Tidal Forces in Majumdar-Papapetrou Spacetimes
Abstract
1. Introduction
2. The Majumdar-Papapetrou Spacetime
3. Freely Falling Frames in the Majumdar-Papapetrou Spacetime
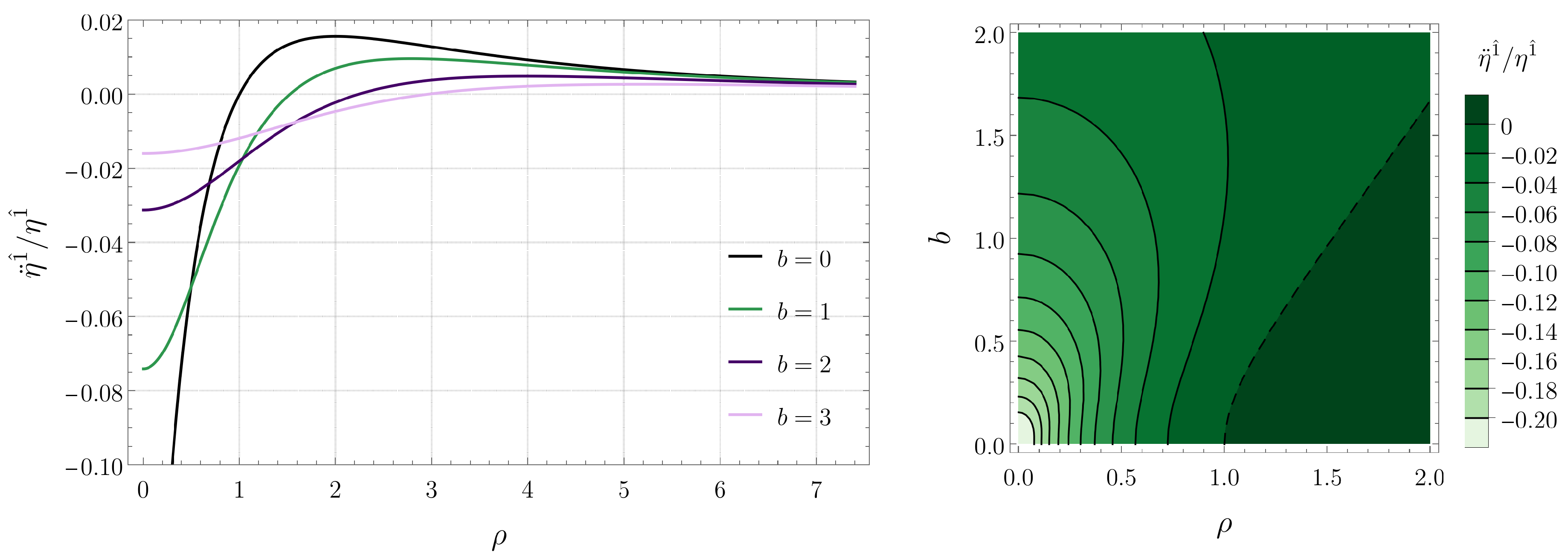
4. Tidal Forces in the Majumdar-Papapetrou Spacetime
4.1. Radial Geodesics
4.2. Circular Geodesics
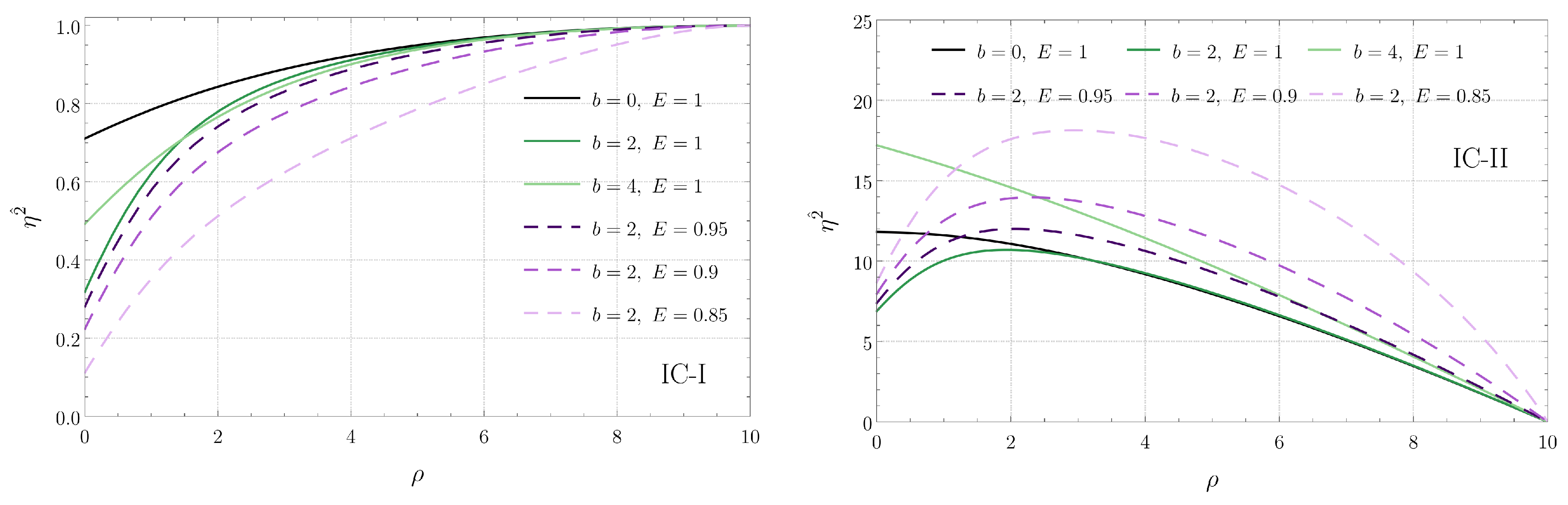
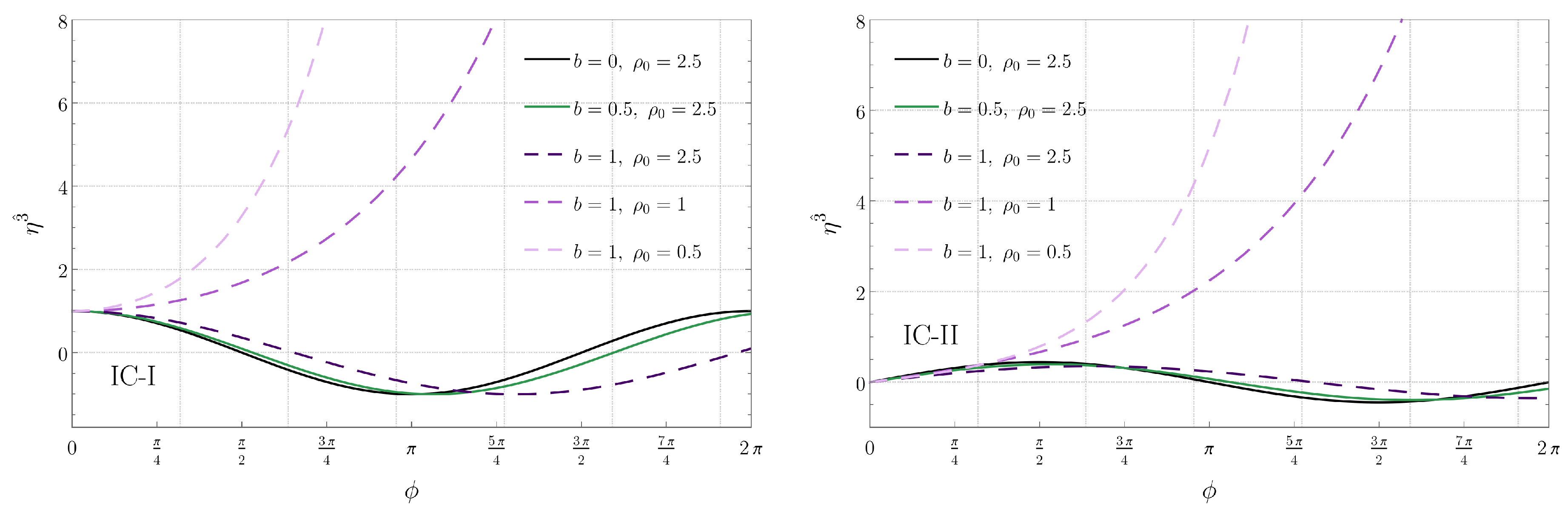
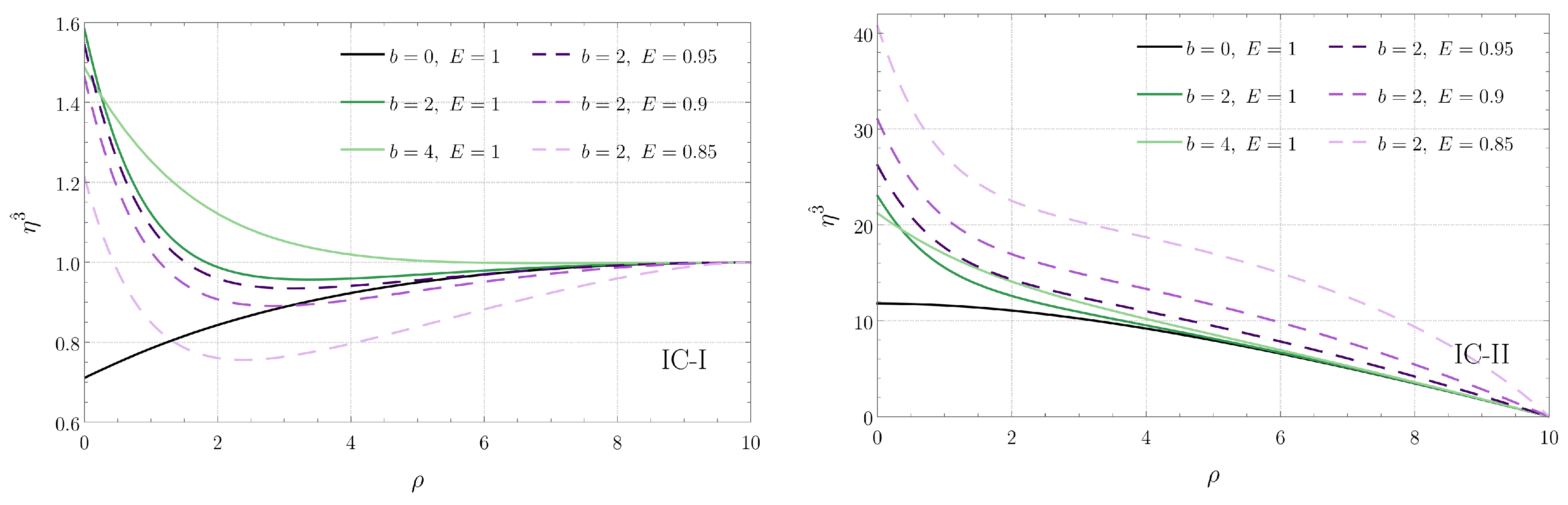
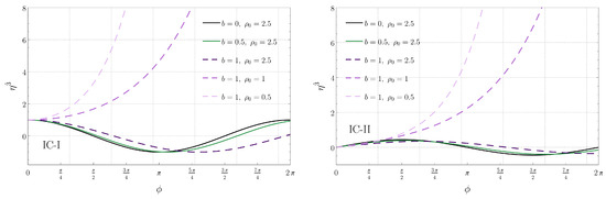
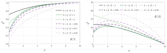
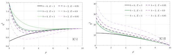
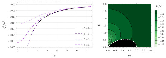
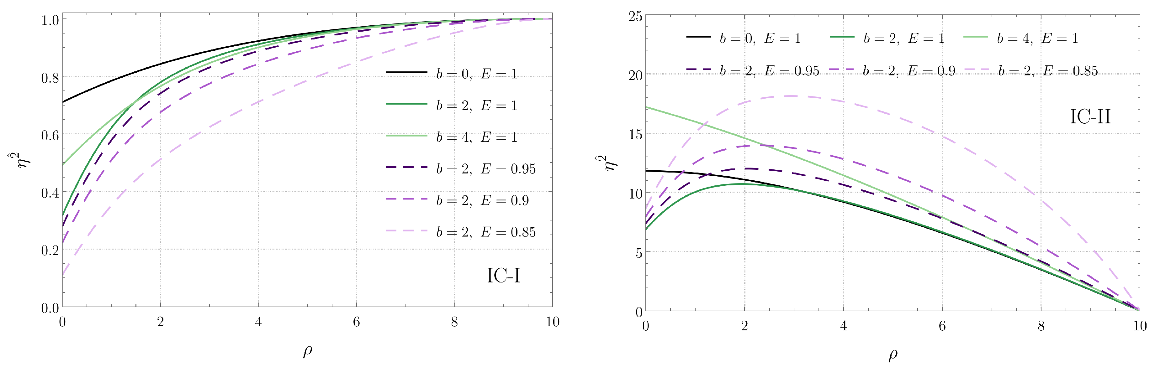
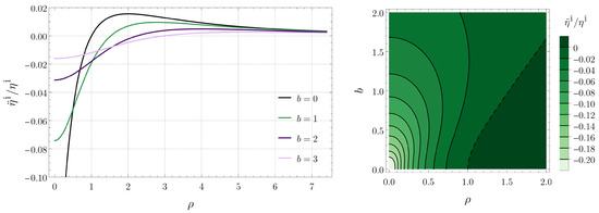
5. Numerical Solutions of the Geodesic Deviation Equation
5.1. Radial Geodesics
5.2. Circular Geodesics
6. Discussion
Author Contributions
Funding
Data Availability Statement
Acknowledgments
Conflicts of Interest
Abbreviations
| MP | Majumdar-Papapetrou |
| IC | Initial condition |
| 1 |
References
- Abbott, B.P.; Abbott, R.; Abbott, T.D.; Abernathy, M.R.; Acernese, F.; Ackley, K.; Adams, C.; Adams, T.; Addesso, P.; Adhikari, R.X.; et al. Observation of Gravitational Waves from a Binary Black Hole Merger. Phys. Rev. Lett. 2016, 116, 061102. [Google Scholar] [CrossRef]
- Abbott, B.P.; Abbott, R.; Abbott, T.D.; Acernese, F.; Ackley, K.; Adams, C.; Adams, T.; Addesso, P.; Adhikari, R.X.; Adya, V.B.; et al. GW170817: Observation of Gravitational Waves from a Binary Neutron Star Inspiral. Phys. Rev. Lett. 2017, 119, 161101. [Google Scholar] [CrossRef]
- Akiyama, K.; Alberdi, A.; Alef, W.; Asada, K.; Azulay, R.; Baczko, A.; Ball, D.; Baloković, M.; Barrett, J.; Bintley, D.; et al. First M87 Event Horizon Telescope Results. I. The Shadow of the Supermassive Black Hole. Astrophys. J. Lett. 2019, 875, L1. [Google Scholar] [CrossRef]
- Abbott, R.; Abbott, T.D.; Acernese, F.; Ackley, K.; Adams, C.; Adhikari, N.; Adhikari, R.X.; Adya, V.B.; Affeldt, C.; Agarwal, D.; et al. GWTC-3: Compact Binary Coalescences Observed by LIGO and Virgo during the Second Part of the Third Observing Run. Phys. Rev. X 2023, 13, 041039. [Google Scholar] [CrossRef]
- Majumdar, S.D. A Class of Exact Solutions of Einstein’s Field Equations. Phys. Rev. 1947, 72, 390–398. [Google Scholar] [CrossRef]
- Papapetrou, A. A Static solution of the equations of the gravitational field for an arbitrary charge distribution. Proc. Roy. Irish Acad. (Sect. A) 1947, 51, 191–204. [Google Scholar]
- Contopoulos, G. Periodic Orbits and Chaos around Two Black Holes. Proc. R. Soc. Lond. Ser. A 1990, 431, 183–202. [Google Scholar] [CrossRef]
- Contopoulos, G. Periodic Orbits and Chaos around Two Fixed Black Holes. II. Proc. R. Soc. Lond. Ser. A 1991, 435, 551–562. [Google Scholar] [CrossRef]
- Bohn, A.; Throwe, W.; Hébert, F.; Henriksson, K.; Bunandar, D.; Scheel, M.A.; Taylor, N.W. What does a binary black hole merger look like? Class. Quant. Grav. 2015, 32, 065002. [Google Scholar] [CrossRef]
- Shipley, J.; Dolan, S.R. Binary black hole shadows, chaotic scattering and the Cantor set. Class. Quant. Grav. 2016, 33, 175001. [Google Scholar] [CrossRef]
- Assumpcao, T.; Cardoso, V.; Ishibashi, A.; Richartz, M.; Zilhao, M. Black hole binaries: Ergoregions, photon surfaces, wave scattering, and quasinormal modes. Phys. Rev. D 2018, 98, 064036. [Google Scholar] [CrossRef]
- Shipley, J.O. Strong-Field Gravitational Lensing by Black Holes. Ph.D. Thesis, University of Sheffield, Sheffield, UK, 2019. [Google Scholar]
- Bini, D.; Geralico, A.; Gionti, G.; Plastino, W.; Velandia, N. Scattering of uncharged particles in the field of two extremely charged black holes. Gen. Rel. Grav. 2019, 51, 153. [Google Scholar] [CrossRef]
- Sanches, L.T.; Richartz, M. Energy extraction from non-coalescing black hole binaries. Phys. Rev. D 2021, 104, 124025. [Google Scholar] [CrossRef]
- Crispino, L.C.B.; Higuchi, A.; Oliveira, L.A.; de Oliveira, E.S. Tidal forces in Reissner–Nordström spacetimes. Eur. Phys. J. C 2016, 76, 168. [Google Scholar] [CrossRef]
- Lima, H.C.D.; Crispino, L.C.B. Tidal forces in the charged Hayward black hole spacetime. Int. J. Mod. Phys. D 2020, 29, 2041014. [Google Scholar] [CrossRef]
- Lima Junior, H.C.D.; Crispino, L.C.B.; Higuchi, A. On-axis tidal forces in Kerr spacetime. Eur. Phys. J. Plus 2020, 135, 334. [Google Scholar] [CrossRef]
- Sharif, M.; Kousar, L. Tidal Forces in Dyonic Reissner-Nördstrom Black Hole. Commun. Theor. Phys. 2018, 69, 257. [Google Scholar] [CrossRef]
- Shahzad, M.U.; Jawad, A. Tidal Forces in Kiselev Black Hole. Eur. Phys. J. C 2017, 77, 372. [Google Scholar] [CrossRef]
- Hong, S.T.; Kim, Y.W.; Park, Y.J. Tidal effects in Schwarzschild black hole in holographic massive gravity. Phys. Lett. B 2020, 811, 135967. [Google Scholar] [CrossRef]
- Li, J.; Chen, S.; Jing, J. Tidal effects in 4D Einstein–Gauss–Bonnet black hole spacetime. Eur. Phys. J. C 2021, 81, 590. [Google Scholar] [CrossRef]
- Vandeev, V.P.; Semenova, A.N. Tidal forces in Kottler spacetimes. Eur. Phys. J. C 2021, 81, 610. [Google Scholar] [CrossRef]
- Uniyal, R. Tidal forces around Schwarzschild black hole in cloud of strings and quintessence. Eur. Phys. J. C 2022, 82, 567. [Google Scholar] [CrossRef]
- Philipp, D.; Puetzfeld, D.; Lämmerzahl, C. On the applicability of the geodesic deviation equation in General Relativity. Fundam. Theor. Phys. 2019, 196, 419–451. [Google Scholar] [CrossRef]
- Hartle, J.B.; Hawking, S.W. Solutions of the Einstein-Maxwell equations with many black holes. Commun. Math. Phys. 1972, 26, 87–101. [Google Scholar] [CrossRef]
- Semerák, O.; Basovník, M. Geometry of deformed black holes. I. Majumdar-Papapetrou binary. Phys. Rev. D 2016, 94, 044006. [Google Scholar] [CrossRef]
- Mazharimousavi, S.; Halilsoy, M. Revisiting the dyonic Majumdar-Papapetrou black holes. Turk. J. Phys. 2016, 40, 163–174. [Google Scholar] [CrossRef]
- Chandrasekhar, S. The Mathematical Theory of Black Holes; Oxford University Press: Oxford, UK, 1983. [Google Scholar]
- d’Inverno, R. Introducing Einstein’s Relativity; Oxford University Press: Oxford, UK, 1992. [Google Scholar]
- Yepez, J. Einstein’s Vierbein Field Theory of Curved Space. arXiv 2011, arXiv:1106.2037. [Google Scholar] [CrossRef]
- Marck, J.A. Solution to the Equations of Parallel Transport in Kerr Geometry; Tidal Tensor. Proc. R. Soc. Lond. Ser. A 1983, 385, 431–438. [Google Scholar] [CrossRef]
- Wald, R.M. General Relativity; Chicago University Press: Chicago, IL, USA, 1984. [Google Scholar] [CrossRef]
- Lee, J. Introduction to Riemannian Manifolds; Graduate Texts in Mathematics; Springer International Publishing: Cham, Switzerland, 2018. [Google Scholar] [CrossRef]
- Cabrera-Munguia, I. Unequal binary configurations of interacting Kerr black holes. Phys. Lett. B 2018, 786, 466–471. [Google Scholar] [CrossRef]
- Manko, V.S.; Ruiz, E. Metric for two arbitrary Kerr sources. Phys. Lett. B 2019, 794, 36–40. [Google Scholar] [CrossRef]
- Ramírez-Valdez, C.J.; García-Compeán, H.; Manko, V.S. Thermodynamics of two aligned Kerr black holes. Physical Review D 2020, 102. [Google Scholar] [CrossRef]
- Baez, A.; Breton, N.; Cabrera-Munguia, I. Energy extraction in electrostatic extreme binary black holes. Phys. Rev. D 2022, 106, 124042. [Google Scholar] [CrossRef]
- Konoplya, R.; Zhidenko, A. Detection of gravitational waves from black holes: Is there a window for alternative theories? Phys. Lett. B 2016, 756, 350–353. [Google Scholar] [CrossRef]
- Franzin, E.; Liberati, S.; Oi, M. Superradiance in Kerr-like black holes. Phys. Rev. D 2021, 103, 104034. [Google Scholar] [CrossRef]
- Siqueira, P.H.C.; Richartz, M. Quasinormal modes, quasibound states, scalar clouds, and superradiant instabilities of a Kerr-like black hole. Phys. Rev. D 2022, 106, 024046. [Google Scholar] [CrossRef]
- Barcelo, C.; Liberati, S.; Visser, M. Analogue gravity. Living Rev. Rel. 2005, 8, 12. [Google Scholar] [CrossRef]
- Jacquet, M.J.; Weinfurtner, S.; König, F. The next generation of analogue gravity experiments. Phil. Trans. Roy. Soc. Lond. A 2020, 378, 20190239. [Google Scholar] [CrossRef] [PubMed]
- Garay, L.J.; Anglin, J.R.; Cirac, J.I.; Zoller, P. Black holes in Bose-Einstein condensates. Phys. Rev. Lett. 2000, 85, 4643–4647. [Google Scholar] [CrossRef]
- Jacquet, M.J.; Boulier, T.; Claude, F.; Maître, A.; Cancellieri, E.; Adrados, C.; Amo, A.; Pigeon, S.; Glorieux, Q.; Bramati, A.; et al. Polariton fluids for analogue gravity physics. Phil. Trans. Roy. Soc. Lond. A 2020, 378, 20190225. [Google Scholar] [CrossRef]
- Giacomelli, L.; Carusotto, I. Ergoregion instabilities in rotating two-dimensional Bose-Einstein condensates: Perspectives on the stability of quantized vortices. Phys. Rev. Res. 2020, 2, 033139. [Google Scholar] [CrossRef]
- Patrick, S.; Geelmuyden, A.; Erne, S.; Barenghi, C.F.; Weinfurtner, S. Quantum vortex instability and black hole superradiance. Phys. Rev. Res. 2022, 4, 033117. [Google Scholar] [CrossRef]
- Patrick, S.; Geelmuyden, A.; Erne, S.; Barenghi, C.F.; Weinfurtner, S. Origin and evolution of the multiply quantized vortex instability. Phys. Rev. Res. 2022, 4, 043104. [Google Scholar] [CrossRef]
- Cardoso, T.A.S.; Richartz, M. Dissipative quantum vortices and superradiant scattering. Phys. Rev. A 2022, 106, 063310. [Google Scholar] [CrossRef]
- Solnyshkov, D.; Septembre, I.; Malpuech, G. Towards Analogue Black Hole Merger. arXiv 2023, arXiv:2309.06269. [Google Scholar] [CrossRef]












Disclaimer/Publisher’s Note: The statements, opinions and data contained in all publications are solely those of the individual author(s) and contributor(s) and not of MDPI and/or the editor(s). MDPI and/or the editor(s) disclaim responsibility for any injury to people or property resulting from any ideas, methods, instructions or products referred to in the content. |
© 2024 by the authors. Licensee MDPI, Basel, Switzerland. This article is an open access article distributed under the terms and conditions of the Creative Commons Attribution (CC BY) license (https://creativecommons.org/licenses/by/4.0/).
Share and Cite
Albacete, E.; Richartz, M. Tidal Forces in Majumdar-Papapetrou Spacetimes. Universe 2024, 10, 62. https://doi.org/10.3390/universe10020062
Albacete E, Richartz M. Tidal Forces in Majumdar-Papapetrou Spacetimes. Universe. 2024; 10(2):62. https://doi.org/10.3390/universe10020062
Chicago/Turabian StyleAlbacete, Eduardo, and Maurício Richartz. 2024. "Tidal Forces in Majumdar-Papapetrou Spacetimes" Universe 10, no. 2: 62. https://doi.org/10.3390/universe10020062
APA StyleAlbacete, E., & Richartz, M. (2024). Tidal Forces in Majumdar-Papapetrou Spacetimes. Universe, 10(2), 62. https://doi.org/10.3390/universe10020062

