Discord in Concordance Cosmology and Anomalously Massive Early Galaxies
Abstract
1. Concordance Cosmology
2. Variations on the Concordance Diagram

3. Covariance and the Hubble Tension
4. Massive Galaxies at High Redshift
5. Gravitational Lensing of the CMB
6. Conclusions
Funding
Conflicts of Interest
Abbreviations
| CCHP | Carnegie-Chicago Hubble Program |
| CMB | Cosmic Microwave Background |
| JWST | James Webb Space Telescope |
| CDM | Lambda Cold Dark Matter |
| SCDM | Standard Cold Dark Matter |
| SH0ES | Supernovae and for the Equation of State of dark energy |
| WMAP | Wilkinson Microwave Anisotropy Probe |
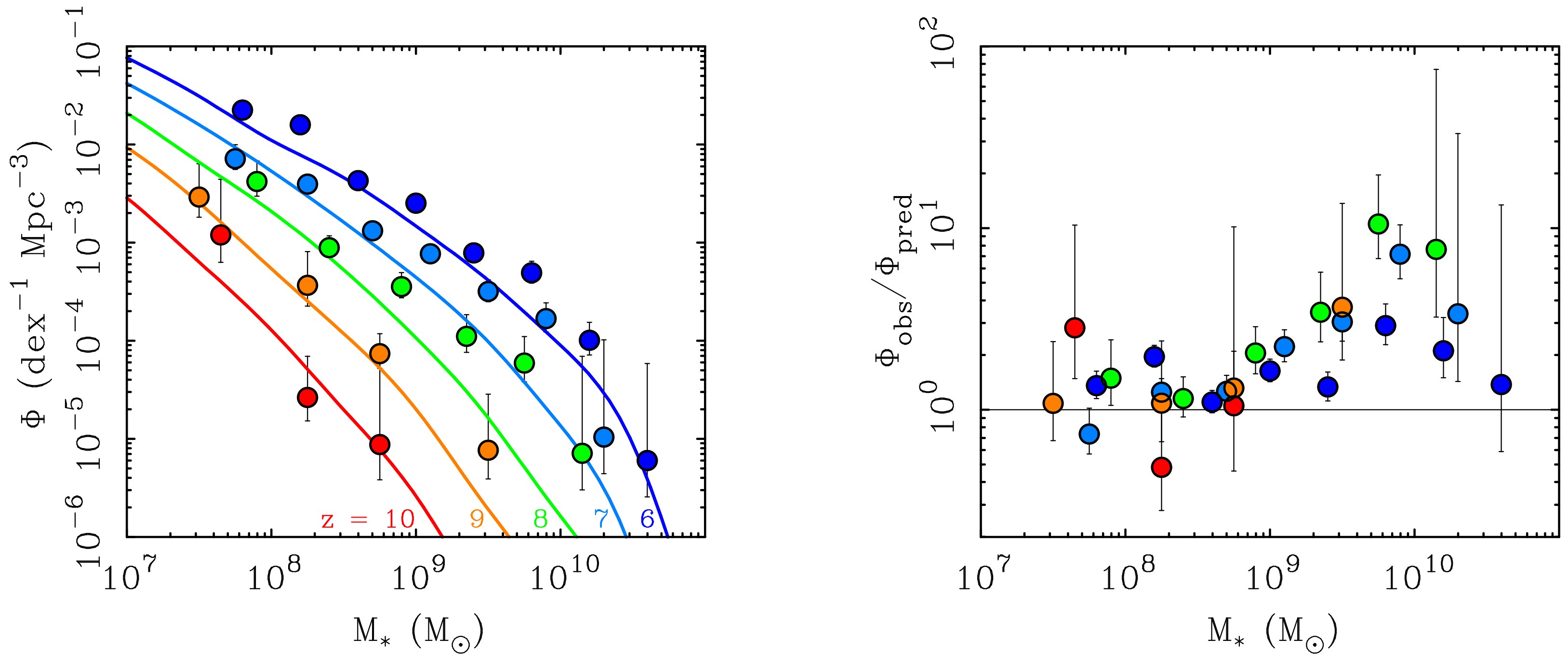
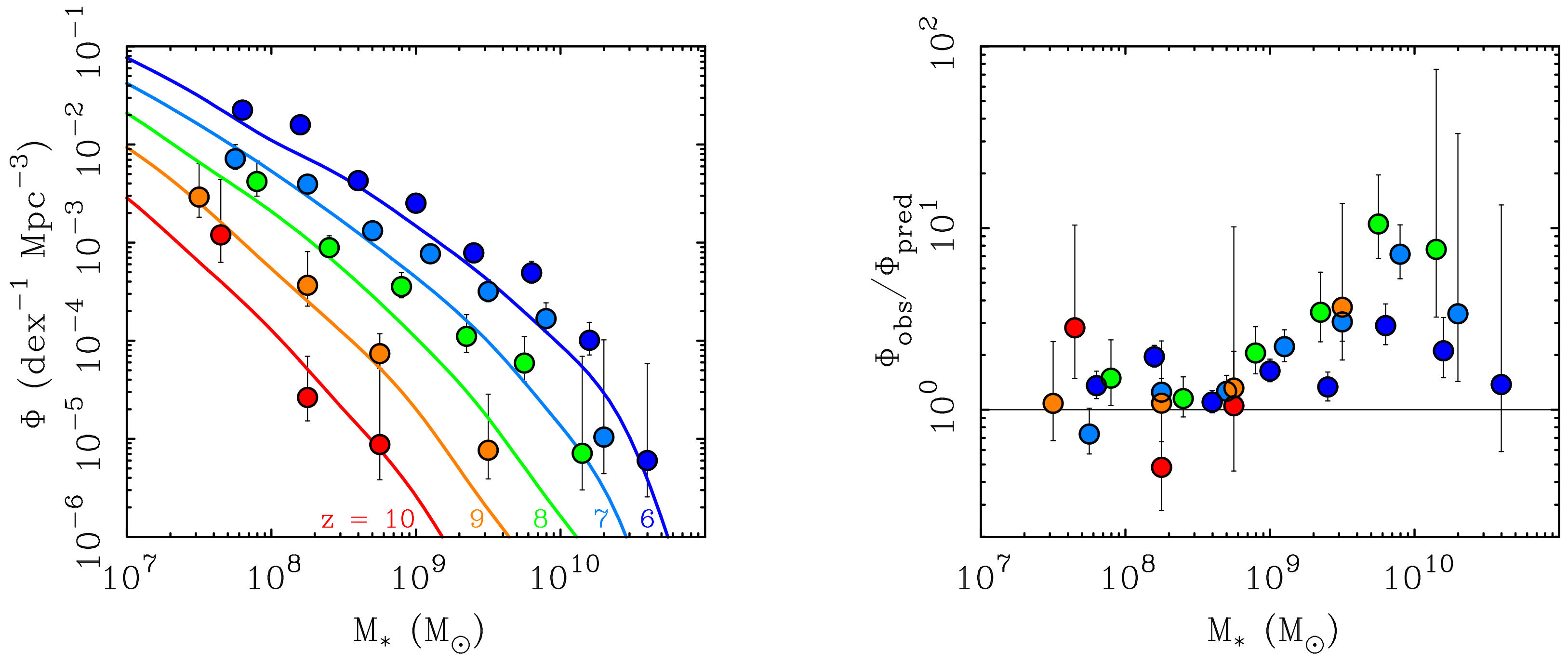
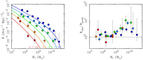
| 1 | . |
| 2 | |
| 3 | The formation of massive galaxies at was predicted in advance by Bob Sanders in the context of MOND [67], in which case the expansion history of the early universe may differ from CDM [68]. The problems posed by massive early galaxies may also be relieved if the universe is much older than generally thought [69]. |
| 4 |
References
- Efstathiou, G.; Sutherland, W.J.; Maddox, S.J. The cosmological constant and cold dark matter. Nature 1990, 348, 705–707. [Google Scholar] [CrossRef]
- Ostriker, J.P.; Steinhardt, P.J. The observational case for a low-density Universe with a non-zero cosmological constant. Nature 1995, 377, 600–602. [Google Scholar] [CrossRef]
- Davis, M.; Efstathiou, G.; Frenk, C.S.; White, S.D.M. The end of cold dark matter? Nature 1992, 356, 489–494. [Google Scholar] [CrossRef]
- McGaugh, S.S. Cosmological constant. Nature 1996, 381, 483. [Google Scholar] [CrossRef]
- Riess, A.G.; Filippenko, A.V.; Challis, P.; Clocchiatti, A.; Diercks, A.; Garnavich, P.M.; Gilliland, R.L.; Hogan, C.J.; Jha, S.; Kirshner, R.P.; et al. Observational Evidence from Supernovae for an Accelerating Universe and a Cosmological Constant. Astron. J. 1998, 116, 1009–1038. [Google Scholar] [CrossRef]
- Perlmutter, S.; Aldering, G.; Goldhaber, G.; Knop, R.A.; Nugent, P.; Castro, P.G.; Deustua, S.; Fabbro, S.; Goobar, A.; Groom, D.E.; et al. Measurements of Ω and Λ from 42 High-Redshift Supernovae. Astrophys. J. 1999, 517, 565–586. [Google Scholar] [CrossRef]
- De Bernardis, P.; Ade, P.A.R.; Bock, J.J.; Bond, J.R.; Borrill, J.; Boscaleri, A.; Coble, K.; Crill, B.P.; De Gasperis, G.; Farese, P.C.; et al. A flat Universe from high-resolution maps of the cosmic microwave background radiation. Nature 2000, 404, 955–959. [Google Scholar] [CrossRef]
- Page, L.; Nolta, M.R.; Barnes, C.; Bennett, C.L.; Halpern, M.; Hinshaw, G.; Jarosik, N.; Kogut, A.; Limon, M.; Meyer, S.S.; et al. First-Year Wilkinson Microwave Anisotropy Probe (WMAP) Observations: Interpretation of the TT and TE Angular Power Spectrum Peaks. Astrophys. J. Suppl. Ser. 2003, 148, 233–241. [Google Scholar] [CrossRef]
- Freedman, W.L.; Madore, B.F.; Gibson, B.K.; Ferrarese, L.; Kelson, D.D.; Sakai, S.; Mould, J.R.; Kennicutt, R.C., Jr.; Ford, H.C.; Graham, J.A.; et al. Final Results from the Hubble Space Telescope Key Project to Measure the Hubble Constant. Astrophys. J. 2001, 553, 47–72. [Google Scholar] [CrossRef]
- Tegmark, M.; Strauss, M.A.; Blanton, M.R.; Abazajian, K.; Dodelson, S.; Sandvik, H.; Wang, X.; Weinberg, D.H.; Zehavi, I.; Bahcall, N.A.; et al. Cosmological parameters from SDSS and WMAP. Phys. Rev. D 2004, 69, 103501. [Google Scholar] [CrossRef]
- Di Valentino, E.; Mena, O.; Pan, S.; Visinelli, L.; Yang, W.; Melchiorri, A.; Mota, D.F.; Riess, A.G.; Silk, J. In the realm of the Hubble tension-a review of solutions. Class. Quantum Gravity 2021, 38, 153001. [Google Scholar] [CrossRef]
- Tully, R.B. The Hubble Constant: A Historical Review. arXiv 2023, arXiv:2305.11950. [Google Scholar] [CrossRef]
- Cervantes-Cota, J.L.; Galindo-Uribarri, S.; Smoot, G.F. The Unsettled Number: Hubble’s Tension. Universe 2023, 9, 501. [Google Scholar] [CrossRef]
- Freedman, W.L.; Madore, B.F.; Hatt, D.; Hoyt, T.J.; Jang, I.S.; Beaton, R.L.; Burns, C.R.; Lee, M.G.; Monson, A.J.; Neeley, J.R.; et al. The Carnegie-Chicago Hubble Program. VIII. An Independent Determination of the Hubble Constant Based on the Tip of the Red Giant Branch. Astrophys. J. 2019, 882, 34. [Google Scholar] [CrossRef]
- Wong, K.C.; Suyu, S.H.; Chen, G.C.F.; Rusu, C.E.; Millon, M.; Sluse, D.; Bonvin, V.; Fassnacht, C.D.; Taubenberger, S.; Auger, M.W.; et al. H0LiCOW—XIII. A 2.4 per cent measurement of H0 from lensed quasars: 5.3σ tension between early- and late-Universe probes. Mon. Not. R. Astron. Soc. 2020, 498, 1420–1439. [Google Scholar] [CrossRef]
- Pesce, D.W.; Braatz, J.A.; Reid, M.J.; Riess, A.G.; Scolnic, D.; Condon, J.J.; Gao, F.; Henkel, C.; Impellizzeri, C.M.V.; Kuo, C.Y.; et al. The Megamaser Cosmology Project. XIII. Combined Hubble Constant Constraints. Astrophys. J. Lett. 2020, 891, L1. [Google Scholar] [CrossRef]
- Schombert, J.; McGaugh, S.; Lelli, F. Using the Baryonic Tully-Fisher Relation to Measure Ho. Astron. J. 2020, 160, 71. [Google Scholar] [CrossRef]
- Blakeslee, J.P.; Jensen, J.B.; Ma, C.P.; Milne, P.A.; Greene, J.E. The Hubble Constant from Infrared Surface Brightness Fluctuation Distances. Astrophys. J. 2021, 911, 65. [Google Scholar] [CrossRef]
- Riess, A.G.; Yuan, W.; Macri, L.M.; Scolnic, D.; Brout, D.; Casertano, S.; Jones, D.O.; Murakami, Y.; Anand, G.S.; Breuval, L.; et al. A Comprehensive Measurement of the Local Value of the Hubble Constant with 1 km s−1 Mpc−1 Uncertainty from the Hubble Space Telescope and the SH0ES Team. Astrophys. J. Lett. 2022, 934, L7. [Google Scholar] [CrossRef]
- Tully, R.B.; Kourkchi, E.; Courtois, H.M.; Anand, G.S.; Blakeslee, J.P.; Brout, D.; Jaeger, T.d.; Dupuy, A.; Guinet, D.; Howlett, C.; et al. Cosmicflows-4. Astrophys. J. 2023, 944, 94. [Google Scholar] [CrossRef]
- Planck Collaboration; Aghanim, N.; Akrami, Y.; Ashdown, M.; Aumont, J.; Baccigalupi, C.; Ballardini, M.; Banday, A.J.; Barreiro, R.B.; Bartolo, N.; et al. Planck 2018 results. VI. Cosmological parameters. Astron. Astrophys. 2020, 641, A6. [Google Scholar] [CrossRef]
- Spergel, D.N.; Bean, R.; Doré, O.; Nolta, M.R.; Bennett, C.L.; Dunkley, J.; Hinshaw, G.; Jarosik, N.; Komatsu, E.; Page, L.; et al. Three-Year Wilkinson Microwave Anisotropy Probe (WMAP) Observations: Implications for Cosmology. Astrophys. J. Suppl. Ser. 2007, 170, 377–408. [Google Scholar] [CrossRef]
- Cole, S.; Percival, W.J.; Peacock, J.A.; Norberg, P.; Baugh, C.M.; Frenk, C.S.; Baldry, I.; Bland-Hawthorn, J.; Bridges, T.; Cannon, R.; et al. The 2dF Galaxy Redshift Survey: Power-spectrum analysis of the final data set and cosmological implications. Mon. Not. R. Astron. Soc. 2005, 362, 505–534. [Google Scholar] [CrossRef]
- Mantz, A.B.; Morris, R.G.; Allen, S.W.; Canning, R.E.A.; Baumont, L.; Benson, B.; Bleem, L.E.; Ehlert, S.R.; Floyd, B.; Herbonnet, R.; et al. Cosmological constraints from gas mass fractions of massive, relaxed galaxy clusters. Mon. Not. R. Astron. Soc. 2022, 510, 131–145. [Google Scholar] [CrossRef]
- Ying, J.M.; Chaboyer, B.; Boudreaux, E.M.; Slaughter, C.; Boylan-Kolchin, M.; Weisz, D. The Absolute Age of M92. Astron. J. 2023, 166, 18. [Google Scholar] [CrossRef]
- Mohayaee, R.; Tully, R.B. The Cosmological Mean Density and Its Local Variations Probed by Peculiar Velocities. Astrophys. J. Lett. 2005, 635, L113–L116. [Google Scholar] [CrossRef][Green Version]
- Shaya, E.J.; Tully, R.B.; Hoffman, Y.; Pomarède, D. Action Dynamics of the Local Supercluster. Astrophys. J. 2017, 850, 207. [Google Scholar] [CrossRef]
- Freedman, W.L. Measurements of the Hubble Constant: Tensions in Perspective. Astrophys. J. 2021, 919, 16. [Google Scholar] [CrossRef]
- Jang, I.S.; Hoyt, T.J.; Beaton, R.L.; Freedman, W.L.; Madore, B.F.; Lee, M.G.; Neeley, J.R.; Monson, A.J.; Rich, J.A.; Seibert, M. The Carnegie-Chicago Hubble Program. IX. Calibration of the Tip of the Red Giant Branch Method in the Megamaser Host Galaxy, NGC 4258 (M106). Astrophys. J. 2021, 906, 125. [Google Scholar] [CrossRef]
- Anand, G.S.; Tully, R.B.; Rizzi, L.; Riess, A.G.; Yuan, W. Comparing Tip of the Red Giant Branch Distance Scales: An Independent Reduction of the Carnegie-Chicago Hubble Program and the Value of the Hubble Constant. Astrophys. J. 2022, 932, 15. [Google Scholar] [CrossRef]
- Tully, R.B.; Fisher, J.R. A new method of determining distances to galaxies. Astron. Astrophys. 1977, 54, 661–673. [Google Scholar]
- McGaugh, S.S.; Schombert, J.M.; Bothun, G.D.; de Blok, W.J.G. The Baryonic Tully-Fisher Relation. Astrophys. J. 2000, 533, L99–L102. [Google Scholar] [CrossRef] [PubMed]
- Uddin, S.A.; Burns, C.R.; Phillips, M.M.; Suntzeff, N.B.; Freedman, W.L.; Brown, P.J.; Morrell, N.; Hamuy, M.; Krisciunas, K.; Wang, L.; et al. Carnegie Supernova Project-I and -II: Measurements of H0 using Cepheid, TRGB, and SBF Distance Calibration to Type Ia Supernovae. arXiv 2023, arXiv:2308.01875. [Google Scholar] [CrossRef]
- Komatsu, E.; Dunkley, J.; Nolta, M.R.; Bennett, C.L.; Gold, B.; Hinshaw, G.; Jarosik, N.; Larson, D.; Limon, M.; Page, L.; et al. Five-Year Wilkinson Microwave Anisotropy Probe Observations: Cosmological Interpretation. Astrophys. J. Suppl. Ser. 2009, 180, 330–376. [Google Scholar] [CrossRef]
- Komatsu, E.; Smith, K.M.; Dunkley, J.; Bennett, C.L.; Gold, B.; Hinshaw, G.; Jarosik, N.; Larson, D.; Nolta, M.R.; Page, L.; et al. Seven-year Wilkinson Microwave Anisotropy Probe (WMAP) Observations: Cosmological Interpretation. Astrophys. J. Suppl. Ser. 2011, 192, 18. [Google Scholar] [CrossRef]
- Hinshaw, G.; Larson, D.; Komatsu, E.; Spergel, D.N.; Bennett, C.L.; Dunkley, J.; Nolta, M.R.; Halpern, M.; Hill, R.S.; Odegard, N.; et al. Nine-year Wilkinson Microwave Anisotropy Probe (WMAP) Observations: Cosmological Parameter Results. Astrophys. J. Suppl. Ser. 2013, 208, 19. [Google Scholar] [CrossRef]
- Planck Collaboration; Ade, P.A.R.; Aghanim, N.; Armitage-Caplan, C.; Arnaud, M.; Ashdown, M.; Atrio-Barandela, F.; Aumont, J.; Baccigalupi, C.; Banday, A.J.; et al. Planck 2013 results. XVI. Cosmological parameters. Astron. Astrophys. 2014, 571, A16. [Google Scholar] [CrossRef]
- Battye, R.A.; Charnock, T.; Moss, A. Tension between the power spectrum of density perturbations measured on large and small scales. Phys. Rev. D 2015, 91, 103508. [Google Scholar] [CrossRef]
- Abbott, T.M.C.; Aguena, M.; Alarcon, A.; Allam, S.; Alves, O.; Amon, A.; Andrade-Oliveira, F.; Annis, J.; Avila, S.; Bacon, D.; et al. Dark Energy Survey Year 3 results: Cosmological constraints from galaxy clustering and weak lensing. Phys. Rev. D 2022, 105, 023520. [Google Scholar] [CrossRef]
- Lange, J.U.; Hearin, A.P.; Leauthaud, A.; van den Bosch, F.C.; Xhakaj, E.; Guo, H.; Wechsler, R.H.; DeRose, J. Constraints on S8 from a full-scale and full-shape analysis of redshift-space clustering and galaxy-galaxy lensing in BOSS. Mon. Not. R. Astron. Soc. 2023, 520, 5373–5393. [Google Scholar] [CrossRef]
- Hsyu, T.; Cooke, R.J.; Prochaska, J.X.; Bolte, M. The PHLEK Survey: A New Determination of the Primordial Helium Abundance. Astrophys. J. 2020, 896, 77. [Google Scholar] [CrossRef]
- Cyburt, R.H.; Fields, B.D.; Olive, K.A. An update on the big bang nucleosynthesis prediction for 7Li: The problem worsens. J. Cosmol. Astropart. Phys. 2008, 2008, 012. [Google Scholar] [CrossRef]
- McGaugh, S.S. A tale of two paradigms: The mutual incommensurability of ΛCDM and MOND. Can. J. Phys. 2015, 93, 250–259. [Google Scholar] [CrossRef]
- McGaugh, S.S. Confrontation of Modified Newtonian Dynamics Predictions with Wilkinson Microwave Anisotropy Probe First Year Data. Astrophys. J. 2004, 611, 26–39. [Google Scholar] [CrossRef]
- Colless, M.; Dalton, G.; Maddox, S.; Sutherland, W.; Norberg, P.; Cole, S.; Bland-Hawthorn, J.; Bridges, T.; Cannon, R.; Collins, C.; et al. The 2dF Galaxy Redshift Survey: Spectra and redshifts. Mon. Not. R. Astron. Soc. 2001, 328, 1039–1063. [Google Scholar] [CrossRef]
- Percival, W.J.; Baugh, C.M.; Bland-Hawthorn, J.; Bridges, T.; Cannon, R.; Cole, S.; Colless, M.; Collins, C.; Couch, W.; Dalton, G.; et al. The 2dF Galaxy Redshift Survey: The power spectrum and the matter content of the Universe. Mon. Not. R. Astron. Soc. 2001, 327, 1297–1306. [Google Scholar] [CrossRef]
- Peebles, P.J.E.; Nusser, A. Nearby galaxies as pointers to a better theory of cosmic evolution. Nature 2010, 465, 565–569. [Google Scholar] [CrossRef]
- Peebles, P.J.E. Formation of the large nearby galaxies. Mon. Not. R. Astron. Soc. 2020, 498, 4386–4395. [Google Scholar] [CrossRef]
- Neuzil, M.K.; Mansfield, P.; Kravtsov, A.V. The Sheet of Giants: Unusual properties of the Milky Way’s immediate neighbourhood. Mon. Not. R. Astron. Soc. 2020, 494, 2600–2617. [Google Scholar] [CrossRef]
- Colin, J.; Mohayaee, R.; Rameez, M.; Sarkar, S. Evidence for anisotropy of cosmic acceleration. Astron. Astrophys. 2019, 631, L13. [Google Scholar] [CrossRef]
- Secrest, N.J.; von Hausegger, S.; Rameez, M.; Mohayaee, R.; Sarkar, S.; Colin, J. A Test of the Cosmological Principle with Quasars. Astrophys. J. Lett. 2021, 908, L51. [Google Scholar] [CrossRef]
- Secrest, N.J.; von Hausegger, S.; Rameez, M.; Mohayaee, R.; Sarkar, S. A Challenge to the Standard Cosmological Model. Astrophys. J. Lett. 2022, 937, L31. [Google Scholar] [CrossRef]
- Domènech, G.; Mohayaee, R.; Patil, S.P.; Sarkar, S. Galaxy number-count dipole and superhorizon fluctuations. J. Cosmol. Astropart. Phys. 2022, 2022, 019. [Google Scholar] [CrossRef]
- Jones, J.; Copi, C.J.; Starkman, G.D.; Akrami, Y. The Universe is not statistically isotropic. arXiv 2023, arXiv:2310.12859. [Google Scholar] [CrossRef]
- Penrose, R. Before the Big Bang: AN Outrageous New Perspective and its Implications for Particle Physics. In Proceedings of the EPAC 2006, Edinburgh, UK, 26–30 June 2006; pp. 2759–2762. [Google Scholar]
- Clifton, T.; Ferreira, P.G.; Padilla, A.; Skordis, C. Modified gravity and cosmology. Phys. Rep. 2012, 513, 1–189. [Google Scholar] [CrossRef]
- Penrose, R. On the Gravitization of Quantum Mechanics 1: Quantum State Reduction. Found. Phys. 2014, 44, 557–575. [Google Scholar] [CrossRef]
- Penrose, R. On the Gravitization of Quantum Mechanics 2: Conformal Cyclic Cosmology. Found. Phys. 2014, 44, 873–890. [Google Scholar] [CrossRef]
- Skordis, C.; Złośnik, T. New Relativistic Theory for Modified Newtonian Dynamics. Phys. Rev. Letters 2021, 127, 161302. [Google Scholar] [CrossRef]
- Nesbet, R.K. Conformal theory of gravitation and cosmic expansion. arXiv 2023, arXiv:2308.10399. [Google Scholar] [CrossRef]
- Vogelsberger, M.; Genel, S.; Springel, V.; Torrey, P.; Sijacki, D.; Xu, D.; Snyder, G.; Bird, S.; Nelson, D.; Hernquist, L. Properties of galaxies reproduced by a hydrodynamic simulation. Nature 2014, 509, 177–182. [Google Scholar] [CrossRef]
- Henriques, B.M.B.; White, S.D.M.; Thomas, P.A.; Angulo, R.; Guo, Q.; Lemson, G.; Springel, V.; Overzier, R. Galaxy formation in the Planck cosmology—I. Matching the observed evolution of star formation rates, colours and stellar masses. Mon. Not. R. Astron. Soc. 2015, 451, 2663–2680. [Google Scholar] [CrossRef]
- Steinhardt, C.L.; Capak, P.; Masters, D.; Speagle, J.S. The Impossibly Early Galaxy Problem. Astrophys. J. 2016, 824, 21. [Google Scholar] [CrossRef]
- Franck, J.R.; McGaugh, S.S. Spitzer’s View of the Candidate Cluster and Protocluster Catalog (CCPC). Astrophys. J. 2017, 836, 136. [Google Scholar] [CrossRef]
- Nanayakkara, T.; Glazebrook, K.; Jacobs, C.; Schreiber, C.; Brammer, G.; Esdaile, J.; Kacprzak, G.G.; Labbe, I.; Lagos, C.; Marchesini, D.; et al. A population of faint, old, and massive quiescent galaxies at 3 < z < 4 revealed by JWST NIRSpec Spectroscopy. arXiv 2022, arXiv:2212.11638. [Google Scholar] [CrossRef]
- Glazebrook, K.; Nanayakkara, T.; Schreiber, C.; Lagos, C.; Kawinwanichakij, L.; Jacobs, C.; Chittenden, H.; Brammer, G.; Kacprzak, G.G.; Labbe, I.; et al. An extraordinarily massive galaxy that formed its stars at zrsim11. arXiv 2023, arXiv:2308.05606. [Google Scholar] [CrossRef]
- Sanders, R.H. Cosmology with modified Newtonian dynamics (MOND). Mon. Not. R. Astron. Soc. 1998, 296, 1009–1018. [Google Scholar] [CrossRef]
- McGaugh, S.S. Predictions for the Sky-Averaged Depth of the 21 cm Absorption Signal at High Redshift in Cosmologies with and without Nonbaryonic Cold Dark Matter. Phys. Rev. Lett. 2018, 121, 081305. [Google Scholar] [CrossRef]
- Gupta, R.P. JWST early Universe observations and ΛCDM cosmology. Mon. Not. R. Astron. Soc. 2023, 524, 3385–3395. [Google Scholar] [CrossRef]
- Boylan-Kolchin, M. Stress testing ΛCDM with high-redshift galaxy candidates. Nat. Astron. 2023, 7, 731–735. [Google Scholar] [CrossRef]
- Haslbauer, M.; Kroupa, P.; Zonoozi, A.H.; Haghi, H. Has JWST Already Falsified Dark-matter-driven Galaxy Formation? Astrophys. J. Lett. 2022, 939, L31. [Google Scholar] [CrossRef]
- Labbé, I.; van Dokkum, P.; Nelson, E.; Bezanson, R.; Suess, K.A.; Leja, J.; Brammer, G.; Whitaker, K.; Mathews, E.; Stefanon, M.; et al. A population of red candidate massive galaxies 600 Myr after the Big Bang. Nature 2023, 616, 266–269. [Google Scholar] [CrossRef]
- Naidu, R.P.; Oesch, P.A.; van Dokkum, P.; Nelson, E.J.; Suess, K.A.; Brammer, G.; Whitaker, K.E.; Illingworth, G.; Bouwens, R.; Tacchella, S.; et al. Two Remarkably Luminous Galaxy Candidates at z ≈ 10–12 Revealed by JWST. Astrophys. J. Lett. 2022, 940, L14. [Google Scholar] [CrossRef]
- Finkelstein, S.L.; Bagley, M.B.; Haro, P.A.; Dickinson, M.; Ferguson, H.C.; Kartaltepe, J.S.; Papovich, C.; Burgarella, D.; Kocevski, D.D.; Huertas-Company, M.; et al. A Long Time Ago in a Galaxy Far, Far Away: A Candidate z 12 Galaxy in Early JWST CEERS Imaging. Astrophys. J. Lett. 2022, 940, L55. [Google Scholar] [CrossRef]
- Atek, H.; Shuntov, M.; Furtak, L.J.; Richard, J.; Kneib, J.P.; Mahler, G.; Zitrin, A.; McCracken, H.J.; Charlot, S.; Chevallard, J.; et al. Revealing galaxy candidates out to z = 16 with JWST observations of the lensing cluster SMACS0723. Mon. Not. R. Astron. Soc. 2023, 519, 1201–1220. [Google Scholar] [CrossRef]
- Adams, N.J.; Conselice, C.J.; Ferreira, L.; Austin, D.; Trussler, J.A.A.; Juodžbalis, I.; Wilkins, S.M.; Caruana, J.; Dayal, P.; Verma, A.; et al. Discovery and properties of ultra-high redshift galaxies (9 < z < 12) in the JWST ERO SMACS 0723 Field. Mon. Not. R. Astron. Soc. 2023, 518, 4755–4766. [Google Scholar] [CrossRef]
- Casey, C.M.; Akins, H.B.; Shuntov, M.; Ilbert, O.; Paquereau, L.; Franco, M.; Hayward, C.C.; Finkelstein, S.L.; Boylan-Kolchin, M.; Robertson, B.E.; et al. COSMOS-Web: Intrinsically Luminous zrsim10 Galaxy Candidates Test Early Stellar Mass Assembly. arXiv 2023, arXiv:2308.10932. [Google Scholar] [CrossRef]
- Yung, L.Y.A.; Somerville, R.S.; Popping, G.; Finkelstein, S.L.; Ferguson, H.C.; Davé, R. Semi-analytic forecasts for JWST—II. Physical properties and scaling relations for galaxies at z = 4–10. Mon. Not. R. Astron. Soc. 2019, 490, 2855–2879. [Google Scholar] [CrossRef]
- Stefanon, M.; Bouwens, R.J.; Labbé, I.; Illingworth, G.D.; Gonzalez, V.; Oesch, P.A. Galaxy Stellar Mass Functions from z 10 to z 6 using the Deepest Spitzer/Infrared Array Camera Data: No Significant Evolution in the Stellar-to-halo Mass Ratio of Galaxies in the First Gigayear of Cosmic Time. Astrophys. J. 2021, 922, 29. [Google Scholar] [CrossRef]
- Melia, F. The cosmic timeline implied by the JWST high-redshift galaxies. Mon. Not. R. Astron. Soc. 2023, 521, L85–L89. [Google Scholar] [CrossRef]
- Yung, L.Y.A.; Somerville, R.S.; Finkelstein, S.L.; Wilkins, S.M.; Gardner, J.P. Are the ultra-high-redshift galaxies at z > 10 surprising in the context of standard galaxy formation models? Mon. Not. R. Astron. Soc. 2023, 527, 5929–5948. [Google Scholar] [CrossRef]
- Harikane, Y.; Ouchi, M.; Oguri, M.; Ono, Y.; Nakajima, K.; Isobe, Y.; Umeda, H.; Mawatari, K.; Zhang, Y. A Comprehensive Study of Galaxies at z 9-16 Found in the Early JWST Data: Ultraviolet Luminosity Functions and Cosmic Star Formation History at the Pre-reionization Epoch. Astrophys. J. Suppl. Ser. 2023, 265, 5. [Google Scholar] [CrossRef]
- Finkelstein, S.L.; Leung, G.C.K.; Bagley, M.B.; Dickinson, M.; Ferguson, H.C.; Papovich, C.; Akins, H.B.; Arrabal Haro, P.; Dave, R.; Dekel, A.; et al. The Complete CEERS Early Universe Galaxy Sample: A Surprisingly Slow Evolution of the Space Density of Bright Galaxies at z ~8.5–14.5. arXiv 2023, arXiv:2311.04279. [Google Scholar] [CrossRef]
- Robertson, B.; Johnson, B.D.; Tacchella, S.; Eisenstein, D.J.; Hainline, K.; Arribas, S.; Baker, W.M.; Bunker, A.J.; Carniani, S.; Carreira, C.; et al. Earliest Galaxies in the JADES Origins Field: Luminosity Function and Cosmic Star-Formation Rate Density 300 Myr after the Big Bang. arXiv 2023, arXiv:2312.10033. [Google Scholar] [CrossRef]
- McGaugh, S.S. Early Galaxy Formation and the Hubble Constant Tension. Res. Notes Am. Astron. Soc. 2023, 7, 20. [Google Scholar] [CrossRef]
- Lewis, A.; Challinor, A. CAMB: Code for Anisotropies in the Microwave Background. Astrophysics Source Code Library, Record ascl:1102.026. 2011. Available online: http://arxiv.org/abs/1102.026 (accessed on 25 January 2023).
- Planck Collaboration; Aghanim, N.; Akrami, Y.; Ashdown, M.; Aumont, J.; Baccigalupi, C.; Ballardini, M.; Banday, A.J.; Barreiro, R.B.; Bartolo, N.; et al. Planck 2018 results. V. CMB power spectra and likelihoods. Astron. Astrophys. 2020, 641, A5. [Google Scholar] [CrossRef]





Disclaimer/Publisher’s Note: The statements, opinions and data contained in all publications are solely those of the individual author(s) and contributor(s) and not of MDPI and/or the editor(s). MDPI and/or the editor(s) disclaim responsibility for any injury to people or property resulting from any ideas, methods, instructions or products referred to in the content. |
© 2024 by the author. Licensee MDPI, Basel, Switzerland. This article is an open access article distributed under the terms and conditions of the Creative Commons Attribution (CC BY) license (https://creativecommons.org/licenses/by/4.0/).
Share and Cite
McGaugh, S.S. Discord in Concordance Cosmology and Anomalously Massive Early Galaxies. Universe 2024, 10, 48. https://doi.org/10.3390/universe10010048
McGaugh SS. Discord in Concordance Cosmology and Anomalously Massive Early Galaxies. Universe. 2024; 10(1):48. https://doi.org/10.3390/universe10010048
Chicago/Turabian StyleMcGaugh, Stacy S. 2024. "Discord in Concordance Cosmology and Anomalously Massive Early Galaxies" Universe 10, no. 1: 48. https://doi.org/10.3390/universe10010048
APA StyleMcGaugh, S. S. (2024). Discord in Concordance Cosmology and Anomalously Massive Early Galaxies. Universe, 10(1), 48. https://doi.org/10.3390/universe10010048
