A Multicenter Exploration of Sick Building Syndrome Symptoms in Malaysian Schools: Indoor Pollutants, Microbial Taxa, and Metabolites
Abstract
1. Introduction
2. Materials and Methods
2.1. Study Design
2.2. Questionnaire and Assessment of SBS Symptoms
2.3. Methods for Dust Sampling and Measurement of Environmental Characteristics
2.4. Microbial Sequencing and Metabolome Profiling
2.4.1. High-Throughput Amplicon Sequencing to Detect Microbial Communities in Dust
2.4.2. Non-Targeted LC-MS Detection of Metabolites/Compounds in Dust
2.5. Bioinformatics and Statistical Analysis
2.5.1. Screening of Characteristic Microbial Taxa by Region
2.5.2. Screening of Potential Protective/Risk Metabolites/Compounds
2.5.3. Mediation Analysis of Other Possible Influencing Factors
3. Results
3.1. Prevalence of SBS Symptoms Across Three Centers
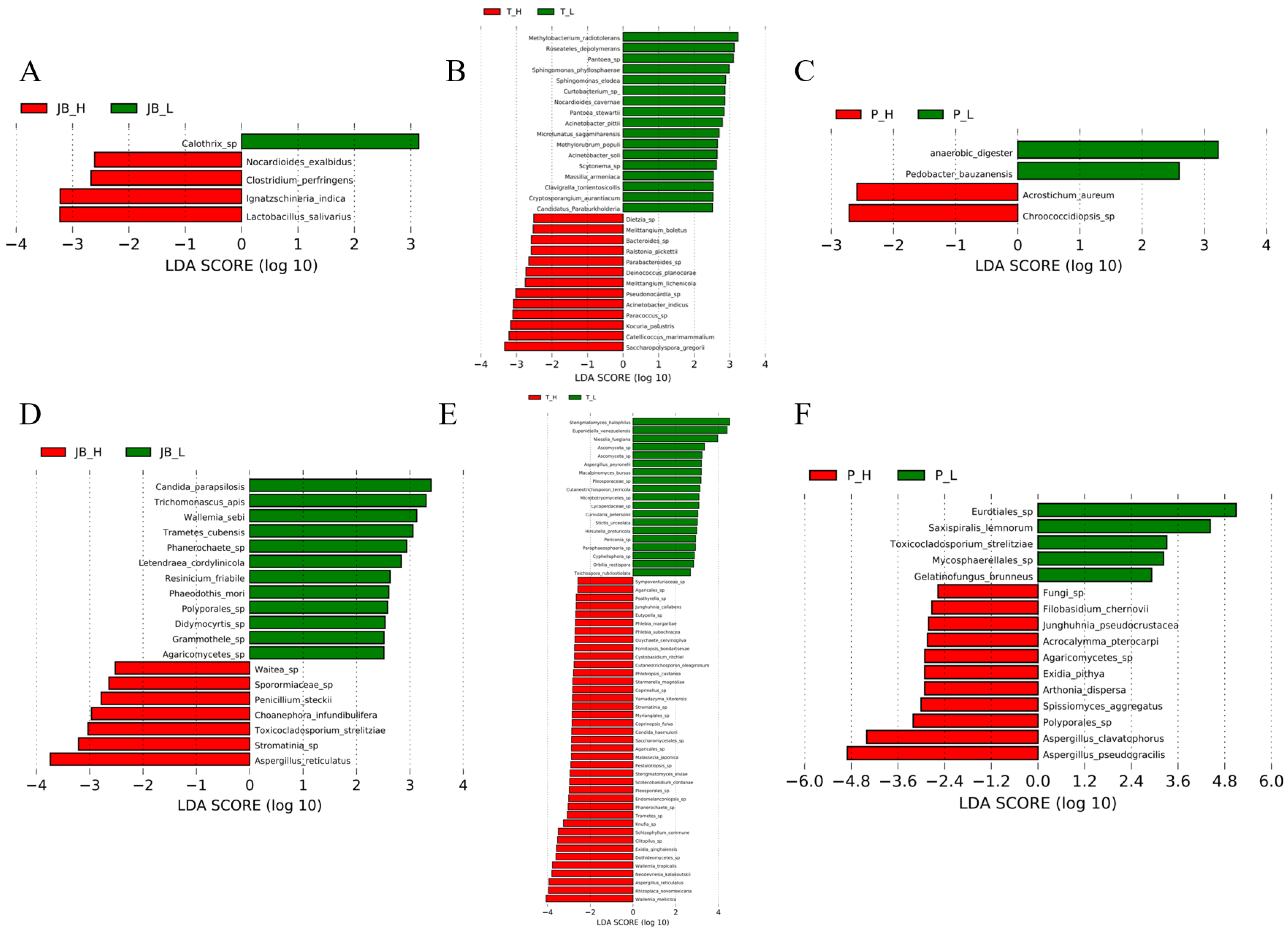
3.2. Characteristic Microorganisms Associated with SBS
3.3. Mediation Analysis Between Environmental Characteristics, Indoor Microorganisms, and SBS Symptoms
3.4. Characteristic Metabolites Associated with SBS Symptoms
4. Discussion
4.1. Strengths and Limitations of the Study
4.2. Protective and Risk Microorganisms, Metabolites, and Chemicals for SBS
4.3. Mediation Effects of Indoor Microorganisms on Environmental Characteristics and SBS Symptoms
4.4. Microorganisms and Metabolites for SBS Intervention Strategies
5. Conclusions
Supplementary Materials
Author Contributions
Funding
Institutional Review Board Statement
Informed Consent Statement
Data Availability Statement
Conflicts of Interest
Abbreviations
| SBS | sick building syndrome |
| FDR | false discovery rate |
| GABA | gamma-aminobutyric acid |
| SCFAs | short-chain fatty acids |
| LPS | lipopolysaccharide |
| MVOCs | microbial volatile organic compounds |
| LEfSe | linear discriminant analysis effect size |
| Mmvec | microbe-metabolite vectors analysis |
| LDA | linear discriminant analysis |
References
- WHO World Health Organization. Indoor Air Pollutants: Exposure and Health Effects; EURO Reports and Studies; World Health Organization: Geneva, Switzerland, 1983; Volume 78, pp. 1–42. [Google Scholar]
- Fu, X.; Ou, Z.; Zhang, M.; Meng, Y.; Li, Y.; Chen, Q.; Jiang, J.; Zhang, X.; Norbäck, D.; Zhao, Z.; et al. Classroom microbiome, functional pathways and sick-building syndrome (SBS) in urban and rural schools—Potential roles of indoor microbial amino acids and vitamin metabolites. Sci. Total Environ. 2021, 795, 148879. [Google Scholar] [CrossRef]
- Fu, X.; Norbäck, D.; Yuan, Q.; Li, Y.; Zhu, X.; Hashim, J.H.; Hashim, Z.; Ali, F.; Hu, Q.; Deng, Y.; et al. Association between indoor microbiome exposure and sick building syndrome (SBS) in junior high schools of Johor Bahru, Malaysia. Sci. Total Environ. 2021, 753, 141904. [Google Scholar] [CrossRef] [PubMed]
- Dhungana, P.; Chalise, M. Prevalence of sick building syndrome symptoms and its associated factors among bank employees in Pokhara Metropolitan, Nepal. Indoor Air 2020, 30, 244–250. [Google Scholar] [CrossRef]
- Akova, İ.; Kiliç, E.; Sümer, H.; Keklikçi, T. Prevalence of sick building syndrome in hospital staff and its relationship with indoor environmental quality. Int. J. Environ. Health Res. 2022, 32, 1204–1219. [Google Scholar] [CrossRef] [PubMed]
- Yang, Q.; Wang, J.; Norbäck, D. The home environment in a nationwide sample of multi-family buildings in Sweden: Associations with ocular, nasal, throat and dermal symptoms, headache, and fatigue among adults. Indoor Air 2021, 31, 1402–1416. [Google Scholar] [CrossRef]
- Fu, P.; Zhao, Z.; Norback, D.; Zhang, X.; Yung, K.K.L. Associations between indoor environment and lifestyles and sick building syndrome symptoms among adults in Taiyuan and Urumqi of China. Indoor Air 2022, 32, e13081. [Google Scholar] [CrossRef] [PubMed]
- Surawattanasakul, V.; Sirikul, W.; Sapbamrer, R.; Wangsan, K.; Panumasvivat, J.; Assavanopakun, P.; Muangkaew, S. Respiratory Symptoms and Skin Sick Building Syndrome among Office Workers at University Hospital, Chiang Mai, Thailand: Associations with Indoor Air Quality, AIRMED Project. Int. J. Environ. Res. Public Health 2022, 19, 10850. [Google Scholar] [CrossRef] [PubMed]
- Cheng, H.; Norbäck, D.; Zhang, H.; Yang, L.; Li, B.; Zhang, Y.; Zhao, Z.; Deng, Q.; Huang, C.; Yang, X.; et al. Home environment exposure and sick building syndrome (SBS) symptoms among adults in southern China: Health associations in 2010 and 2019. Build. Environ. 2024, 248, 111061. [Google Scholar] [CrossRef]
- Zhang, B.; Norbäck, D.; Cheng, H.; Li, B.; Zhang, Y.; Zhao, Z.; Deng, Q.; Huang, C.; Yang, X.; Lu, C.; et al. Dampness and mould in Chinese homes and sick building syndrome (SBS) symptoms—Associations with climate, family size, cleaning and ventilation. Build. Environ. 2023, 245, 110878. [Google Scholar] [CrossRef]
- Fu, X.; Ou, Z.; Sun, Y. Indoor microbiome and allergic diseases: From theoretical advances to prevention strategies. Eco-Environ. Health 2022, 1, 133–146. [Google Scholar] [CrossRef] [PubMed]
- Hoang Quoc, C.; Vu Huong, G.; Nguyen Duc, H. Working Conditions and Sick Building Syndrome among Health Care Workers in Vietnam. Int. J. Environ. Res. Public Health 2020, 17, 3635. [Google Scholar] [CrossRef] [PubMed]
- Ketema, R.M.; Araki, A.; Ait Bamai, Y.; Saito, T.; Kishi, R. Lifestyle behaviors and home and school environment in association with sick building syndrome among elementary school children: A cross-sectional study. Environ. Health Prev. Med. 2020, 25, 28. [Google Scholar] [CrossRef]
- Weng, J.; Zhang, Y.; Chen, Z.; Ying, X.; Zhu, W.; Sun, Y. Field Measurements and Analysis of Indoor Environment, Occupant Satisfaction, and Sick Building Syndrome in University Buildings in Hot Summer and Cold Winter Regions in China. Int. J. Environ. Res. Public Health 2022, 20, 554. [Google Scholar] [CrossRef] [PubMed]
- Qiao, R.; Lou, X.; Sun, Y.; Liu, Y. Effects of occupant behaviors on perceived dormitory air quality and sick building syndrome symptoms among female college students. Indoor Air 2022, 32, e13153. [Google Scholar] [CrossRef]
- Tsantaki, E.; Smyrnakis, E.; Constantinidis, T.C.; Benos, A. Indoor air quality and sick building syndrome in a university setting: A case study in Greece. Int. J. Environ. Health Res. 2022, 32, 595–615. [Google Scholar] [CrossRef]
- Salin, J.; Ohtonen, P.; Syrjälä, H. Teachers’ work-related non-literature-known building-related symptoms are also connected to indoor toxicity: A cross-sectional study. Indoor Air 2021, 31, 1533–1539. [Google Scholar] [CrossRef] [PubMed]
- Fu, X.; Du, B.; Meng, Y.; Li, Y.; Zhu, X.; Ou, Z.; Zhang, M.; Wen, H.; Ma’pol, A.; Hashim, J.H.; et al. Associations between environmental characteristics, high-resolution indoor microbiome, metabolome and allergic and non-allergic rhinitis symptoms for junior high school students. Environ. Sci. Process. Impacts 2023, 25, 791–804. [Google Scholar] [CrossRef] [PubMed]
- Norbäck, D.; Edling, C. Environmental, occupational, and personal factors related to the prevalence of sick building syndrome in the general population. Br. J. Ind. Med. 1991, 48, 451–462. [Google Scholar] [CrossRef] [PubMed]
- Zhao, Z.; Sebastian, A.; Larsson, L.; Wang, Z.; Zhang, Z.; Norbäck, D. Asthmatic symptoms among pupils in relation to microbial dust exposure in schools in Taiyuan, China. Pediatr. Allergy Immunol. Off. Publ. Eur. Soc. Pediatr. Allergy Immunol. 2008, 19, 455–465. [Google Scholar] [CrossRef]
- Takaoka, M.; Suzuki, K.; Norbäck, D. Sick Building Syndrome Among Junior High School Students in Japan in Relation to the Home and School Environment. Glob. J. Health Sci. 2015, 8, 165–177. [Google Scholar] [CrossRef]
- Ferm, M.; Svanberg, P.-A. Cost-efficient techniques for urban- and background measurements of SO2 and NO2. Atmos. Environ. 1998, 32, 1377–1381. [Google Scholar] [CrossRef]
- Fu, X.; Norbäck, D.; Yuan, Q.; Li, Y.; Zhu, X.; Hashim, J.H.; Hashim, Z.; Ali, F.; Zheng, Y.W.; Lai, X.X.; et al. Indoor microbiome, environmental characteristics and asthma among junior high school students in Johor Bahru, Malaysia. Environ. Int. 2020, 138, 105664. [Google Scholar] [CrossRef] [PubMed]
- Fu, X.; Meng, Y.; Li, Y.; Zhu, X.; Yuan, Q.; Ma’pol, A.; Hashim, J.H.; Hashim, Z.; Wieslander, G.; Zheng, Y.W.; et al. Associations between species-level indoor microbiome, environmental characteristics, and asthma in junior high schools of Terengganu, Malaysia. Air Qual. Atmos. Health 2022, 15, 1043–1055. [Google Scholar] [CrossRef]
- Bokulich, N.A.; Dillon, M.R.; Zhang, Y.; Rideout, J.R.; Bolyen, E.; Li, H.; Albert, P.S.; Caporaso, J.G. q2-longitudinal: Longitudinal and Paired-Sample Analyses of Microbiome Data. mSystems 2018, 3, e00219-18. [Google Scholar] [CrossRef] [PubMed]
- Quast, C.; Pruesse, E.; Yilmaz, P.; Gerken, J.; Schweer, T.; Yarza, P.; Peplies, J.; Glöckner, F.O. The SILVA ribosomal RNA gene database project: Improved data processing and web-based tools. Nucleic Acids Res. 2013, 41, D590–D596. [Google Scholar] [CrossRef]
- Kõljalg, U.; Nilsson, R.H.; Abarenkov, K.; Tedersoo, L.; Taylor, A.F.; Bahram, M.; Bates, S.T.; Bruns, T.D.; Bengtsson-Palme, J.; Callaghan, T.M.; et al. Towards a unified paradigm for sequence-based identification of fungi. Mol. Ecol. 2013, 22, 5271–5277. [Google Scholar] [CrossRef]
- Segata, N.; Izard, J.; Waldron, L.; Gevers, D.; Miropolsky, L.; Garrett, W.S.; Huttenhower, C. Metagenomic biomarker discovery and explanation. Genome Biol. 2011, 12, R60. [Google Scholar] [CrossRef] [PubMed]
- Morton, J.T.; Aksenov, A.A.; Nothias, L.F.; Foulds, J.R.; Quinn, R.A.; Badri, M.H.; Swenson, T.L.; Van Goethem, M.W.; Northen, T.R.; Vazquez-Baeza, Y.; et al. Learning representations of microbe-metabolite interactions. Nat. Methods 2019, 16, 1306–1314. [Google Scholar] [CrossRef]
- Hicks, R.; Tingley, D. Causal Mediation Analysis. Stata J. 2011, 11, 605–619. [Google Scholar] [CrossRef]
- Sun, Y.; Zhang, M.; Ou, Z.; Meng, Y.; Chen, Y.; Lin, R.; Hashim, J.H.; Hashim, Z.; Wieslander, G.; Chen, Q.; et al. Indoor microbiome, microbial and plant metabolites, chemical compounds, and asthma symptoms in junior high school students: A multicentre association study in Malaysia. Eur. Respir. J. 2022, 60, 2200260. [Google Scholar] [CrossRef] [PubMed]
- Lu, S.C.; Mato, J.M. S-adenosylmethionine in liver health, injury, and cancer. Physiol. Rev. 2012, 92, 1515–1542. [Google Scholar] [CrossRef] [PubMed]
- Sachinvala, N.D.; Teramoto, N.; Stergiou, A. Proposed Neuroimmune Roles of Dimethyl Fumarate, Bupropion, S-Adenosylmethionine, and Vitamin D3 in Affording a Chronically Ill Patient Sustained Relief from Inflammation and Major Depression. Brain Sci. 2020, 10, 600. [Google Scholar] [CrossRef] [PubMed]
- Zhang, Y.; Ma, R.; Deng, Q.; Wang, W.; Cao, C.; Yu, C.; Li, S.; Shi, L.; Tian, J. S-adenosylmethionine improves cognitive impairment in D-galactose-induced brain aging by inhibiting oxidative stress and neuroinflammation. J. Chem. Neuroanat. 2023, 128, 102232. [Google Scholar] [CrossRef] [PubMed]
- Kang, J.H.; Guo, X.D.; Wang, Y.D.; Kang, X.W. Neuroprotective Effects of N-acetylserotonin and Its Derivative. Neuroscience 2023, 517, 18–25. [Google Scholar] [CrossRef] [PubMed]
- Hannun, Y.A.; Obeid, L.M. Sphingolipids and their metabolism in physiology and disease. Nat. Rev. Mol. Cell Biol. 2018, 19, 175–191. [Google Scholar] [CrossRef] [PubMed]
- Aldred, K.J.; Kerns, R.J.; Osheroff, N. Mechanism of quinolone action and resistance. Biochemistry 2014, 53, 1565–1574. [Google Scholar] [CrossRef] [PubMed]
- Jonscher, K.R.; Chowanadisai, W.; Rucker, R.B. Pyrroloquinoline-Quinone Is More Than an Antioxidant: A Vitamin-like Accessory Factor Important in Health and Disease Prevention. Biomolecules 2021, 11, 1441. [Google Scholar] [CrossRef] [PubMed]
- Huang, J.; Zhu, L.; Lu, X.; Cui, F.; Wang, J.; Zhou, C. A simplified synthetic rhizosphere bacterial community steers plant oxylipin pathways for preventing foliar phytopathogens. Plant Physiol. Biochem. PPB 2023, 202, 107941. [Google Scholar] [CrossRef]
- Norbäck, D.; Hashim, J.H.; Cai, G.H.; Hashim, Z.; Ali, F.; Bloom, E.; Larsson, L. Rhinitis, Ocular, Throat and Dermal Symptoms, Headache and Tiredness among Students in Schools from Johor Bahru, Malaysia: Associations with Fungal DNA and Mycotoxins in Classroom Dust. PLoS ONE 2016, 11, e0147996. [Google Scholar] [CrossRef] [PubMed]
- Vasiljevic, T.; Harner, T. Bisphenol A and its analogues in outdoor and indoor air: Properties, sources and global levels. Sci. Total Environ. 2021, 789, 148013. [Google Scholar] [CrossRef]
- Salthammer, T. Emerging indoor pollutants. Int. J. Hyg. Environ. Health 2020, 224, 113423. [Google Scholar] [CrossRef]
- Fu, X.; Zhang, M.; Yuan, Y.; Chen, Y.; Ou, Z.; Hashim, Z.; Hashim, J.H.; Zhang, X.; Zhao, Z.; Norbäck, D.; et al. Microbial Virulence Factors, Antimicrobial Resistance Genes, Metabolites, and Synthetic Chemicals in Cabins of Commercial Aircraft. Metabolites 2023, 13, 343. [Google Scholar] [CrossRef] [PubMed]
- Azevedo, L.F.; Porto Dechandt, C.R.; Cristina de Souza Rocha, C.; Hornos Carneiro, M.F.; Alberici, L.C.; Barbosa, F. Long-term exposure to bisphenol A or S promotes glucose intolerance and changes hepatic mitochondrial metabolism in male Wistar rats. Food Chem. Toxicol. Int. J. Publ. Br. Ind. Biol. Res. Assoc. 2019, 132, 110694. [Google Scholar] [CrossRef]
- Zhang, X.; Li, F.; Zhang, L.; Zhao, Z.; Norback, D. A longitudinal study of sick building syndrome (SBS) among pupils in relation to SO2, NO2, O3 and PM10 in schools in China. PLoS ONE 2014, 9, e112933. [Google Scholar] [CrossRef] [PubMed]
- Chen, Y.; Fu, X.; Ou, Z.; Li, J.; Lin, S.; Wu, Y.; Wang, X.; Deng, Y.; Sun, Y. Environmental determinants and demographic influences on global urban microbiomes, antimicrobial resistance and pathogenicity. NPJ Biofilms Microbiomes 2023, 9, 94. [Google Scholar] [CrossRef] [PubMed]
- Rai, S.; Singh, D.K.; Kumar, A. Microbial, environmental and anthropogenic factors influencing the indoor microbiome of the built environment. J. Basic Microbiol. 2021, 61, 267–292. [Google Scholar] [CrossRef] [PubMed]
- Fu, X.; Yuan, Q.; Zhu, X.; Li, Y.; Meng, Y.; Hashim, J.H.; Hashim, Z.; Ali, F.; Zheng, Y.W.; Lai, X.X.; et al. Associations between the indoor microbiome, environmental characteristics and respiratory infections in junior high school students of Johor Bahru, Malaysia. Environ. Sci. Process. Impacts 2021, 23, 1171–1181. [Google Scholar] [CrossRef] [PubMed]
- Agus, A.; Clément, K.; Sokol, H. Gut microbiota-derived metabolites as central regulators in metabolic disorders. Gut 2021, 70, 1174–1182. [Google Scholar] [CrossRef] [PubMed]
- De Vos, W.M.; Tilg, H.; Van Hul, M.; Cani, P.D. Gut microbiome and health: Mechanistic insights. Gut 2022, 71, 1020–1032. [Google Scholar] [CrossRef] [PubMed]
- Adams, R.I.; Bhangar, S.; Dannemiller, K.C.; Eisen, J.A.; Fierer, N.; Gilbert, J.A.; Green, J.L.; Marr, L.C.; Miller, S.L.; Siegel, J.A.; et al. Ten questions concerning the microbiomes of buildings. Build. Environ. 2016, 109, 224–234. [Google Scholar] [CrossRef]



| Center | Johor Bahru (N = 308) | Terengganu (N = 463) | Penang (N = 368) | Total (N = 1139) | ||||
|---|---|---|---|---|---|---|---|---|
| Symptoms | Number | Prevalence (%) | Number | Prevalence (%) | Number | Prevalence (%) | Number | Prevalence (%) |
| Eye symptoms | 39 | 12.7 | 111 | 24.0 | 71 | 19.3 | 221 | 19.4 |
| Nasal symptoms | 61 | 19.8 | 132 | 28.5 | 111 | 30.2 | 304 | 26.7 |
| Throat symptoms | 52 | 16.9 | 91 | 19.7 | 64 | 17.4 | 207 | 18.2 |
| Skin symptoms | 37 | 12.0 | 151 | 32.6 | 17 | 4.6 | 205 | 18.0 |
| Headache | 60 | 19.5 | 110 | 23.8 | 99 | 26.9 | 269 | 23.6 |
| Tiredness | 71 | 23.1 | 101 | 21.8 | 83 | 22.6 | 255 | 22.4 |
| SBS score | ||||||||
| 0 | 151 | 49.0 | 210 | 45.4 | 170 | 46.2 | 531 | 46.6 |
| 1 | 72 | 23.4 | 60 | 13.0 | 69 | 18.8 | 201 | 17.6 |
| 2 | 36 | 11.7 | 64 | 13.8 | 53 | 14.4 | 153 | 13.4 |
| 3 | 29 | 9.4 | 59 | 12.7 | 45 | 12.2 | 133 | 11.7 |
| ≥4 | 20 | 6.5 | 70 | 15.1 | 31 | 8.4 | 121 | 10.6 |
| Prevalence of SBS score > 2 in schools Mean (Range) (%) a | 15.91 (4.65~31.82) | 27.86 (17.86~37.66) | 20.65 (13.03~30.95) | 22.30 (4.65~37.66) | ||||
| Center | Environmental Characteristics | Median (Q1–Q3) | Β (95% CI) | p Value a |
|---|---|---|---|---|
| Johor Bahru | Indoor CO2 concentration (ppm) | 512.0 (410.0~537.0) | 0.00 (0.00~0.00) | 0.27 |
| Indoor relative humidity (%) | 71.5 (65.3~72.7) | 0.01 (−0.02~0.05) | 0.44 | |
| Indoor NO2 concentration (μg/m3) | 19.5 (16.9~29.3) | 0.03 (0.01~0.05) | 0.001 | |
| Age of building (years) | 7.0 (4.0~18.0) | 0.00 (−0.01~0.01) | 0.81 | |
| Weight of settled dust (g) | 1.2 (0.9~1.6) | 0.35 (0.10~0.61) | 0.006 | |
| Terengganu | Indoor CO2 concentration (ppm) | 426.0 (413.5~447.0) | 0.01 (0.00~0.01) | 0.010 |
| Indoor relative humidity (%) | 71.6 (70.3~73.6) | 0.04 (−0.01~0.09) | 0.08 | |
| Indoor NO2 concentration (μg/m3) | 8.9 (7.9~9.7) | −0.07 (−0.10~0.00) | 0.040 | |
| Weight of settled dust (g) | 1.1 (0.89~1.26) | −0.33 (−0.87~0.21) | 0.23 | |
| Penang | Indoor CO2 concentration (ppm) | 391.5 (380~415.3) | 0.00 (0.00~0.00) | 0.43 |
| Indoor relative humidity (%) | 76.4 (74.3~83.9) | 0.00 (0.02~0.03) | 0.84 | |
| Indoor NO2 concentration (μg/m3) | 22.9 (19.6~27.0) | 0.01 (−0.02~0.04) | 0.57 | |
| Weight of settled dust (g) | 3.21 (2.4~4.5) | 0.01 (−0.06~0.08) | 0.78 |
| Center | Kingdom | Phylum | Species | Average Relative Abundance (%) | Β (95% CI) | p Value a | FDR a |
|---|---|---|---|---|---|---|---|
| Johor Bahru | Bacteria | Deinococcota | Bacterium_1227R | 0.0011 | 2.58 (1.55~3.61) | <0.001 | 0.005 |
| Firmicutes | Clostridium_perfringens | 0.0008 | 1.11 (0.40~1.81) | 0.002 | 0.033 | ||
| Fungi | Basidiomycota | uc_f_Auriculariaceae_sp. | 0.0003 | 1.04 (0.46~1.63) | 0.001 | 0.022 | |
| Basidiomycota | Duportella_kuehneroides | 0.0004 | 1.81 (0.63~3.00) | 0.003 | 0.040 | ||
| Terengganu | Bacteria | Actinobacteriota | Curtobacterium_sp. | 0.0016 | −1.45 (−2.18~−0.73) | <0.001 | 0.009 |
| Fungi | Basidiomycota | Wallemia_mellicola | 0.0150 | 0.47 (0.19~0.75) | 0.001 | 0.044 |
| Center | Treatment | Coefficient | Mediator | Coefficient | Total Effect Mediated (%) a | ||
|---|---|---|---|---|---|---|---|
| Β (95% CI) | p Value | Β (95% CI) | p Value | ||||
| Johor Bahru | Indoor NO2 concentration | 0.01 (−0.01~0.04) | 0.24 | uc_f_Auriculariaceae_sp. | 0.80 (0.09~1.51) | 0.028 | 51.40% |
| Johor Bahru | Weight of settled dust | 0.34 (−0.10~0.78) | 0.13 | uc_f_Auriculariaceae_sp. | 0.65 (−0.12~1.42) | 0.10 | 41.55% |
| Potential Protective Metabolites a | Enriched Centers | Associated Symptoms | p Value | FDR | Class | Sub Class | Reported Health Effects b |
|---|---|---|---|---|---|---|---|
| S-Adenosylmethionine | JB and T | Nose (T) | 0.010 | 0.040 | 5′-deoxyribonucleosides | 5′-deoxy-5′-thionucleosides | maintains immune function and cell membranes, anti-inflammation [32,33,34] |
| N-Acetylserotonin | JB and T | Nose (T) | <0.001 | 0.001 | Indoles and derivatives | Hydroxyindoles | antioxidant, neuroprotective, circadian rhythm [35] |
| Sphinganine | JB and P | Tiredness (JB) | 0.008 | 0.040 | Organonitrogen compounds | Amines | necessary for cellular function under normal physiological conditions [36] |
| 4-Hydroxy-2-quinolone | JB and P | Tiredness (JB) | 0.005 | 0.020 | Quinolines and derivatives | Quinolones and derivatives | antibacterial [37,38] |
| (2E,4Z,8E)-Colneleic acid | JB and P | Tiredness (JB) | 0.001 | 0.010 | Fatty Acyls | Fatty acids and conjugates | plant defense responses [39] |
| Potential Risk Metabolites | Enriched centers | Associated symptoms | p value | FDR | Class | Sub Class | Reported health effects |
| Ethyl benzoate | T and P | Eye (P) | 0.001 | 0.010 | Benzene and substituted derivatives | Benzoic acids and derivatives | irritation |
| 2-Aminobenzoic acid | T and P | Nose (P) | 0.005 | 0.020 | Benzene and substituted derivatives | Benzoic acids and derivatives | skin and eye irritation |
| 1-Naphthol | T and P | Eye (T) | 0.005 | 0.020 | Naphthalenes | Naphthols and derivatives | eye, skin, and respiratory tract irritation |
| 4-Oxoglutaramate | T and P | Nose (T) | 0.008 | 0.040 | Keto acids and derivatives | Short-chain keto acids and derivatives | unknown |
Disclaimer/Publisher’s Note: The statements, opinions and data contained in all publications are solely those of the individual author(s) and contributor(s) and not of MDPI and/or the editor(s). MDPI and/or the editor(s) disclaim responsibility for any injury to people or property resulting from any ideas, methods, instructions or products referred to in the content. |
© 2025 by the authors. Licensee MDPI, Basel, Switzerland. This article is an open access article distributed under the terms and conditions of the Creative Commons Attribution (CC BY) license (https://creativecommons.org/licenses/by/4.0/).
Share and Cite
Zhang, Y.; Bu, Y.; Chen, Y.; Chen, P.; Du, B.; Hashim, J.H.; Hashim, Z.; Wieslander, G.; Norbäck, D.; Xia, Y.; et al. A Multicenter Exploration of Sick Building Syndrome Symptoms in Malaysian Schools: Indoor Pollutants, Microbial Taxa, and Metabolites. Metabolites 2025, 15, 111. https://doi.org/10.3390/metabo15020111
Zhang Y, Bu Y, Chen Y, Chen P, Du B, Hashim JH, Hashim Z, Wieslander G, Norbäck D, Xia Y, et al. A Multicenter Exploration of Sick Building Syndrome Symptoms in Malaysian Schools: Indoor Pollutants, Microbial Taxa, and Metabolites. Metabolites. 2025; 15(2):111. https://doi.org/10.3390/metabo15020111
Chicago/Turabian StyleZhang, Yi, Yongqi Bu, Yang Chen, Peian Chen, Bingqian Du, Jamal Hisham Hashim, Zailina Hashim, Gunilla Wieslander, Dan Norbäck, Yun Xia, and et al. 2025. "A Multicenter Exploration of Sick Building Syndrome Symptoms in Malaysian Schools: Indoor Pollutants, Microbial Taxa, and Metabolites" Metabolites 15, no. 2: 111. https://doi.org/10.3390/metabo15020111
APA StyleZhang, Y., Bu, Y., Chen, Y., Chen, P., Du, B., Hashim, J. H., Hashim, Z., Wieslander, G., Norbäck, D., Xia, Y., & Fu, X. (2025). A Multicenter Exploration of Sick Building Syndrome Symptoms in Malaysian Schools: Indoor Pollutants, Microbial Taxa, and Metabolites. Metabolites, 15(2), 111. https://doi.org/10.3390/metabo15020111

