Nuclear Matter Equation of State in the Brueckner–Hartree–Fock Approach and Standard Skyrme Energy Density Functionals
Abstract
1. Introduction
2. BHF Approach of Nuclear Matter
3. Results of Brueckner–Hartree–Fock Microscopic Calculations
3.1. Correlation Energy Per Particle
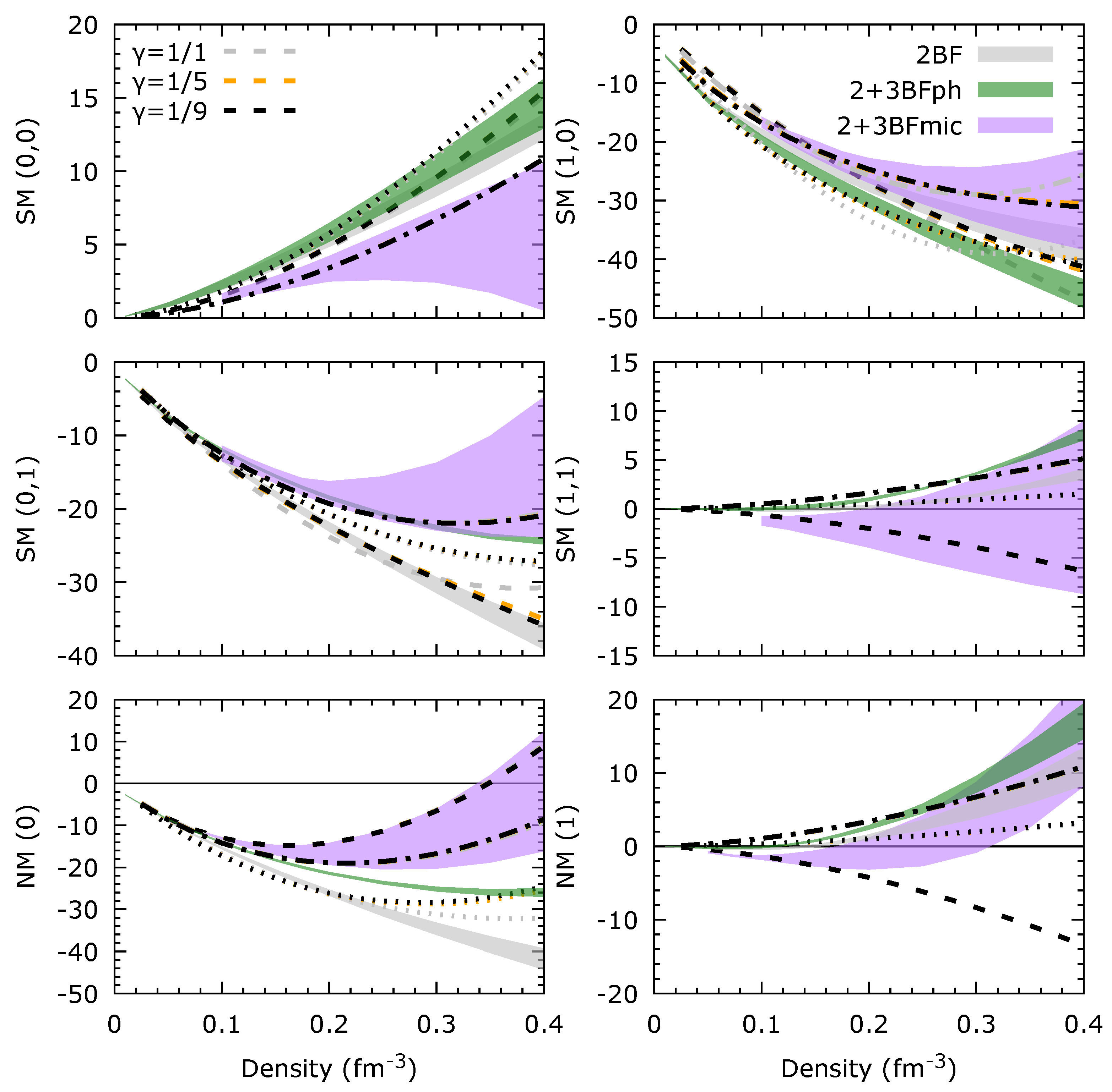
3.1.1. Spin–Isospin Decomposition of the Correlation Energy
3.1.2. Partial-Wave Decomposition of the Correlation Energy
3.2. BHF Single-Particle Energy
Spin–Isospin Decomposition of the Effective Mass

3.3. Total Energy
- (a)
- N2LO Wlazłowski QMC 2014 [81]: Variational QMC calculation of NM with chiral nuclear forces at N2LO for 2BF and 3BF.
- (b)
- N2LO Tews QMC 2016 [82]: AFDMC calculation of NM with chiral nuclear forces at N2LO for 2BF. The 3BF is taken at leading order and local.
- (c)
- N3LO Drischler MBPT 2016 [83]: Many-body perturbation theory approach based on regularized chiral nuclear forces at N3LO for SM and NM.
4. Constraining the Skyrme Energy Density Functional from BHF Calculations
5. Conclusions
Author Contributions
Funding
Data Availability Statement
Acknowledgments
Conflicts of Interest
| 1 | |
| 2 | See https://gnuplot.sourceforge.net/docs_4.2/node82.html (accessed on 1 January 2024). |
References
- Abbott, B.P.; Abbott, R.; Abbott, T.D.; Acernese, F.; Ackley, K.; Adams, C.; Adams, T.; Addesso, P.; Adhikari, R.X.; Adya V., B.; et al. GW170817: Observation of Gravitational Waves from a Binary Neutron Star Inspiral. Phys. Rev. Lett. 2017, 119, 161101. [Google Scholar] [CrossRef]
- Abbott, B.P.; Abbott, R.; Abbott, T.D.; Acernese, F.; Ackley, K.; Adams, C.; Adams, T.; Addesso, P.; Adhikari, R.X.; Adya, V.B.; et al. Multi-messenger Observations of a Binary Neutron Star Merger. Astrophys. J. Lett. 2017, 848, L13. [Google Scholar]
- Weinberg, S. Phenomenological Lagrangians. Physica 1979, A96, 327. [Google Scholar] [CrossRef]
- Weinberg, S. Nuclear forces from chiral lagrangians. Phys. Lett. 1990, B251, 288. [Google Scholar] [CrossRef]
- Weinberg, S. Effective chiral lagrangians for nucleon-pion interactions and nuclear forces. Nucl. Phys. B 1991, 363, 3. [Google Scholar] [CrossRef]
- Epelbaum, E.; Hammer, H.-W.; Meißner, U.-G. Modern theory of nuclear forces. Rev. Mod. Phys. 2009, 81, 1773. [Google Scholar] [CrossRef]
- Machleidt, R.; Entem, D.R. Chiral effective field theory and nuclear forces. Phys. Rep. 2011, 503, 1. [Google Scholar] [CrossRef]
- Margueron, J.; Casali, R.H.; Gulminelli, F. Equation of state for dense nucleonic matter from metamodeling. I. Foundational aspects. Phys. Rev. 2018, C97, 025805. [Google Scholar] [CrossRef]
- Hebeler, K.; Lattimer, J.M.; Pethick, C.J.; Schwenk, A. Equation of State and Neutron Star Properties Constrained By Nuclear Physics and Observation. Astrophys. J. 2013, 773, 11. [Google Scholar] [CrossRef]
- Tews, I.; Carlson, J.; Gandolfi, S.; Reddy, S. Constraining the Speed of Sound inside Neutron Stars with Chiral Effective Field Theory Interactions and Observations. Astrophys. J. 2018, 860, 149. [Google Scholar] [CrossRef]
- Drischler, C.; Hebeler, K.; Schwenk, A. Chiral Interactions up to Next-to-Next-to-Next-to-Leading Order and Nuclear Saturation. Phys. Rev. Lett. 2019, 2019, 042501. [Google Scholar] [CrossRef] [PubMed]
- Bogner, S.K.; Kuo, T.T.S.; Coraggio, L. Low momentum nucleon-nucleon potentials with half-on-shell T-matrix equivalence. Nucl. Phys. 2001, A 684, 432c. [Google Scholar]
- Bogner, S.K.; Kuo, T.T.S.; Schwenk, A. Model-independent low momentum nucleon interaction from phase shift equivalence. Phys. Rep. 2003, 386, 1. [Google Scholar] [CrossRef]
- Chabanat, E.; Bonche, P.; Haensel, P.; Meyer, J.; Schaeffer, R. A Skyrme parametrization from subnuclear to neutron star densities. Nucl. Phys. A 1997, 627, 710. [Google Scholar] [CrossRef]
- Chabanat, E.; Bonche, P.; Haensel, P.; Meyer, J.; Schaeffer, R. A Skyrme parametrization from subnuclear to neutron star densities Part II. Nuclei far from stabilities. Nucl. Phys. A 1998, 635, 231. [Google Scholar] [CrossRef]
- Goriely, S.; Chamel, N.; Pearson, J.M. Further explorations of Skyrme-Hartree-Fock-Bogoliubov mass formulas. XII. Stiffness and stability of neutron-star matter. Phys. Rev. C 2010, 82, 035804. [Google Scholar] [CrossRef]
- Goriely, S.; Chamel, N.; Pearson, J.M. Hartree-Fock-Bogoliubov nuclear mass model with 0.50 MeV accuracy based on standard forms of Skyrme and pairing functionals. Phys. Rev. C 2013, 88, 024308. [Google Scholar] [CrossRef]
- Fantina, A.; Chamel, N.; Pearson, J.M.; Goriely, S. Neutron star properties with unified equations of state of dense matter. Astron. Astrophys. 2013, 559, A128. [Google Scholar] [CrossRef]
- Baldo, M.; Polls, A.; Rios, A.; Schulze, H.-J.; Vidaña, I. Comparative study of neutron and nuclear matter with simplified Argonne nucleon-nucleon potentials. Phys. Rev. 2012, C86, 064001. [Google Scholar] [CrossRef]
- Baldo, M. The Many-Body theory of the nuclear equation of state. In Nuclear Methods and the Nuclear Equation of State; International Review of Nuclear Physics; World Scientific: Singapore, 1999; Volume 8. [Google Scholar]
- Schulze, H.-J.; Cugnon, J.; Lejeune, A.; Baldo, M.; Lombardo, U. Status of the Brueckner-Hartree-Fock approximation to the nuclear matter binding energy with the Paris potential. Phys. Rev. C 1995, 52, 2785. [Google Scholar] [CrossRef] [PubMed]
- Song, H.Q.; Baldo, M.; Giansiracusa, G.; Lombardo, U. Bethe-Brueckner-Goldstone expansion in nuclear matter. Phys. Rev. Lett. 1998, 81, 1584. [Google Scholar] [CrossRef]
- Baldo, M.; Giansiracusa, G.; Lombardo, U.; Song, H.Q. Bethe-Brueckner-Goldstone expansion in neutron matter. Phys. Lett. 2000, B473, 1. [Google Scholar] [CrossRef]
- Baldo, M.; Fiasconaro, A.; Song, H.Q.; Giansiracusa, G.; Lombardo, U. High density symmetric nuclear matter in the BBG approach. Phys. Rev. 2001, C65, 017303. [Google Scholar]
- Sartor, R. Solution of the Bethe-Faddeev equations within the continuous version of the hole-line expansion. Phys. Rev. 2006, C73, 034307. [Google Scholar] [CrossRef]
- Baldo, M.; Maieron, C. Equation of state of nuclear matter at high baryon density. J. Phys. 2007, G34, R243. [Google Scholar] [CrossRef]
- Baldo, M.; Maieron, C. Nonlocality in the NN interaction and nuclear matter saturation. Phys. Rev. 2005, C72, 034005. [Google Scholar]
- Fukukawa, K.; Baldo, M.; Burgio, G.F.; Monaco, L.L.; Schulze, H.-J. Nuclear matter EOS from a Quark-Model nucleon-nucleon interaction. Phys. Rev. 2015, C92, 065802. [Google Scholar]
- Dickhoff, W.H.; Barbieri, C. Self-consistent Green’s function method for nuclei and nuclear matter. Prog. Part. Nucl. Phys. 2004, 52, 377. [Google Scholar] [CrossRef]
- Frick, T.; Müther, H.; Rios, A.; Polls, A.; Ramos, A. Correlated nucleons in configuration space. Phys. Rev. C 2005, 71, 014313. [Google Scholar] [CrossRef]
- Somà, V.; Bozèk, P. Diagrammatic calculation of thermodynamical quantities in nuclear matter. Phys. Rev. C 2006, 74, 045809. [Google Scholar] [CrossRef]
- Somà, V.; Bozèk, P. In-medium T matrix for nuclear matter with three-body forces: Binding energy and single-particle properties. Phys. Rev. C 2008, 78, 054003. [Google Scholar] [CrossRef]
- Rios, A.; Polls, A.; Vidan ña, I. Hot neutron matter from a self-consistent Green’s-functions approach. Phys. Rev. C 2009, 79, 025802. [Google Scholar] [CrossRef]
- Gandolfi, S.; Pederiva, F.; Fantoni, S.; Schmidt, K.E. Quantum Monte Carlo Calculations of Symmetric Nuclear Matter. Phys. Rev. Lett. 2007, 98, 102503. [Google Scholar] [CrossRef]
- Gandolfi, S.; Illarionov, A.Y.; Schmidt, K.E.; Pederiva, F.; Fantoni, S. Quantum Monte Carlo calculation of the equation of state of neutron matter. Phys. Rev. C 2009, 79, 054005. [Google Scholar] [CrossRef]
- Carlson, J.; Morales, J.; Pandharipande, V.R.; Ravenhall, D.G. Quantum Monte Carlo calculations of neutron matter. Phys. Rev. C 2003, 68, 025802. [Google Scholar] [CrossRef]
- Pandharipande, V.R.; Wiringa, R.B. Variations on a theme of nuclear matter. Rev. Mod. Phys. 1979, 51, 821. [Google Scholar] [CrossRef]
- Fantoni, S.; Fabrocini, A. Correlated basis function theory for fermion systems. In Microscopic Quantum Many- Body Theories and Their Applications; Lecture Notes in Physics; Navarro, J., Polls, A., Eds.; Springer-Verlag: Berlin, Germany, 1998; Volume 510. [Google Scholar]
- Lovato, A.; Benhar, O.; Fantoni, S.; Illarionov, A.Y.; Schmidt, K.E. Density-dependent nucleon-nucleon interaction from three-nucleon forces. Phys. Rev. C 2011, 83, 054003. [Google Scholar] [CrossRef]
- Wiringa, R.B.; Fiks, V.; Fabrocini, A. Equations of state for dense nucleon matter. Phys. Rev. C 1988, 38, 1010. [Google Scholar] [CrossRef] [PubMed]
- Wiringa, R.B.; Pieper, S.C. Evolution of Nuclear Spectra with Nuclear Forces. Phys. Rev. Lett. 2002, 89, 182501. [Google Scholar] [CrossRef]
- Wiringa, R.B.; Stoks, V.G.J.; Schiavilla, R. Accurate nucleon-nucleon potential with charge-independance breaking. Phys. Rev. C 1995, 51, 38. [Google Scholar] [CrossRef] [PubMed]
- Piarulli, M.; Bombaci, I.; Logoteta, D.; Lovato, A.; Wiringa, R.B. Benchmark calculations of pure neutron matter with realistic nucleon-nucleon interactions. Phys. Rev. C 2020, 101, 045801. [Google Scholar] [CrossRef]
- Lovato, A.; Bombaci, I.; Logoteta, D.; Piarulli, M.; Wiringa, R.B. Benchmark calculations of infinite neutron matter with realistic two- and three-nucleon potentials. Phys. Rev. C 2022, 105, 055808. [Google Scholar] [CrossRef]
- Baldo, M.; Maieron, C.; Schuck, P.; Viñas, X. Low densities in nuclear and neutron matters and in the nuclear surface. Nucl. Phys. A 2004, 736, 241. [Google Scholar] [CrossRef][Green Version]
- Fayans, S.A. Towards a universal nuclear density functional. JETP Lett. 1998, 68, 169. [Google Scholar] [CrossRef]
- Steiner, A.W.; Prakash, M.; Lattimer, J.M.; Ellis, P.J. Isospin asymmetry in nuclei and neutron stars. Phys. Rep. 2005, 411, 325. [Google Scholar] [CrossRef]
- Baldo, M.; Schuck, P.; Viñas, X. Kohn–Sham density functional inspired approach to nuclear binding. Phys. Lett. B 2008, 663, 390. [Google Scholar] [CrossRef]
- Baldo, M.; Robledo, L.M.; Schuck, P.; Viñas, X. Energy density functional on a microscopic basis. J. Phys. G Nucl. Phys. 2010, 37, 064015. [Google Scholar] [CrossRef]
- Baldo, M.; Robledo, L.M.; Schuck, P.; Viñas, X. New Kohn-Sham density functional based on microscopic nuclear and neutron matter equations of state. Phys. Rev. C 2013, 87, 064305. [Google Scholar] [CrossRef]
- Baldo, M.; Robledo, L.M.; Schuck, P.; Viñas, X. Barcelona-Catania-Paris-Madrid functional with a realistic effective mass. Phys. Rev. C 2017, 95, 014318. [Google Scholar] [CrossRef]
- Cao, L.G.; Lombardo, U.; Shen, C.W.; Giai, N.V. From Brueckner approach to Skyrme-type energy density functional. Phys. Rev. C 2006, 73, 014313. [Google Scholar] [CrossRef]
- Lesinski, T.; Bennaceur, K.; Duguet, T.; Meyer, J. Isovector splitting of nucleon effective masses, ab initio benchmarks and extended stability criteria for Skyrme energy functionals. Phys. Rev. C 2006, 74, 044315. [Google Scholar] [CrossRef]
- Gambacurta, D.; Li, L.; Colò, G.; Lombardo, U.; Giai, N.V.; Zuo, W. Determination of local energy density functionals from BHF calculations. Phys. Rev. C 2011, 84, 024301. [Google Scholar] [CrossRef]
- Davesne, D.; Navarro, J.; Becker, P.; Jodon, R.; Meyer, J.; Pastore, A. Extended Skyrme pseudopotential deduced from infinite nuclear matter properties. Phys. Rev. C 2015, 91, 064303. [Google Scholar] [CrossRef]
- Khon, W.; Sham, L.J. Self-consistent equations including exchange and correlation effects. Phys. Rev. 1965, 140, 1133. [Google Scholar] [CrossRef]
- Zhou, X.R.; Burgio, G.F.; Lombardo, U.; Schulze, H.-J.; Zuo, W. Three-body forces and neutron star structure. Phys. Rev. 2004, C69, 018801. [Google Scholar] [CrossRef]
- Li, Z.H.; Schulze, H.-J. Neutron star structure with modern nucleonic three-body forces. Phys. Rev. 2008, C78, 028801. [Google Scholar] [CrossRef]
- Roggero, A.; Mukherjee, A.; Pederiva, F. Constraining the Skyrme energy density functional with quantum Monte Carlo calculations. Phys. Rev. C 2015, 92, 054303. [Google Scholar] [CrossRef]
- Day, B.D. Elements of the Brueckner-Goldstone theory of nuclear matter. Rev. Mod. Phys. 1967, 39, 719. [Google Scholar] [CrossRef]
- Baldo, M. Nuclear Methods and the Nuclear Equation of State; World Scientific: Singapore, 1999. [Google Scholar]
- Jekenne, J.P.; Lejeunne, A.; Mahaux, C. Many-body theory of nuclear matter. Phys. Rep. 1976, 25, 83. [Google Scholar] [CrossRef]
- Lu, J.J.; Li, Z.H.; Chen, C.Y.; Baldo, M.; Schulze, H.-J. Convergence of the hole-line expansion with modern nucleon-nucleon potentials. Phys. Rev. 2017, C96, 044309. [Google Scholar] [CrossRef]
- Li, Z.H.; Schulze, H.-J. Correlation strength with modern NN potentials in the BHF approach. Phys. Rev. 2016, C94, 024322. [Google Scholar]
- Rijken, T.A.; Stoks, V.G.J.; Yamamoto, Y. Soft-core hyperon-nucleon potentials. Phys. Rev. C 1999, 59, 21. [Google Scholar] [CrossRef]
- Stoks, V.G.J.; Rijken, T.A. Soft-core baryon-baryon potentials for the complete baryon octet. Phys. Rev. C 1999, 59, 3009. [Google Scholar] [CrossRef]
- Machleidt, R.; Holinde, K.; Elster, C. The bonn meson-exchange model for the nucleon—nucleon interaction. Phys. Rep. 1987, 149, 1. [Google Scholar] [CrossRef]
- Machleidt, R. The Bonn meson-exchange model for the nucleon-nucleon interaction. Ad. Nucl. Phys. 1989, 19, 189. [Google Scholar] [CrossRef]
- Machleidt, R.; Sammarruca, F.; Song, Y. Nonlocal nature of the nuclear force and its impact on nuclear structure. Phys. Rev. C 1996, 53, 1483. [Google Scholar] [CrossRef] [PubMed]
- Pudliner, B.S.; Pandharipande, V.R.; Carlson, J.; Schiavilla, R.B. Quantum Monte Carlo Calculations of A≤6 Nuclei. Phys. Lett. B 1995, 74, 4396. [Google Scholar] [CrossRef] [PubMed]
- Fujita, J.; Miyazawa, H. Pion Theory of Three-Body Forces. Prog. Theor. Phys. 1957, 17, 360. [Google Scholar] [CrossRef]
- Stoks, V.G.J.; Klomp, R.A.M.; Terheggen, C.P.F.; de Swart, J.J. Construction of high-quality NN potential models. Phys. Rev. C 1994, 49, 2950. [Google Scholar] [CrossRef]
- Loiseau, B.A.; Nogami, Y.; Ross, C.K. Nucleon-nucleon correlation and two-pion-exchange three-body force in nuclear matter. Nucl. Phys. A 1971, 165, 601. [Google Scholar] [CrossRef]
- Grangé, P.; Martzolff, M.; Nogami, Y.; Sprung, D.W.L.; Ross, C.K. Three-body force in nuclear matter. Phys. Lett. B 1976, 60, 237. [Google Scholar] [CrossRef]
- Baldo, M.; Ferreira, L. Nuclear liquid-gas phase transition. Phys. Rev. C 1999, 59, 682. [Google Scholar] [CrossRef]
- Li, Z.H.; Lombardo, U.; Schulze, H.-J.; Zuo, W. Consistent nucleon-nucleon potentials and three-body forces. Phys. Rev. C 2008, 77, 034316. [Google Scholar] [CrossRef]
- Logoteta, D.; Vidaña, I.; Bombaci, I.; Kievsky, A. Comparative study of three-nucleon force models in nuclear matter. Phys. Rev. 2015, C91, 064001. [Google Scholar] [CrossRef]
- Shang, X.L.; Li, A.; Miao, Z.Q.; Burgio, G.F.; Schulze, H.-J. Nucleon effective mass in hot dense matter. Phys. Rev. 2020, C101, 065801. [Google Scholar] [CrossRef]
- Zuo, W.; Cao, L.G.; Li, B.A.; Lombardo, U.; Shen, C.W. Isospin splitting of the nucleon mean field. Phys. Rev. C 2005, 72, 014005. [Google Scholar] [CrossRef]
- Li, Z.H.; Lombardo, U.; Schulze, H.-J.; Zuo, W.; Chen, L.W.; Ma, H.R. Nuclear matter saturation point and symmetry energy with modern NN potentials. Phys. Rev. 2006, C74, 047304. [Google Scholar]
- Wlazłowski, G.; Holt, J.W.; Moroz, S.; Bulgac, A.; Roche, K.J. Auxiliary-Field Quantum Monte Carlo Simulations of Neutron Matter in Chiral Effective Field Theory. Phys. Rev. Lett. 2014, 113, 182503. [Google Scholar] [CrossRef]
- Tews, I.; Gandolfi, S.; Gezerlis, A.; Schwenk, A. Quantum Monte Carlo calculations of neutron matter with chiral three-body forces. Phys. Rev. 2016, C93, 024305. [Google Scholar] [CrossRef]
- Drischler, C.; Hebeler, K.; Schwenk, A. Neutron matter from chiral two- and three-nucleon calculations up to N 3 LO. Phys. Rev. 2016, C93, 054314. [Google Scholar]
- Bender, M.; Heenen, P.-H.; Reinhard, P.-G. Self-consistent mean-field models for nuclear structure. Rev. Mod. Phys. 2003, 75, 121. [Google Scholar] [CrossRef]
- Stone, J.R.; Reinhard, P.-G. The Skyrme interaction in finite nuclei and nuclear matter. Prog. Part. Nucl. Phys. 2007, 58, 587. [Google Scholar] [CrossRef]
- Erler, J.; Klüpfel, P.; Reinhard, P.-G. Self-consistent nuclear mean-field models: Example Skyrme-Hartree-Fock. J. Phys. 2011, G38, 033101. [Google Scholar] [CrossRef]








Disclaimer/Publisher’s Note: The statements, opinions and data contained in all publications are solely those of the individual author(s) and contributor(s) and not of MDPI and/or the editor(s). MDPI and/or the editor(s) disclaim responsibility for any injury to people or property resulting from any ideas, methods, instructions or products referred to in the content. |
© 2024 by the authors. Licensee MDPI, Basel, Switzerland. This article is an open access article distributed under the terms and conditions of the Creative Commons Attribution (CC BY) license (https://creativecommons.org/licenses/by/4.0/).
Share and Cite
Vidaña, I.; Margueron, J.; Schulze, H.-J. Nuclear Matter Equation of State in the Brueckner–Hartree–Fock Approach and Standard Skyrme Energy Density Functionals. Universe 2024, 10, 226. https://doi.org/10.3390/universe10050226
Vidaña I, Margueron J, Schulze H-J. Nuclear Matter Equation of State in the Brueckner–Hartree–Fock Approach and Standard Skyrme Energy Density Functionals. Universe. 2024; 10(5):226. https://doi.org/10.3390/universe10050226
Chicago/Turabian StyleVidaña, Isaac, Jérôme Margueron, and Hans-Josef Schulze. 2024. "Nuclear Matter Equation of State in the Brueckner–Hartree–Fock Approach and Standard Skyrme Energy Density Functionals" Universe 10, no. 5: 226. https://doi.org/10.3390/universe10050226
APA StyleVidaña, I., Margueron, J., & Schulze, H.-J. (2024). Nuclear Matter Equation of State in the Brueckner–Hartree–Fock Approach and Standard Skyrme Energy Density Functionals. Universe, 10(5), 226. https://doi.org/10.3390/universe10050226

