Scaling Behaviour of dN/dy in High-Energy Collisions
Abstract
1. Introduction
2. Recapitulation of the CKCJ Solution
3. Evaluation of the Rapidity Density
3.1. The Approximate Formula for the Rapidity Distribution
3.2. The Approximate Formula for the Pseudorapidity Distribution
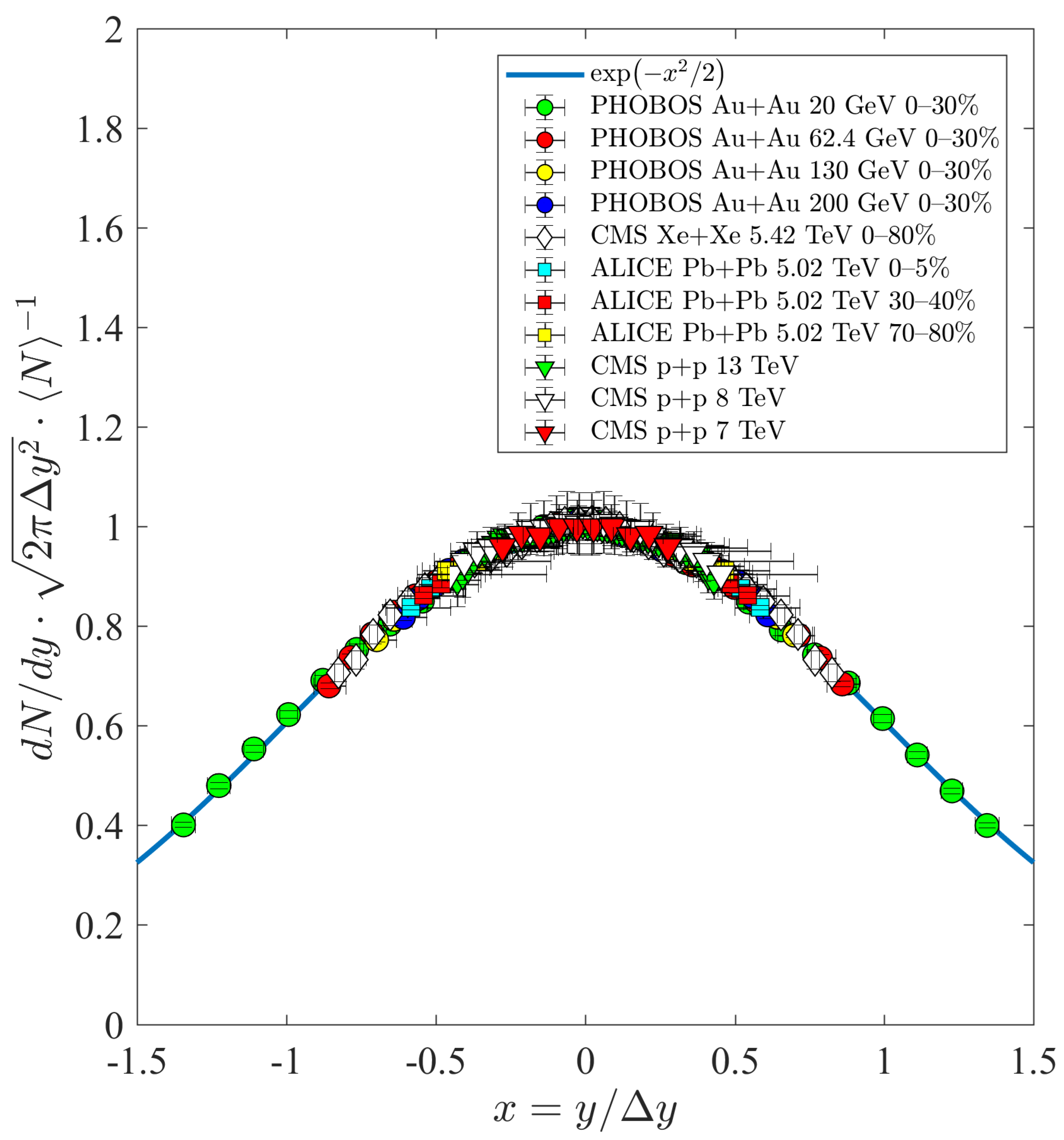
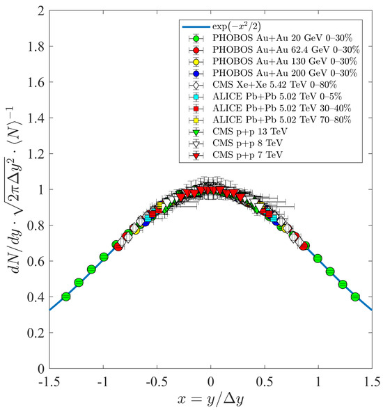
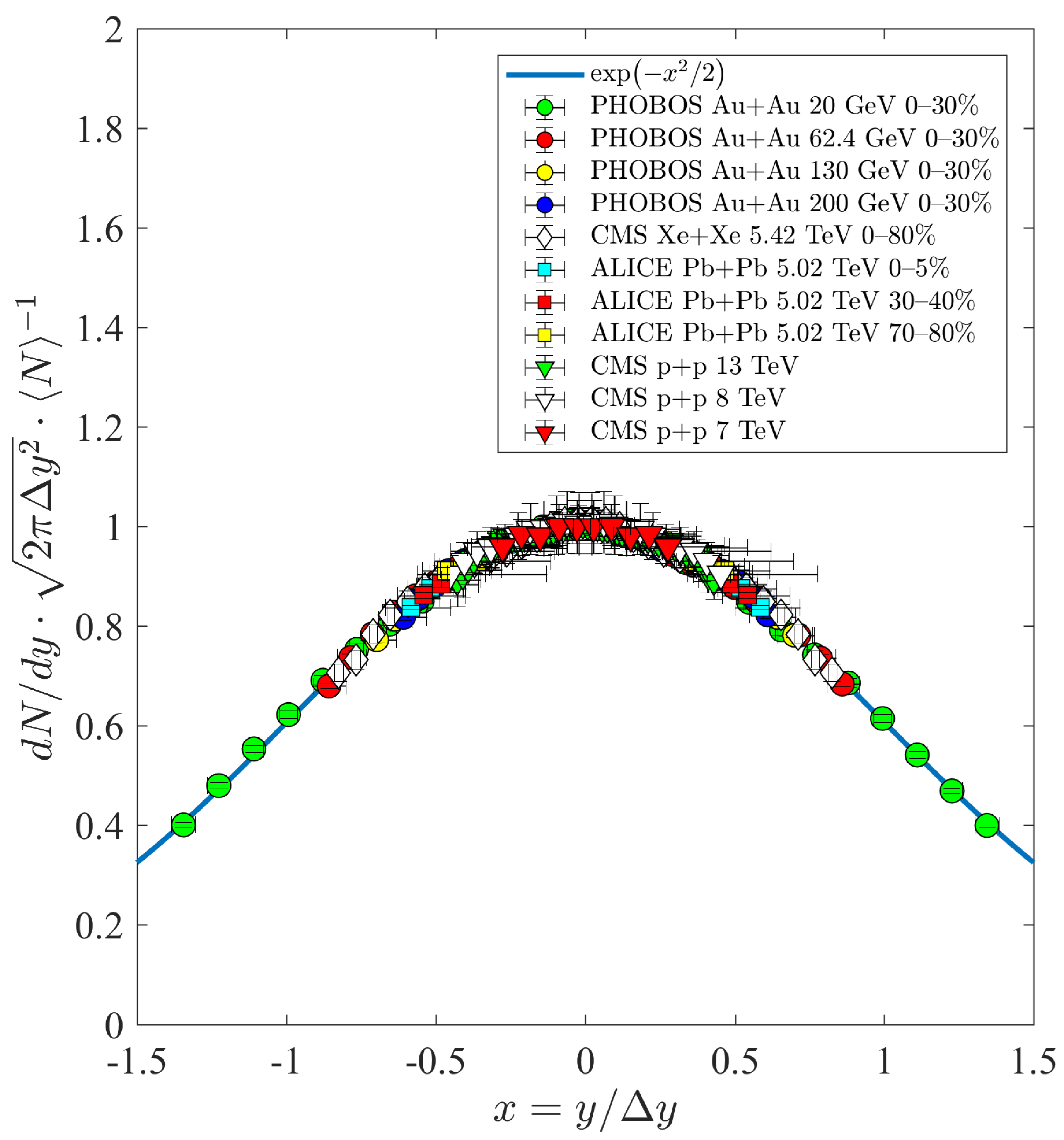
4. The Scaling of dN/dy Data
5. Conclusions
Author Contributions
Funding
Data Availability Statement
Conflicts of Interest
References
- Fermi, E. High-energy nuclear events. Prog. Theor. Phys. 1950, 5, 570–583. [Google Scholar] [CrossRef]
- Fermi, E. Angular Distribution of the Pions Produced in High Energy Nuclear Collisions. Phys. Rev. 1951, 81, 683–687. [Google Scholar] [CrossRef]
- Belenkij, S.Z.; Landau, L.D. Hydrodynamic theory of multiple production of particles. Nuovo Cim. Suppl. 1956, 3S10, 15. [Google Scholar] [CrossRef]
- Landau, L.D. On Multiple Production of Particles during Collisions of Fast Particles. Izv. Akad. Nauk Ser. Fiz. 1953, 15, 51. [Google Scholar] [CrossRef]
- Hwa, R.C. Statistical Description of Hadron Constituents as a Basis for the Fluid Model of High-Energy Collisions. Phys. Rev. D 1974, 10, 2260. [Google Scholar] [CrossRef]
- Bjorken, J.D. Highly Relativistic Nucleus-Nucleus Collisions: The Central Rapidity Region. Phys. Rev. D 1983, 27, 140–151. [Google Scholar] [CrossRef]
- Csörgő, T.; Nagy, M.I.; Csanád, M. A New family of simple solutions of perfect fluid hydrodynamics. Phys. Lett. B 2008, 663, 306–311. [Google Scholar] [CrossRef]
- Nagy, M.I.; Csörgő, T.; Csanád, M. Detailed description of accelerating, simple solutions of relativistic perfect fluid hydrodynamics. Phys. Rev. C 2008, 77, 024908. [Google Scholar] [CrossRef]
- Csörgő, T.; Kasza, G.; Csanád, M.; Jiang, Z.F. New exact solutions of relativistic hydrodynamics for longitudinally expanding fireballs. Universe 2018, 4, 69. [Google Scholar] [CrossRef]
- Csörgő, T.; Kasza, G.; Csanád, M.; Jiang, Z.F. A new and finite family of solutions of hydrodynamics. Part I: Fits to pseudorapidity distributions. Acta Phys. Polon. B 2019, 50, 27–35. [Google Scholar] [CrossRef]
- Kasza, G.; Csörgő, T. Lifetime estimations from RHIC Au+Au data. Int. J. Mod. Phys. A 2019, 34, 1950147. [Google Scholar] [CrossRef]
- Kasza, G.; Csörgő, T. A new and finite family of solutions of hydrodynamics: Part II: Advanced estimate of initial energy densities. In Proceedings of the 13th Workshop on Particle Correlations and Femtoscopy, Cracow, Poland, 22–26 May 2018. [Google Scholar] [CrossRef]
- Csörgő, T.; Kasza, G. A new and finite family of solutions of hydrodynamics: Part III: Advanced estimate of the life-time parameter. In Proceedings of the 13th Workshop on Particle Correlations and Femtoscopy, Cracow, Poland, 22–26 May 2018. [Google Scholar] [CrossRef]
- Kasza, G. Describing the thermal radiation in Au + Au collisions at = 200 GeV by an analytic solution of relativistic hydrodynamics. arXiv 2023, arXiv:2311.03568. [Google Scholar]
- Csanád, M.; Májer, I. Initial temperature and EoS of quark matter from direct photons. Phys. Part. Nucl. Lett. 2011, 8, 1013–1015. [Google Scholar] [CrossRef]
- Csanád, M.; Májer, I. Equation of state and initial temperature of quark gluon plasma at RHIC. Cent. Eur. J. Phys. 2012, 10, 850–857. [Google Scholar] [CrossRef]
- Csanád, M.; Vargyas, M. Observables from a solution of 1 + 3 dimensional relativistic hydrodynamics. Eur. Phys. J. A 2010, 44, 473–478. [Google Scholar] [CrossRef]
- Jiang, Z.F.; Yang, C.B.; Ding, C.; Wu, X.Y. Pseudo-rapidity distribution from a perturbative solution of viscous hydrodynamics for heavy ion collisions at RHIC and LHC. Chin. Phys. C 2018, 42, 123103. [Google Scholar] [CrossRef]
- Monnai, A.; Hirano, T. Longitudinal Viscous Hydrodynamic Evolution for the Shattered Colour Glass Condensate. Phys. Lett. B 2011, 703, 583–587. [Google Scholar] [CrossRef]
- Monnai, A.; Hirano, T. Viscous Hydrodynamic Evolution with Non-Boost Invariant Flow for the Color Glass Condensate. J. Phys. G 2011, 38, 124168. [Google Scholar] [CrossRef]
- Monnai, A.; Hirano, T. Viscous hydrodynamic deformation in rapidity distributions of the color glass condensate. In Proceedings of the Seventh Workshop on Particle Correlations and Femtoscopy (WPCF2011), Tokyo, Japan, 20–24 September 2011. [Google Scholar] [CrossRef]
- Kasza, G.; Csernai, L.P.; Csörgő, T. New, Spherical Solutions of Non-Relativistic, Dissipative Hydrodynamics. Entropy 2022, 24, 514. [Google Scholar] [CrossRef]
- Csörgő, T.; Kasza, G. New, multipole solutions of relativistic, viscous hydrodynamics. arXiv 2020, arXiv:2003.08859. [Google Scholar] [CrossRef]
- Carruthers, P.; Duong-Van, M. New scaling law based on the hydrodynamical model of particle production. Phys. Lett. B 1972, 41, 597–601. [Google Scholar] [CrossRef]
- Carruthers, P.; Doung-van, M. Rapidity and angular distributions of charged secondaries according to the hydrodynamical model of particle production. Phys. Rev. D 1973, 8, 859–874. [Google Scholar] [CrossRef]
- Shuryak, E.V. Multiparticle production in high energy particle collisions. Yad. Fiz. 1972, 16, 395–405. [Google Scholar]
- Zhirov, O.V.; Shuryak, E.V. Multiple Production of Hadrons and Predictions of the Landau Theory. Yad. Fiz. 1975, 21, 861–867. [Google Scholar]
- Steinberg, P. Landau hydrodynamics and RHIC phenomena. Acta Phys. Hung. A 2005, 24, 51–57. [Google Scholar] [CrossRef][Green Version]
- Wong, C.Y. Landau Hydrodynamics Revisited. Phys. Rev. C 2008, 78, 054902. [Google Scholar] [CrossRef]
- Wong, C.Y.; Sen, A.; Gerhard, J.; Torrieri, G.; Read, K. Analytical Solutions of Landau (1 + 1)-Dimensional Hydrodynamics. Phys. Rev. C 2014, 90, 064907. [Google Scholar] [CrossRef]
- Sen, A.; Gerhard, J.; Torrieri, G.; Read, K.; Wong, C.Y. Hydrodynamics from Landau initial conditions. J. Phys. Conf. Ser. 2015, 630, 012042. [Google Scholar] [CrossRef]
- Gazdzicki, M.; Gorenstein, M.; Seyboth, P. Onset of deconfinement in nucleus-nucleus collisions: Review for pedestrians and experts. Acta Phys. Polon. B 2011, 42, 307–351. [Google Scholar] [CrossRef]
- Jiang, Z.J.; Li, Q.G.; Zhang, H.L. The revised Landau hydrodynamic model and the pseudorapidity distributions of produced charged particles in high energy heavy ion collisions. J. Phys. G 2013, 40, 025101. [Google Scholar] [CrossRef]
- Rahman, R.M.A.; Tawfik, A.N.; El-Bakry, M.Y.; Habashy, D.M.; Hanafy, M. Rapidity distribution within Landau hydrodynamical model and EPOS event-generator at AGS, SPS, and RHIC energies. Phys. Scr. 2022, 97, 065305. [Google Scholar] [CrossRef]
- Habashy, D.M.; El-Bakry, M.Y.; Tawfik, A.N.; Abdel Rahman, R.M.; Hanafy, M. Particles multiplicity based on rapidity in Landau and artificial neural network (ANN) models. Int. J. Mod. Phys. A 2022, 37, 2250002. [Google Scholar] [CrossRef]
- Agababyan, N.M. et al. [EHS/NA22 Collaboration] Estimation of hydrodynamical model parameters from the invariant spectrum and the Bose-Einstein correlations of π− mesons produced in (π+/K+)p interactions at 250 GeV/c. Phys. Lett. B 1998, 422, 359–368. [Google Scholar] [CrossRef]
- Csörgő, T.; Csanád, M.; Lörstad, B.; Ster, A. Analysis of identified particle yields and Bose-Einstein (HBT) correlations in p+p collisions at RHIC. Acta Phys. Hung. A 2005, 24, 139–144. [Google Scholar] [CrossRef][Green Version]
- Alver, B. et al. [PHOBOS Collaboration] Charged-particle multiplicity and pseudorapidity distributions measured with the PHOBOS detector in Au+Au, Cu+Cu, d+Au, and p+p collisions at ultrarelativistic energies. Phys. Rev. C 2011, 83, 024913. [Google Scholar] [CrossRef]
- Khachatryan, V. et al. [CMS Collaboration] Transverse-momentum and pseudorapidity distributions of charged hadrons in pp collisions at = 7 TeV. Phys. Rev. Lett. 2010, 105, 022002. [Google Scholar] [CrossRef] [PubMed]
- Chatrchyan, S. et al. [CMS and TOTEM Collaborations] Measurement of pseudorapidity distributions of charged particles in proton-proton collisions at = 8 TeV by the CMS and TOTEM experiments. Eur. Phys. J. C 2014, 74, 3053. [Google Scholar] [CrossRef]
- Sirunyan, A.M. et al. [CMS Collaboration] Measurement of charged pion, kaon, and proton production in proton-proton collisions at = 13 TeV. Phys. Rev. D 2017, 96, 112003. [Google Scholar] [CrossRef]
- Sirunyan, A.M. et al. [CMS Collaboration] Pseudorapidity distributions of charged hadrons in xenon-xenon collisions at = 5.44 TeV. Phys. Lett. B 2019, 799, 135049. [Google Scholar] [CrossRef]
- Adam, J. et al. [ALICE Collaboration] Centrality dependence of the pseudorapidity density distribution for charged particles in Pb-Pb collisions at = 5.02 TeV. Phys. Lett. B 2017, 772, 567–577. [Google Scholar] [CrossRef]


Disclaimer/Publisher’s Note: The statements, opinions and data contained in all publications are solely those of the individual author(s) and contributor(s) and not of MDPI and/or the editor(s). MDPI and/or the editor(s) disclaim responsibility for any injury to people or property resulting from any ideas, methods, instructions or products referred to in the content. |
© 2024 by the authors. Licensee MDPI, Basel, Switzerland. This article is an open access article distributed under the terms and conditions of the Creative Commons Attribution (CC BY) license (https://creativecommons.org/licenses/by/4.0/).
Share and Cite
Kasza, G.; Csörgő, T. Scaling Behaviour of dN/dy in High-Energy Collisions. Universe 2024, 10, 45. https://doi.org/10.3390/universe10010045
Kasza G, Csörgő T. Scaling Behaviour of dN/dy in High-Energy Collisions. Universe. 2024; 10(1):45. https://doi.org/10.3390/universe10010045
Chicago/Turabian StyleKasza, Gábor, and Tamás Csörgő. 2024. "Scaling Behaviour of dN/dy in High-Energy Collisions" Universe 10, no. 1: 45. https://doi.org/10.3390/universe10010045
APA StyleKasza, G., & Csörgő, T. (2024). Scaling Behaviour of dN/dy in High-Energy Collisions. Universe, 10(1), 45. https://doi.org/10.3390/universe10010045
