π ) 2 U 3 + O ( U 4 ) .
Having determined h ( U ) , we are now in position to define the stability properties of our dynamical system (A18) by simply studying the stability of the equation:
u ( N ) = A u ( N ) + f ( u ( N ) , h ( u ( N ) ) ) .
To this end, we make a series expansion of the right-hand-side of (A34), to obtain:
u ( N ) = δ ( π + 2 δ + 4 π c 1 ) 2 4 ( 4 π c 1 + π ) u ( N ) 2 δ 2 ( π + 2 δ + 4 π c 1 ) 4 24 ( 4 π c 1 + π ) 2 u ( N ) 3 + O u ( N ) 4 .
All the information about the stability of the direction related to the zero eigenvalue of the fixed point ( φ = π 2 , ζ 3 ) is now encoded in the sign of the constant in front of the term u ( N ) 2 . Since it is manifestly positive, we have an instability along the eigenvector of the zero eigenvalue. Consequently, the E c 1 ( δ ) = π / 2 , ζ 3 family corresponds to saddle critical points.

Appendix C.2. Stability Analysis for the α = 0 (Infinite-Compactification-Radius) Case of the String/Brane-Inspired Model of [28]

To study this case, we use center manifold theory [1,30,31] upon focusing on the A 2 = ( π / 2 , 0 ) fixed point of the dynamical system (69). The procedure is the same as before. We “move” the point, via a coordinate transformation, to the origin, φ θ + π 2 , and in the new coordinates θ , ζ , the system (69) becomes:
θ = 3 cos θ sin θ , ζ = 6 ζ 2 sin θ ,
where now the fixed point A 2 ( φ = π / 2 , ζ = 0 ) amounts to A 2 ( θ = 0 , ζ = 0 ) . The Jacobian matrix of the system (A36) reads:
J = 3 cos ( 2 θ ) 0 6 ζ 2 cos ( θ ) 2 6 ζ sin ( θ ) J ζ = 0 θ = 0 = 3 0 0 0 ,
with the eigenvalues and the corresponding eigenvectors given by:
λ 1 = 3 u = 1 0 ,
λ 2 = 0 v = 0 1 .
The eigenvalue λ 1 = 3 and the eigenvector u span the stable subspace for the fixed point, while the eigenvalue λ 2 = 0 and the eigenvector v span the center subspace. The Jacobian can be written in the form:
J ζ = 0 θ = 0 = P D P 1 ,
where:
P = 0 1 1 0 , P 1 = 0 1 1 0 , D = 0 0 0 3 .
Moreover we have:
P 1 θ ζ = D P 1 θ ζ U V = P 1 θ ζ = 0 1 1 0 θ ζ ,
and as such:
U = ζ and V = θ .
Now, Equation (A41) reads:
U V = D U V = 0 0 0 3 U V U = 0 , V = 3 V .
In this scenario, (A28) has A = 0 , B = 3 and the functions f , g are:
f ( U , V ) = 6 U 2 cos V g ( U , V ) = 3 V 3 cos V sin V .
By simply applying the Local Center Manifold Theorem [41], we assume the h ( U ) expansion for the function of our center manifold, as in (A31) and, on setting V = h ( U ) , we solve (A32), to obtain:
h ( U ) = 0 + O ( U 5 ) ,
which means that the center manifold coincides with the U axis. With this result, the stability properties of our dynamical system (A36) are determined by (A34), thus:
u ( N ) = A u ( N ) + f ( u ( N ) , h ( u ( N ) ) ) u ( N ) = 6 u ( N ) 2 ,
implying that the critical point A 2 ( θ = 0 , ζ = 0 ) is a stable node. By the same token, we find that the family E ζ ( θ = 0 , ζ ) , with ζ ( 0 , 1 ) , also corresponds to a family of stable-node critical points.

Notes

1
The StRVM cosmology can also provide a natural explanation on the alleviation of the Hubble and growth-of-structure tensions in the current era [18], in agreement with the spirit of the generic RVM cosmologies [19].
2
The case ζ = 0 , φ = π / 2 has been studied above, so for the second option we necessarily assume that ζ 0 .
3
The equality in (49) corresponds to the limit | γ / δ | = 1 , in which the two families C c 1 ( γ , δ ) , D c 2 ( γ , δ ) degenerate into one, with the points being strictly decreasing points of inflection, as can be inferred by computing the third derivative of the potential (24). In the dynamical system formalism, these points are saddle fixed points (see Appendix C.1 of Appendix C for details).
4
Of course, it should be remarked that the root of Equation (50) is a transcendental number and as such, it can be determined in as many digits as the desired accuracy requires.
5
For the plots we used Python version 3.13.3 and especially, for the streamplots the matplotlib package, while for the trajectories we adopted the Radau integration method.
6
In the case of [7,23] such a small perturbation is attributed to the formation of the condensate itself which slightly alters the equation of state from the stiff one.
7
Essentially it involves the inverse function of spherical Bessel function y 0 ( x ) [35], which in general has not yet been studied in the literature, at least to our knowledge.
8
In this study, we omit terms proportional to ϕ a cos ϕ a / 2 π f a , as they are subdominant in the slow roll parameters [28].
9
This follows from the fact that γ < 0 , | γ / δ | 1 , as well as the use of the identity arcsin x = arcsin x , with arcsin x > 0 for x ( 0 , 1 ] , with δ 2 γ 2 > 0 .
10
The reader should notice that any point of this family can be treated equivalently, given that c 1 , δ are free parameters.

References

  1. Bahamonde, S.; Böhmer, C.G.; Carloni, S.; Copeland, E.J.; Fang, W.; Tamanini, N. Dynamical systems applied to cosmology: Dark energy and modified gravity. Phys. Rept. 2018, 775–777, 1–122. [Google Scholar] [CrossRef]
  2. Martin, J.; Ringeval, C.; Vennin, V. Encyclopædia Inflationaris: Opiparous Edition. Phys. Dark Univ. 2014, 5–6, 75–235. [Google Scholar] [CrossRef]
  3. Hao, J.G.; Li, X.Z. Constructing dark energy models with late time de Sitter attractor. Phys. Rev. D 2003, 68, 083514. [Google Scholar] [CrossRef]
  4. Faraoni, V.; Protheroe, C.S. Scalar field cosmology in phase space. Gen. Rel. Grav. 2013, 45, 103–123. [Google Scholar] [CrossRef]
  5. Bouhmadi-López, M.; Marto, J.; Morais, J.; Silva, C.M. Cosmic infinity: A dynamical system approach. J. Cosmol. Astropart. Phys. 2017, 3, 042. [Google Scholar] [CrossRef]
  6. Hossain, M.W.; Maqsood, A. Comparison between axionlike and power law potentials in a cosmological background. Phys. Rev. D 2024, 109, 103512. [Google Scholar] [CrossRef]
  7. Dorlis, P.; Mavromatos, N.E.; Vlachos, S.N. Condensate-induced inflation from primordial gravitational waves in string-inspired Chern-Simons gravity. Phys. Rev. D 2024, 110, 063512. [Google Scholar] [CrossRef]
  8. Basilakos, S.; Mavromatos, N.E.; Solà Peracaula, J. Gravitational and Chiral Anomalies in the Running Vacuum Universe and Matter-Antimatter Asymmetry. Phys. Rev. D 2020, 101, 045001. [Google Scholar] [CrossRef]
  9. Basilakos, S.; Mavromatos, N.E.; Solà Peracaula, J. Quantum Anomalies in String-Inspired Running Vacuum Universe: Inflation and Axion Dark Matter. Phys. Lett. B 2020, 803, 135342. [Google Scholar] [CrossRef]
  10. Mavromatos, N.E.; Solà Peracaula, J. Stringy-running-vacuum-model inflation: From primordial gravitational waves and stiff axion matter to dynamical dark energy. Eur. Phys. J. ST 2021, 230, 2077–2110. [Google Scholar] [CrossRef]
  11. Mavromatos, N.E.; Solà Peracaula, J. Inflationary physics and trans-Planckian conjecture in the stringy running vacuum model: From the phantom vacuum to the true vacuum. Eur. Phys. J. Plus 2021, 136, 1152. [Google Scholar] [CrossRef]
  12. Mavromatos, N.E. Lorentz Symmetry Violation in String-Inspired Effective Modified Gravity Theories. Lect. Notes Phys. 2023, 1017, 3–48. [Google Scholar] [CrossRef]
  13. Jackiw, R.; Pi, S.Y. Chern-Simons modification of general relativity. Phys. Rev. D 2003, 68, 104012. [Google Scholar] [CrossRef]
  14. Alexander, S.; Yunes, N. Chern-Simons Modified General Relativity. Phys. Rept. 2009, 480, 1–55. [Google Scholar] [CrossRef]
  15. Svrcek, P.; Witten, E. Axions In String Theory. J. High Energy Phys. 2006, 06, 051. [Google Scholar] [CrossRef]
  16. Sola Peracaula, J. The cosmological constant problem and running vacuum in the expanding universe. Phil. Trans. R. Soc. Lond. A 2022, 380, 20210182. [Google Scholar] [CrossRef]
  17. Moreno-Pulido, C.; Sola Peracaula, J.; Cheraghchi, S. Running vacuum in QFT in FLRW spacetime: The dynamics of ρvac(H) from the quantized matter fields. Eur. Phys. J. C 2023, 83, 637. [Google Scholar] [CrossRef]
  18. Gómez-Valent, A.; Mavromatos, N.E.; Solà Peracaula, J. Stringy running vacuum model and current tensions in cosmology. Class. Quant. Grav. 2024, 41, 015026. [Google Scholar] [CrossRef]
  19. Sola Peracaula, J.; Gomez-Valent, A.; de Cruz Perez, J.; Moreno-Pulido, C. Running Vacuum in the Universe: Phenomenological Status in Light of the Latest Observations, and Its Impact on the σ8 and H0 Tensions. Universe 2023, 9, 262. [Google Scholar] [CrossRef]
  20. Aghanim, N.; Akrami, Y.; Ashdown, M.; Aumont, J.; Baccigalupi, C.; Ballardini, M.; Banday, A.J.; Barreiro, R.B.; Bartolo, N.; Basak, S.; et al. Planck 2018 results. VI. Cosmological parameters. Astron. Astrophys. 2020, 641, A6. [Google Scholar] [CrossRef]
  21. Duncan, M.J.; Kaloper, N.; Olive, K.A. Axion hair and dynamical torsion from anomalies. Nucl. Phys. B 1992, 387, 215–235. [Google Scholar] [CrossRef]
  22. Bedroya, A.; Vafa, C. Trans-Planckian Censorship and the Swampland. J. High Energy Phys. 2020, 09, 123. [Google Scholar] [CrossRef]
  23. Dorlis, P.; Mavromatos, N.E.; Vlachos, S.N. Quantum-Ordering Ambiguities in Weak Chern—Simons 4D Gravity and Metastability of the Condensate-Induced Inflation. Universe 2025, 11, 15. [Google Scholar] [CrossRef]
  24. Ooguri, H.; Vafa, C. On the Geometry of the String Landscape and the Swampland. Nucl. Phys. B 2007, 766, 21–33. [Google Scholar] [CrossRef]
  25. Ooguri, H.; Palti, E.; Shiu, G.; Vafa, C. Distance and de Sitter Conjectures on the Swampland. Phys. Lett. B 2019, 788, 180–184. [Google Scholar] [CrossRef]
  26. Palti, E. The Swampland: Introduction and Review. Fortsch. Phys. 2019, 67, 1900037. [Google Scholar] [CrossRef]
  27. Garg, S.K.; Krishnan, C. Bounds on Slow Roll and the de Sitter Swampland. J. High Energy Phys. 2019, 11, 075. [Google Scholar] [CrossRef]
  28. McAllister, L.; Silverstein, E.; Westphal, A. Gravity Waves and Linear Inflation from Axion Monodromy. Phys. Rev. D 2010, 82, 046003. [Google Scholar] [CrossRef]
  29. Eguchi, T.; Gilkey, P.B.; Hanson, A.J. Gravitation, Gauge Theories and Differential Geometry. Phys. Rept. 1980, 66, 213. [Google Scholar] [CrossRef]
  30. Boehmer, C.G.; Harko, T.; Sabau, S.V. Jacobi stability analysis of dynamical systems: Applications in gravitation and cosmology. Adv. Theor. Math. Phys. 2012, 16, 1145–1196. [Google Scholar] [CrossRef]
  31. Boehmer, C.G.; Chan, N.; Lazkoz, R. Dynamics of dark energy models and centre manifolds. Phys. Lett. B 2012, 714, 11–17. [Google Scholar] [CrossRef]
  32. Boehmer, C.G.; Chan, N. Dynamical systems in cosmology. arXiv 2017, arXiv:1409.5585. [Google Scholar] [CrossRef]
  33. Strogatz, S.H. Nonlinear Dynamics and Chaos: With Applications to Physics, Biology, Chemistry and Engineering, 1st ed.; Westview Press: Boulder, CO, USA, 2000. [Google Scholar]
  34. Antoniadis, I.; Bachas, C.; Ellis, J.R.; Nanopoulos, D.V. Cosmological String Theories and Discrete Inflation. Phys. Lett. B 1988, 211, 393–399. [Google Scholar] [CrossRef]
  35. Abramowitz, M.; Stegun, I.A. Handbook of Mathematical Functions: With Formulas, Graphs, and Mathematical Tables; Courier Corporation: North Chelmsford, MA, USA, 1965; Volume 55. [Google Scholar]
  36. Agmon, N.B.; Bedroya, A.; Kang, M.J.; Vafa, C. Lectures on the string landscape and the Swampland. arXiv 2022, arXiv:2212.06187. [Google Scholar]
  37. Zhou, Z.; Jiang, J.; Cai, Y.F.; Sasaki, M.; Pi, S. Primordial black holes and gravitational waves from resonant amplification during inflation. Phys. Rev. D 2020, 102, 103527. [Google Scholar] [CrossRef]
  38. Mavromatos, N.E.; Spanos, V.C.; Stamou, I.D. Primordial black holes and gravitational waves in multiaxion-Chern-Simons inflation. Phys. Rev. D 2022, 106, 063532. [Google Scholar] [CrossRef]
  39. Berti, E.; Cardoso, V.; Will, C.M. On gravitational-wave spectroscopy of massive black holes with the space interferometer LISA. Phys. Rev. D 2006, 73, 064030. [Google Scholar] [CrossRef]
  40. Crowder, J.; Cornish, N.J. Beyond LISA: Exploring future gravitational wave missions. Phys. Rev. D 2005, 72, 083005. [Google Scholar] [CrossRef]
  41. Perko, L. Differential Equations and Dynamical Systems, 3rd ed.; Springer: Berlin/Heidelberg, Germany, 2001. [Google Scholar] [CrossRef]
Figure 1. Left panel: Only de Sitter vacua appear for 1 γ / δ < 0.3365 and b / f b < 0 . The series of vacua correspond to a decreasing effective cosmological constant, with a Minkowski end-point for γ / δ 0.3365 . Right panel: For | γ / δ | 1 , the linear term dominates and periodic modulations appear due to the instanton-induced cosine potential.
Figure 1. Left panel: Only de Sitter vacua appear for 1 γ / δ < 0.3365 and b / f b < 0 . The series of vacua correspond to a decreasing effective cosmological constant, with a Minkowski end-point for γ / δ 0.3365 . Right panel: For | γ / δ | 1 , the linear term dominates and periodic modulations appear due to the instanton-induced cosine potential.
Universe 11 00271 g001
Figure 2. Phase space (left panel) and EoS (right panel) for φ i = 0.001 with different values of ζ i and | γ / δ | 1 .
Figure 2. Phase space (left panel) and EoS (right panel) for φ i = 0.001 with different values of ζ i and | γ / δ | 1 .
Universe 11 00271 g002
Figure 3. Phase space (left panel) and EoS (right panel) for the model corresponding to γ = 10 and δ = 5 , with initial conditions φ i = 0.01 with a varying ζ i .
Figure 3. Phase space (left panel) and EoS (right panel) for the model corresponding to γ = 10 and δ = 5 , with initial conditions φ i = 0.01 with a varying ζ i .
Universe 11 00271 g003
Figure 4. Upper panel: Phase space for γ = 3.7 and δ = 10 . There are trajectories which lead to eternal inflation classically (e.g., the purple-colored curve), while others (the green-colored curve) avoid it. Middle and Lower panels: specific regions of the phase portrait, demonstrating the different behavior of the system at different critical points (middle panel from left to right: (a) saddle, (b) stable spiral, and (c) saddle, stable spiral fixed points, respectively; lower panel from left to right: (d) saddle and stable spiral, (e) stable spiral and saddle, and (f) saddle, stable-node fixed points, respectively).
Figure 4. Upper panel: Phase space for γ = 3.7 and δ = 10 . There are trajectories which lead to eternal inflation classically (e.g., the purple-colored curve), while others (the green-colored curve) avoid it. Middle and Lower panels: specific regions of the phase portrait, demonstrating the different behavior of the system at different critical points (middle panel from left to right: (a) saddle, (b) stable spiral, and (c) saddle, stable spiral fixed points, respectively; lower panel from left to right: (d) saddle and stable spiral, (e) stable spiral and saddle, and (f) saddle, stable-node fixed points, respectively).
Universe 11 00271 g004
Figure 5. EoS for different values of φ i , ζ i for γ = 3.7 and δ = 10 .
Figure 5. EoS for different values of φ i , ζ i for γ = 3.7 and δ = 10 .
Universe 11 00271 g005
Figure 6. Phase space (left panel) and EoS (right panel) for initial conditions ( φ i = 0.01 , ζ i = 0.065 ) , in the model with γ = 60 and δ = 100 .
Figure 6. Phase space (left panel) and EoS (right panel) for initial conditions ( φ i = 0.01 , ζ i = 0.065 ) , in the model with γ = 60 and δ = 100 .
Universe 11 00271 g006
Figure 7. The plots correspond to the case in Figure 2, with initial conditions φ i = 0.001 , and various values of ζ i . In the upper panels (a,b) we illustrate the evolution of the relative change of the Hubble rate H with respect to its initial value, demonstrating the approximate constancy of H during inflation, which last for about O ( 50 60 ) e-foldings, depending on the values of ζ i . In the lower panels (c,d) we give the behavior of b and b ˙ , respectively, demonstrating explicitly the satisfaction of the slow-roll condition (25), on account of (20).
Figure 7. The plots correspond to the case in Figure 2, with initial conditions φ i = 0.001 , and various values of ζ i . In the upper panels (a,b) we illustrate the evolution of the relative change of the Hubble rate H with respect to its initial value, demonstrating the approximate constancy of H during inflation, which last for about O ( 50 60 ) e-foldings, depending on the values of ζ i . In the lower panels (c,d) we give the behavior of b and b ˙ , respectively, demonstrating explicitly the satisfaction of the slow-roll condition (25), on account of (20).
Universe 11 00271 g007
Figure 8. As in Figure 7, but for the the case depicted in Figure 3, with initial conditions φ i = 0.01 , and different values of ζ i . The slow-roll conditions of inflation are demonstrated.
Figure 8. As in Figure 7, but for the the case depicted in Figure 3, with initial conditions φ i = 0.01 , and different values of ζ i . The slow-roll conditions of inflation are demonstrated.
Universe 11 00271 g008
Figure 9. As in Figure 7 and Figure 8 but for the model depicted in Figure 6, corresponding to the initial conditions φ i = 0.01 , ζ i = 0.065 . Again, the satisfaction of the slow-roll conditions during inflation is evident.
Figure 9. As in Figure 7 and Figure 8 but for the model depicted in Figure 6, corresponding to the initial conditions φ i = 0.01 , ζ i = 0.065 . Again, the satisfaction of the slow-roll conditions during inflation is evident.
Universe 11 00271 g009
Figure 10. Phase space of (58) for | γ / δ | 1 (left panel) and for | γ / δ | 1 (right panel).
Figure 10. Phase space of (58) for | γ / δ | 1 (left panel) and for | γ / δ | 1 (right panel).
Universe 11 00271 g010
Figure 11. Potential (62) for different choice of parameters which has immediate effect on phase space and the relevant cosmologies. Note that the parameter β is responsible for the appearance or not of the infinite series of critical points in the potential, where β = 1 / 2 π corresponds the bifurcation point. Left panel: β > 1 / 2 π . Right panel: β < 1 / 2 π .
Figure 11. Potential (62) for different choice of parameters which has immediate effect on phase space and the relevant cosmologies. Note that the parameter β is responsible for the appearance or not of the infinite series of critical points in the potential, where β = 1 / 2 π corresponds the bifurcation point. Left panel: β > 1 / 2 π . Right panel: β < 1 / 2 π .
Universe 11 00271 g011
Figure 12. Phase space of dynamical system (69) for different initial conditions. Not all initial conditions result in eternal de Sitter-like spacetimes, like the blue curve corresponding to the initial conditions φ i = 0.10 , ζ i = 0.50 .
Figure 12. Phase space of dynamical system (69) for different initial conditions. Not all initial conditions result in eternal de Sitter-like spacetimes, like the blue curve corresponding to the initial conditions φ i = 0.10 , ζ i = 0.50 .
Universe 11 00271 g012
Figure 13. Phase space (left panel) and EoS (right panel) for φ i = 0.001 and values of ζ i for which we obtain N e = O ( 50 60 ) .
Figure 13. Phase space (left panel) and EoS (right panel) for φ i = 0.001 and values of ζ i for which we obtain N e = O ( 50 60 ) .
Universe 11 00271 g013
Figure 14. The plots correspond to the string/brane-inspired case of Figure 13, for the initial conditions φ i = 0.001 , and two characteristic values of the ζ i parameter, as shown in the upper left panel (a). The upper panels (a,b) show the change of the Hubble rate relative to an initial value H i , whilst the lower panels (c,d) depict the compactification-axion ϕ a and its cosmic rate ϕ ˙ a , demonstrating again the satisfaction of the slow-roll conditions during inflation, which, depending on the value of ζ i , can last as long as 60 e-foldings, consistent with the data [20].
Figure 14. The plots correspond to the string/brane-inspired case of Figure 13, for the initial conditions φ i = 0.001 , and two characteristic values of the ζ i parameter, as shown in the upper left panel (a). The upper panels (a,b) show the change of the Hubble rate relative to an initial value H i , whilst the lower panels (c,d) depict the compactification-axion ϕ a and its cosmic rate ϕ ˙ a , demonstrating again the satisfaction of the slow-roll conditions during inflation, which, depending on the value of ζ i , can last as long as 60 e-foldings, consistent with the data [20].
Universe 11 00271 g014
Table 1. Stability for first family C c 1 ( γ , δ ) with γ = 3.7 and δ = 10 .
Table 1. Stability for first family C c 1 ( γ , δ ) with γ = 3.7 and δ = 10 .
Critical Point φ ζ EigenvaluesStability
C 0 π / 2 0.78354 1.5 54.6867 i , 1.5 + 54.6867 i stable spiral
C 1 π / 2 0.525051   1.5 10.631 i , 1.5 + 10.631 i stable spiral
  ⋮ 
C 53 π / 2 0.0289208 1.5 0.101493 i , 1.5 + 0.101493 i stable spiral
C 54 π / 2 0.0284047 1.67755 , 1.32245 stable node
  ⋮ 
C 10000 π / 2 0.000159123 2.996 , 0.00400194 stable node
  ⋮ 
Table 2. Stability for second family D c 2 ( γ , δ ) with γ = 3.7 and δ = 10 .
Table 2. Stability for second family D c 2 ( γ , δ ) with γ = 3.7 and δ = 10 .
Critical Point φ ζ EigenvaluesStability
D 0 π / 2 0.963483   17.7144 , 14.7144  saddle
D 1 π / 2 0.600161   10.6852 , 7.68516  saddle
  ⋮ 
D 10000 π / 2 0.000159129   3.00399 , 0.00399072  saddle
  ⋮ 
Table 3. Summary of the behavior (critical points and their stability) of the dynamical system (43).
Table 3. Summary of the behavior (critical points and their stability) of the dynamical system (43).
Critical Point φ ζ Stability
O 1 00unstable
A 1 π / 2 0saddle
B 1 π 0unstable
C c 1 ( γ , δ ) π / 2 ζ 1 for | γ / δ | 1 stable spiral / node
D c 2 ( γ , δ ) π / 2 ζ 2 for | γ / δ | 1 saddle
Disclaimer/Publisher’s Note: The statements, opinions and data contained in all publications are solely those of the individual author(s) and contributor(s) and not of MDPI and/or the editor(s). MDPI and/or the editor(s) disclaim responsibility for any injury to people or property resulting from any ideas, methods, instructions or products referred to in the content.

Share and Cite

MDPI and ACS Style

Dorlis, P.; Mavromatos, N.E.; Vlachos, S.-N.; Vyros, M. Dynamical System Analysis of Single-Axion Monodromy Inflation with Periodically Modulated Potentials. Universe 2025, 11, 271. https://doi.org/10.3390/universe11080271

AMA Style

Dorlis P, Mavromatos NE, Vlachos S-N, Vyros M. Dynamical System Analysis of Single-Axion Monodromy Inflation with Periodically Modulated Potentials. Universe. 2025; 11(8):271. https://doi.org/10.3390/universe11080271

Chicago/Turabian Style

Dorlis, Panagiotis, Nick E. Mavromatos, Sotirios-Neilos Vlachos, and Makarios Vyros. 2025. "Dynamical System Analysis of Single-Axion Monodromy Inflation with Periodically Modulated Potentials" Universe 11, no. 8: 271. https://doi.org/10.3390/universe11080271

APA Style

Dorlis, P., Mavromatos, N. E., Vlachos, S.-N., & Vyros, M. (2025). Dynamical System Analysis of Single-Axion Monodromy Inflation with Periodically Modulated Potentials. Universe, 11(8), 271. https://doi.org/10.3390/universe11080271

Note that from the first issue of 2016, this journal uses article numbers instead of page numbers. See further details here.

Article Metrics

Back to TopTop