Bayesian Analysis of Hybrid Neutron Star EOS Constraints Within an Instantaneous Nonlocal Chiral Quark Matter Model
Abstract
1. Introduction
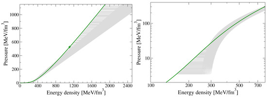
2. Hybrid Neutron Star EOS and Fitting Results
2.1. Nuclear Matter Phase
2.2. Color Superconducting 2SC Quark Matter
2.3. Phase Transition Construction
3. Mass, Radius and Tidal Deformability Fom TOV Solutions
- (I)
- for PSR J0348+0432 by Antoniadis et al. [90].
- (V)
- for GW170817 by Abbott et al. [26].
4. Bayesian Analysis and Results for Constraining the EOS
- -
- White: No Maxwell transition,
- -
- Gray: Maxwell transition occurs after the DD2 instability value (no stable hybrid stars),
- -
- Orange: Maxwell transition starts before the DD2 instability value, with a jump to the DD2 instability (no stable hybrid stars),
- -
- Green: Maxwell transition ends before the DD2 instability value (stable hybrid stars exist)
- -
- Blue: Maxwell transition ends before the DD2 instability value and satisfies the Seidov criterion, leading to extremely light twin stars. The Seidov criterion [111] states that for phase transitions with a gravitational instability of the compact star configuration is to be expected.
5. Conclusions
- The rightmost line of proportionality with the early onset of deconfinement, eventually accompanied with the mass twin phenomenon (blue dots),
- The region of stable hybrid stars (green dots),
- The upper right corner of this region, where the hybrid stars with highest maximum mass are found which are eventually disfavored because of missing compactness. In the present work, this corner is at , corresponding to at km.
- The region parameter region, where the onset of deconfinement is before the maximum central energy density of purely hadronic neutron stars, (orange dots), where there are no stable hybrid stars but due to the presence of a deconfinement transition in the EOS the maximum mass is lowered relative to the purely hadronic case,
- The region, where the onset of deconfinement occurs after the maximum central energy density of purely hadronic neutron stars, (grey dots).
Author Contributions
Funding
Data Availability Statement
Acknowledgments
Conflicts of Interest
References
- Sorensen, A.; Agarwal, K.; Brown, K.W.; Chajęcki, Z.; Danielewicz, P.; Drischler, C.; Gandolfi, S.; Holt, J.W.; Kaminski, M.; Ko, C.; et al. Dense nuclear matter equation of state from heavy-ion collisions. Prog. Part. Nucl. Phys. 2024, 134, 104080. [Google Scholar] [CrossRef]
- Blaschke, D.; Schaffner-Bielich, J.; Schulze, H.J. (Eds.) Exotic Matter in Neutron Stars; European Physical Journal A; Springer: Berlin/Heidelberg, Germany, 2016; Volume 52. [Google Scholar]
- Rezzolla, L.; Pizzochero, P.; Jones, D.I.; Rea, N.; Vidaña, I. (Eds.) The Physics and Astrophysics of Neutron Stars. In Astrophysics and Space Science Library; Springer: Cham, Switzerland, 2018; Volume 457. [Google Scholar] [CrossRef]
- Chanlaridis, S.; Ohse, D.; Alvarez-Castillo, D.E.; Antoniadis, J.; Blaschke, D.; Danchev, V.; Langer, N.; Misra, D. Formation of twin compact stars in low-mass X-ray binaries: Implications on eccentric and isolated millisecond pulsar populations. Astron. Astrophys. 2025, 695, A16. [Google Scholar] [CrossRef]
- Bauswein, A.; Bastian, N.U.F.; Blaschke, D.B.; Chatziioannou, K.; Clark, J.A.; Fischer, T.; Oertel, M. Identifying a first-order phase transition in neutron star mergers through gravitational waves. Phys. Rev. Lett. 2019, 122, 061102. [Google Scholar] [CrossRef]
- Fischer, T.; Bastian, N.U.F.; Wu, M.R.; Baklanov, P.; Sorokina, E.; Blinnikov, S.; Typel, S.; Klähn, T.; Blaschke, D.B. Quark deconfinement as a supernova explosion engine for massive blue supergiant stars. Nat. Astron. 2018, 2, 980–986. [Google Scholar] [CrossRef]
- Gell-Mann, M. A Schematic Model of Baryons and Mesons. Phys. Lett. 1964, 8, 214–215. [Google Scholar] [CrossRef]
- Zweig, G. An SU(3) model for strong interaction symmetry and its breaking. Preprint 1964. [Google Scholar] [CrossRef]
- Ivanenko, D.D.; Kurdgelaidze, D.F. Hypothesis concerning quark stars. Astrophysics 1965, 1, 251–252. [Google Scholar] [CrossRef]
- Gerlach, U.H. Equation of State at Supranuclear Densities and the Existence of a Third Family of Superdense Stars. Phys. Rev. 1968, 172, 1325–1330. [Google Scholar] [CrossRef]
- Gross, D.J.; Wilczek, F. Ultraviolet Behavior of Nonabelian Gauge Theories. Phys. Rev. Lett. 1973, 30, 1343–1346. [Google Scholar] [CrossRef]
- Politzer, H.D. Reliable Perturbative Results for Strong Interactions? Phys. Rev. Lett. 1973, 30, 1346–1349. [Google Scholar] [CrossRef]
- Collins, J.C.; Perry, M.J. Superdense Matter: Neutrons or Asymptotically Free Quarks? Phys. Rev. Lett. 1975, 34, 1353. [Google Scholar] [CrossRef]
- Baym, G.; Chin, S.A. Can a Neutron Star Be a Giant MIT Bag? Phys. Lett. B 1976, 62, 241–244. [Google Scholar] [CrossRef]
- Chodos, A.; Jaffe, R.L.; Johnson, K.; Thorn, C.B.; Weisskopf, V.F. A New Extended Model of Hadrons. Phys. Rev. D 1974, 9, 3471–3495. [Google Scholar] [CrossRef]
- Chodos, A.; Jaffe, R.L.; Johnson, K.; Thorn, C.B. Baryon Structure in the Bag Theory. Phys. Rev. D 1974, 10, 2599. [Google Scholar] [CrossRef]
- DeGrand, T.A.; Jaffe, R.L.; Johnson, K.; Kiskis, J.E. Masses and Other Parameters of the Light Hadrons. Phys. Rev. D 1975, 12, 2060. [Google Scholar] [CrossRef]
- Walecka, J.D. A Theory of highly condensed matter. Ann. Phys. 1974, 83, 491–529. [Google Scholar] [CrossRef]
- Chin, S.A.; Walecka, J.D. An Equation of State for Nuclear and Higher-Density Matter Based on a Relativistic Mean-Field Theory. Phys. Lett. B 1974, 52, 24–28. [Google Scholar] [CrossRef]
- Pandharipande, V.R.; Smith, R.A. A model neutron solid with π 0 condensate. Nucl. Phys. A 1975, 237, 507–532. [Google Scholar] [CrossRef]
- Bodmer, A.R. Collapsed nuclei. Phys. Rev. D 1971, 4, 1601–1606. [Google Scholar] [CrossRef]
- Witten, E. Cosmic Separation of Phases. Phys. Rev. D 1984, 30, 272–285. [Google Scholar] [CrossRef]
- Haensel, P.; Zdunik, J.L.; Schaeffer, R. Strange quark stars. Astron. Astrophys. 1986, 160, 121–128. [Google Scholar]
- Bethe, H.A.; Brown, G.E.; Cooperstein, J. Stars of Strange Matter? Nucl. Phys. A 1987, 462, 791–802. [Google Scholar] [CrossRef]
- Abbott, B.P.; Abbott, R.; Abbott, T.; Acernese, F.; Ackley, K.; Adams, C.; Adams, T.; Addesso, P.; Adhikari, R. GW170817: Observation of Gravitational Waves from a Binary Neutron Star Inspiral. Phys. Rev. Lett. 2017, 119, 161101. [Google Scholar] [CrossRef]
- Abbott, B.P.; Abbott, R.; Abbott, T.D.; Acernese, F.; Ackley, K.; Adams, C.; Adams, T.; Addesso, P.; Adhikari, R.X.; Adya, V.B.; et al. GW170817: Measurements of neutron star radii and equation of state. Phys. Rev. Lett. 2018, 121, 161101. [Google Scholar] [PubMed]
- Abbott, B.P.; Abbott, R.; Abbott, T.D.; Acernese, F.; Ackley, K.; Adams, C.; Adams, T.; Addesso, P.; Adhikari, R.X.; Adya, V.B.; et al. Multi-messenger Observations of a Binary Neutron Star Merger. Astrophys. J. Lett. 2017, 848, L12. [Google Scholar] [CrossRef]
- Sneppen, A.; Just, O.; Bauswein, A.; Damgaard, R.; Watson, D.; Shingles, L.J.; Collins, C.E.; Sim, S.A.; Xiong, Z.; Martinez-Pinedo, G.; et al. Helium as an Indicator of the Neutron-Star Merger Remnant Lifetime and its Potential for Equation of State Constraints. arXiv 2024, arXiv:2411.03427. [Google Scholar]
- Blacker, S.; Bauswein, A. Comprehensive survey of hybrid equations of state in neutron star mergers and constraints on the hadron-quark phase transition. arXiv 2024, arXiv:2406.14669. [Google Scholar]
- Christian, J.E.; Rather, I.A.; Gholami, H.; Hofmann, M. Comprehensive Analysis of Constructing Hybrid Stars with an RG-consistent NJL Model. arXiv 2025, arXiv:2503.13626. [Google Scholar]
- Mroczek, D.; Miller, M.C.; Noronha-Hostler, J.; Yunes, N. Nontrivial features in the speed of sound inside neutron stars. Phys. Rev. D 2024, 110, 123009. [Google Scholar] [CrossRef]
- Brandes, L.; Weise, W.; Kaiser, N. Evidence against a strong first-order phase transition in neutron star cores: Impact of new data. Phys. Rev. D 2023, 108, 094014. [Google Scholar] [CrossRef]
- Doroshenko, V.; Suleimanov, V.; Pühlhofer, G.; Santangelo, A. A strangely light neutron star within a supernova remnant. Nat. Astron. 2022, 6, 1444–1451. [Google Scholar] [CrossRef]
- Ayriyan, A.; Blaschke, D.; Grunfeld, A.G.; Alvarez-Castillo, D.; Grigorian, H.; Abgaryan, V. Bayesian analysis of multimessenger M-R data with interpolated hybrid EoS. Eur. Phys. J. A 2021, 57, 318. [Google Scholar] [CrossRef]
- Klahn, T.; Blaschke, D.; Sandin, F.; Fuchs, C.; Faessler, A.; Grigorian, H.; Ropke, G.; Trumper, J. Modern compact star observations and the quark matter equation of state. Phys. Lett. B 2007, 654, 170–176. [Google Scholar] [CrossRef]
- Blaschke, D.; Fredriksson, S.; Grigorian, H.; Oztas, A.M.; Sandin, F. The Phase diagram of three-flavor quark matter under compact star constraints. Phys. Rev. D 2005, 72, 065020. [Google Scholar] [CrossRef]
- Klähn, T.; Łastowiecki, R.; Blaschke, D.B. Implications of the measurement of pulsars with two solar masses for quark matter in compact stars and heavy-ion collisions: A Nambu–Jona-Lasinio model case study. Phys. Rev. D 2013, 88, 085001. [Google Scholar] [CrossRef]
- Fuchs, C. The Relativistic Dirac-Brueckner approach to nuclear matter. Lect. Notes Phys. 2004, 641, 119–146. [Google Scholar] [CrossRef]
- Baym, G.; Furusawa, S.; Hatsuda, T.; Kojo, T.; Togashi, H. New Neutron Star Equation of State with Quark-Hadron Crossover. Astrophys. J. 2019, 885, 42. [Google Scholar] [CrossRef]
- Masuda, K.; Hatsuda, T.; Takatsuka, T. Hadron–quark crossover and massive hybrid stars. Prog. Theor. Exp. Phys. 2013, 2013, 073D01. [Google Scholar] [CrossRef]
- Baym, G.; Hatsuda, T.; Kojo, T.; Powell, P.D.; Song, Y.; Takatsuka, T. From hadrons to quarks in neutron stars: A review. Rept. Prog. Phys. 2018, 81, 056902. [Google Scholar] [CrossRef]
- Kaltenborn, M.A.R.; Bastian, N.U.F.; Blaschke, D.B. Quark-nuclear hybrid star equation of state with excluded volume effects. Phys. Rev. D 2017, 96, 056024. [Google Scholar] [CrossRef]
- Horowitz, C.J.; Moniz, E.J.; Negele, J.W. Hadron structure in a simple model of quark/nuclear matter. Phys. Rev. D 1985, 31, 1689–1699. [Google Scholar] [CrossRef] [PubMed]
- Ropke, G.; Blaschke, D.; Schulz, H. Pauli Quenching Effects in a Simple String Model of Quark / Nuclear Matter. Phys. Rev. D 1986, 34, 3499–3513. [Google Scholar] [CrossRef]
- Ivanytskyi, O.; Blaschke, D. Density functional approach to quark matter with confinement and color superconductivity. Phys. Rev. D 2022, 105, 114042. [Google Scholar] [CrossRef]
- Ivanytskyi, O.; Blaschke, D. A new class of hybrid EoS with multiple critical endpoints for simulations of supernovae, neutron stars and their mergers. Eur. Phys. J. A 2022, 58, 152. [Google Scholar] [CrossRef]
- Fowler, G.N.; Raha, S.; Weiner, R.M. Confinement and Phase Transitions. Z. Phys. C 1981, 9, 271. [Google Scholar] [CrossRef]
- Plumer, M.; Raha, S.; Weiner, R.M. Effect of confinement on the velocity of sound in quark-gluon plasma. Phys. Lett. B 1984, 139, 198–202. [Google Scholar] [CrossRef]
- Wen, X.J.; Zhong, X.H.; Peng, G.X.; Shen, P.N.; Ning, P.Z. Thermodynamics with density and temperature dependent particle masses and properties of bulk strange quark matter and strangelets. Phys. Rev. C 2005, 72, 015204. [Google Scholar] [CrossRef]
- Yin, S.y.; Su, R.K. Consistent thermodynamic treatment for a quark-mass density-dependent model. Phys. Rev. C 2008, 77, 055204. [Google Scholar] [CrossRef]
- Xia, C.J.; Peng, G.X.; Chen, S.W.; Lu, Z.Y.; Xu, J.F. Thermodynamic consistency, quark mass scaling, and properties of strange matter. Phys. Rev. D 2014, 89, 105027. [Google Scholar] [CrossRef]
- Li, A.; Zuo, W.; Peng, G.X. Massive hybrid stars with a first order phase transition. Phys. Rev. C 2015, 91, 035803. [Google Scholar] [CrossRef]
- Lugones, G.; Grunfeld, A.G. Cold dense quark matter with phenomenological medium effects: A self-consistent formulation of the quark-mass density-dependent model. Phys. Rev. D 2023, 107, 043025. [Google Scholar] [CrossRef]
- Issifu, A.; da Silva, F.M.; Menezes, D.P. Proto-strange quark stars from density-dependent quark mass model. Eur. Phys. J. C 2024, 84, 463. [Google Scholar] [CrossRef]
- Alvarez-Castillo, D.E.; Blaschke, D.B.; Grunfeld, A.G.; Pagura, V.P. Third family of compact stars within a nonlocal chiral quark model equation of state. Phys. Rev. D 2019, 99, 063010. [Google Scholar] [CrossRef]
- Contrera, G.A.; Blaschke, D.; Carlomagno, J.P.; Grunfeld, A.G.; Liebing, S. Quark-nuclear hybrid equation of state for neutron stars under modern observational constraints. Phys. Rev. C 2022, 105, 045808. [Google Scholar] [CrossRef]
- Akmal, A.; Pandharipande, V.R.; Ravenhall, D.G. The Equation of state of nucleon matter and neutron star structure. Phys. Rev. C 1998, 58, 1804–1828. [Google Scholar] [CrossRef]
- Togashi, H.; Takano, M. Variational study for the equation of state of asymmetric nuclear matter at finite temperatures. Nucl. Phys. A 2013, 902, 53–73. [Google Scholar] [CrossRef]
- Togashi, H.; Hiyama, E.; Yamamoto, Y.; Takano, M. Equation of state for neutron stars with hyperons by the variational method. Phys. Rev. C 2016, 93, 035808. [Google Scholar] [CrossRef]
- Togashi, H.; Nakazato, K.; Takehara, Y.; Yamamuro, S.; Suzuki, H.; Takano, M. Nuclear equation of state for core-collapse supernova simulations with realistic nuclear forces. Nucl. Phys. A 2017, 961, 78–105. [Google Scholar] [CrossRef]
- Typel, S.; Ropke, G.; Klähn, T.; Blaschke, D.; Wolter, H.H. Composition and thermodynamics of nuclear matter with light clusters. Phys. Rev. 2010, C81, 015803. [Google Scholar] [CrossRef]
- Carlomagno, J.P.; Contrera, G.A.; Grunfeld, A.G.; Blaschke, D. Thermal twin stars within a hybrid equation of state based on a nonlocal chiral quark model compatible with modern astrophysical observations. Phys. Rev. D 2024, 109, 043050. [Google Scholar] [CrossRef]
- Gärtlein, C.; Ivanytskyi, O.; Sagun, V.; Blaschke, D. Hybrid star phenomenology from the properties of the special point. Phys. Rev. D 2023, 108, 114028. [Google Scholar] [CrossRef]
- Gärtlein, C.; Sagun, V.; Ivanytskyi, O.; Blaschke, D.; Lopes, I. Fastest spinning millisecond pulsars: Indicators for quark matter in neutron stars? arXiv 2024, arXiv:2412.07758. [Google Scholar]
- Baym, G.; Pethick, C.; Sutherland, P. The Ground state of matter at high densities: Equation of state and stellar models. Astrophys. J. 1971, 170, 299–317. [Google Scholar] [CrossRef]
- Fortin, M.; Providencia, C.; Raduta, A.R.; Gulminelli, F.; Zdunik, J.L.; Haensel, P.; Bejger, M. Neutron star radii and crusts: Uncertainties and unified equations of state. Phys. Rev. C 2016, 94, 035804. [Google Scholar] [CrossRef]
- Oertel, M.; Hempel, M.; Klähn, T.; Typel, S. Equations of state for supernovae and compact stars. Rev. Mod. Phys. 2017, 89, 015007. [Google Scholar] [CrossRef]
- Typel, S. Equations of state for astrophysical simulations from generalized relativistic density functionals. J. Phys. G 2018, 45, 114001. [Google Scholar] [CrossRef]
- Antonopoulou, D.; Bozzo, E.; Ishizuka, C.; Jones, D.I.; Oertel, M.; Providencia, C.; Tolos, L.; Typel, S. CompOSE: A repository for neutron star equations of state and transport properties. Eur. Phys. J. A 2022, 58, 254. [Google Scholar] [CrossRef]
- Typel, S.; Oertel, M.; Klähn, T.; Chatterjee, D.; Dexheimer, V.; Ishizuka, C.; Mancini, M.; Novak, J.; Pais, H.; Providência, C.; et al. CompOSE Reference Manual. Eur. Phys. J. A 2022, 58, 221. [Google Scholar] [CrossRef]
- Blaschke, D.B.; Gomez Dumm, D.; Grunfeld, A.G.; Klahn, T.; Scoccola, N.N. Hybrid stars within a covariant, nonlocal chiral quark model. Phys. Rev. 2007, C75, 065804. [Google Scholar] [CrossRef]
- Gomez Dumm, D.; Blaschke, D.B.; Grunfeld, A.G.; Scoccola, N.N. Phase diagram of neutral quark matter in nonlocal chiral quark models. Phys. Rev. 2006, D73, 114019. [Google Scholar] [CrossRef]
- Burgio, G.; Schrock, M.; Reinhardt, H.; Quandt, M. Running mass, effective energy and confinement: The lattice quark propagator in Coulomb gauge. Phys. Rev. D 2012, 86, 014506. [Google Scholar] [CrossRef]
- Ivanytskyi, O. Asymptotically conformal color-flavor-locked quark matter within a nonlocal chiral quark model. Phys. Rev. D 2025, 111, 034004. [Google Scholar] [CrossRef]
- Shahrbaf, M.; Antić, S.; Ayriyan, A.; Blaschke, D.; Grunfeld, A.G. Constraining free parameters of a color superconducting nonlocal Nambu–Jona-Lasinio model using Bayesian analysis of neutron stars mass and radius measurements. Phys. Rev. D 2023, 107, 054011. [Google Scholar] [CrossRef]
- Lindblom, L. Determining the Nuclear Equation of State from Neutron-Star Masses and Radii. Astrophys. J. 1992, 398, 569. [Google Scholar] [CrossRef]
- Tolman, R.C. Static solutions of Einstein’s field equations for spheres of fluid. Phys. Rev. 1939, 55, 364–373. [Google Scholar] [CrossRef]
- Oppenheimer, J.R.; Volkoff, G.M. On massive neutron cores. Phys. Rev. 1939, 55, 374–381. [Google Scholar] [CrossRef]
- Hinderer, T. Tidal Love numbers of neutron stars. Astrophys. J. 2008, 677, 1216–1220, Erratum in Astrophys. J. 2009, 697, 964. [Google Scholar] [CrossRef]
- Damour, T.; Nagar, A. Relativistic tidal properties of neutron stars. Phys. Rev. D 2009, 80, 084035. [Google Scholar] [CrossRef]
- Hinderer, T.; Lackey, B.D.; Lang, R.N.; Read, J.S. Tidal deformability of neutron stars with realistic equations of state and their gravitational wave signatures in binary inspiral. Phys. Rev. D 2010, 81, 123016. [Google Scholar] [CrossRef]
- Yudin, A.V.; Razinkova, T.L.; Nadyozhin, D.K.; Dolgov, A.D. Special point on the mass radius diagram of hybrid stars. Astron. Lett. 2014, 40, 201. [Google Scholar] [CrossRef]
- Cierniak, M.; Blaschke, D. The special point on the hybrid star mass–radius diagram and its multi–messenger implications. Eur. Phys. J. Spec. Top. 2020, 229, 3663–3673. [Google Scholar] [CrossRef]
- Blaschke, D.; Ayriyan, A.; Cierniak, M.; Grunfeld, A.G.; Ivanytskyi, O.; Shahrbaf, M. Special point ”trains” in the M-R diagram of hybrid stars. EPJ Web Conf. 2022, 274, 07011. [Google Scholar] [CrossRef]
- Komoltsev, O.; Kurkela, A. How Perturbative QCD Constrains the Equation of State at Neutron-Star Densities. Phys. Rev. Lett. 2022, 128, 202701. [Google Scholar] [CrossRef]
- Gorda, T.; Komoltsev, O.; Kurkela, A. Ab-initio QCD Calculations Impact the Inference of the Neutron-star-matter Equation of State. Astrophys. J. 2023, 950, 107. [Google Scholar] [CrossRef]
- Annala, E.; Gorda, T.; Hirvonen, J.; Komoltsev, O.; Kurkela, A.; Nättilä, J.; Vuorinen, A. Strongly interacting matter exhibits deconfined behavior in massive neutron stars. Nat. Commun. 2023, 14, 8451. [Google Scholar] [CrossRef]
- Typel, S. CompOSE: A repository of equations of state for astrophysical applications. Eur. Phys. J. A 2021, 57, 284. [Google Scholar] [CrossRef]
- Komoltsev, O.; Gorda, T.; Kurkela, A. QCD Likelihood Function; Zenodo: Geneva, Switzerland, 2023. [Google Scholar] [CrossRef]
- Antoniadis, J.; Freire, P.C.C.; Wex, N.; Tauris, T.M.; Lynch, R.S.; van Kerkwijk, M.H.; Kramer, M.; Bassa, C.; Dhillon, V.S.; Driebe, T.; et al. A Massive Pulsar in a Compact Relativistic Binary. Science 2013, 340, 448. [Google Scholar] [CrossRef] [PubMed]
- Saffer, A.; Fonseca, E.; Ransom, S.; Stairs, I.; Lynch, R.; Good, D.; Masui, K.W.; McKee, J.W.; Meyers, B.W.; Patil, S.S.; et al. A Lower Mass Estimate for PSR J0348+0432 Based on CHIME/Pulsar Precision Timing. arXiv 2024. [Google Scholar] [CrossRef]
- Amiri, M.; Bandura, K.; Boskovic, A.; Chen, T.; Cliche, J.F.; Deng, M.; Denman, N.; Dobbs, M.; Fandino, M.; Foreman, S.; et al. An Overview of CHIME, the Canadian Hydrogen Intensity Mapping Experiment. Astrophys. J. Suppl. Ser. 2022, 261, 29. [Google Scholar] [CrossRef]
- Antoniadis, J. Private communication.
- Miller, M.C.; Lamb, F.K.; Dittmann, A.J.; Bogdanov, S.; Arzoumanian, Z.; Gendreau, K.C.; Guillot, S.; Harding, A.K.; Ho, W.C.G.; Lattimer, J.M.; et al. PSR J0030+0451 Mass and Radius from NICER Data and Implications for the Properties of Neutron Star Matter. Astrophys. J. Lett. 2019, 887, L24. [Google Scholar] [CrossRef]
- Dittmann, A.J.; Miller, M.C.; Lamb, F.K.; Holt, I.M.; Chirenti, C.; Wolff, M.T.; Bogdanov, S.; Guillot, S.; Ho, W.C.G.; Morsink, S.M.; et al. A More Precise Measurement of the Radius of PSR J0740+6620 Using Updated NICER Data. Astrophys. J. 2024, 974, 295. [Google Scholar] [CrossRef]
- Miller, M.C.; Lamb, F.K.; Dittmann, A.J.; Bogdanov, S.; Arzoumanian, Z.; Gendreau, K.C.; Guillot, S.; Ho, W.C.G.; Lattimer, J.M.; Loewenstein, M.; et al. The Radius of PSR J0740+6620 from NICER and XMM-Newton Data. Astrophys. J. Lett. 2021, 918, L28. [Google Scholar] [CrossRef]
- Choudhury, D.; Salmi, T.; Vinciguerra, S.; Riley, T.E.; Kini, Y.; Watts, A.L.; Dorsman, B.; Bogdanov, S.; Guillot, S.; Ray, P.S.; et al. A NICER View of the Nearest and Brightest Millisecond Pulsar: PSR J0437–4715. Astrophys. J. Lett. 2024, 971, L20. [Google Scholar] [CrossRef]
- Romani, R.W.; Kandel, D.; Filippenko, A.V.; Brink, T.G.; Zheng, W. PSR J0952-0607: The Fastest and Heaviest Known Galactic Neutron Star. Astrophys. J. Lett. 2022, 934, L17. [Google Scholar] [CrossRef]
- Bauswein, A.; Just, O.; Janka, H.T.; Stergioulas, N. Neutron-star radius constraints from GW170817 and future detections. Astrophys. J. Lett. 2017, 850, L34. [Google Scholar] [CrossRef]
- Annala, E.; Gorda, T.; Kurkela, A.; Vuorinen, A. Gravitational-wave constraints on the neutron-star-matter Equation of State. Phys. Rev. Lett. 2018, 120, 172703. [Google Scholar] [CrossRef]
- Riley, T.E.; Watts, A.L.; Ray, P.S.; Bogdanov, S.; Guillot, S.; Morsink, S.M.; Bilous, A.V.; Arzoumanian, Z.; Choudhury, D.; Deneva, J.S.; et al. A NICER View of the Massive Pulsar PSR J0740+6620 Informed by Radio Timing and XMM-Newton Spectroscopy. Astrophys. J. Lett. 2021, 918, L27. [Google Scholar] [CrossRef]
- Raaijmakers, G.; Riley, T.E.; Watts, A.L.; Greif, S.K.; Morsink, S.M.; Hebeler, K.; Schwenk, A.; Hinderer, T.; Nissanke, S.; Guillot, S.; et al. A NICER view of PSR J0030+0451: Implications for the dense matter equation of state. Astrophys. J. Lett. 2019, 887, L22. [Google Scholar] [CrossRef]
- Fonseca, E.; Cromartie, H.T.; Pennucci, T.T.; Ray, P.S.; Kirichenko, A.Y.; Ransom, S.M.; Demorest, P.B.; Stairs, I.H.; Arzoumanian, Z.; Guillemot, L.; et al. Refined Mass and Geometric Measurements of the High-mass PSR J0740+6620. Astrophys. J. Lett. 2021, 915, L12. [Google Scholar] [CrossRef]
- Cromartie, H.T.; Fonseca, E.; Ransom, S.M.; Demorest, P.B.; Arzoumanian, Z.; Blumer, H.; Brook, P.R.; DeCesar, M.E.; Dolch, T.; Ellis, J.A.; et al. Relativistic Shapiro delay measurements of an extremely massive millisecond pulsar. Nat. Astron. 2019, 4, 72–76. [Google Scholar] [CrossRef]
- Chacón, J.E.; Duong, T. Multivariate Kernel Smoothing and Its Applications; Chapman & Hall/CRC Monographs on Statistics and Applied Probability; Chapman & Hall/CRC: Philadelphia, PA, USA, 2020. [Google Scholar]
- Miller, M.C.; Lamb, F.K.; Dittmann, A.J.; Bogdanov, S.; Arzoumanian, Z.; Gendreau, K.C.; Guillot, S.; Harding, A.K.; Ho, W.C.G.; Lattimer, J.M.; et al. NICER PSR J0030+0451 Illinois-Maryland MCMC Samples. Astrophys. J. Lett. 2019, 887, L24. [Google Scholar] [CrossRef]
- Dittmann, A.J.; Miller, M.C.; Lamb, F.K.; Holt, I.; Chirenti, C.; Wolff, M.T.; Bogdanov, S.; Guillot, S.; Ho, W.C.G.; Morsink, S.M.; et al. Updated NICER PSR J0740+6620 Illinois-Maryland MCMC Samples; Zenodo: Geneva, Switzerland, 2024. [Google Scholar] [CrossRef]
- Choudhury, D.; Salmi, T.; Serena, V.; Riley, T.; Kini, Y.; Watts, A.L.; Dorsman, B.; Bogdanov, S.; Guillot, S.; Ray, P.S.; et al. Reproduction Package for: ‘A NICER View of the Nearest and Brightest Millisecond Pulsar: PSR J0437–4715’; Zenodo: Geneva, Switzerland, 2024. [Google Scholar] [CrossRef]
- Doroshenko, V.; Suleimanov, V.F.; Pühlhofer, G.; Santangelo, A. MCMC Samples for X-Ray Spectra Fits Summarised in the Paper “A Strangely Light Neutron Star”; Zenodo: Geneva, Switzerland, 2023. [Google Scholar] [CrossRef]
- Abbott, B.P. [The LIGO Scientific Collaboration and the Virgo Collaboration] LIGO-P1800115-v12: GW170817: Measurements of Neutron Star Radii and Equation of State—dcc.ligo.org. 2018. Available online: https://dcc.ligo.org/LIGO-P1800115/public, (accessed on 24 October 2024).
- Seidov, Z.F. The Stability of a Star with a Phase Change in General Relativity Theory. Sov. Astron. 1971, 15, 347. [Google Scholar]
- Dietrich, T.; Coughlin, M.W.; Pang, P.T.H.; Bulla, M.; Heinzel, J.; Issa, L.; Tews, I.; Antier, S. Multimessenger constraints on the neutron-star equation of state and the Hubble constant. Science 2020, 370, 1450–1453. [Google Scholar] [CrossRef]
- Alford, M.; Blaschke, D.; Drago, A.; Klahn, T.; Pagliara, G.; Schaffner-Bielich, J. Quark matter in compact stars? Nature 2007, 445, E7–E8. [Google Scholar] [CrossRef] [PubMed]
- Zhang, C.; Mann, R.B. Unified Interacting Quark Matter and its Astrophysical Implications. Phys. Rev. D 2021, 103, 063018. [Google Scholar] [CrossRef]
- Blaschke, D.; Shukla, U.; Ivanytskyi, O.; Liebing, S. Effect of color superconductivity on the mass of hybrid neutron stars in an effective model with perturbative QCD asymptotics. Phys. Rev. D 2023, 107, 063034. [Google Scholar] [CrossRef]
- Ferreira, M.; Providência, C. Constraining neutron star matter from the slope of the mass-radius curves. Phys. Rev. D 2024, 110, 063018. [Google Scholar] [CrossRef]
- Gorda, T.; Kurkela, A.; Paatelainen, R.; Säppi, S.; Vuorinen, A. Soft Interactions in Cold Quark Matter. Phys. Rev. Lett. 2021, 127, 162003. [Google Scholar] [CrossRef]












| i | par. | Units | |||||||
|---|---|---|---|---|---|---|---|---|---|
| 1 | A | 88.637 | 1.861 | −30.368 | −76.654 | 2.891 | 95.324 | ||
| 2 | B | −192.280 | −10.180 | 30.455 | 390.920 | −28.613 | −100.950 | ||
| 3 | 0.142 | −0.071 | 0.066 | −0.166 | 0.134 | 0.427 |
| (, ) | Mmax | Rmax | c,max | c,max | Monset | Ronset | c,onset | c,onset | |
|---|---|---|---|---|---|---|---|---|---|
| – | km | MeV | km | MeV | |||||
| A | DD2 | 2.414 | 11.84 | 1107.88 | 1909.04 | – | – | – | – |
| B | (1.12, 0.76) | 2.411 | 12.01 | 1116.29 | 1820.92 | 2.410 | 12.03 | 998.54 | 1810.84 |
| C | (1.08, 0.44) | 2.195 | 11.42 | 1175.19 | 1709.54 | 0.630 | 12.92 | 234.47 | 1017.95 |
| D | (1.19, 0.99) | 2.568 | 12.54 | 931.18 | 1776.96 | 0.323 | 13.84 | 188.38 | 983.82 |
| E | (1.18, 0.91) | 2.521 | 12.38 | 956.42 | 1767.16 | 0.330 | 13.78 | 196.10 | 984.87 |
Disclaimer/Publisher’s Note: The statements, opinions and data contained in all publications are solely those of the individual author(s) and contributor(s) and not of MDPI and/or the editor(s). MDPI and/or the editor(s) disclaim responsibility for any injury to people or property resulting from any ideas, methods, instructions or products referred to in the content. |
© 2025 by the authors. Licensee MDPI, Basel, Switzerland. This article is an open access article distributed under the terms and conditions of the Creative Commons Attribution (CC BY) license (https://creativecommons.org/licenses/by/4.0/).
Share and Cite
Ayriyan, A.; Blaschke, D.; Carlomagno, J.P.; Contrera, G.A.; Grunfeld, A.G. Bayesian Analysis of Hybrid Neutron Star EOS Constraints Within an Instantaneous Nonlocal Chiral Quark Matter Model. Universe 2025, 11, 141. https://doi.org/10.3390/universe11050141
Ayriyan A, Blaschke D, Carlomagno JP, Contrera GA, Grunfeld AG. Bayesian Analysis of Hybrid Neutron Star EOS Constraints Within an Instantaneous Nonlocal Chiral Quark Matter Model. Universe. 2025; 11(5):141. https://doi.org/10.3390/universe11050141
Chicago/Turabian StyleAyriyan, Alexander, David Blaschke, Juan Pablo Carlomagno, Gustavo A. Contrera, and Ana Gabriela Grunfeld. 2025. "Bayesian Analysis of Hybrid Neutron Star EOS Constraints Within an Instantaneous Nonlocal Chiral Quark Matter Model" Universe 11, no. 5: 141. https://doi.org/10.3390/universe11050141
APA StyleAyriyan, A., Blaschke, D., Carlomagno, J. P., Contrera, G. A., & Grunfeld, A. G. (2025). Bayesian Analysis of Hybrid Neutron Star EOS Constraints Within an Instantaneous Nonlocal Chiral Quark Matter Model. Universe, 11(5), 141. https://doi.org/10.3390/universe11050141

