Specific Metabolome Profile of Exhaled Breath Condensate in Patients with Shock and Respiratory Failure: A Pilot Study
Abstract
:1. Introduction
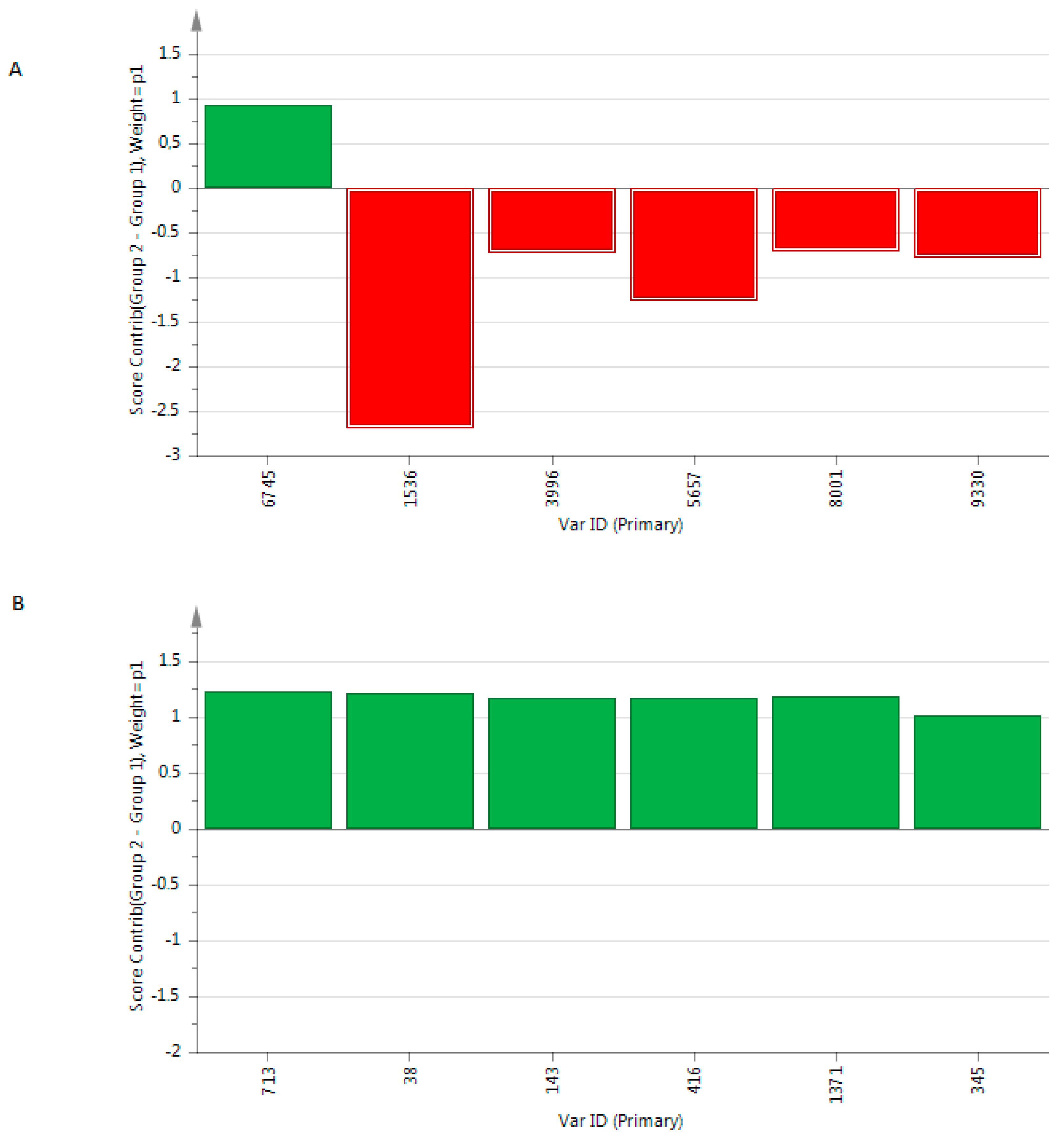
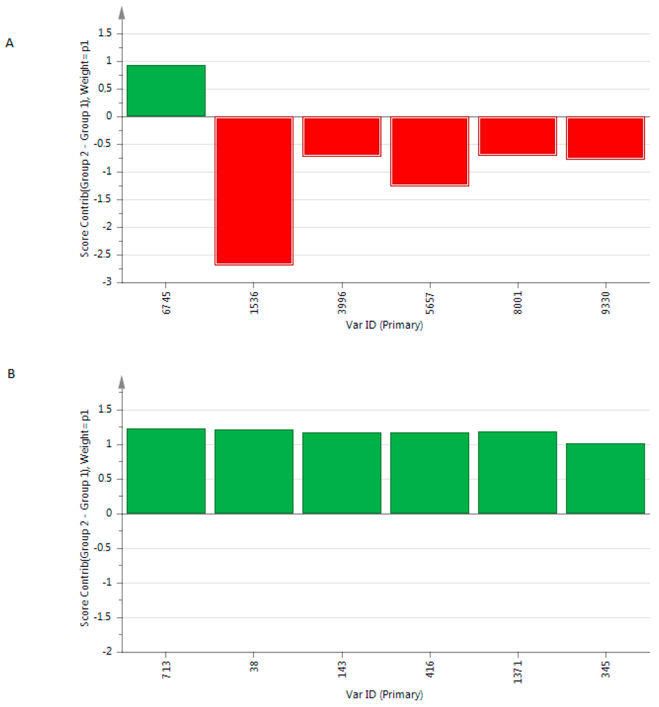
2. Results
2.1. Patients and Sampling
2.2. Metabolomics Analysis
3. Material and Methods
3.1. Subjects
3.2. Exhaled Breath Condensate: Collection from Patients
3.3. UPLC-MS Analysis
3.4. Data Preprocessing
3.5. Multivariate Data Analysis
4. Discussion
5. Conclusions
Author Contributions
Conflicts of Interest
Appendix

References
- Nair, G.B.; Niederman, M.S. Year in review 2013: Critical care—Respiratory infections. Crit. Care 2014, 18, 572. [Google Scholar] [CrossRef] [PubMed]
- Lord, J.M.; Midwinter, M.J.; Chen, Y.F.; Belli, A.; Brohi, K.; Kovacs, E.J.; Koenderman, L.; Kubes, P.; Lilford, R.J. The systemic immune response to trauma: An overview of pathophysiology and treatment. Lancet 2014, 384, 1455–1465. [Google Scholar] [CrossRef]
- Franks, Z.; Carlisle, M.; Rondina, M.T. Current challenges in understanding immune cell functions during septic syndromes. BMC Immunol. 2015, 16, 11. [Google Scholar] [CrossRef] [PubMed]
- Fiuza, C.; Suffredini, A.F. Human models of innate immunity: Local and systemic inflammatory responses. J. Endotoxin Res. 2001, 7, 385–388. [Google Scholar] [CrossRef] [PubMed]
- Boshuizen, M.; Leopold, J.H.; Zakharkina, T.; Knobel, H.H.; Weda, H.; Nijsen, T.M.; Vink, T.J.; Sterk, P.J.; Schultz, M.J.; Bos, L.D.; et al. Levels of cytokines in broncho-alveolar lavage fluid, but not in plasma, are associated with levels of markers of lipid peroxidation in breath of ventilated icu patients. J. Breath Res. 2015, 9, 036010. [Google Scholar] [CrossRef] [PubMed]
- Rani, V.; Deep, G.; Singh, R.K.; Palle, K.; Yadav, U.C. Oxidative stress and metabolic disorders: Pathogenesis and therapeutic strategies. Life Sci. 2016, 148, 183–193. [Google Scholar] [CrossRef] [PubMed]
- Verdile, G.; Keane, K.N.; Cruzat, V.F.; Medic, S.; Sabale, M.; Rowles, J.; Wijesekara, N.; Martins, R.N.; Fraser, P.E.; Newsholme, P. Inflammation and oxidative stress: The molecular connectivity between insulin resistance, obesity, and alzheimer’s disease. Mediat. Inflamm 2015, 2015, 105828. [Google Scholar] [CrossRef] [PubMed]
- Patti, G.J.; Yanes, O.; Siuzdak, G. Innovation: Metabolomics: The apogee of the omics trilogy. Nat. Rev. Mol. Cell Biol. 2012, 13, 263–269. [Google Scholar] [CrossRef] [PubMed]
- Wang, J.H.; Byun, J.; Pennathur, S. Analytical approaches to metabolomics and applications to systems biology. Semin. Nephrol. 2010, 30, 500–511. [Google Scholar] [CrossRef] [PubMed]
- Koek, M.M.; Jellema, R.H.; van der Greef, J.; Tas, A.C.; Hankemeier, T. Quantitative metabolomics based on gas chromatography mass spectrometry: Status and perspectives. Metabolomics 2011, 7, 307–328. [Google Scholar] [CrossRef] [PubMed]
- Quinones, M.P.; Kaddurah-Daouk, R. Metabolomics tools for identifying biomarkers for neuropsychiatric diseases. Neurobiol. Dis. 2009, 35, 165–176. [Google Scholar] [CrossRef] [PubMed]
- Aletti, F.; Conti, C.; Ferrario, M.; Ribas, V.; Bollen Pinto, B.; Herpain, A.; Post, E.; Romay Medina, E.; Barlassina, C.; de Oliveira, E.; et al. Shockomics: Multiscale approach to the identification of molecular biomarkers in acute heart failure induced by shock. Scand. J. Trauma. Resusc. Emerg. Med. 2016, 24, 9. [Google Scholar] [CrossRef] [PubMed]
- Garcia-Simon, M.; Morales, J.M.; Modesto-Alapont, V.; Gonzalez-Marrachelli, V.; Vento-Rehues, R.; Jorda-Minana, A.; Blanquer-Olivas, J.; Monleon, D. Prognosis biomarkers of severe sepsis and septic shock by 1 h nmr urine metabolomics in the intensive care unit. PLoS ONE 2015, 10, e0140993. [Google Scholar] [CrossRef] [PubMed]
- Stringer, K.A.; Younger, J.G.; McHugh, C.; Yeomans, L.; Finkel, M.A.; Puskarich, M.A.; Jones, A.E.; Trexel, J.; Karnovsky, A. Whole blood reveals more metabolic detail of the human metabolome than serum as measured by 1h-nmr spectroscopy: Implications for sepsis metabolomics. Shock 2015, 44, 200–208. [Google Scholar] [CrossRef] [PubMed]
- Su, L.; Huang, Y.; Zhu, Y.; Xia, L.; Wang, R.; Xiao, K.; Wang, H.; Yan, P.; Wen, B.; Cao, L.; et al. Discrimination of sepsis stage metabolic profiles with an lc/ms-ms-based metabolomics approach. BMJ Open Respir. Res. 2014, 1, e000056. [Google Scholar] [CrossRef] [PubMed]
- Ferrario, M.; Cambiaghi, A.; Brunelli, L.; Giordano, S.; Caironi, P.; Guatteri, L.; Raimondi, F.; Gattinoni, L.; Latini, R.; Masson, S.; et al. Mortality prediction in patients with severe septic shock: A pilot study using a target metabolomics approach. Sci Rep. 2016, 6, 20391. [Google Scholar] [CrossRef] [PubMed]
- Dodig, S.; Cepelak, I. Exhaled breath condensate--from an analytical point of view. Biochem. Med. (Zagreb) 2013, 23, 281–295. [Google Scholar] [CrossRef] [PubMed]
- Ahmadzai, H.; Huang, S.; Hettiarachchi, R.; Lin, J.L.; Thomas, P.S.; Zhang, Q. Exhaled breath condensate: A comprehensive update. Clin. Chem. Lab. Med. 2013, 51, 1343–1361. [Google Scholar] [CrossRef] [PubMed]
- Liang, Y.; Yeligar, S.M.; Brown, L.A. Exhaled breath condensate: A promising source for biomarkers of lung disease. Sci. World J. 2012, 2012, 217518. [Google Scholar] [CrossRef] [PubMed]
- Peralbo-Molina, A.; Calderon-Santiago, M.; Priego-Capote, F.; Jurado-Gamez, B.; Luque de Castro, M.D. Metabolomics analysis of exhaled breath condensate for discrimination between lung cancer patients and risk factor individuals. J. Breath Res. 2016, 10, 016011. [Google Scholar] [CrossRef] [PubMed]
- Van der Schee, M.P.; Hashimoto, S.; Schuurman, A.C.; van Driel, J.S.; Adriaens, N.; van Amelsfoort, R.M.; Snoeren, T.; Regenboog, M.; Sprikkelman, A.B.; Haarman, E.G.; et al. Altered exhaled biomarker profiles in children during and after rhinovirus-induced wheeze. Eur. Respir. J. 2015, 45, 440–448. [Google Scholar] [CrossRef] [PubMed]
- Peralbo-Molina, A.; Calderon-Santiago, M.; Priego-Capote, F.; Jurado-Gamez, B.; Luque de Castro, M.D. Development of a method for metabolomic analysis of human exhaled breath condensate by gas chromatography-mass spectrometry in high resolution mode. Anal. Chim. Acta 2015, 887, 118–126. [Google Scholar] [CrossRef] [PubMed]
- Fernandez-Peralbo, M.A.; Calderon Santiago, M.; Priego-Capote, F.; Luque de Castro, M.D. Study of exhaled breath condensate sample preparation for metabolomics analysis by lc-ms/ms in high resolution mode. Talanta 2015, 144, 1360–1369. [Google Scholar] [CrossRef] [PubMed]
- Boots, A.W.; Bos, L.D.; van der Schee, M.P.; van Schooten, F.J.; Sterk, P.J. Exhaled molecular fingerprinting in diagnosis and monitoring: Validating volatile promises. Trends Mol. Med. 2015, 21, 633–644. [Google Scholar] [CrossRef] [PubMed]
- Pitiranggon, M.; Perzanowski, M.S.; Kinney, P.L.; Xu, D.; Chillrud, S.N.; Yan, B. Determining urea levels in exhaled breath condensate with minimal preparation steps and classic lc-ms. J. Chromatogr. Sci. 2014, 52, 1026–1032. [Google Scholar] [CrossRef] [PubMed]
- Kuban, P.; Foret, F. Exhaled breath condensate: Determination of non-volatile compounds and their potential for clinical diagnosis and monitoring. A review. Anal. Chim. Acta 2013, 805, 1–18. [Google Scholar] [CrossRef] [PubMed]
- Sofia, M.; Maniscalco, M.; de Laurentiis, G.; Paris, D.; Melck, D.; Motta, A. Exploring airway diseases by nmr-based metabonomics: A review of application to exhaled breath condensate. J. Biomed. Biotechnol. 2011, 2011, 403260. [Google Scholar] [CrossRef] [PubMed]
- Spagou, K.; Wilson, I.D.; Masson, P.; Theodoridis, G.; Raikos, N.; Coen, M.; Holmes, E.; Lindon, J.C.; Plumb, R.S.; Nicholson, J.K.; et al. Hilic-uplc-ms for exploratory urinary metabolic profiling in toxicological studies. Anal. Chem. 2011, 83, 382–390. [Google Scholar] [CrossRef] [PubMed]
- Kemsley, E.K.; Le Gall, G.; Dainty, J.R.; Watson, A.D.; Harvey, L.J.; Tapp, H.S.; Colquhoun, I.J. Multivariate techniques and their application in nutrition: A metabolomics case study. Br. J. Nutr. 2007, 98, 1–14. [Google Scholar] [CrossRef] [PubMed]
- Madsen, R.; Lundstedt, T.; Trygg, J. Chemometrics in metabolomics--a review in human disease diagnosis. Anal. Chim. Acta 2010, 659, 23–33. [Google Scholar] [CrossRef] [PubMed]
- Westerhuis, J.A.; van Velzen, E.J.; Hoefsloot, H.C.; Smilde, A.K. Multivariate paired data analysis: Multilevel plsda versus oplsda. Metabolomics 2010, 6, 119–128. [Google Scholar] [CrossRef] [PubMed]
- Ala-Korpela, M. Potential role of body fluid 1h nmr metabonomics as a prognostic and diagnostic tool. Expert Rev. Mol. Diagn. 2007, 7, 761–773. [Google Scholar] [CrossRef] [PubMed]
- Garcia, A.; Barbas, C. Gas chromatography-mass spectrometry (gc-ms)-based metabolomics. Methods Mol. Biol. 2011, 708, 191–204. [Google Scholar] [PubMed]
- Tumani, H.; Teunissen, C.; Sussmuth, S.; Otto, M.; Ludolph, A.C.; Brettschneider, J. Cerebrospinal fluid biomarkers of neurodegeneration in chronic neurological diseases. Expert Rev. Mol. Diagn. 2008, 8, 479–494. [Google Scholar] [CrossRef] [PubMed]
- Bowser, R.; Lacomis, D. Applying proteomics to the diagnosis and treatment of als and related diseases. Muscle Nerve 2009, 40, 753–762. [Google Scholar] [CrossRef] [PubMed]
- Blasco, H.; Corcia, P.; Pradat, P.F.; Bocca, C.; Gordon, P.H.; Veyrat-Durebex, C.; Mavel, S.; Nadal-Desbarats, L.; Moreau, C.; Devos, D.; et al. Metabolomics in cerebrospinal fluid of patients with amyotrophic lateral sclerosis: An untargeted approach via high-resolution mass spectrometry. J. Proteome Res. 2013, 12, 3746–3754. [Google Scholar] [CrossRef] [PubMed]
- Orczyk-Pawilowicz, M.; Jawien, E.; Deja, S.; Hirnle, L.; Zabek, A.; Mlynarz, P. Metabolomics of human amniotic fluid and maternal plasma during normal pregnancy. PLoS ONE 2016, 11, e0152740. [Google Scholar] [CrossRef] [PubMed]
- Eszes, N.; Bikov, A.; Lazar, Z.; Bohacs, A.; Muller, V.; Stenczer, B.; Rigo, J., Jr.; Losonczy, G.; Horvath, I.; Tamasi, L. Changes in exhaled breath condensate ph in healthy and asthmatic pregnant women. Acta Obstet. Gynecol. Scand. 2013, 92, 591–597. [Google Scholar] [CrossRef] [PubMed]
- Theodorsson, E. Validation and verification of measurement methods in clinical chemistry. Bioanalysis 2012, 4, 305–320. [Google Scholar] [CrossRef] [PubMed]
- Bhan, C.; Dipankar, P.; Chakraborty, P.; Sarangi, P.P. Role of cellular events in the pathophysiology of sepsis. Inflamm. Res. 2016. [Google Scholar] [CrossRef] [PubMed]
- Monserrat, J.; de Pablo, R.; Diaz-Martin, D.; Rodriguez-Zapata, M.; de la Hera, A.; Prieto, A.; Alvarez-Mon, M. Early alterations of b cells in patients with septic shock. Crit. Care 2013, 17, R105. [Google Scholar] [CrossRef] [PubMed]
- Fan, S.L.; Miller, N.S.; Lee, J.; Remick, D.G. Diagnosing sepsis—The role of laboratory medicine. Clin. Chim. Acta 2016, 460, 203–210. [Google Scholar] [CrossRef] [PubMed]
- Banoei, M.M.; Donnelly, S.J.; Mickiewicz, B.; Weljie, A.; Vogel, H.J.; Winston, B.W. Metabolomics in critical care medicine: A new approach to biomarker discovery. Clin. Invest. Med. 2014, 37, E363–E376. [Google Scholar] [PubMed]



| Patients (n = 14) | Controls (n = 12) | p-Value | |
|---|---|---|---|
| male | 13 | 6 | 0.03 |
| age | 62 [49–83] | 71 [53–89] | 0.22 |
| Respiratory parameters | |||
| PEEP (cmH2O) | 5 [0–8] | 5.5 [5–8] | 0.018 |
| Volume (L/min) | 6.1 [4–7.6] | 9.2 [6.9–11.6] | 0.000914 |
| Fi O2 (%) | 60 [50–60] | 50 [33–80] | 0.04 |
| PaFi (mmHg) | NA | 232 [126–415] | |
| ventilation duration (h) | 0.75 [0.3–2] | 20 [12–384] | 0.0001 |
| plateau pressure (cmH2O) | 16.5 [14–120] | 18 [16–28] | 0.105 |
| Temperature (°C) | |||
| patient | 36 [35.7–36.6] | 37.9 [36.3–39.9] | 0.00003 |
| room | 20 | 25 [24–26] | 0.00012 |
© 2016 by the authors; licensee MDPI, Basel, Switzerland. This article is an open access article distributed under the terms and conditions of the Creative Commons Attribution (CC-BY) license (http://creativecommons.org/licenses/by/4.0/).
Share and Cite
Fermier, B.; Blasco, H.; Godat, E.; Bocca, C.; Moënne-Loccoz, J.; Emond, P.; Andres, C.R.; Laffon, M.; Ferrandière, M. Specific Metabolome Profile of Exhaled Breath Condensate in Patients with Shock and Respiratory Failure: A Pilot Study. Metabolites 2016, 6, 26. https://doi.org/10.3390/metabo6030026
Fermier B, Blasco H, Godat E, Bocca C, Moënne-Loccoz J, Emond P, Andres CR, Laffon M, Ferrandière M. Specific Metabolome Profile of Exhaled Breath Condensate in Patients with Shock and Respiratory Failure: A Pilot Study. Metabolites. 2016; 6(3):26. https://doi.org/10.3390/metabo6030026
Chicago/Turabian StyleFermier, Brice, Hélène Blasco, Emmanuel Godat, Cinzia Bocca, Joseph Moënne-Loccoz, Patrick Emond, Christian R. Andres, Marc Laffon, and Martine Ferrandière. 2016. "Specific Metabolome Profile of Exhaled Breath Condensate in Patients with Shock and Respiratory Failure: A Pilot Study" Metabolites 6, no. 3: 26. https://doi.org/10.3390/metabo6030026
APA StyleFermier, B., Blasco, H., Godat, E., Bocca, C., Moënne-Loccoz, J., Emond, P., Andres, C. R., Laffon, M., & Ferrandière, M. (2016). Specific Metabolome Profile of Exhaled Breath Condensate in Patients with Shock and Respiratory Failure: A Pilot Study. Metabolites, 6(3), 26. https://doi.org/10.3390/metabo6030026
