Longitudinal, Intra-Individual Stability of Untargeted Plasma and Cerebrospinal Fluid Metabolites
Abstract
1. Introduction
2. Materials and Methods
2.1. Study Participants
2.2. Plasma Collection
2.3. CSF Collection
2.4. Thresholds for Exclusion of Individuals with AD-Related Pathology
2.4.1. Biomarker Detection and Thresholds
2.4.2. Exclusion Due to Clinical Diagnosis of Dementia
2.5. Untargeted Metabolomics
2.6. Data Bridging and QC
2.7. Data Filtering
2.8. Compiling Data Sets
2.9. Statistical Analyses
2.9.1. Intraclass Correlation
2.9.2. Coefficient of Variation of QC Samples
2.9.3. Composite Stability Score
3. Results
3.1. Summary of Participants
3.2. ICC and Rothery’s ρ Are Highly Correlated for Normally Distributed Metabolites
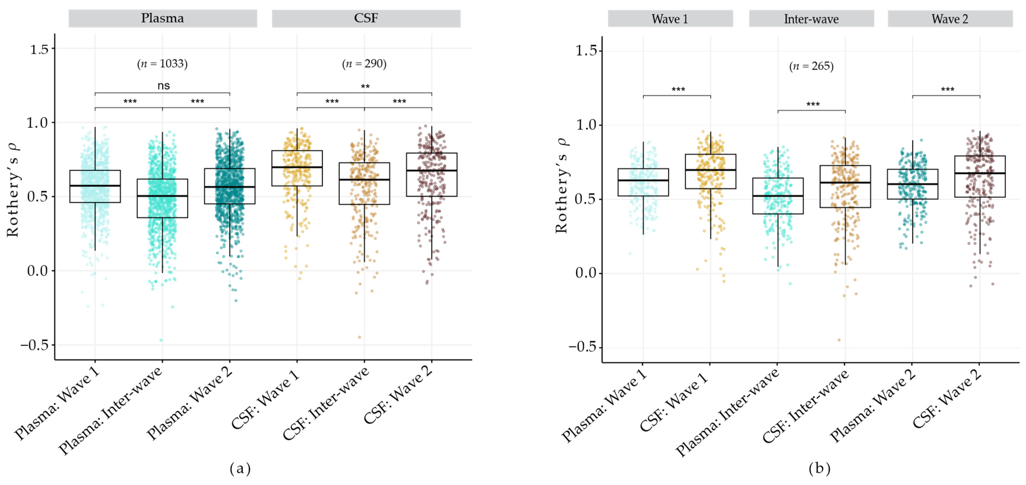
3.3. Stability Across All Metabolites in Plasma and CSF
3.4. Stability by Pathway
3.5. Composite Score Offers More Nuanced Assessment of Longitudinal Metabolite Stability
3.6. Composite Score Reveals No Significant Difference in Stability Between Plasma and CSF Metabolites
4. Discussion
5. Conclusions
Supplementary Materials
Author Contributions
Funding
Institutional Review Board Statement
Informed Consent Statement
Data Availability Statement
Acknowledgments
Conflicts of Interest
Abbreviations
| AD | Alzheimer’s disease |
| CSF | Cerebrospinal fluid |
| ICC | Intraclass correlation coefficient |
| WRAP | Wisconsin Registry for Alzheimer’s Prevention |
| ARDC | (Wisconsin) Alzheimer’s Disease Research Center |
| CV | Coefficients of variation |
| QC | Quality control |
| MCI | Mild cognitive impairment |
| ROC | Receiver-operator characteristic |
| NIA-AA | National Institute on Aging–Alzheimer’s Association |
| UPLC-MS/MS | Ultrahigh-Performance Liquid Chromatography–Tandem Mass Spectrometry |
| LOF | Local outlier factor |
| KS | Kolmogorov–Smirov |
References
- Flores, A.C.; Zhang, X.; Kris-Etherton, P.M.; Sliwinski, M.J.; Shearer, G.C.; Gao, X.; Na, M. Metabolomics and Risk of Dementia: A Systematic Review of Prospective Studies. J. Nutr. 2024, 154, 826–845. [Google Scholar] [CrossRef]
- Lista, S.; González-Domínguez, R.; López-Ortiz, S.; González-Domínguez, Á.; Menéndez, H.; Martín-Hernández, J.; Lucia, A.; Emanuele, E.; Centonze, D.; Imbimbo, B.P.; et al. Integrative Metabolomics Science in Alzheimer’s Disease: Relevance and Future Perspectives. Ageing Res. Rev. 2023, 89, 101987. [Google Scholar] [CrossRef] [PubMed]
- Lind, L.; Fall, T.; Arnlov, J.; Elmstahl, S.; Sundstrom, J. Large-Scale Metabolomics and the Incidence of Cardiovascular Disease. J. Am. Heart Assoc. 2023, 12, e026885. [Google Scholar] [CrossRef] [PubMed]
- Fuller, H.; Zhu, Y.; Nicholas, J.; Chatelaine, H.A.; Drzymalla, E.M.; Sarvestani, A.K.; Julian-Serrano, S.; Tahir, U.A.; Sinnott-Armstrong, N.; Raffield, L.M.; et al. Metabolomic Epidemiology Offers Insights into Disease Aetiology. Nat. Metab. 2023, 5, 1656–1672. [Google Scholar] [CrossRef]
- Sampson, J.N.; Boca, S.M.; Shu, X.O.; Stolzenberg-Solomon, R.Z.; Matthews, C.E.; Hsing, A.W.; Tan, Y.T.; Ji, B.T.; Chow, W.H.; Cai, Q.; et al. Metabolomics in Epidemiology: Sources of Variability in Metabolite Measurements and Implications. Cancer Epidemiol. Biomark. Prev. 2013, 22, 631–640. [Google Scholar] [CrossRef]
- Darst, B.F.; Koscik, R.L.; Hogan, K.J.; Johnson, S.C.; Engelman, C.D. Longitudinal Plasma Metabolomics of Aging and Sex. Aging 2019, 11, 1262–1282. [Google Scholar] [CrossRef]
- Otto, C.; Kalantzis, R.; Kübler-Weller, D.; Kühn, A.A.; Böld, T.; Regler, A.; Strathmeyer, S.; Wittmann, J.; Ruprecht, K.; Heelemann, S. Comprehensive Analysis of the Cerebrospinal Fluid and Serum Metabolome in Neurological Diseases. J. Neuroinflammation 2024, 21, 234. [Google Scholar] [CrossRef]
- Peters, K.; Herman, S.; Khoonsari, P.E.; Burman, J.; Neumann, S.; Kultima, K. Metabolic Drift in the Aging Nervous System Is Reflected in Human Cerebrospinal Fluid. Sci. Rep. 2021, 11, 18822. [Google Scholar] [CrossRef]
- Qiu, S.; Cai, Y.; Yao, H.; Lin, C.; Xie, Y.; Tang, S.; Zhang, A. Small Molecule Metabolites: Discovery of Biomarkers and Therapeutic Targets. Signal Transduct. Target Ther. 2023, 8, 132. [Google Scholar] [CrossRef] [PubMed]
- Tessier, A.J.; Wang, F.; Liang, L.; Wittenbecher, C.; Haslam, D.E.; Eliassen, A.H.; Tobias, D.K.; Li, J.; Zeleznik, O.A.; Ascherio, A.; et al. Plasma Metabolites of a Healthy Lifestyle in Relation to Mortality and Longevity: Four Prospective US Cohort Studies. Med 2024, 5, 224–238 e5. [Google Scholar] [CrossRef]
- Han, W.; Li, L. Evaluating and Minimizing Batch Effects in Metabolomics. Mass Spectrom. Rev. 2022, 41, 421–442. [Google Scholar] [CrossRef]
- Bayer, J.M.M.; Thompson, P.M.; Ching, C.R.K.; Liu, M.; Chen, A.; Panzenhagen, A.C.; Jahanshad, N.; Marquand, A.; Schmaal, L.; Samann, P.G. Site Effects How-to and When: An Overview of Retrospective Techniques to Accommodate Site Effects in Multi-Site Neuroimaging Analyses. Front. Neurol. 2022, 13, 923988. [Google Scholar] [CrossRef]
- Makinen, V.P.; Karsikas, M.; Kettunen, J.; Lehtimaki, T.; Kahonen, M.; Viikari, J.; Perola, M.; Salomaa, V.; Jarvelin, M.R.; Raitakari, O.T.; et al. Longitudinal Profiling of Metabolic Ageing Trends in Two Population Cohorts of Young Adults. Int. J. Epidemiol. 2022, 51, 1970–1983. [Google Scholar] [CrossRef]
- Wiedeman, A.M.; Dyer, R.A.; Green, T.J.; Xu, Z.; Barr, S.I.; Innis, S.M.; Kitts, D.D. Variations in Plasma Choline and Metabolite Concentrations in Healthy Adults. Clin. Biochem 2018, 60, 77–83. [Google Scholar] [CrossRef]
- Haijes, H.A.; Willemse, E.A.J.; Gerrits, J.; van der Flier, W.M.; Teunissen, C.E.; Verhoeven-Duif, N.M.; Jans, J.J.M. Assessing the Pre-Analytical Stability of Small-Molecule Metabolites in Cerebrospinal Fluid Using Direct-Infusion Metabolomics. Metabolites 2019, 9, 236. [Google Scholar] [CrossRef]
- Dong, R.; Darst, B.F.; Deming, Y.; Ma, Y.; Lu, Q.; Zetterberg, H.; Blennow, K.; Carlsson, C.M.; Johnson, S.C.; Asthana, S.; et al. CSF Metabolites Associate with CSF Tau and Improve Prediction of Alzheimer’s Disease Status. Alzheimer‘s Dement. 2021, 13, e12167. [Google Scholar] [CrossRef]
- Dong, R.; Lu, Q.; Kang, H.; Suridjan, I.; Kollmorgen, G.; Wild, N.; Deming, Y.; Van Hulle, C.A.; Anderson, R.M.; Zetterberg, H.; et al. CSF Metabolites Associated with Biomarkers of Alzheimer’s Disease Pathology. Front. Aging Neurosci. 2023, 15, 1214932. [Google Scholar] [CrossRef] [PubMed]
- Trushina, E.; Dutta, T.; Persson, X.M.; Mielke, M.M.; Petersen, R.C. Identification of Altered Metabolic Pathways in Plasma and CSF in Mild Cognitive Impairment and Alzheimer’s Disease Using Metabolomics. PLoS ONE 2013, 8, e63644. [Google Scholar] [CrossRef] [PubMed]
- Panyard, D.J.; McKetney, J.; Deming, Y.K.; Morrow, A.R.; Ennis, G.E.; Jonaitis, E.M.; Van Hulle, C.A.; Yang, C.; Sung, Y.J.; Ali, M.; et al. Large-scale Proteome and Metabolome Analysis of CSF Implicates Altered Glucose and Carbon Metabolism and Succinylcarnitine in Alzheimer’s Disease. Alzheimer’s Dement. 2023, 19, 5447–5470. [Google Scholar] [CrossRef]
- Koo, T.K.; Li, M.Y. A Guideline of Selecting and Reporting Intraclass Correlation Coefficients for Reliability Research. J Chiropr Med 2016, 15, 155–163. [Google Scholar] [CrossRef] [PubMed]
- Oosterwegel, M.J.; Ibi, D.; Portengen, L.; Probst-Hensch, N.; Tarallo, S.; Naccarati, A.; Imboden, M.; Jeong, A.; Robinot, N.; Scalbert, A.; et al. Variability of the Human Serum Metabolome over 3 Months in the EXPOsOMICS Personal Exposure Monitoring Study. Environ. Sci. Technol. 2023, 57, 12752–12759. [Google Scholar] [CrossRef]
- Miyake, A.; Harada, S.; Sugiyama, D.; Matsumoto, M.; Hirata, A.; Miyagawa, N.; Toki, R.; Edagawa, S.; Kuwabara, K.; Okamura, T.; et al. Reliability of Time-Series Plasma Metabolome Data over 6 Years in a Large-Scale Cohort Study. Metabolites 2024, 14, 77. [Google Scholar] [CrossRef]
- Floegel, A.; Drogan, D.; Wang-Sattler, R.; Prehn, C.; Illig, T.; Adamski, J.; Joost, H.-G.; Boeing, H.; Pischon, T. Reliability of Serum Metabolite Concentrations over a 4-Month Period Using a Targeted Metabolomic Approach. PLoS ONE 2011, 6, e21103. [Google Scholar] [CrossRef]
- Townsend, M.K.; Clish, C.B.; Kraft, P.; Wu, C.; Souza, A.L.; Deik, A.A.; Tworoger, S.S.; Wolpin, B.M. Reproducibility of Metabolomic Profiles among Men and Women in 2 Large Cohort Studies. Clin. Chem. 2013, 59, 1657–1667. [Google Scholar] [CrossRef]
- Rothery, P. Nonparametric Measure of Intraclass Correlation. Biometrika 1979, 66, 629–639. [Google Scholar] [CrossRef]
- Johnson, S.C.; Koscik, R.L.; Jonaitis, E.M.; Clark, L.R.; Mueller, K.D.; Berman, S.E.; Bendlin, B.B.; Engelman, C.D.; Okonkwo, O.C.; Hogan, K.J.; et al. The Wisconsin Registry for Alzheimer’s Prevention: A Review of Findings and Current Directions. Alzheimer’s Dement. 2018, 10, 130–142. [Google Scholar] [CrossRef]
- Bettcher, B.M.; Johnson, S.C.; Fitch, R.; Casaletto, K.B.; Heffernan, K.S.; Asthana, S.; Zetterberg, H.; Blennow, K.; Carlsson, C.M.; Neuhaus, J.; et al. Cerebrospinal Fluid and Plasma Levels of Inflammation Differentially Relate to CNS Markers of Alzheimer’s Disease Pathology and Neuronal Damage. J. Alzheimer’s Dis. 2018, 62, 385–397. [Google Scholar] [CrossRef] [PubMed]
- Jonaitis, E.M.; Jeffers, B.; VandenLangenberg, M.; Ma, Y.; Van Hulle, C.; Langhough, R.; Du, L.; Chin, N.A.; Przybelski, R.J.; Hogan, K.J.; et al. CSF Biomarkers in Longitudinal Alzheimer Disease Cohorts: Pre-Analytic Challenges. Clin. Chem. 2024, 70, 538–550. [Google Scholar] [CrossRef] [PubMed]
- Jack, C.R.; Andrews, J.S.; Beach, T.G.; Buracchio, T.; Dunn, B.; Graf, A.; Hansson, O.; Ho, C.; Jagust, W.; McDade, E.; et al. Revised Criteria for Diagnosis and Staging of Alzheimer’s Disease: Alzheimer’s Association Workgroup. Alzheimer’s Dement. 2024, 20, 5143–5169. [Google Scholar] [CrossRef] [PubMed]
- Ashton, N.J.; Brum, W.S.; Di Molfetta, G.; Benedet, A.L.; Arslan, B.; Jonaitis, E.; Langhough, R.E.; Cody, K.; Wilson, R.; Carlsson, C.M.; et al. Diagnostic Accuracy of a Plasma Phosphorylated Tau 217 Immunoassay for Alzheimer Disease Pathology. JAMA Neurol. 2024, 81, 255. [Google Scholar] [CrossRef]
- Albert, M.S.; DeKosky, S.T.; Dickson, D.; Dubois, B.; Feldman, H.H.; Fox, N.C.; Gamst, A.; Holtzman, D.M.; Jagust, W.J.; Petersen, R.C.; et al. The Diagnosis of Mild Cognitive Impairment Due to Alzheimer’s Disease: Recommendations from the National Institute on Aging-Alzheimer’s Association Workgroups on Diagnostic Guidelines for Alzheimer’s Disease. Alzheimer’s Dement. 2011, 7, 270–279. [Google Scholar] [CrossRef] [PubMed]
- Breunig, M.M.; Kriegel, H.P.; Ng, R.T.; Sander, J. LOF: Identifying Density-Based Local Outliers. SIGMOD Rec. 2000, 29, 93–104. [Google Scholar] [CrossRef]
- Saito, K.; Hattori, K.; Andou, T.; Satomi, Y.; Gotou, M.; Kobayashi, H.; Hidese, S.; Kunugi, H. Characterization of Postprandial Effects on CSF Metabolomics: A Pilot Study with Parallel Comparison to Plasma. Metabolites 2020, 10, 185. [Google Scholar] [CrossRef]
- Fu, G.; Rushing, B.R.; Graves, L.; Nieman, D.C.; Pellegrini, M.; Soldano, M.; Thompson, M.J.; Sakaguchi, C.A.; Pathmasiri, W.; Sumner, S.J. Multi-Omics Signature of Healthy versus Unhealthy Lifestyles Reveals Associations with Diseases. Hum. Genom. 2025, 19, 101. [Google Scholar] [CrossRef]
- Pathmasiri, W.; Rushing, B.R.; McRitchie, S.; Choudhari, M.; Du, X.; Smirnov, A.; Pelleigrini, M.; Thompson, M.J.; Sakaguchi, C.A.; Nieman, D.C.; et al. Untargeted Metabolomics Reveal Signatures of a Healthy Lifestyle. Sci. Rep. 2024, 14, 13630. [Google Scholar] [CrossRef] [PubMed]
- Crews, B.; Wikoff, W.R.; Patti, G.J.; Woo, H.K.; Kalisiak, E.; Heideker, J.; Siuzdak, G. Variability Analysis of Human Plasma and Cerebral Spinal Fluid Reveals Statistical Significance of Changes in Mass Spectrometry-Based Metabolomics Data. Anal. Chem. 2009, 81, 8538–8544. [Google Scholar] [CrossRef]
- Sens, A.; Rischke, S.; Hahnefeld, L.; Dorochow, E.; Schäfer, S.M.G.; Thomas, D.; Köhm, M.; Geisslinger, G.; Behrens, F.; Gurke, R. Pre-Analytical Sample Handling Standardization for Reliable Measurement of Metabolites and Lipids in LC-MS-Based Clinical Research. J. Mass Spectrom. Adv. Clin. Lab 2023, 28, 35–46. [Google Scholar] [CrossRef] [PubMed]






| Plasma | CSF | |||||
|---|---|---|---|---|---|---|
| n (Samples) | 1112 | 132 | ||||
| n (Participants) | 278 | 33 | ||||
| % Female | 64.4 | 63.6 | ||||
| % WRAP 1 | 100 | 42.4 | ||||
| Wave 1 | Wave 1:2 | Wave 2 | Wave 1 | Wave 1:2 | Wave 2 | |
| Visits included | 1, 2 | 2, 3 | 3, 4 | 1, 2 | 2, 3 | 3, 4 |
| Mean age at baseline | 61.2 | 63.5 | 66 | 62.2 | 65 | 67.4 |
| Mean time between samples (years) | 2.4 | 2.5 | 2.9 | 2.7 | 2.4 | 2.3 |
| All Metabolites 1 | ||||||
|---|---|---|---|---|---|---|
| Plasma (n = 1033 Metabolites) | CSF (n = 290 Metabolites) | |||||
| Wave 1 | Inter-Wave | Wave 2 | Wave 1 | Inter-Wave | Wave 2 | |
| Visits | 1:2 | 2:3 | 3:4 | 1:2 | 2:3 | 3:4 |
| Median ρ (IQR) | 0.57 (0.22) | 0.50 (0.26) | 0.56 (0.24) | 0.70 (0.24) | 0.61 (0.29) | 0.68 (0.29) |
| % ‘Excellent’ (n) | 13.4 (138) | 8.6 (89) | 15.3 (158) | 36.6 (106) | 20.3 (59) | 37.2 (108) |
| % ‘Fair’ (n) | 71.7 (741) | 60.8 (628) | 66.9 (691) | 53.4 (155) | 57.2 (166) | 45.9 (133) |
| % ‘Poor’ (n) | 14.9 (154) | 30.6 (316) | 17.8 (184) | 10.0 (29) | 22.4 (65) | 16.9 (49) |
| Common Metabolites 2 (n = 265 Metabolites) | ||||||
| Median ρ (IQR) | 0.63 (0.18) | 0.52 (0.24) | 0.60 (0.20) | 0.70 (0.23) | 0.61 (0.29) | 0.68 (0.28) |
| % ‘Excellent’ (n) | 15.1 (40) | 8.3 (22) | 15.5 (41) | 35.8 (95) | 20.0 (53) | 37.4 (99) |
| % ‘Fair’ (n) | 75.8 (201) | 67.9 (180) | 72.5 (192) | 54.3 (144) | 57.7 (153) | 46.8 (124) |
| % ‘Poor’ (n) | 9.1 (24) | 23.8 (63) | 23.1 (32) | 9.8 (26) | 22.3 (59) | 15.8 (42) |
| Mean Intra- Wave ρ | Inter-Wave ρ | Mean (Norm.) | Composite Score | ||||
|---|---|---|---|---|---|---|---|
| Metabolite | Super Pathway | ||||||
| Highest Scoring | Plasma | N2-acetyl,N6-methyllysine | Amino Acid | 0.95 | 0.94 | 0.02 | 0.92 |
| 5alpha-androstan-3alpha,17beta-diol monosulfate (2) | Lipid | 0.96 | 0.91 | 0.02 | 0.92 | ||
| N6,N6-dimethyllysine | Amino Acid | 0.93 | 0.90 | 0.01 | 0.90 | ||
| N2-acetyl,N6,N6-dimethyllysine | Amino Acid | 0.95 | 0.91 | 0.03 | 0.90 | ||
| androstenediol (3alpha, 17alpha) monosulfate (3) | Lipid | 0.93 | 0.88 | 0.01 | 0.90 | ||
| CSF | N6-methyllysine | Amino Acid | 0.97 | 0.95 | 0.01 | 0.95 | |
| ethylmalonate | Amino Acid | 0.94 | 0.89 | 0.01 | 0.90 | ||
| 2-amino-4-cyanobutanoate | Partially Char. Mol | 0.87 | 0.92 | 0.02 | 0.88 | ||
| homocarnosine | Amino Acid | 0.92 | 0.84 | 0.01 | 0.87 | ||
| N-acetylputrescine | Amino Acid | 0.89 | 0.86 | 0.01 | 0.86 | ||
| Lowest Scoring | Plasma | cytosine | Nucleotide | 0.18 | 0.06 | 0.04 | 0.08 |
| benzoate | Xenobiotics | 0.23 | 0.10 | 0.09 | 0.07 | ||
| maltotriose | Carbohydrate | 0.27 | −0.07 | 0.03 | 0.07 | ||
| iminodiacetate (IDA) | Xenobiotics | 0.14 | −0.01 | 0.01 | 0.06 | ||
| chiro-inositol | Lipid | 0.21 | −0.08 | 0.06 | 0.00 | ||
| CSF | 4-chlorobenzoic acid | Xenobiotics | −0.01 | 0.18 | 0.03 | 0.06 | |
| tartarate | Xenobiotics | 0.30 | −0.14 | 0.05 | 0.03 | ||
| glutamate | Amino Acid | 0.52 | −0.45 | 0.01 | 0.03 | ||
| isocitrate | Energy | 0.13 | −0.01 | 0.04 | 0.02 | ||
| benzoate | Xenobiotics | 0.28 | −0.62 | 0.06 | −0.23 | ||
| Select Metabolites | Plasma | alpha-ketoglutarate | Energy | 0.73 | 0.29 | 0.04 | 0.47 |
| bilirubin degradation product, C16H18N2O5 (2) ** | Partially Char. Mol | 0.72 | 0.29 | 0.06 | 0.44 | ||
| bilirubin (E,E) * | Cofactors and Vitamins | 0.70 | 0.20 | 0.05 | 0.40 | ||
| myo-inositol | Lipid | 0.69 | 0.21 | 0.05 | 0.40 | ||
| cysteine | Amino Acid | 0.60 | 0.17 | 0.03 | 0.36 | ||
| adenosine | Nucleotide | 0.63 | 0.17 | 0.05 | 0.35 | ||
| bilirubin degradation product, C17H20N2O5 (2) ** | Partially Char. Mol | 0.80 | 0.09 | 0.10 | 0.34 | ||
| bilirubin degradation product, C17H20N2O5 (1) ** | Partially Char. Mol | 0.79 | 0.09 | 0.10 | 0.34 | ||
| succinate | Energy | 0.59 | 0.11 | 0.11 | 0.24 | ||
| N-acetylasparagine | Amino Acid | 0.62 | −0.07 | 0.05 | 0.22 | ||
| 1-methylguanidine | Amino Acid | 0.47 | −0.10 | 0.04 | 0.14 | ||
| cysteine sulfinic acid | Amino Acid | 0.42 | −0.07 | 0.04 | 0.14 | ||
| CSF | N-acetylglutamine | Amino Acid | 0.63 | 0.22 | 0.01 | 0.42 | |
| 1-stearoyl-2-arachidonoyl-GPC (18:0/20:4) | Lipid | 0.91 | 0.84 | 0.47 | 0.41 | ||
| 1-palmitoyl-2-docosahexaenoyl-GPC (16:0/22:6) | Lipid | 0.87 | 0.80 | 0.46 | 0.38 | ||
| sphingomyelin (d18:2/16:0, d18:1/16:1) * | Lipid | 0.79 | 0.77 | 0.41 | 0.37 | ||
| 1-palmitoyl-2-arachidonoyl-GPC (16:0/20:4n6) | Lipid | 0.85 | 0.84 | 0.50 | 0.34 | ||
| sphingomyelin (d18:1/24:1, d18:2/24:0) * | Lipid | 0.83 | 0.78 | 0.46 | 0.34 | ||
| sphingomyelin (d18:2/24:1, d18:1/24:2) * | Lipid | 0.81 | 0.79 | 0.48 | 0.32 | ||
| methionine sulfoxide | Amino Acid | 0.56 | 0.10 | 0.02 | 0.31 | ||
| uridine | Nucleotide | 0.55 | 0.07 | 0.01 | 0.30 | ||
| malate | Energy | 0.50 | 0.01 | 0.01 | 0.24 | ||
| 1-palmitoyl-2-linoleoyl-GPC (16:0/18:2) | Lipid | 0.84 | 0.81 | 0.62 | 0.20 | ||
| 1-stearoyl-GPC (18:0) | Lipid | 0.82 | 0.68 | 0.58 | 0.17 | ||
| sphingomyelin (d18:1/22:1, d18:2/22:0, d16:1/24:1) * | Lipid | 0.71 | 0.64 | 0.51 | 0.16 | ||
| maleate | Lipid | 0.50 | −0.09 | 0.04 | 0.16 | ||
| behenoyl sphingomyelin (d18:1/22:0) * | Lipid | 0.75 | 0.69 | 0.58 | 0.14 | ||
| 1-stearoyl-2-linoleoyl-GPC (18:0/18:2) * | Lipid | 0.80 | 0.59 | 0.56 | 0.14 |
Disclaimer/Publisher’s Note: The statements, opinions and data contained in all publications are solely those of the individual author(s) and contributor(s) and not of MDPI and/or the editor(s). MDPI and/or the editor(s) disclaim responsibility for any injury to people or property resulting from any ideas, methods, instructions or products referred to in the content. |
© 2025 by the authors. Licensee MDPI, Basel, Switzerland. This article is an open access article distributed under the terms and conditions of the Creative Commons Attribution (CC BY) license.
Share and Cite
Rocha, B.; Jonaitis, E.M.; Hamwi, A.; Engelman, C.D. Longitudinal, Intra-Individual Stability of Untargeted Plasma and Cerebrospinal Fluid Metabolites. Metabolites 2026, 16, 35. https://doi.org/10.3390/metabo16010035
Rocha B, Jonaitis EM, Hamwi A, Engelman CD. Longitudinal, Intra-Individual Stability of Untargeted Plasma and Cerebrospinal Fluid Metabolites. Metabolites. 2026; 16(1):35. https://doi.org/10.3390/metabo16010035
Chicago/Turabian StyleRocha, Briana, Erin M. Jonaitis, Alana Hamwi, and Corinne D. Engelman. 2026. "Longitudinal, Intra-Individual Stability of Untargeted Plasma and Cerebrospinal Fluid Metabolites" Metabolites 16, no. 1: 35. https://doi.org/10.3390/metabo16010035
APA StyleRocha, B., Jonaitis, E. M., Hamwi, A., & Engelman, C. D. (2026). Longitudinal, Intra-Individual Stability of Untargeted Plasma and Cerebrospinal Fluid Metabolites. Metabolites, 16(1), 35. https://doi.org/10.3390/metabo16010035

