Metabolomic Profiling and Bioanalysis of Chronic Myeloid Leukemia: Identifying Biomarkers for Treatment Response and Disease Monitoring
Abstract
1. Introduction
2. Materials and Methods
2.1. Study Design
2.2. Collection of Plasma Samples
2.3. Metabolite Extraction
2.4. LC/MS Analyses
2.5. Statistical Analysis
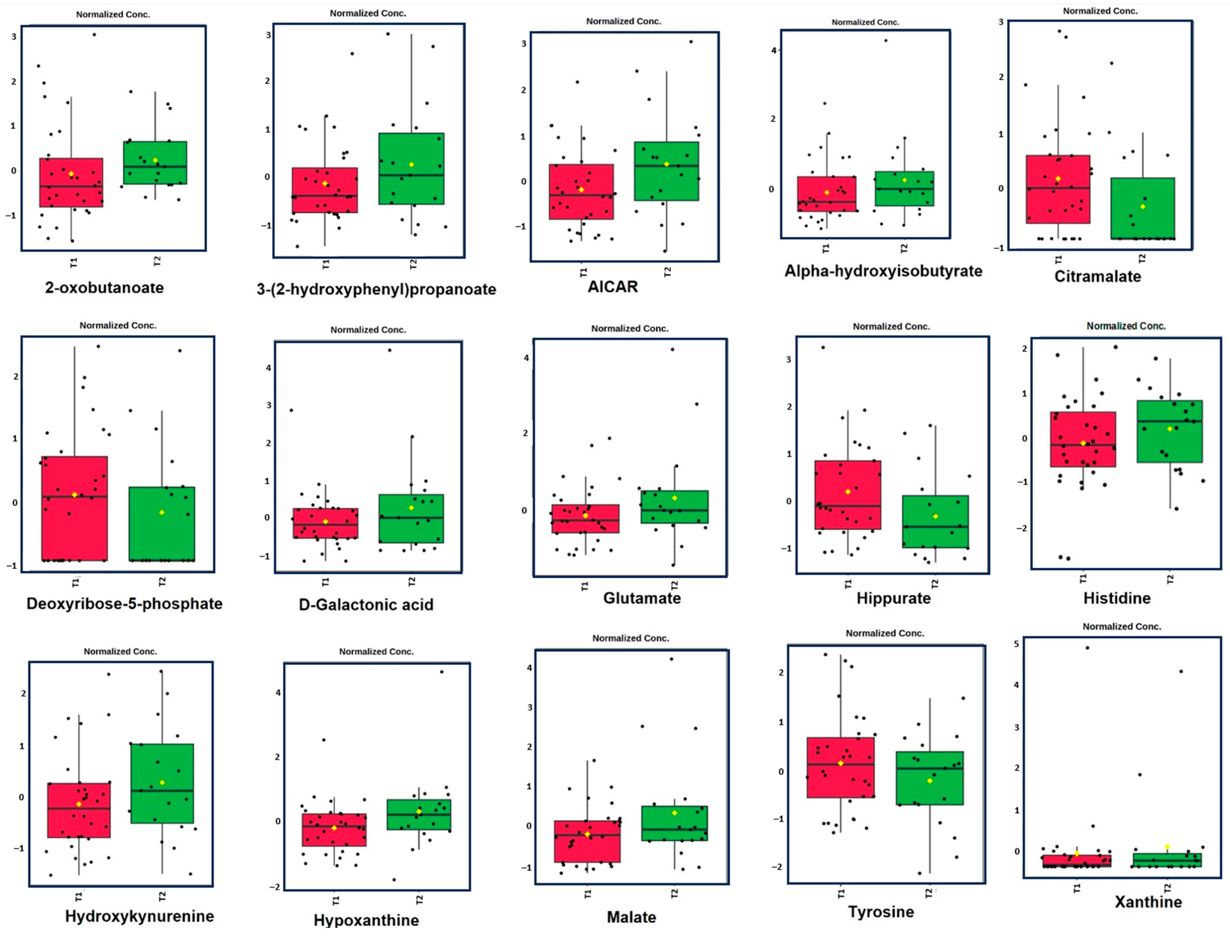
3. Results
4. Discussion
4.1. Altered Energy Metabolism
4.2. Nucleotide Metabolism Dysregulation
4.3. Amino Acid Metabolism
4.4. Lipid Metabolism
4.5. Novel Metabolic Signatures
4.6. Limitations
5. Conclusions
Author Contributions
Funding
Institutional Review Board Statement
Informed Consent Statement
Data Availability Statement
Acknowledgments
Conflicts of Interest
Abbreviations
| AICAR | 5-aminoimidazole-4-carboxamide ribonucleotide |
| CML | Chronic Myeloid Leukemia |
| ELTS | EUTOS long-term survival score |
| JAK/STAT5 | Janus kinase/signal transducer and activator of transcription protein 5 |
| IS | International Scale |
| LC/MS | Liquid chromatography/mass spectrometer |
| LCs | Leukemic cells |
| MR | Molecular response |
| NADPH | Mitogen-activated protein kinases/extracellular signal-regulated kinases |
| MAPK/ERK | Nicotinamide adenine dinucleotide phosphate |
| Q-TOF LC/MS | Quadrupole-time of flight liquid chromatography/mass spectrometer |
| TKI | Tyrosine kinase inhibitor |
References
- Nowell, P.C.; Hungerford, D.A. Chromosome Studies on Normal and Leukemic Human Leukocytes. JNCI J. Natl. Cancer Inst. 1960, 25, 85–109. [Google Scholar] [CrossRef] [PubMed]
- Hochhaus, A.; Masszi, T.; Giles, F.J.; Radich, J.P.; Ross, D.M.; Casares, M.T.G.; Hellmann, A.; Stentoft, J.; Conneally, E.; García-Gutiérrez, V.; et al. Treatment-free remission following frontline nilotinib in patients with chronic myeloid leukemia in chronic phase: Results from the ENESTfreedom study. Leukemia 2017, 31, 1525–1531. [Google Scholar] [CrossRef] [PubMed]
- Hochhaus, A.; Baccarani, M.; Silver, R.T.; Schiffer, C.; Apperley, J.F.; Cervantes, F.; Clark, R.E.; Cortes, J.E.; Deininger, M.W.; Guilhot, F.; et al. European LeukemiaNet 2020 recommendations for treating chronic myeloid leukemia. Leukemia 2020, 34, 966–984. [Google Scholar] [CrossRef]
- Ito, K.; Suda, T. Metabolic requirements for the maintenance of self-renewing stem cells. Nat. Rev. Mol. Cell Biol. 2014, 15, 243–256. [Google Scholar] [CrossRef]
- Ye, H.; Adane, B.; Khan, N.; Sullivan, T.; Minhajuddin, M.; Gasparetto, M.; Stevens, B.; Pei, S.; Balys, M.; Ashton, J.M.; et al. Leukemic stem cells evade chemotherapy by metabolic adaptation to an adipose tissue niche. Cell Stem Cell 2016, 19, 23–37. [Google Scholar] [CrossRef] [PubMed]
- Kaushik, A.K.; DeBerardinis, R.J. Applications of metabolomics to study cancer metabolism. Biochim. Biophys. Acta BBA Bioenerg. 2018, 1870, 2–14. [Google Scholar] [CrossRef]
- Song, B.H.; Son, S.Y.; Kim, H.K.; Ha, T.W.; Im, J.S.; Ryu, A.; Jeon, H.; Chung, H.Y.; Oh, J.S.; Lee, C.H.; et al. Profiling of metabolic differences between hematopoietic stem cells and acute/chronic myeloid leukemia. Metabolites 2020, 10, 427. [Google Scholar] [CrossRef]
- Warburg, O. On the Origin of Cancer Cells. Science 1956, 123, 309–314. [Google Scholar] [CrossRef]
- Liu, T.; Peng, X.-C.; Li, B. The Metabolic Profiles in Hematological Malignancies. Indian J. Hematol. Blood Transfus. 2019, 35, 625–634. [Google Scholar] [CrossRef]
- Polet, F.; Corbet, C.; Pinto, A.; Rubio, L.I.; Martherus, R.; Bol, V.; Drozak, X.; Grégoire, V.; Riant, O.; Feron, O. Reducing the serine availability complements the inhibition of the glutamine metabolism to block leukemia cell growth. Oncotarget 2016, 7, 1765–1776. [Google Scholar] [CrossRef]
- Yang, L.; Venneti, S.; Nagrath, D. Glutaminolysis: A Hallmark of Cancer Metabolism. Annu. Rev. Biomed. Eng. 2017, 19, 163–194. [Google Scholar] [CrossRef] [PubMed]
- Willems, L.; Jacque, N.; Jacquel, A.; Neveux, N.; Maciel, T.T.; Lambert, M.; Schmitt, A.; Poulain, L.; Green, A.S.; Uzunov, M.; et al. Inhibiting glutamine uptake represents an attractive new strategy for treating acute myeloid leukemia. Blood J. Am. Soc. Hematol. 2013, 122, 3521–3532. [Google Scholar] [CrossRef] [PubMed]
- Corbin, A.S.; Agarwal, A.; Loriaux, M.; Cortes, J.; Deininger, M.W.; Druker, B.J. Human chronic myeloid leukemia stem cells are insensitive to imatinib despite inhibition of BCR-ABL activity. J. Clin. Investig. 2011, 121, 396–409. [Google Scholar] [CrossRef]
- Redner, R.L. Why doesn’t imatinib cure chronic myeloid leukemia? Oncologist 2010, 15, 182–186. [Google Scholar] [CrossRef] [PubMed]
- de Almeida, F.C.; Berzoti-Coelho, M.G.; Toro, D.M.; Cacemiro, M.d.C.; Bassan, V.L.; Barretto, G.D.; Garibaldi, P.M.M.; Palma, L.C.; de Figueiredo-Pontes, L.L.; Sorgi, C.A.; et al. Bioactive lipids as chronic myeloid leukemia’s potential biomarkers for disease progression and response to tyrosine kinase inhibitors. Front. Immunol. 2022, 13, 840173. [Google Scholar] [CrossRef]
- Song, P.; Ye, L.; Fan, J.; Li, Y.; Zeng, X.; Wang, Z.; Wang, S.; Zhang, G.; Yang, P.; Cao, Z.; et al. Asparaginase induces apoptosis and cytoprotective autophagy in chronic myeloid leukemia cells. Oncotarget 2015, 6, 3861–3873. [Google Scholar] [CrossRef]
- Gottschalk, S.; Anderson, N.; Hainz, C.; Eckhardt, S.G.; Serkova, N.J. Imatinib (STI571)-mediated changes in glucose metabolism in human leukemia BCR-ABL-positive cells. Clin. Cancer Res. 2004, 10, 6661–6668. [Google Scholar] [CrossRef]
- Pluskal, T.; Castillo, S.; Villar-Briones, A.; Orešič, M. MZmine 2: Modular framework for processing, visualizing, and analyzing mass spectrometry-based molecular profile data. BMC Bioinform. 2010, 11, 395. [Google Scholar] [CrossRef]
- Lu, Y.; Pang, Z.; Xia, J. Comprehensive investigation of pathway enrichment methods for functional interpretation of LC–MS global metabolomics data. Briefings Bioinform. 2023, 24, bbac553. [Google Scholar] [CrossRef]
- Boros, L.G.; Lee, W.-N.P.; Go, V.L.W. A metabolic hypothesis of cell growth and death in pancreatic cancer. Pancreas 2002, 24, 26–33. [Google Scholar] [CrossRef]
- Trinh, A.; Khamari, R.; Fovez, Q.; Mahon, F.-X.; Turcq, B.; Bouscary, D.; Maboudou, P.; Joncquel, M.; Coiteux, V.; Germain, N.; et al. Antimetabolic cooperativity with the clinically approved l-asparaginase and tyrosine kinase inhibitors to eradicate CML stem cells. Mol. Metab. 2022, 55, 101410. [Google Scholar] [CrossRef] [PubMed]
- Gallipoli, P.; Giotopoulos, G.; Tzelepis, K.; Costa, A.S.H.; Vohra, S.; Medina-Perez, P.; Basheer, F.; Marando, L.; Di Lisio, L.; Dias, J.M.L.; et al. Glutaminolysis is a metabolic dependency in FLT3ITD acute myeloid leukemia unmasked by FLT3 tyrosine kinase inhibition. Blood J. Am. Soc. Hematol. 2018, 131, 1639–1653. [Google Scholar] [CrossRef] [PubMed]
- Kuntz, E.M.; Baquero, P.; Michie, A.M.; Dunn, K.; Tardito, S.; Holyoake, T.L.; Helgason, G.V.; Gottlieb, E. Targeting mitochondrial oxidative phosphorylation eradicates therapy-resistant chronic myeloid leukemia stem cells. Nat. Med. 2017, 23, 1234–1240. [Google Scholar] [CrossRef]
- Yan, J.-S.; Yang, M.-Y.; Zhang, X.-H.; Luo, C.-H.; Du, C.-K.; Jiang, Y.; Dong, X.-J.; Wang, Z.-M.; Yang, L.-X.; Li, Y.-D.; et al. Mitochondrial oxidative phosphorylation is dispensable for survival of CD34+ chronic myeloid leukemia stem and progenitor cells. Cell Death Dis. 2022, 13, 384. [Google Scholar] [CrossRef]
- Nathanson, D.A.; Armijo, A.L.; Tom, M.; Li, Z.; Dimitrova, E.; Austin, W.R.; Nomme, J.; Campbell, D.O.; Ta, L.; Le, T.M.; et al. Co-targeting of convergent nucleotide biosynthetic pathways for leukemia eradication. J. Exp. Med. 2014, 211, 473–486. [Google Scholar] [CrossRef]
- Zadra, G.; Batista, J.L.; Loda, M. Dissecting the dual role of AMPK in cancer: From experimental to human studies. Mol. Cancer Res. 2015, 13, 1059–1072. [Google Scholar] [CrossRef] [PubMed]
- Altman, B.J.; Stine, Z.E.; Dang, C.V. From Krebs to clinic: Glutamine metabolism to cancer therapy. Nat. Rev. Cancer 2016, 16, 619–634. [Google Scholar] [CrossRef]
- Wang, Y.; Zhang, L.; Chen, W.-L.; Wang, J.-H.; Li, N.; Li, J.-M.; Mi, J.-Q.; Zhang, W.-N.; Li, Y.; Wu, S.-F.; et al. Rapid diagnosis and prognosis of de novo acute myeloid leukemia by serum metabonomic analysis. J. Proteome Res. 2013, 12, 4393–4401. [Google Scholar] [CrossRef]
- Gregory, M.A.; Nemkov, T.; Reisz, J.A.; Zaberezhnyy, V.; Hansen, K.C.; D’Alessandro, A.; DeGregori, J. Glutaminase inhibition improves FLT3 inhibitor therapy for acute myeloid leukemia. Exp. Hematol. 2018, 58, 52–58. [Google Scholar] [CrossRef]
- Pike, L.S.; Smift, A.L.; Croteau, N.J.; Ferrick, D.A.; Wu, M. Inhibition of fatty acid oxidation by etomoxir impairs NADPH production and increases reactive oxygen species resulting in ATP depletion and cell death in human glioblastoma cells. Biochim. Biophys. Acta (BBA) Bioenerg. 2011, 1807, 726–734. [Google Scholar] [CrossRef]
- Jaswal, J.S.; Keung, W.; Wang, W.; Ussher, J.R.; Lopaschuk, G.D. Targeting fatty acid and carbohydrate oxidation—A novel therapeutic intervention in the ischemic and failing heart. Biochim. et Biophys. Acta (BBA)-Mol. Cell Res. 2011, 1813, 1333–1350. [Google Scholar] [CrossRef] [PubMed]
- Samudio, I.; Harmancey, R.; Fiegl, M.; Kantarjian, H.; Konopleva, M.; Korchin, B.; Kaluarachchi, K.; Bornmann, W.; Duvvuri, S.; Taegtmeyer, H.; et al. Pharmacologic inhibition of fatty acid oxidation sensitizes human leukemia cells to apoptosis induction. J. Clin. Investig. 2010, 120, 142–156. [Google Scholar] [CrossRef] [PubMed]
- Yang, B.; Wang, C.; Xie, Y.; Xu, L.; Wu, X.; Wu, D. Monitoring tyrosine kinase inhibitor therapeutic responses with a panel of metabolic biomarkers in chronic myeloid leukemia patients. Cancer Sci. 2018, 109, 777–784. [Google Scholar] [CrossRef] [PubMed]
- Patra, K.C.; Hay, N. The pentose phosphate pathway and cancer. Trends Biochem. Sci. 2014, 39, 347–354. [Google Scholar] [CrossRef] [PubMed]




| Control (n = 24) | CML (n = 51) | p-Value | |
|---|---|---|---|
| Mean Age (years) ± SD | 48.7 (±7.8) | 51.1 (±14.8) | 0.460 |
| Gender (n) (%) | |||
| Male | 13 (54.2%) | 31 (60.8%) | 0.487 |
| Female | 11 (45.8%) | 20 (39.2%) | |
| Mean WBC (mm)3 ±SD | 7204.6 (±1649.1) | 6781.8 (±1934.0) | 0.374 |
| Mean HGB (gr/dL) ±SD | 14.2 (±1.1) | 13.5 (±1.2) | 0.017 |
| Mean PLT (mm)3 ±SD | 261,827.5 (±54,621.2) | 250,745.1 (±101,660.4) | 0.656 |
| T1 | T2 | p-Value | |
|---|---|---|---|
| BCR::ABL1 IS Level (n) (%) | 32 (≤0.0032) | 19 (>0.0032, <1) | |
| BCR::ABL1 IS level at diagnosis (%) | 92.9 ± 106.2 | 84.8 ± 64.6 | 0.707 |
| Mean Duration of CML (year) ±SD | 9.1 ± 6.2 | 3.1 ± 2.4 | 0.000 |
| Line of Treatment (n) (%) | 0.472 | ||
| First | 21 (65.6) | 14 (73.7) | |
| Second | 7 (21.9) | 3 (15.8) | |
| Third | 4 (12.5) | 2 (10.5) | |
| TKI (n) (%) | 0.76 | ||
| Imatinib | 22 (68.8) | 13 (68.4) | |
| Dasatinib | 4 (12.5) | 2 (10.5) | |
| Nilotinib | 5 (15.6) | 3 (15.8) | |
| Bosutinib | 1 (3.1) | 1 (5.3) | |
| Risk Category | 0.69 | ||
| (ELTS score) (n) (%) | |||
| Low | 4 (12.5) | 2 (10.5) | |
| Intermediate | 19 (59.4) | 10 (52.6) | |
| High | 9 (28.1) | 7 (36.9) |
Disclaimer/Publisher’s Note: The statements, opinions and data contained in all publications are solely those of the individual author(s) and contributor(s) and not of MDPI and/or the editor(s). MDPI and/or the editor(s) disclaim responsibility for any injury to people or property resulting from any ideas, methods, instructions or products referred to in the content. |
© 2025 by the authors. Licensee MDPI, Basel, Switzerland. This article is an open access article distributed under the terms and conditions of the Creative Commons Attribution (CC BY) license (https://creativecommons.org/licenses/by/4.0/).
Share and Cite
Sayın, S.; Yıldırım, M.; Erdoğdu, B.; Kaplan, O.; Koç, E.; Bulduk, T.; Cömert, M.; Güney, M.; Çelebier, M.; Aylı, M. Metabolomic Profiling and Bioanalysis of Chronic Myeloid Leukemia: Identifying Biomarkers for Treatment Response and Disease Monitoring. Metabolites 2025, 15, 376. https://doi.org/10.3390/metabo15060376
Sayın S, Yıldırım M, Erdoğdu B, Kaplan O, Koç E, Bulduk T, Cömert M, Güney M, Çelebier M, Aylı M. Metabolomic Profiling and Bioanalysis of Chronic Myeloid Leukemia: Identifying Biomarkers for Treatment Response and Disease Monitoring. Metabolites. 2025; 15(6):376. https://doi.org/10.3390/metabo15060376
Chicago/Turabian StyleSayın, Selim, Murat Yıldırım, Batuhan Erdoğdu, Ozan Kaplan, Emine Koç, Tuba Bulduk, Melda Cömert, Mustafa Güney, Mustafa Çelebier, and Meltem Aylı. 2025. "Metabolomic Profiling and Bioanalysis of Chronic Myeloid Leukemia: Identifying Biomarkers for Treatment Response and Disease Monitoring" Metabolites 15, no. 6: 376. https://doi.org/10.3390/metabo15060376
APA StyleSayın, S., Yıldırım, M., Erdoğdu, B., Kaplan, O., Koç, E., Bulduk, T., Cömert, M., Güney, M., Çelebier, M., & Aylı, M. (2025). Metabolomic Profiling and Bioanalysis of Chronic Myeloid Leukemia: Identifying Biomarkers for Treatment Response and Disease Monitoring. Metabolites, 15(6), 376. https://doi.org/10.3390/metabo15060376

