Weak Deflection Angle by the Einstein–Cartan Traversable Wormhole Using Gauss–Bonnet Theorem with Time Delay
Abstract
1. Introduction
2. Einstein–Cartan Traversable Wormhole Solutions
3. Gauss–Bonnet (GB) Method
3.1. Gaussian Optical Curvature
3.2. Deflection Angle
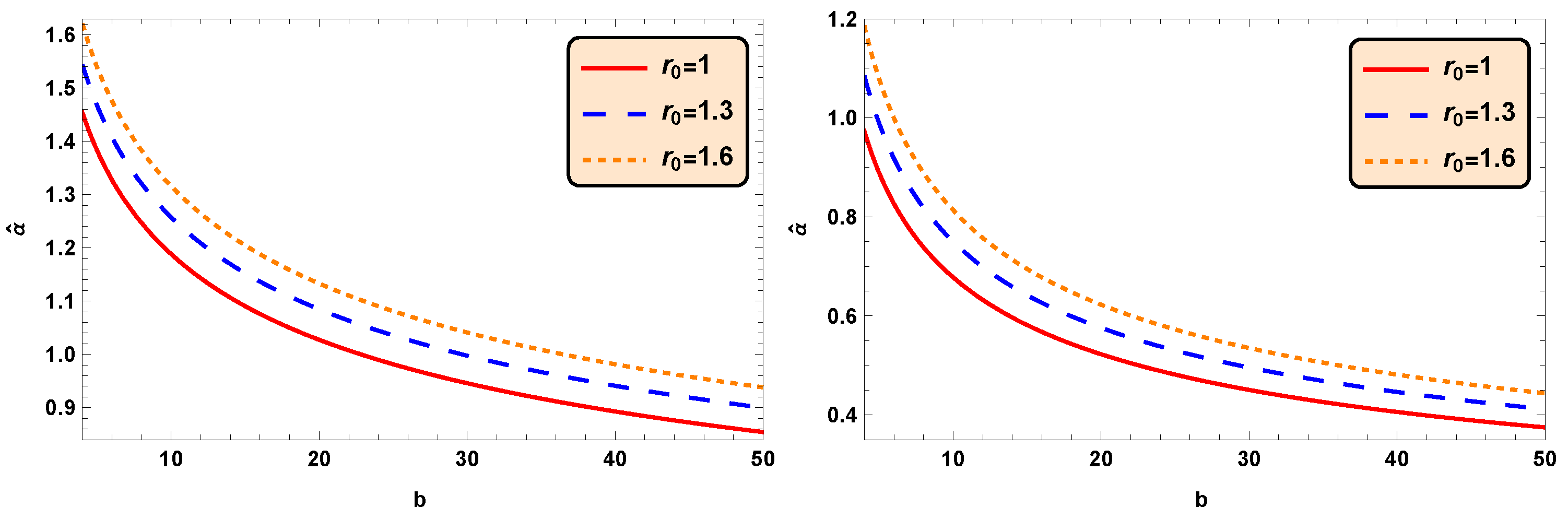
3.2.1. Case-I:
3.2.2. Case-II:
3.2.3. Case-III:
3.2.4. Case-IV:
4. Dark Matter’s Influence on Deflection Angle
5. Maxwell’s Fish Eye Matter Influences on Deflection Angle
6. Deflection Angle Using the Keeton and Petters Method
7. Time Delay
8. Results and Conclusions
Author Contributions
Funding
Data Availability Statement
Acknowledgments
Conflicts of Interest
References
- Weyl, H. Feld und materie. Ann. Phys. 1921, 65, 541. [Google Scholar] [CrossRef]
- Einstein, A.; Rosen, N. The particle problem in the general theory of relativity. Phys. Rev. 1935, 48, 73. [Google Scholar] [CrossRef]
- Fuller, R.W.; Wheeler, J.A. Causality and multiply connected space-time. Phys. Rev. 1962, 128, 919. [Google Scholar] [CrossRef]
- Morris, M.S.; Thorne, K.S. Wormholes in spacetime and their use for interstellar travel: A tool for teaching general relativity. Am. J. Phys. 1988, 56, 395. [Google Scholar] [CrossRef]
- Morris, M.S.; Thorne, K.S.; Yurtsever, U. Wormholes, time machines, and the weak energy condition. Phys. Rev. Lett. 1988, 61, 1446. [Google Scholar] [CrossRef] [PubMed]
- Hochberg, D.; Visser, M. Dynamic wormholes, antitrapped surfaces, and energy conditions. Phys. Rev. D 1998, 58, 044021. [Google Scholar] [CrossRef]
- Hawking, S.W. Wormholes in spacetime. Phys. Rev. D 1988, 37, 904–910. [Google Scholar] [CrossRef]
- Visser, M. Traversable wormholes: Some simple examples. Phys. Rev. D 1989, 39, 3182–3184. [Google Scholar] [CrossRef]
- Frolov, V.P.; Novikov, I.D. Physical effects in wormholes and time machines. Phys. Rev. D 1990, 42, 1057–1065. [Google Scholar] [CrossRef]
- Guendelman, E.I. Wormholes and the construction of compactified phases. Gen. Relativ. Gravit. 1991, 23, 1415–1419. [Google Scholar] [CrossRef]
- Perry, G.P.; Mann, R.B. Traversible wormholes in (2+ 1) dimensions. Gen. Relativ. Gravit. 1992, 24, 305–321. [Google Scholar] [CrossRef]
- Cramer, J.G.; Forward, R.L.; Morris, M.S.; Visser, M.; Benford, G.; Landis, G.A. Natural wormholes as gravitational lenses. Phys. Rev. D 1995, 51, 3117–3120. [Google Scholar] [CrossRef] [PubMed]
- Delgaty, M.S.R.; Mann, R.B. Traversable wormholes in (2+ 1) and (3+ 1) dimensions with a cosmological constant. Int. J. Mod. Phys. D 1995, 4, 231–246. [Google Scholar] [CrossRef]
- Clement, G. Wormhole cosmic strings. Phys. Rev. D 1995, 51, 6803–6809. [Google Scholar] [CrossRef]
- Clement, G. Flat wormholes from cosmic strings. J. Math. Phys. 1997, 38, 5807–5819. [Google Scholar] [CrossRef][Green Version]
- Lemos, J.P.S.; Lobo, F.S.N.; de Oliveira, S.Q. Morris-Thorne wormholes with a cosmological constant. Phys. Rev. D 2003, 68, 064004. [Google Scholar] [CrossRef]
- Bronnikov, K.A.; Kim, S.W. Possible wormholes in a brane world. Phys. Rev. D 2003, 67, 064027. [Google Scholar] [CrossRef]
- Maldacena, J.M.; Maoz, L. Wormholes in ads. JHEP 2004, 2, 053. [Google Scholar] [CrossRef]
- Sushkov, S.V. Wormholes supported by a phantom energy. Phys. Rev. D 2005, 71, 043520. [Google Scholar] [CrossRef]
- Lobo, F.S.N. Stability of phantom wormholes. Phys. Rev. D 2005, 71, 124022. [Google Scholar] [CrossRef]
- Damour, T.; Solodukhin, S.N. Wormholes as black hole foils. Phys. Rev. D 2007, 76, 024016. [Google Scholar] [CrossRef]
- Guendelman, E.; Kaganovich, A.; Nissimov, E.; Pacheva, S. Variable-tension lightlike brane as a gravitational source of traversable Misner–Wheeler-type wormholes. Phys. Lett. B 2009, 673, 288–292. [Google Scholar] [CrossRef]
- Konoplya, R.A.; Zhidenko, A. Traversable wormholes in general relativity. Phys. Rev. Lett. 2022, 128, 091104. [Google Scholar] [CrossRef] [PubMed]
- Wang, Y.-Q.; Wei, S.-W.; Liu, Y.-X. Comment on “Traversable Wormholes in General Relativity”. arXiv 2022, arXiv:2206.12250. [Google Scholar]
- Kain, B. Probing the connection between entangled particles and wormholes in general relativity. Phys. Rev. Lett. 2023, 131, 101001. [Google Scholar] [CrossRef] [PubMed]
- Lobo, F.S.N.; Oliveira, M.A. Wormhole geometries in f(R) modified theories of gravity. Phys. Rev. D 2009, 80, 104012. [Google Scholar] [CrossRef]
- Garcia, N.M.; Lobo, F.S.N. Wormhole geometries supported by a nonminimal curvature-matter coupling. Phys. Rev. D 2010, 82, 104018. [Google Scholar] [CrossRef]
- Garcia, N.M.; Lobo, F.S.N. Nonminimal curvature–matter coupled wormholes with matter satisfying the null energy condition. Class. Quantum Gravity 2011, 28, 085018. [Google Scholar] [CrossRef]
- Cantche, B.M.; Grandi, N.; Sturla, M. Wormhole solutions to Hořava gravity. Phys. Rev. D 2010, 82, 124034. [Google Scholar] [CrossRef]
- Moraes, P.H.R.S.; Sahoo, P.K. Modeling wormholes in f(R,T) gravity. Phys. Rev. D 2017, 96, 044038. [Google Scholar] [CrossRef]
- Sarkar, S.; Sarkar, N.; Rahaman, F.; Aditya, Y. Wormholes in κ(R,T) gravity. To Phys. J. 2019, 2, 7. [Google Scholar]
- Sushkov, S.V. A selfconsistent semiclassical solution with a throat in the theory of gravity. Phys. Lett. A 1992, 164, 33. [Google Scholar] [CrossRef]
- Garattini, R.; Lobo, F.S.N. Self-sustained phantom wormholes in semi-classical gravity. Class. Quantum Gravity 2007, 24, 2401. [Google Scholar] [CrossRef]
- Richarte, M.; Simeone, C. Thin-shell wormholes supported by ordinary matter in Einstein-Gauss-Bonnet gravity. Phys. Rev. D 2007, 76, 087502. [Google Scholar] [CrossRef]
- Kanti, P.; Kleihaus, B.; Kunz, J. Wormholes in dilatonic einstein-gauss-bonnet theory. Phys. Rev. Lett. 2011, 107, 271101. [Google Scholar] [CrossRef] [PubMed]
- Ovgun, A.; Jusu, K.; Sakall, I. Exact traversable wormhole solution in bumblebee gravity. Phys. Rev. D 2019, 99, 024042. [Google Scholar] [CrossRef]
- Moraes, P.H.R.S.; Sahoo, P.K. Wormholes in exponential f(R,T) gravity. Eur. Phys. J. C 2019, 79, 1. [Google Scholar] [CrossRef]
- Singh, K.N.; Banerjee, A.; Rahaman, F.; Jasim, M.K. Conformally symmetric traversable wormholes in modified teleparallel gravity. arXiv 2020, arXiv:2001.00816. [Google Scholar] [CrossRef]
- Agnese, A.G.; Camera, M.L. Wormholes in the Brans-Dicke theory of gravitation. Phys. Rev. D 1995, 51, 2011. [Google Scholar] [CrossRef]
- Nandi, K.K.; Islam, A.; Evans, J. Brans wormholes. Phys. Rev. D 1997, 55, 2497. [Google Scholar] [CrossRef]
- Lobo, F.S.N.; Oliveira, M.A. General class of vacuum Brans-Dicke wormholes. Phys. Rev. D 2010, 81, 067501. [Google Scholar] [CrossRef]
- Sushkov, S.V.; Kozyrev, S.M. Composite vacuum brans-dicke wormholes. Phys. Rev. D 2011, 84, 124026. [Google Scholar] [CrossRef]
- Eiroa, E.F.; Aguirre, G.F. Thin-shell wormholes with a generalized Chaplygin gas in Einstein–Born–Infeld theory. Eur. Phys. J. C 2012, 72, 2240. [Google Scholar] [CrossRef]
- Richarte, M.; Simeone, C. Wormholes in einstein-born-infeld theory. Phys. Rev. D 2009, 80, 104033. [Google Scholar] [CrossRef]
- Dzhunushaliev, V.D.; Singleton, D. Wormholes and flux tubes in 5D Kaluza-Klein theory. Phys. Rev. D 1999, 59, 064018. [Google Scholar] [CrossRef]
- de Leon, J.P.J. Static wormholes on the brane inspired by Kaluza-Klein gravity. Cosmol. Astropart. Phys. 2009, 11, 013. [Google Scholar] [CrossRef]
- Blázquez-Salcedo, J.L.; Knoll, C. Constructing spherically symmetric Einstein–Dirac systems with multiple spinors: Ansatz, wormholes and other analytical solutions. Eur. Phys. J. C 2020, 80, 174. [Google Scholar] [CrossRef]
- Blázquez-Salcedo, J.L.; Knoll, C.; Radu, E. Traversable wormholes in einstein-dirac-maxwell theory. Phys. Rev. Lett. 2021, 126, 101102. [Google Scholar] [CrossRef]
- Blázquez-Salcedo, J.L.; Knoll, C.; Radu, E. Einstein–Dirac–Maxwell wormholes: Ansatz, construction and properties of symmetric solutions. Eur. Phys. J. C 2022, 82, 1. [Google Scholar] [CrossRef]
- Moraes, P.H.R.S.; Correa, R.A.C.; Lobato, R.V. Analytical general solutions for static wormholes in f (R, T) gravity. JCAP 2017, 2017, 029. [Google Scholar] [CrossRef]
- Chew, X.Y.; Kleihaus, B.; Kunz, J. Spinning wormholes in scalar-tensor theory. Phys. Rev. D 2018, 97, 064026. [Google Scholar] [CrossRef]
- Brihaye, Y.; Renaux, J. Scalarized-charged wormholes in Einstein-Gauss-Bonnet gravity. arXiv 2020, arXiv:2004.12138. [Google Scholar]
- Barros, B.J.; Cruz-Dombriz, Á.D.; Lobo, F.S.N. Wormholes with matter haunted by conformally coupled ghosts. Phys. Rev. D 2023, 108, 084028. [Google Scholar] [CrossRef]
- Rosa, J.L.; Ganiyeva, N.; Lobo, F.S.N. Non-exotic traversable wormholes in f R, T ab T ab gravity. Eur. Phys. J. C 2023, 83, 1040. [Google Scholar] [CrossRef]
- Hehl, F.W.; der Heyde, P.V.; Kerlick, G.D.; Nester, J.M. General relativity with spin and torsion: Foundations and prospects. Rev. Mod. Phys. 1976, 48, 393. [Google Scholar] [CrossRef]
- Hehl, F.W. Spin and torsion in general relativity II: Geometry and field equations. Gen. Relativ. Gravit. 1974, 5, 491. [Google Scholar] [CrossRef]
- Gasperini, M. Repulsive gravity in the very early universe. Gen. Relativ. Gravit. 1998, 30, 1703. [Google Scholar] [CrossRef]
- Dolan, B.P. Chiral fermions and torsion in the early Universe. Class. Quantum Gravity 2010, 27, 095010. [Google Scholar] [CrossRef]
- Poplawski, N.J. Big bounce from spin and torsion. Gen. Relativ. Gravit. 2012, 44, 1007. [Google Scholar] [CrossRef]
- Poplawski, N.J. Nonsingular, big-bounce cosmology from spinor-torsion coupling. Phys. Rev. D 2012, 85, 107502. [Google Scholar] [CrossRef]
- Vakili, B.; Jalalzadeh, S. Signature transition in Einstein–Cartan cosmology. Phys. Lett. B 2013, 726, 28. [Google Scholar] [CrossRef]
- Lu, J.A. R+ S2 theories of gravity without big-bang singularity. Ann. Phys. (N. Y.) 2015, 354, 424. [Google Scholar] [CrossRef]
- Brechet, S.D.; Hobson, M.P.; Lasenby, A.N. Classical big-bounce cosmology: Dynamical analysis of a homogeneous and irrotational Weyssenhoff fluid. Class. Quantum Gravity 2008, 25, 245016. [Google Scholar] [CrossRef]
- Atazadeh, K. Stability of the Einstein static universe in Einstein-Cartan theory. JCAP 2014, 6, 020. [Google Scholar] [CrossRef]
- Magueijo, J.; Zlosnik, T.G.; Kibble, T.W.B. Cosmology with a spin. Phys. Rev. D 2013, 87, 063504. [Google Scholar] [CrossRef]
- Falco, D.V.; Battista, E. Analytical results for binary dynamics at the first post-Newtonian order in Einstein-Cartan theory with the Weyssenhoff fluid. Phys. Rev. D 2023, 108, 064032. [Google Scholar] [CrossRef]
- Ranjbar, M.; Akhshabi, S.; Shadmehri, M. Gravitational slip parameter and gravitational waves in Einstein–Cartan theory. Eur. Phys. J. C 2024, 84, 316. [Google Scholar] [CrossRef]
- Akhshabi, S.; Zamani, S. Cosmological distances and Hubble tension in Einstein–Cartan theory. Gen. Relativ. Gravit. 2023, 55, 102. [Google Scholar] [CrossRef]
- Luz, P.; Lemos, J.P.S. Relativistic cosmology and intrinsic spin of matter: Results and theorems in Einstein-Cartan theory. Phys. Rev. D 2023, 107, 084004. [Google Scholar] [CrossRef]
- Elizalde, E.; Izaurieta, F.; Riveros, C.; Salgado, G.; Valdivia, O. Gravitational Waves in Einstein-Cartan Theory: On the Effects of Dark Matter Spin Tensor. Phys. Dark Universe 2023, 40, 101197. [Google Scholar] [CrossRef]
- He, M.; Hong, M.; Mukaida, K. Starobinsky inflation and beyond in Einstein-Cartan gravity. JCAP 2024, 2024, 107. [Google Scholar] [CrossRef]
- Bronnikov, K.A.; Galiakhmetov, A.M. Wormholes and black universes without phantom fields in Einstein-Cartan theory. Phys. Rev. D 2016, 94, 124006. [Google Scholar] [CrossRef]
- Mehdizadeh, M.R.; Ziaie, A.H. Einstein-Cartan wormhole solutions. Phys. Rev. D 2017, 95, 064049. [Google Scholar] [CrossRef]
- Mehdizadeh, M.R.; Ziaie, A.H. Dynamic wormhole solutions in Einstein-Cartan gravity. Phys. Rev. D 2017, 96, 124017. [Google Scholar] [CrossRef]
- Mehdizadeh, M.R.; Ziaie, A.H. Charged wormhole solutions in Einstein-Cartan gravity. Phys. Rev. D 2019, 99, 064033. [Google Scholar] [CrossRef]
- Bronnikov, K.A.; Galiakhmetov, A.M. Wormholes without exotic matter in Einstein–Cartan theory. Gravit. Cosmol. 2015, 21, 283–288. [Google Scholar] [CrossRef]
- Soni, S.V.; Khunt, A.C.; Hasmani, A.H. A study of Morris-Thorne wormhole in Einstein-Cartan theory. arXiv 2023, arXiv:2308.10612. [Google Scholar] [CrossRef]
- Schneider, P.; Ehlers, J.; Falco, E.E. Gravitational Lenses; Springer: Berlin, Germany, 1992. [Google Scholar]
- Bartelmann, M.; Schneider, P. Weak gravitational lensing. Phys. Rept. 2001, 340, 291. [Google Scholar] [CrossRef]
- Massey, R.; Kitching, T.; Richard, J. The dark matter of gravitational lensing. Rep. Prog. Phys. 2010, 73, 086901. [Google Scholar] [CrossRef]
- Liebes, J. Gravitational lenses. Phys. Rev. 1964, 133, 835. [Google Scholar] [CrossRef]
- Refsdal, S. The gravitational lens effect. Mon. Not. R. Astron. Soc. 1964, 128, 295. [Google Scholar] [CrossRef]
- Gibbons, G.W.; Werner, M.C. Applications of the Gauss-Bonnet theorem to gravitational lensing. Class. Quantum Gravity 2008, 25, 235009. [Google Scholar] [CrossRef]
- Werner, M.C. Gravitational lensing in the Kerr-Randers optical geometry. Gen. Relativ. Gravit. 2012, 44, 3047. [Google Scholar] [CrossRef]
- Jusufi, K.; Werner, M.C.; Banerjee, A.; Ovgun, A. Light deflection by a rotating global monopole spacetime. Phys. Rev. D 2017, 95, 104012. [Google Scholar] [CrossRef]
- Jusufi, K. Gravitational lensing by Reissner-Nordström black holes with topological defects. Astrophys. Space Sci. 2016, 361, 24. [Google Scholar] [CrossRef]
- Jusufi, K. Light deflection with torsion effects caused by a spinning cosmic string. Eur. Phys. J. C 2016, 76, 332. [Google Scholar] [CrossRef]
- Jusufi, K.; Ovgun, A. Effect of the cosmological constant on the deflection angle by a rotating cosmic string. Phys. Rev. D 2018, 97, 064030. [Google Scholar] [CrossRef]
- Jusufi, K. Quantum effects on the deflection of light and the Gauss-Bonnet theorem. Int. J. Geom. Methods Mod. Phys. 2017, 14, 1750137. [Google Scholar] [CrossRef]
- Sakalli, I.; Ovgun, A. Hawking Radiation and Deflection of Light from Rindler Modified Schwarzschild Black Hole. arXiv 2017, arXiv:1702.04636. [Google Scholar] [CrossRef]
- Crisnejo, G.; Gallo, E. Weak lensing in a plasma medium and gravitational deflection of massive particles using the Gauss-Bonnet theorem. A unified treatment. Phys. Rev. D 2018, 97, 124016. [Google Scholar] [CrossRef]
- Jusufi, K. Gravitational deflection of relativistic massive particles by Kerr black holes and Teo wormholes viewed as a topological effect. Phys. Rev. D 2018, 98, 064017. [Google Scholar] [CrossRef]
- Jusufi, K. Deflection angle of charged massive particles in slowly rotating Kerr-Newman space-times via Gauss-Bonnet theorem and Hamilton-Jacobi method. arXiv 2019, arXiv:1906.12186. [Google Scholar]
- Jusufi, K.; Ovgun, A.; Banerjee, A.; Sakalli, I. Gravitational lensing by wormholes supported by electromagnetic, scalar, and quantum effects. arXiv 2018, arXiv:1802.07680. [Google Scholar] [CrossRef]
- Jusufi, K.; Ovgun, A.; Banerjee, A. Light deflection by charged wormholes in Einstein-Maxwell-dilaton theory. Phys. Rev. D 2017, 96, 084036. [Google Scholar] [CrossRef]
- Jusufi, K.; Ovgun, A. Gravitational lensing by rotating wormholes. Phys. Rev. D 2018, 97, 024042. [Google Scholar] [CrossRef]
- Kuhfittig, P.K.F. Gravitational lensing of wormholes in the galactic halo region. Eur. Phys. J. C 2014, 74, 2818. [Google Scholar] [CrossRef]
- Shaikh, R.; Kar, S. Gravitational lensing by scalar-tensor wormholes and the energy conditions. Phys. Rev. D 2017, 96, 044037. [Google Scholar] [CrossRef]
- Tsukamoto, N.; Harada, T. Light curves of light rays passing through a wormhole. Phys. Rev. D 2017, 95, 024030. [Google Scholar] [CrossRef]
- Sajadi, S.N.; Riazi, N. Gravitational Lensing by Polytropic Wormholes. arXiv 2016, arXiv:1611.04343. [Google Scholar] [CrossRef]
- Lukmanova, R.; Kulbakova, A.; Izmailov, R.; Potapov, A.A. Gravitational microlensing by Ellis wormhole: Second order effects. Int. J. Theor. Phys. 2016, 55, 4723. [Google Scholar] [CrossRef]
- Kuhfittig, P.K.F. Gravitational lensing of wormholes in noncommutative geometry. arXiv 2015, arXiv:1501.06085. [Google Scholar]
- Yoo, C.M.; Harada, T.; Tsukamoto, N. Wave effect in gravitational lensing by the Ellis wormhole. Phys. Rev. D 2013, 87, 084045. [Google Scholar] [CrossRef]
- Nandi, K.K.; Zhang, Y.-Z.; Zakharov, A.V. Gravitational lensing by wormholes. Phys. Rev. D 2006, 74, 024020. [Google Scholar] [CrossRef]
- Jusufi, K.; Sarkar, N.; Rahaman, F.; Banerjee, A.; Hansraj, S. Deflection of light by black holes and massless wormholes in massive gravity. Eur. Phys. J. C 2018, 78, 349. [Google Scholar] [CrossRef]
- Övgün, A. Deflection angle of photons through dark matter by black holes and wormholes using Gauss-Bonnet theorem. Universe 2019, 5, 115. [Google Scholar] [CrossRef]
- Övgün, A.; Sakallı, I. Testing generalized Einstein–Cartan–Kibble–Sciama gravity using weak deflection angle and shadow cast. Class. Quantum Gravity 2020, 37, 225003. [Google Scholar]
- Javed, W.; Babar, R.; Övgün, A. Effect of the Brane-Dicke coupling parameter on weak gravitational lensing by wormholes and naked singularities. Phys. Rev. D 2019, 99, 084012. [Google Scholar] [CrossRef]
- Övgün, A.; Gyulchev, G.; Jusufi, K. Weak Gravitational lensing by phantom black holes and phantom wormholes using the Gauss-Bonnet theorem. Ann. Phys. 2019, 406, 152–172. [Google Scholar]
- Jusufi, K.; Övgün, A.; Banerjee, A.; Sakallı, I. Gravitational lensing by wormholes supported by electromagnetic, scalar, and quantum effects. Eur. Phys. J. Plus 2019, 134, 428. [Google Scholar] [CrossRef]
- Övgün, A. Weak deflection angle of black-bounce traversable wormholes using Gauss-Bonnet theorem in the dark matter medium. Turk. J. Phys. 2020, 44, 465–471. [Google Scholar]
- Sajadi, S.N.; Riazi, N. Gravitational lensing by multi-polytropic wormholes. Can. J. Phys. 2020, 98, 1046–1054. [Google Scholar] [CrossRef]
- Bhattacharya, A. Bending of light in Ellis wormhole geometry. Mod. Phys. Lett. A 2010, 25, 2399–2409. [Google Scholar] [CrossRef]
- Keeton, C.R.; Petters, A.O. Formalism for Testing Theories of Gravity Using Lensing by Compact Objects. I: Static, Spherically Symmetric Case. Phys. Rev. D 2005, 72, 104006. [Google Scholar] [CrossRef]
- Keeton, C.R.; Petters, A.O. Formalism for testing theories of gravity using lensing by compact objects. II: Probing Post-Post-Newtonian metrics. Phys. Rev. D 2006, 73, 044024. [Google Scholar] [CrossRef]
- Sereno, M.; Luca, F.D. Analytical Kerr black hole lensing in the weak deflection limit. Phys. Rev. D 2006, 74, 123009. [Google Scholar] [CrossRef]
- Zwicky, F. The redshift of extragalactic nebulae. Helv. Phys. Acta 1933, 6, 110. [Google Scholar]
- Zwicky, F. On the Masses of Nebulae and of Clusters of Nebulae. Astrophys. J. 1937, 86, 217. [Google Scholar] [CrossRef]
- Bergstrom, L.; Goobar, A. Cosmology and Particle Astrophysics; Springer: Berlin, Germany, 2004; 364p. [Google Scholar]
- Bertone, G.; Hooper, D.; Silk, J. Particle dark matter: Evidence, candidates and constraints. Phys. Rept. 2005, 405, 279. [Google Scholar] [CrossRef]
- Bertone, G. (Ed.) Particle Dark Matter: Observations, Models and Searches; Cambridge University Press: Cambridge, UK, 2010. [Google Scholar]
- Feng, J.L. Dark matter candidates from particle physics and methods of detection. Ann. Rev. Astron. Astrophys. 2010, 48, 495–545. [Google Scholar] [CrossRef]
- Javed, W.; Irshad, H.; Pantig, R.C.; Övgün, A. Weak deflection angle by Kalb–Ramond traversable wormhole in plasma and dark matter mediums. Universe 2022, 8, 599. [Google Scholar] [CrossRef]
- Sabbata, V.D.; Gasperini, M. Introduction to Gravitation; World Scientific: Singapore, 1986. [Google Scholar]
- Sabbata, V.D.; Sivaram, C. Torsion and the cosmological constant problem. Astrophys. Space Sci. 1990, 165, 51. [Google Scholar] [CrossRef]
- Sabbata, V.D.; Sivaram, C. Spin and Torsion in Gravitation; World Scientific: Singapore, 1994. [Google Scholar]
- Poplawski, N.J. Classical Physics: Spacetime and Fields. arXiv 2009, arXiv:0911.0334. [Google Scholar]
- Kibble, T.W.B. Lorentz invariance and the gravitational field. J. Math. Phys. 1961, 2, 212. [Google Scholar] [CrossRef]
- Sciama, D.W. Recent Developments in General Relativity; Pergamon Press: Oxford, UK; PWN-Polish Scientific Publishers: Warsaw, Poland, 1962. [Google Scholar]
- Sciama, D.W. The physical structure of general relativity. Rev. Mod. Phys. 1964, 36, 463, Erratum in Rev. Mod. Phys. 1964, 36, 1103. [Google Scholar] [CrossRef]
- Hehl, F.W.; Datta, B.K. Nonlinear spinor equation and asymmetric connection in general relativity. J. Math. Phys. 1971, 12, 1334. [Google Scholar] [CrossRef]
- Hehl, F.W. How does one measure torsion of space-time? Phys. Lett. A 1971, 36, 225. [Google Scholar] [CrossRef]
- Hammond, R.T. Torsion gravity. Rep. Prog. Phys. 2002, 65, 599. [Google Scholar] [CrossRef]
- Blaschke, D.N.; Gieres, F.; Reboud, M.; Schweda, M. The energy-momentum tensor (s) in classical gauge theories. Nucl. Phys. B 2016, 912, 192. [Google Scholar] [CrossRef]
- Lord, E.A. Tensor, Relativity and Cosmology; McGraw-Hill: New Delhi, India, 1976. [Google Scholar]
- Hehl, F.W. Spin and torsion in general relativity: I. Foundations. Gen. Relativ. Gravit. 1973, 4, 333. [Google Scholar] [CrossRef]
- Obukhov, Y.N.; Korotky, V.A. The weyssenhoff fluid in einstein-cartan theory. Class. Quantum Gravity 1987, 4, 1633. [Google Scholar] [CrossRef]
- Weyssenhoff, J.; Raabe, A. Relativistic dynamics of spin-particles moving with the velocity of light. Acta Phys. Pol. 1947, 9, 7. [Google Scholar]
- Ray, J.R.; Smalley, L.L. Spinning fluids in the Einstein-Cartan theory. Phys. Rev. D 1983, 27, 1383. [Google Scholar] [CrossRef]
- Maugin, G.A. Sur les fluides relativistes à spin. Ann. Inst. Henri Poincare 1974, 20, 41. [Google Scholar]
- Gasperini, M. Spin-dominated inflation in the Einstein-Cartan theory. Phys. Rev. Lett. 1986, 56, 2873. [Google Scholar] [CrossRef] [PubMed]
- Bodenner, J.; Will, C.M. Deflection of light to second order: A tool for illustrating principles of general relativity. Am. J. Phys. 2003, 71, 770. [Google Scholar] [CrossRef]
- Latimer, D.C. Dispersive light propagation at cosmological distances: Matter effects. Phys. Rev. D 2013, 88, 063517. [Google Scholar] [CrossRef]
- Leonhardt, U.; Sahebdivan, S. Theory of Maxwell’s fish eye with mutually interacting sources and drains. Phys. Rev. A 2015, 92, 053848. [Google Scholar] [CrossRef]
- Weinberg, S. Gravitation and Cosmology; Wiley and Sons: New York, NY, USA, 1972. [Google Scholar]






Disclaimer/Publisher’s Note: The statements, opinions and data contained in all publications are solely those of the individual author(s) and contributor(s) and not of MDPI and/or the editor(s). MDPI and/or the editor(s) disclaim responsibility for any injury to people or property resulting from any ideas, methods, instructions or products referred to in the content. |
© 2024 by the authors. Licensee MDPI, Basel, Switzerland. This article is an open access article distributed under the terms and conditions of the Creative Commons Attribution (CC BY) license (https://creativecommons.org/licenses/by/4.0/).
Share and Cite
Sarkar, S.; Sarkar, N.; Dutta, A.; Rahaman, F. Weak Deflection Angle by the Einstein–Cartan Traversable Wormhole Using Gauss–Bonnet Theorem with Time Delay. Universe 2024, 10, 331. https://doi.org/10.3390/universe10080331
Sarkar S, Sarkar N, Dutta A, Rahaman F. Weak Deflection Angle by the Einstein–Cartan Traversable Wormhole Using Gauss–Bonnet Theorem with Time Delay. Universe. 2024; 10(8):331. https://doi.org/10.3390/universe10080331
Chicago/Turabian StyleSarkar, Susmita, Nayan Sarkar, Abhisek Dutta, and Farook Rahaman. 2024. "Weak Deflection Angle by the Einstein–Cartan Traversable Wormhole Using Gauss–Bonnet Theorem with Time Delay" Universe 10, no. 8: 331. https://doi.org/10.3390/universe10080331
APA StyleSarkar, S., Sarkar, N., Dutta, A., & Rahaman, F. (2024). Weak Deflection Angle by the Einstein–Cartan Traversable Wormhole Using Gauss–Bonnet Theorem with Time Delay. Universe, 10(8), 331. https://doi.org/10.3390/universe10080331

