Widely Targeted Liver Metabolomics Reveals Potential Biomarkers in Mice with Drug-Induced Liver Injury
Abstract
1. Introduction
2. Materials and Methods
2.1. Chemicals and Reagents
2.2. Establishment of the DILI Mice Model
2.3. Serum, Liver Tissue Biochemistry and Histopathology
2.4. Sample Preparation and Extraction
2.5. UPLC Conditions
2.6. MS Conditions
2.7. Data Processing and Statistical Analysis
3. Results
3.1. Validation of the APAP-Induced DILI Model
3.2. Stability and Reliability Analysis of Detection Method
3.3. Stability and Applicability Analysis of DILI Model
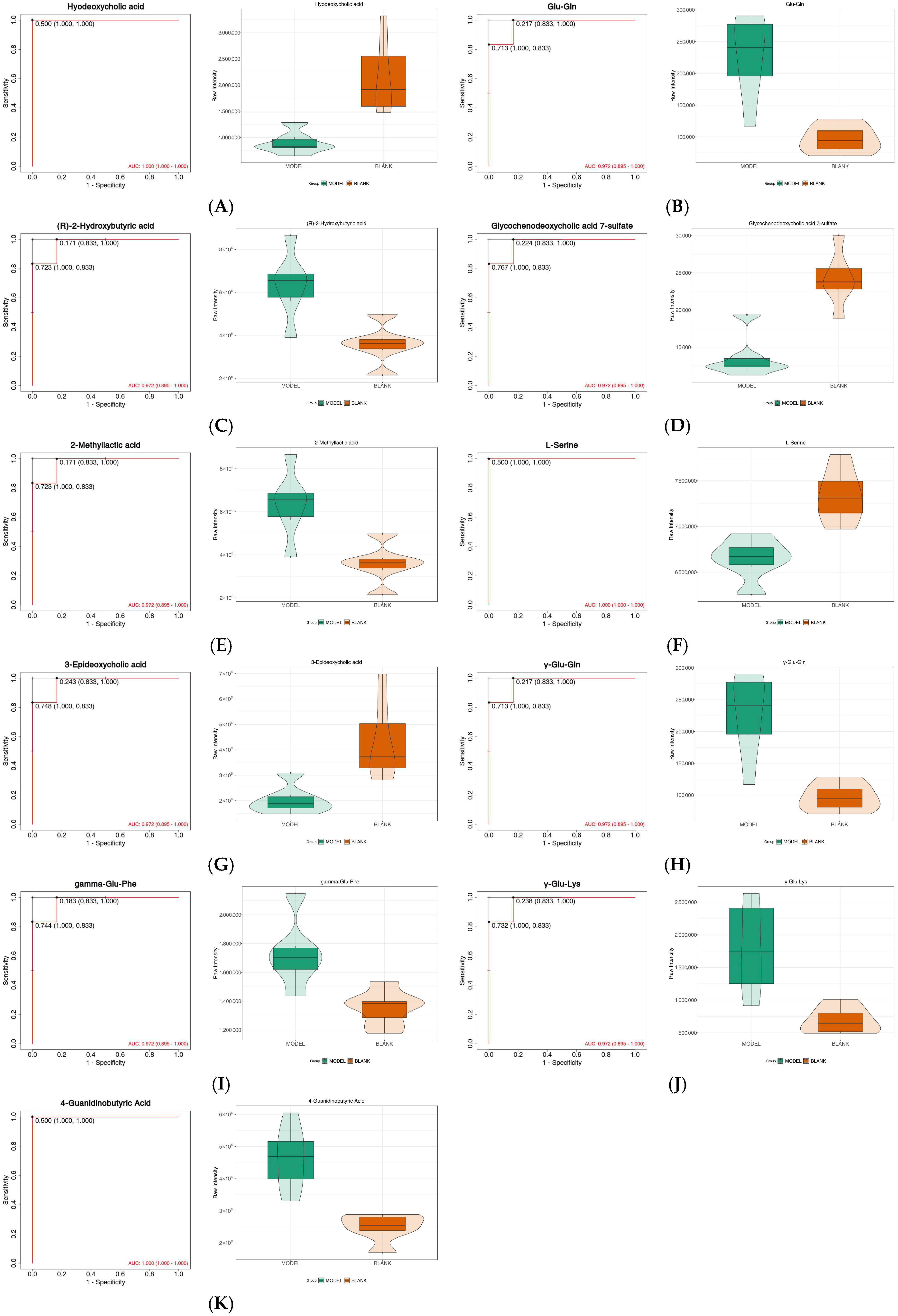
3.4. Widely Targeted Metabolomics Analysis of DILI Mice
3.5. Enrichment Analysis of Metabolic Pathways for Differential Markers
4. Discussion
5. Conclusions
Supplementary Materials
Author Contributions
Funding
Institutional Review Board Statement
Informed Consent Statement
Data Availability Statement
Conflicts of Interest
Abbreviations
| AILI | Acetaminophen-induced liver injury |
| ALT | Alanine aminotransferase |
| APAP | Acetaminophen |
| AST | Aspartate aminotransferase |
| AUC | Area under the ROC curve |
| CAD | Collision gas |
| CV | Coefficient of variation |
| CUR | Curtain gas |
| CYP7A1 | Cholesterol 7α-hydroxylase |
| DILI | Drug-induced liver injury |
| ECDF | Empirical cumulative distribution function |
| FC | Fold change |
| FXR | Farnesoid X receptor |
| GSI | Ion source gas I |
| GSII | Ion source gas II |
| GSH | Glutathione |
| IS | Ion spray voltage |
| JNK | c-Jun N-terminal kinase |
| LPC | Lysophosphatidylcholine |
| LPE | Lysophosphatidylethanolamine |
| LIT | Linear ion trap |
| MRM | Multiple reaction monitoring |
| NAPQI | N-acetylbenzoquinoneimine |
| NSAID | Nonsteroidal anti-inflammatory drug |
| OPLS-DA | Orthogonal partial least squares-discriminant analysis |
| PCA | Principal component analysis |
| QC | Quality control |
| QQQ | Triple quadrupole |
| QTRAP | Triple quadrupole-linear ion trap mass spectrometer |
| ROC | Receiver operating characteristic |
| ROS | Reactive oxygen species |
| TBIL | Total bilirubin |
| UPLC-MS/MS | Ultra-performance liquid chromatography-tandem mass spectrometry |
| VIP | Variable importance in projection |
References
- Germani, G.; Battistella, S.; Ulinici, D.; Zanetto, A.; Shalaby, S.; Pellone, M.; Gambato, M.; Senzolo, M.; Russo, F.P.; Burra, P. Drug induced liver injury: From pathogenesis to liver transplantation. Minerva Gastroenterol. 2021, 67, 50–64. [Google Scholar] [CrossRef]
- Li, X.; Tang, J.; Mao, Y. Incidence and risk factors of drug-induced liver injury. Liver Int. 2022, 42, 1999–2014. [Google Scholar] [CrossRef]
- Zhou, Y.; Wang, J.; Zhang, D.; Liu, J.; Wu, Q.; Chen, J.; Tan, P.; Xing, B.; Han, Y.; Zhang, P.; et al. Mechanism of drug-induced liver injury and hepatoprotective effects of natural drugs. Chin. Med. 2021, 16, 1–32. [Google Scholar] [CrossRef]
- Ozturk, N.B.; Uskudar, E.; Toruner, M.D.; Simsek, C.; Gurakar, A. Drug-induced liver injury: Diagnosis, management and the role of liver transplantation. Hepatol. Forum 2025, 6, 72–76. [Google Scholar] [CrossRef]
- Buzatto, A.Z.; de Sousa, A.C.; Guedes, S.F.; Cieslarová, Z.; Simionato, A.V.C. Metabolomic investigation of human diseases biomarkers by CE and LC coupled to MS. Electrophoresis 2014, 35, 1285–1307. [Google Scholar] [CrossRef]
- Bu, F.; Shen, X.; Zhan, H.; Wang, D.; Min, L.; Song, Y.; Wang, S. Efficient Metabolomics Profiling from Plasma Extracellular Vesicles Enables Accurate Diagnosis of Early Gastric Cancer. J. Am. Chem. Soc. 2025, 147, 8672–8686. [Google Scholar] [CrossRef]
- Zhu, Y.; Fan, Y.; Chen, L.; Shang, Y.; Feng, Z.; Fan, L.; Ouyang, H.; He, J. Protective effect and mechanism of Perilla frutescens (L.) Britton on acute liver injury via an integrated strategy of pharmacodynamics, liver metabonomics and lipidomics, and network pharmacology. J. Funct. Foods 2025, 133. [Google Scholar] [CrossRef]
- Nikopoulou, C.; Kleinenkuhnen, N.; Parekh, S.; Sandoval, T.; Ziegenhain, C.; Schneider, F.; Giavalisco, P.; Donahue, K.-F.; Vesting, A.J.; Kirchner, M.; et al. Spatial and single-cell profiling of the metabolome, transcriptome and epigenome of the aging mouse liver. Nat. Aging 2023, 3, 1430–1445. [Google Scholar] [CrossRef] [PubMed]
- Wang, Z.; Zhao, M.-Y.; Wang, J.-W.; He, Y.-T.; Yang, R.-Q.; Ji, J.-Q.; Ding, Y.; Wang, C.; Zhao, Y.-H.; Zhang, W.-K.; et al. The GSK3β inhibitor attenuate APAP-induced liver injury by regulating PGC1α-mediated oxidative stress. Int. Immunopharmacol. 2025, 161, 115070. [Google Scholar] [CrossRef]
- Nguyen, N.T.; Umbaugh, D.S.; Smith, S.; Adelusi, O.B.; Sanchez-Guerrero, G.; Ramachandran, A.; Jaeschke, H. Dose-dependent pleiotropic role of neutrophils during acetaminophen-induced liver injury in male and female mice. Arch. Toxicol. 2023, 97, 1397–1412. [Google Scholar] [CrossRef] [PubMed]
- Bhushan, B.; Walesky, C.; Manley, M.; Gallagher, T.; Borude, P.; Edwards, G.; Monga, S.P.; Apte, U. Pro-Regenerative Signaling after Acetaminophen-Induced Acute Liver Injury in Mice Identified Using a Novel Incremental Dose Model. Am. J. Pathol. 2014, 184, 3013–3025. [Google Scholar] [CrossRef] [PubMed]
- McGill, M.R.; Jaeschke, H. Animal models of drug-induced liver injury. Biochim. Biophys. Acta (BBA) Mol. Basis Dis. 2019, 1865, 1031–1039. [Google Scholar] [CrossRef]
- Beger, R.D.; Bhattacharyya, S.; Yang, X.; Gill, P.S.; Schnackenberg, L.K.; Sun, J.; James, L.P. Translational biomarkers of acetaminophen-induced acute liver injury. Arch. Toxicol. 2015, 89, 1497–1522. [Google Scholar] [CrossRef] [PubMed]
- Gupta, S.; Stravitz, R.T.; Dent, P.; Hylemon, P.B. Down-regulation of Cholesterol 7α-Hydroxylase (CYP7A1) Gene Expression by Bile Acids in Primary Rat Hepatocytes Is Mediated by the c-Jun N-terminal Kinase Pathway. J. Biol. Chem. 2001, 276, 15816–15822. [Google Scholar] [CrossRef] [PubMed]
- Xie, Y.; Shen, F.; He, Y.; Guo, C.; Yang, R.; Cao, H.; Pan, Q.; Fan, J. Gamma-Muricholic Acid Inhibits Nonalcoholic Steatohepatitis: Abolishment of Steatosis-Dependent Peroxidative Impairment by FXR/SHP/LXRα/FASN Signaling. Nutrients 2023, 15, 1255. [Google Scholar] [CrossRef]
- Stolze, L.F.; Wendon, J. Understanding Paracetamol-Induced Liver Failure. Intensive Care Med. 2014, 40, 888–890. [Google Scholar]
- Schadt, H.S.; Wolf, A.; Pognan, F.; Chibout, S.-D.; Merz, M.; Kullak-Ublick, G.A. Bile acids in drug induced liver injury: Key players and surrogate markers. Clin. Res. Hepatol. Gastroenterol. 2016, 40, 257–266. [Google Scholar] [CrossRef]
- Perez, M.J.; Briz, O. Bile-Acid-Induced Cell Injury and Protection. World J. Gastroenterol. 2009, 15, 1677–1689. [Google Scholar] [CrossRef]
- Zhang, A.; Sun, H.; Yan, G.; Han, Y.; Ye, Y.; Wang, X. Urinary metabolic profiling identifies a key role for glycocholic acid in human liver cancer by ultra-performance liquid-chromatography coupled with high-definition mass spectrometry. Clin. Chim. Acta 2013, 418, 86–90. [Google Scholar] [CrossRef]
- Li, Q.; Chen, F.; Wang, F. The immunological mechanisms and therapeutic potential in drug-induced liver injury: Lessons learned from acetaminophen hepatotoxicity. Cell Biosci. 2022, 12, 187. [Google Scholar] [CrossRef]
- Ma, F.; Li, L.; Xu, Z.; Xie, Y.; Ma, Y.; Li, P. Prognostic Modeling and Immune Infiltration Analysis in Hepatocellular Carcinoma Using Glutathione Metabolism-Associated Genes. Eur. J. Med. Res. 2025, 30, 1141. [Google Scholar] [CrossRef]
- Li, H.; Ye, X.; Hu, Y.; Wang, Y.; Ding, Y.; Yang, Y.; Mao, R.; Wu, X.; Dong, H.; Qiu, K.; et al. Fibroblast growth factor receptor inhibitors ameliorate metabolic dysfunction-associated steatohepatitis by modulating the glycine-glutathione-gut microbiota axis. Free. Radic. Biol. Med. 2025, 240, 410–425. [Google Scholar] [CrossRef]
- Muir, K.; Hazim, A.; He, Y.; Peyressatre, M.; Kim, D.-Y.; Song, X.; Beretta, L. Proteomic and Lipidomic Signatures of Lipid Metabolism in NASH-Associated Hepatocellular Carcinoma. Cancer Res. 2013, 73, 4722–4731. [Google Scholar] [CrossRef] [PubMed]
- Korbecki, J.; Bosiacki, M.; Kupnicka, P.; Barczak, K.; Ziętek, P.; Chlubek, D.; Baranowska-Bosiacka, I. Biochemistry and Diseases Related to the Interconversion of Phosphatidylcholine, Phosphatidylethanolamine, and Phosphatidylserine. Int. J. Mol. Sci. 2024, 25, 10745. [Google Scholar] [CrossRef] [PubMed]
- Kanemaru, K.; Shimozawa, M.; Kitamata, M.; Furuishi, R.; Kayano, H.; Sukawa, Y.; Chiba, Y.; Fukuyama, T.; Hasegawa, J.; Nakanishi, H.; et al. Plasma membrane phosphatidylinositol (4,5)-bisphosphate is critical for determination of epithelial characteristics. Nat. Commun. 2022, 13, 2347. [Google Scholar] [CrossRef]
- Kano, K.; Aoki, J.; Hla, T. Lysophospholipid Mediators in Health and Disease. Annu. Rev. Pathol. Mech. Dis. 2021, 17, 459–483. [Google Scholar] [CrossRef] [PubMed]
- Wen, Y.; Wang, D.; Wang, H.; Zhao, J.; Yao, L.; Zhang, J.; Chen, B. A Glycerophospholipid Metabolism-Based Prognostic Model Guides Osteosarcoma Therapy. Transl. Oncol. 2025, 63, 102572. [Google Scholar] [CrossRef]
- Kur, I.-M.; Weigert, A. Phosphatidylserine externalization as immune checkpoint in cancer. Pflügers Arch. Eur. J. Physiol. 2024, 476, 1789–1802. [Google Scholar] [CrossRef]
- Lee, J.; Cheu, J.W.-S.; Wong, C.C.-L. The Diverse Roles of Lipid Metabolism Reprogramming in Shaping the Tumor Immune Microenvironment. Cancer Res. 2026, OF1–OF11. [Google Scholar] [CrossRef]
- Liang, H.; Song, K. Multi-omics analysis reveals metabolic regulation of phosphatidylcholine, triglycerides, phosphatidylethanolamine, and cardiolipin metabolism in mouse liver with metabolic dysfunction-associated steatotic liver disease. PLoS ONE 2025, 20, e0332177. [Google Scholar] [CrossRef]
- Begriche, K.; Massart, J.; Robin, M.-A.; Borgne-Sanchez, A.; Fromenty, B. Drug-induced toxicity on mitochondria and lipid metabolism: Mechanistic diversity and deleterious consequences for the liver. J. Hepatol. 2011, 54, 773–794. [Google Scholar] [CrossRef]
- Liu, J.; Chen, Y.; Cen, Z.; Hong, M.; Zhang, B.; Luo, X.; Wang, L.; Li, S.; Xiao, X.; Long, Q. Ganoderma lucidum spore oil attenuates acute liver injury by modulating lipid metabolism and gut microbiota. J. Pharm. Biomed. Anal. 2025, 256, 116674. [Google Scholar] [CrossRef]
- Rashid, M.; Varghese, R.S.; Ding, Y.; Ressom, H.W. Biomarker Discovery for Hepatocellular Carcinoma in Patients with Liver Cirrhosis Using Untargeted Metabolomics and Lipidomics Studies. Metabolites 2023, 13, 1047. [Google Scholar] [CrossRef] [PubMed]
- Tian, J.; Lu, Y.; Zhao, Q.-L.; Pu, Q.-Y.; Jiang, S.; Tang, Y.-P. DHA-enriched phosphatidylserine alleviates bisphenol A-induced liver injury through regulating glycerophospholipid metabolism and the SIRT1-AMPK pathway. Heliyon 2024, 10, e34835. [Google Scholar] [CrossRef]
- Atallah, E.; Freixo, C.; Alvarez-Alvarez, I.; Cubero, F.; Gerbes, A.L.; Kullak-Ublick, G.A.; Aithal, G.P. Biomarkers of idiosyncratic drug-induced liver injury (DILI)—A systematic review. Expert Opin. Drug Metab. Toxicol. 2021, 17, 1327–1343. [Google Scholar] [CrossRef] [PubMed]
- Jaber, M.A.; Ghanim, B.Y.; Al-Natour, M.; Abu Arqoub, D.; Abdallah, Q.; Abdelrazig, S.; Alkrad, J.A.; Kim, D.-H.; Qinna, N.A. Potential biomarkers and metabolomics of acetaminophen-induced liver injury during alcohol consumption: A preclinical investigation on C57/BL6 mice. Toxicol. Appl. Pharmacol. 2023, 465, 116451. [Google Scholar] [CrossRef] [PubMed]






| Compounds | Type | Log2FC | VIP | p-Value |
|---|---|---|---|---|
| 2-Methyllactic acid | up | 0.825465845 | 1.861342901 | 0.005760072 |
| (R)-2-Hydroxybutyric acid | up | 0.825465845 | 1.861342901 | 0.005760072 |
| Glu-Gln | up | 1.23222829 | 2.033086617 | 0.003888383 |
| γ-Glu-Gln | up | 1.23222829 | 2.033086617 | 0.003888383 |
| 4-Methoxyestrone | up | 0.693202533 | 1.833980564 | 0.007628821 |
| 2-Methoxyestrone | up | 0.693202533 | 1.833980564 | 0.007628821 |
| Acetylcholine | up | 0.897419019 | 2.070768801 | 0.001950573 |
| 4-Guanidinobutyric acid | up | 0.897419019 | 2.070768801 | 0.001950573 |
| D-Glucosamine 6-Phosphate | up | 0.624203269 | 1.852145893 | 0.005262299 |
| Putrescine | up | 2.259126796 | 1.921946776 | 0.037564691 |
| Carnitine C20:2 | up | 0.613922485 | 1.898151526 | 0.003466492 |
| 3-Carboxypropyltrimethylammonium | up | 0.930645718 | 2.266682683 | 0.000294884 |
| n-Oleoylethanolamine | up | 1.806254314 | 1.877942884 | 0.019437404 |
| Carnitine C8:0 | up | 1.490148539 | 1.897794513 | 0.013758121 |
| N-Methylisoleucine | up | 2.153820406 | 2.06886256 | 0.001651802 |
| γ-Glu-Lys | up | 1.378132354 | 1.954322115 | 0.011864334 |
| γ-Glu-Phe | up | 0.351038603 | 1.854460271 | 0.010220471 |
| LPC (0:0/16:2) | up | 0.592482236 | 1.836169766 | 0.012357526 |
| Carnitine C6-OH | up | 1.191688825 | 1.843090325 | 0.010925769 |
| Indole-4-carboxaldehyde | down | −0.819874057 | 1.909557306 | 0.001171704 |
| Mucic acid | down | −0.62711227 | 1.82915026 | 0.004303106 |
| Glucaric acid | down | −0.62711227 | 1.82915026 | 0.004303106 |
| Cholic acid | down | −0.994387372 | 1.896668974 | 0.008358778 |
| γ-muricholic acid | down | −0.994387372 | 1.896668974 | 0.008358778 |
| L-Serine | down | −0.143082272 | 2.000175592 | 0.001265731 |
| L-Isoserine | down | −0.143082272 | 2.000175592 | 0.001265731 |
| Tauroursodeoxycholic acid | down | −1.404456722 | 2.019322706 | 0.001750595 |
| Hyodeoxycholic acid | down | −1.249398986 | 2.05621151 | 0.007516161 |
| 13-HOTrE | down | −1.037089103 | 1.88732953 | 0.00879502 |
| 9(S)-HpOTrE | down | −0.841196781 | 2.038868729 | 0.001526687 |
| 3-Epideoxycholic acid | down | −1.080181454 | 1.92808492 | 0.015495934 |
| Ribonic acid | down | −0.628392013 | 1.86566919 | 0.001392447 |
| 2,2-Dimethylglutaric acid | down | −1.14953439 | 1.945250245 | 0.002052736 |
| Glycochenodeoxycholic acid 7-sulfate | down | −0.830802263 | 2.122140314 | 0.000337779 |
| 9-deoxy-9-methylene-PGE2 | down | −1.416794101 | 1.854311763 | 0.002720152 |
| Indole-3-Carboxaldehyde | down | −0.674207969 | 1.851828401 | 0.002009603 |
| LPC (17:2/0:0) | down | −0.511700545 | 1.843496623 | 0.002197334 |
| LPC (0:0/18:3) | down | −1.030378647 | 1.942115118 | 0.00194038 |
| 1-Aminopentadecane | down | −0.596160213 | 1.991094633 | 0.00026619 |
| LPC (18:3/0:0) | down | −0.592590883 | 1.905318155 | 0.005142233 |
| 3-Aminophenol | down | −1.28232858 | 2.016573337 | 0.00012809 |
| Total | Hits | p Value | Impact | |
|---|---|---|---|---|
| Primary bile acid biosynthesis | 46 | 8 | 3.9883 × 10−8 | 0.10576 |
| Glycerophospholipid metabolism | 36 | 5 | 0.00006966 | 0.23171 |
| Glutathione metabolism | 28 | 4 | 0.00037373 | 0.11571 |
| One carbon pool by folate | 26 | 2 | 0.044534 | 0.05637 |
| Linoleic acid metabolism | 5 | 1 | 0.064316 | 0 |
| Glyoxylate and dicarboxylate metabolism | 32 | 2 | 0.064829 | 0.11 |
| Glycine, serine and threonine metabolism | 33 | 2 | 0.068471 | 0.4744 |
| Arginine and proline metabolism | 36 | 2 | 0.079797 | 0 |
| Taurine and hypotaurine metabolism | 8 | 1 | 0.10099 | 0 |
| Ascorbate and aldarate metabolism | 9 | 1 | 0.11291 | 0 |
| alpha-Linolenic acid metabolism | 13 | 1 | 0.1591 | 0 |
| D-Amino acid metabolism | 15 | 1 | 0.18132 | 0 |
| Glycerolipid metabolism | 16 | 1 | 0.19223 | 0 |
| Fructose and mannose metabolism | 20 | 1 | 0.23447 | 0.00311 |
| beta-Alanine metabolism | 21 | 1 | 0.24469 | 0.05597 |
| Glycolysis or Gluconeogenesis | 26 | 1 | 0.29391 | 0 |
| Alanine, aspartate and glutamate metabolism | 28 | 1 | 0.31272 | 0 |
| Lipoic acid metabolism | 28 | 1 | 0.31272 | 0.0017 |
| Steroid hormone biosynthesis | 87 | 2 | 0.32004 | 0.0104 |
| Inositol phosphate metabolism | 30 | 1 | 0.33106 | 0 |
| Porphyrin metabolism | 31 | 1 | 0.34005 | 0 |
| Sphingolipid metabolism | 32 | 1 | 0.34893 | 0 |
| Glycosylphosphatidylinositol (GPI)-anchor biosynthesis | 32 | 1 | 0.34893 | 0.03665 |
| Cysteine and methionine metabolism | 33 | 1 | 0.3577 | 0.02184 |
| Steroid biosynthesis | 41 | 1 | 0.42388 | 0.02837 |
| Amino sugar and nucleotide sugar metabolism | 42 | 1 | 0.43168 | 0.10245 |
| Arachidonic acid metabolism | 44 | 1 | 0.44698 | 0 |
Disclaimer/Publisher’s Note: The statements, opinions and data contained in all publications are solely those of the individual author(s) and contributor(s) and not of MDPI and/or the editor(s). MDPI and/or the editor(s) disclaim responsibility for any injury to people or property resulting from any ideas, methods, instructions or products referred to in the content. |
© 2026 by the authors. Licensee MDPI, Basel, Switzerland. This article is an open access article distributed under the terms and conditions of the Creative Commons Attribution (CC BY) license.
Share and Cite
Peng, J.; Zhao, T.; Zhang, X.; Wang, H.; Li, H.; Liang, Y. Widely Targeted Liver Metabolomics Reveals Potential Biomarkers in Mice with Drug-Induced Liver Injury. Metabolites 2026, 16, 96. https://doi.org/10.3390/metabo16020096
Peng J, Zhao T, Zhang X, Wang H, Li H, Liang Y. Widely Targeted Liver Metabolomics Reveals Potential Biomarkers in Mice with Drug-Induced Liver Injury. Metabolites. 2026; 16(2):96. https://doi.org/10.3390/metabo16020096
Chicago/Turabian StylePeng, Jiangning, Tingting Zhao, Xuehong Zhang, Hong Wang, Hui Li, and Yan Liang. 2026. "Widely Targeted Liver Metabolomics Reveals Potential Biomarkers in Mice with Drug-Induced Liver Injury" Metabolites 16, no. 2: 96. https://doi.org/10.3390/metabo16020096
APA StylePeng, J., Zhao, T., Zhang, X., Wang, H., Li, H., & Liang, Y. (2026). Widely Targeted Liver Metabolomics Reveals Potential Biomarkers in Mice with Drug-Induced Liver Injury. Metabolites, 16(2), 96. https://doi.org/10.3390/metabo16020096

